5 Capítulo V: Presentación y discusión de resultados
5.1 Resultados
La Tabla 5 contiene los resultados del Índice de Madurez Tecnológica Municipal al año 2022 ordenado de mayor a menor.
Tabla 5
Ranking IMTM Región del Biobío
| Ranking | Provincia | Municipalidades | Tipología | IMTM |
|---|---|---|---|---|
| 1 | Concepción | Concepción | 1 | 0.89 |
| 2 | Concepción | Hualpén | 1 | 0.81 |
| 3 | Concepción | San Pedro de la Paz | 1 | 0.79 |
| 4 | Biobío | Los Ángeles | 2 | 0.78 |
| 5 | Concepción | Talcahuano | 1 | 0.73 |
| 6 | Concepción | Chiguayante | 1 | 0.73 |
| 7 | Biobío | Nacimiento | 3 | 0.65 |
| 8 | Concepción | Coronel | 2 | 0.63 |
| 9 | Concepción | Tomé | 2 | 0.62 |
| 10 | Biobío | Quilleco | 5 | 0.57 |
| 11 | Biobío | Mulchén | 3 | 0.56 |
| 12 | Biobío | Santa Barbara | 3 | 0.56 |
| 13 | Concepción | Santa Juana | 5 | 0.55 |
| 14 | Arauco | Los Álamos | 3 | 0.53 |
| 15 | Concepción | Penco | 2 | 0.50 |
| 16 | Biobío | Laja | 4 | 0.49 |
| 17 | Concepción | Florida | 5 | 0.45 |
| 18 | Biobío | Tucapel | 5 | 0.45 |
| 19 | Concepción | Hualqui | 5 | 0.42 |
| 20 | Arauco | Curanilahue | 3 | 0.42 |
| 21 | Concepción | Lota | 2 | 0.39 |
| 22 | Arauco | Lebu | 3 | 0.39 |
| 23 | Biobío | Cabrero | 3 | 0.34 |
| 24 | Arauco | Contulmo | 5 | 0.33 |
| 25 | Arauco | Tirúa | 5 | 0.33 |
| 26 | Arauco | Cañete | 3 | 0.31 |
| 27 | Arauco | Arauco | 4 | 0.31 |
| 28 | Biobío | Antuco | 5 | 0.31 |
| 29 | Biobío | Alto Biobío | 5 | 0.26 |
| 30 | Biobío | San Rosendo | 3 | 0.26 |
| 31 | Biobío | Yumbel | 5 | 0.25 |
| 32 | Biobío | Quilaco | 5 | 0.24 |
| 33 | Biobío | Negrete | 5 | 0.20 |
En Anexos, Construcción y cálculo del IMTM se encuentra disponible un enlace para acceder a un documento con estadística descriptiva adicional del Índice y dimensiones.
5.2 Análisis y discusión de resultados
La revisión de los resultados muestra que son dos las capitales provinciales las que ocupan los más altos valores del IMTM: Concepción capital de la provincia homónima, en el primer lugar con 0.89 puntos, y Los Ángeles, capital de la provincia de Biobío en el segundo con 0.78 puntos. Mientras que Lebu, la capital provincial de Arauco se posiciona en el puesto 22 con apenas 0.39 puntos.
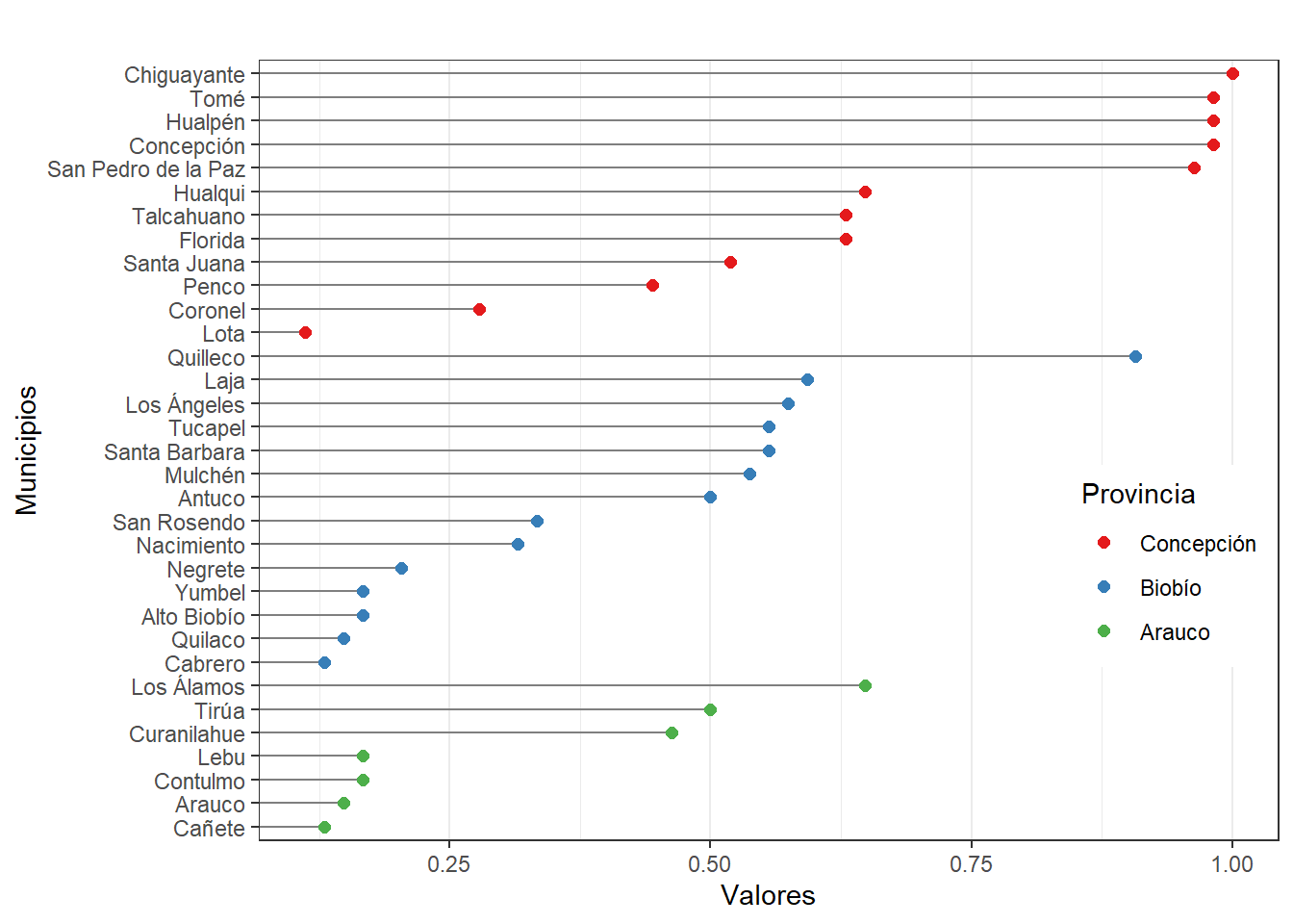
La Ilustración 3 agrupa a los municipios por provincia y los ordena de mayor a menor, pudiéndose identificar que los municipios de la provincia de Concepción alcanzan los mayores resultados en madurez digital, seguido de lejos por Biobío que, si bien tiene un municipio que alcanza un resultado destacado, es un resultado más bien aislado. Por último, considerando el total de municipios, la provincia de Arauco recibe los peores resultados, aunque no los valores más bajos ya que estos corresponden a los municipios de Yumbel, Quilaco, Negrete, todos pertenecientes al Biobío.
Los resultados también muestran que la totalidad de los municipios del grupo 1 FIGEM que agrupa a las grandes comunas metropolitanas con alto y/o medio desarrollo de acuerdo con SUBDERE, ocupan los lugares más altos en el ranking junto con pertenecer a la provincia de Concepción. La otra parte de la provincia corresponde a algunos municipios del grupo 2 FIGEM que agrupa a comunas mayores con desarrollo medio y por último las comunas semiurbanas y rurales con bajo desarrollo de Santa Juana, Florida y Hualqui que cuentan con resultados favorables en comparación a otros municipios de este grupo.
Ilustración 3
IMTM Región del Biobío por municipio y provincia

Se puede apreciar así que la madurez digital de los municipios de la región presenta diferencias significativas a nivel territorial como plantea Janowski (2015). En consecuencia, Biobío presenta valores más bajos, siendo integrada principalmente por municipios del grupo 5 FIGEM. Pero superando a la provincia de Arauco que concentra los peores resultados en promedio pese a tener proporcionalmente más municipios del grupo 3 y 4. Estos resultados son también coincidentes con lo planteado por Cerrillo (2020, p. 6) respecto a las brechas entre los municipios que tienen la capacidad suficiente para impulsar la Transformación Digital y los municipios que no la tienen.
En términos generales, los resultados de las dimensiones que componen el índice son claros, la dimensión que tiene el peor rendimiento es Servicios municipales en línea (SML), que promedia 0.31 puntos. Mientras que Recursos Humanos (RRHH) es la que tiene el mejor rendimiento con 0.77 puntos, le siguen Gestión tecnológica Municipal (GTM) con 0.50 e Infraestructura tecnológica (IT) con 0.45 puntos respectivamente.
Un cálculo de coeficiente de correlación de Pearson, que refleja la correspondencia entre dos variables, aplicado entre las Dimensiones e IMTM, permite dilucidar en qué medida una variación en el valor de una dimensión se relaciona con una variación similar en el valor final que recibe el IMTM. Se debe recordar que el IMTM es una variable dependiente de las dimensiones, lógicamente una variación en cualquier dimensión afectará a esta variable, pero se busca identificar qué variación tiene mayor correlación en esta variación. La Tabla 6 muestra que la dimensión SM tiene una correlación muy alta, seguida por la dimensión GTM, ambas serían las que tienen mayor similitud con el resultado final. Mientras que las otras dimensiones tienen una correlación que no resulta tan alta.
Tabla 6
Correlación IMTM y dimensiones
| Dimensiones | Correlación |
|---|---|
| Correlación con IT | 0.702 |
| Correlación con RRHH | 0.726 |
| Correlación con GTM | 0.770 |
| Correlación con SML | 0.808 |
5.2.1 Dimensión Infraestructura Tecnológica
Esta dimensión se encuentra conformada por el promedio de las subdimensiones Nivel de seguridad informática y Número de servidores disponibles. Los resultados de la primera subdimensión según la Ilustración 4 demuestran que casi la totalidad de los municipios utiliza un antivirus, pero Antuco y Negrete pertenecientes a la provincia del Biobío declaran no utilizarlo. Si bien son tan solo estos dos municipios los que carecen de esta medida, es preocupante que carezcan de algo tan básico en informática y ciberseguridad como el antivirus.
Ilustración 4
Nivel de seguridad informática

La segunda medida de ciberseguridad más utilizada es el Firewall o cortafuegos que permite un bloqueo de accesos no autorizados a la red que puedan comprometer la integridad y estabilidad de esta. Los municipios que no utilizan esta medida son Antuco, Negrete, Quilaco, Hualqui y Contulmo, todos pertenecientes al grupo 5 FIGEM. Por otro lado, una medida de seguridad que permite filtrar también es el Antispam que realiza esta acción sobre los correos electrónicos, la Ilustración 4 muestra que carecen de esta medida once municipios, son los mencionados con anterioridad a excepción de Contulmo, sumándose Yumbel, Arauco, Curanilahue, San Pedro de la Paz, Quilleco, Santa Bárbara y Los Álamos. Siendo principalmente comunas semiurbanas y rurales con bajo desarrollo, salvo San Pedro de la Paz.
Mientras que la Autentificación y criptografía no es utilizada por doce municipios que son en su mayoría de comunas semiurbanas y rurales con bajo desarrollo. Pero si consideramos la presencia de otras subdimensiones relacionadas a tecnología como Presencia de intranet, los municipios de Tucapel, Laja, Curanilahue, Hualqui y Antuco declaran contar con Intranet, pero no implementan una medida de seguridad de Autentificación y Criptografía en la misma. Esto significa que no hay garantías de que un usuario en la plataforma sea realmente quién dicha persona asegura ser, se genera, por lo tanto, una falta de control y vulnerabilidad frente a accesos no autorizados y actividades maliciosas en las plataformas municipales (Páez Gabriunas, 2021, p. 360).
Los resultados de las cuatro medidas de ciberseguridad presentan una baja adopción, siendo una deficiencia respecto a las recomendaciones de expertos que establecen su uso obligatorio para asegurar y garantizar la seguridad al interactuar con la tecnología (Centro Criptológico Nacional, 2020, p. 69). También una deficiencia según lo señalado en los Planes de Transformación digital, ya que es a través de estos mecanismos que se permite y asegura la protección y continuidad tanto del funcionamiento de los servicios como de la información de la ciudadanía, más aún cuando pudiera existir información confidencial y datos sensibles (Cubo et al., 2022, p. 36). Por otro lado, reflejan las brechas existentes a nivel municipal en el uso de medidas de ciberseguridad como dificultades para implementar la Transformación digital ya que se exigen estándares de funcionamiento en las plataformas electrónicas de la Administración (Cerrillo, 2020).
Por otro lado, los resultados de la subdimensión Número de servidores disponibles representados en la Ilustración 5 indica lo escasos que estos resultan en los municipios, ya que solo un municipio cuenta con una cifra elevada, correspondiente a Talcahuano. A continuación, se encuentran Los Ángeles y Coronel que disponen ambos de seis servidores, luego Santa Barbara, Cabrero, Chiguayante con cuatro servidores. Puede evidenciarse que la mayoría de los municipios independiente de su nivel de desarrollo cuenta con pocos servidores. Pero son cinco los municipios que declaran no contar con servidores, correspondientes a Antuco, Contulmo, Hualpén, Lota, y Mulchén. Esta baja cantidad de servidores disponibles en los municipios refleja las dificultades que tendrán en la implementación de plataformas electrónicas exigidas por Ley, así como en las plataformas necesarias para brindar servicios municipales en línea y dar soporte informático a procesos internos (AMUCH, 2022).
Ilustración 5
Número de servidores disponibles

En este sentido, al carecer de la Infraestructura tecnología comprometería la estabilidad y continuidad de las plataformas, así como la calidad y oportunidad de los servicios entregados tanto para los ciudadanos como para los propios funcionarios (González-Bustamante et al., 2020). Ya que si bien disponer de la tecnología no es lo único necesario para la Transformación digital (Páez Gabriunas et al., 2021), es clave en el nivel de madurez de que alcanza este proceso a través de las capacidades y la tecnología (Teichert, 2019).
En definitiva, la Ilustración 6 muestra los resultados de los municipios en la dimensión Infraestructura tecnológica, solo Talcahuano logra un resultado destacable, Coronel y Los Ángeles se ubican ambos en segundo lugar con 0.70 puntos. En general se puede concluir que la distribución no necesariamente se relaciona con el resultado final del IMTM ni tampoco con otras dimensiones, en este sentido varios de los municipios de categoría 1 que obtuvieron los mejores resultados en el índice, obtienen en esta dimensión valores solo un poco por sobre el promedio. Estos resultados muestran que no se utilizan todas las capacidades y potencial de los municipios en esta área. (Fietkiewicz et al., 2017).
Ilustración 6
IT por municipio y provincia

5.2.2 Dimensión Recursos Humanos
La dimensión se encuentra conformada por el promedio de la subdimensión Presencia de un área de informática, Nivel de estudios del jefe del área informática encargado de dicha función, y Dependencia organizacional del área informática.
Sobre la primera de estas subdimensiones, la Ilustración 7 muestra que la mayoría de los municipios tienen un área informática. Resultados que muestran un leve progreso respecto a otras mediciones sobre esta plataforma (Alcalá, 2015). Los municipios que no cuentan con un área informática son Antuco, Cabrero, Cañete, Florida, Negrete, Yumbel, siendo la mayoría de estos municipios de categoría 5 FIGEM. Al hacer una comparación con el IMTM 2015, se puede apreciar que Antuco y Negrete siguen sin tener un área informática. Adicionalmente, en esta medición también declararon no contar con una unidad de informática Alto Biobío, Hualqui, Los Álamos, Lota, Quilaco, Quilleco, San Rosendo, Tirúa. Entre estos, tres de las municipalidades que no dieron respuesta al cuestionario de esta investigación.
Ilustración 7
Presencia de un área de informática

La siguiente subdimensión Dependencia organizacional del área informática representada en la Ilustración 8, muestra que el grupo mayoritario corresponde a una dependencia del Administrador Municipal que de acuerdo con el IMTM recibe el máximo puntaje, sumándose a este máximo puntaje la Municipalidad de Los Ángeles que tiene la dependencia en su Alcalde. Le siguen las municipalidades que tienen la dependencia organizacional en la Dirección de Administración y Finanzas con 7 unidades, luego Secretaría de Planificación y Secretaría Municipal, ambas con 4 unidades, resulta llamativo que todas las Secretarías municipales se encuentren en la provincia del Biobío y sean de comunas del grupo 5 FIGEM. Por último, en la categoría otros se encuentra Lebu en la que su dependencia se encuentra en la Dirección de Recursos Humanos y Los Álamos en la Dirección de Desarrollo Comunitario, dependencia que según el criterio de este instrumento de medición resulta completamente inadecuado.
Por otro lado, las municipalidades que anteriormente declararon no contar con una unidad de informática tienen en su mayoría un encargado o asesor en áreas informáticas. Una revisión de organigramas y reglamentos internos de estas municipalidades dio cuenta que Antuco, Cabrero y Yumbel disponen de un asesor de informática dependiente del Administrador Municipal, Cabrero cuenta con un asesor de informática de la Dirección de Administración y Finanzas. Pero en el caso de Florida y Negrete no se encuentra presente ni como asesor ni encargado en su organigrama y reglamento, aunque declaran que este funcionario dependería del Administrador y Secretaría municipales respectivamente.
Ilustración 8
Dependencia organizacional del área informática

Los datos presentes en la Ilustración 8 muestran que solo el 43,3% de las municipalidades tiene una unidad de informática con dependencia organizacional en jerarquías organizacionales que tengan la capacidad de liderazgo para impulsar la Transformación Digital (Páez Gabriunas, 2021, p. 107). Las otras unidades dependen de jerarquías organizacionales que según las recomendaciones de Planes de Transformación Digital (Cubo et al., 2022, p. 380) no son las apropiadas para liderar estos procesos ya que carecen de las funciones y atribuciones para generar un cambio en la organización que sea transversal en su funcionamiento interno como en su relación con otras partes interesadas.
La teoría señala que el capital humano capacitado para manejar la tecnología es clave y su ausencia puede convertirse en una dificultad (Toro-García et al., 2020, p. 90) para impulsar la Transformación digital. La Ilustración 9 que muestra los resultados de la subdimensión Nivel de estudios del jefe del área informática encargado de dicha función, indica que estos en su mayoría tienen la capacitación adecuada, en concordancia con estudios similares (AMUCH, 2022). En particular, la mayoría cuenta con educación superior de pregrado, aunque hay algunos municipios que cuentan con postgrado como el caso de Talcahuano, Quilleco y Contulmo, pero solo en el caso de Talcahuano hay una relación entre un alto IMTM y este alto nivel de capacitación del encargado del área informática. Mientras que los municipios que cuentan con educación técnica corresponden a Arauco, Cañete, Hualqui, Laja, Los Álamos, Los Ángeles, Negrete, Quilaco, y Tomé. Al relacionar nuevamente este nivel educacional y nivel de madurez tecnológica, llama la atención que Los Ángeles tenga encargado de nivel técnico superior y buenos resultados en madurez.
Ilustración 9
Nivel de estudios del jefe del área informática encargado de dicha función

Los resultados de estas subdimensiones, generan la distribución del resultado de la dimensión RRHH que muestra la Ilustración 10, pudiéndose apreciar que siete municipios alcanzan el máximo puntaje, seguido por otros diez que se ubican en torno a los 0.80 puntos. Si bien el resto de los municipios tiene un decrecimiento, no resulta tan severo como en el caso de otras dimensiones, aunque Negrete nuevamente registra el valor más bajo con 0.23 puntos.
Ilustración 10
RRHH por municipio y provincia

5.2.3 Dimensión Gestión tecnológica municipal
La dimensión está compuesta por el promedio de la subdimensión Presencia de intranet Municipal, Nivel de informatización de procesos internos y Presencia de estrategia de desarrollo de servicios informáticos dirigidos a la ciudadanía.
La presencia de Intranet contenida en la Ilustración 11, demuestra que no todos los municipios utilizan la plataforma. En este sentido, son los municipios de menor desarrollo comunal en los grupos FIGEM 3 a 5 los que no tienen más carencias.
Ilustración 11
Presencia de intranet Municipal

En el IMTM anterior (Alcalá, 2015) los municipios que no contaban con Intranet en la región eran 16, una cifra levemente superior a la actual. Pero al revisar el avance en la adopción de esta plataforma, siguen sin tener intranet los municipios de Cañete, Coronel, Florida, Los Álamos, Lota, Nacimiento, y Penco. Al realizar una revisión de los portales municipales, existen indicios de que estos contaron en algún momento de esta plataforma. Pero descontinuaron su funcionamiento ya que hay enlaces rotos y dominios web en venta. Mientras que los otros nueve municipios que no contaban con esta plataforma anteriormente declaran ahora disponer de la misma. El caso de los municipios que ahora no cuentan con la plataforma, pero sí la tuvieron antes son Arauco, Cabrero, Contulmo, Lebu, Negrete, Quilaco, y Yumbel. Al realizar nuevamente una revisión de indicios de esta plataforma encontramos que Cabrero solo dispone de una intranet en su Departamento de Salud, Negrete tan solo de una plataforma de correos, mientras que Yumbel contaba con una intranet construida curiosamente en el sitio web WordPress que ya no permite un acceso.
En cuanto a la subdimensión de Presencia de estrategia de desarrollo de servicios informáticos dirigidos a la ciudadanía las recomendaciones y sugerencias señalan (Cameron Partners, 2020) que los instrumentos de planificación deben incorporar estrategias en la adopción de tecnologías e implementación de servicios ciudadanos que la teoría denomina servicios ciudadano-céntricos (Barros, 2014). Pero la Ilustración 12 muestra que existe un cumplimiento bastante bajo. Ya que los municipios que declaran contar con una estrategia de servicios en su Planificación de desarrollo comunal (PLADECO) son solo Chiguayante, Concepción, Florida, Hualpén, Penco, San Pedro de la Paz, Tomé, Quilleco y Los Álamos. Se puede identificar en base a esta información que casi la totalidad de estos municipios pertenece a la provincia de Concepción, solo Quilleco y Los Álamos no son parte de la provincia, siendo partes de Biobío y Arauco respectivamente. Por otro lado, la mayoría son de grupos 1 y 2 FIGEM, salvo Florida, Quilleco que pertenecen al grupo 5 y Los Álamos perteneciente al grupo 3.
Ilustración 12
Presencia de estrategia de desarrollo de servicios informáticos dirigidos a la ciudadanía

Por otro lado, aunque no es parte del índice se decidió mantener una pregunta relativa a Presencia de estrategia de desarrollo de servicios informáticos dirigidos a la gestión interna, los resultados en la Ilustración 13 muestra que son once los municipios que cuentan con este tipo de estrategia.
Ilustración 13
Presencia de estrategia de desarrollo de servicios informáticos dirigidos a la gestión interna

Los municipios que declaran contar con una estrategia de gestión en su PLADECO son Chiguayante, Florida, Hualpén, Los Álamos, Nacimiento, Penco, Quilleco, San Pedro de la Paz, Talcahuano, Tomé, y Tucapel. Se aprecia que hay 4 municipios de comunas del grupo 1 FIGEM, faltando solo Concepción en este grupo. El resto pertenece a diferentes grupos sin identificarse particularidades.
La teoría sugiere que tanto la orientación a la gestión como a servicios ciudadanos deben ser parte de los instrumentos de planificación (Cubo et al., 2022). Pero se identifican dos problemas, el primero ya señalado en la baja adopción en ambas áreas y la segunda en relación con que la adopción de estas estrategias sugiere que no resultan tan efectivas en mejorar las áreas respectivas por el IMTM. En base a esta consideración, se realizó un cálculo de correlación de Pearson que tal como ha sido señalado, refleja la correspondencia entre dos variables. El cálculo fue aplicado en primer lugar entre la estrategia de servicios y el subíndice Trámites, en segundo lugar, entre la estrategia de gestión y el subíndice Procesos. Los resultados en la Tabla 7 refleja que el cálculo indica una correlación moderada entre una estrategia de servicios y subíndice trámites, es decir, una estrategia de servicios dirigida a la ciudadanía en algunos casos se relaciona con un valor alto en el subíndice Trámites. Por otro lado, hay una correlación alta entre una estrategia de gestión y el subíndice Procesos, o sea, generalmente una estrategia de gestión interna se relaciona con un valor alto en el subíndice Procesos. Por lo cual, si bien hay una adopción levemente mayor en la estrategia de gestión, el resultado del subíndice respectivo de proceso (0.67) es muchísimo mayor que el subíndice trámites (0.31) correspondiente a la estrategia de servicios. Se puede concluir que resulta más efectiva la estrategia de gestión interna que la estrategia de servicios, reflejando un uso de la tecnología desde la oferta y no la demanda de la ciudadanía (Barros, 2014).
Tabla 7
Correlación entre estrategias y subíndice respectivo
| Estrategias | Subíndices | Correlación |
|---|---|---|
| Estrategia servicios | Subíndice tramites | 0.299 |
| Estrategia gestión | Subíndice procesos | 0.556 |
La siguiente subdimensión de Nivel de informatización de procesos internos, desde ahora subíndice Trámites y que presenta sus resultados en la Ilustración 14, evidencia que la adopción de procesos informatizados en la municipalidad tiene una orientación hacia los procesos tributarios tal como señala Barros (Barros, 2011), los que permiten la recaudación, recepción y administración de recursos financieros.
De acuerdo con lo antes señalado, los procesos que en su totalidad están informatizados por los municipios son Rentas y Patentes junto a Ingreso/Egreso de Tesorería, luego están otros que tienen una alta informatización como Permisos de circulación, Licencias de conducir, Juzgado de Policía local y registro de multas que, si bien permiten una relación con la ciudadanía, tienen una lógica transaccional ya que estos procesos permiten percibir ingresos a los municipios. Mientras que los procesos orientados a la ciudadanía en bienes y servicios que otorga la municipalidad como el Registro social de hogares, Subsidios, Organizaciones comunitarias, OMIL, Administración del cementerio municipal, Administración de consultorios y farmacias, y Ventanilla única, tienen una informatización más baja que va disminuyendo progresivamente hasta llegar a Aseo y Ornato que solo es informatizada por seis municipios de la región.
Ilustración 14
Nivel de informatización de procesos internos

Por otro lado, procesos relevantes en la gestión interna del municipio como la planificación y control presupuestario no disponen de una completa informatización. Es el caso de los municipios de Cañete, Cabrero, Lota, Penco, y Quilaco, que señalan utilizar en cambio solo planillas electrónicas como las disponibles en la suite ofimática Microsoft Excel. En relación con este tipo de procesos, Inventario tampoco tiene una adopción completa, siendo los municipios de Contulmo, Curanilahue, Lebu y Arauco, todos pertenecientes a la provincia de Arauco quienes no lo adoptan.
La cantidad de procesos informatizados por municipio es representada en la Ilustración 15, la información sugiere que las municipalidades, en especial las de menor desarrollo recurren a un uso mayoritario de planillas electrónicas y soporte en papel en procesos que como se ha mencionado no tienen relación con la recaudación, recepción y administración de recursos en el municipio, dando nuevamente cuenta de las carencias (AMUCH, 2022). Por otro lado, en la solicitud de acceso a la información no se requirió especificar quién era el dueño de los servidores, ni tampoco en este caso especificar quién era el prestador de estos servicios informáticos que permiten la informatización de estos procesos. Pero varios municipios señalaron que el proceso en cuestión era gracias al servicio contratado a la empresa SMC Ltda. Se evidencia así una dependencia del sector privado para desarrollar soluciones informáticas para las municipalidades (Cerrillo, 2020, p. 6), lo que en los municipios de menor desarrollo se convierte en una dificultad al carecer de los recursos necesarios para adquirirla (Larraín, 2018). Este aspecto será nuevamente tratado en la Dimensión Servicios Municipales en línea y considerará una profundización respecto a estos contratos de compra y arrendamiento.
Ilustración 15
Subíndice procesos por municipio y provincia

Para finalizar esta dimensión, la Ilustración 16 muestra la distribución de los resultados de la dimensión GTM. En los que se observa nuevamente que un alto nivel desarrollo comunal FIGEM presenta mejores resultados en esta dimensión, situación inversa con la mayoría de los municipios de menor desarrollo comunal. Pero llama la atención el bajo puntaje de Lota, el cual es explicado por la ausencia de Intranet, de una Estrategia de servicios informatizados y el bajo uso de procedimientos informatizados internos.
Ilustración 16
GTM por municipio y provincia

5.2.4 Dimensión Servicios Municipales en línea
Por último, esta dimensión está conformada solo por la subdimensión Número de servicios municipales posibles de ser realizados en línea a través del sitio Web Municipal, que se denominará subíndice Trámites. La Ilustración 17 presenta los resultados ordenados de mayor a menor y tal como puede observarse, el Permiso de circulación es el trámite en línea más frecuente. La revisión de los portales municipales permitió constatar que su implementación es a través de diversas plataformas, una de estas corresponde a la dispuesta por SUBDERE y su Unidad de Gobierno Electrónico Local Plataforma Servicios Municipales, también llamada Plataforma SEM 2.0, siendo también utilizadas plataformas desarrolladas por el sector privado. Mientras que los municipios que no implementan este trámite solo son los municipios de Lota, Penco y Yumbel. Si bien al revisar su portal municipal se puede pinchar en los cuadros que enlazan a la plataforma, estos redireccionan a la plataforma anterior llamada Portal de servicios Municipales, que de acuerdo con las pruebas realizadas parece no tener soporte ni compatibilidad con el nuevo sistema.
Ilustración 17
Número de servicios municipales posibles de ser realizados en línea a través del sitio Web Municipal

Al considerar el anterior y los otros trámites que tienen mayor frecuencia: Pago de la patente comercial, Pago de la patente de alcoholes, Permiso de demolición, Pago de permiso de edificación y Pago de multas en Juzgado de Policía local, se identifica que estos tienen principalmente una lógica transaccional en su relación con la ciudadanía (Canel, 2018), lógica que también podía observarse en los procesos informatizados más frecuentes del subíndice procesos. Pero con diferencia de que hay una adopción mucho menor por parte de los municipios en esta área de trámites como señalan otras investigaciones (González-Bustamante et al., 2020). Mientras que trámites que, si bien pueden encontrarse relacionados al procedimiento administrativo de un trámite que permite el ingreso de recursos vía patentes y permisos, estos no tienen una adopción significativa como en el caso de las renovaciones de Patentes y Permisos, dando cuenta de las falencias en la interoperabilidad (Roseth et al., 2018).
Por otro lado, si bien no resulta una adopción significativa, la plataforma dispuesta por el Ministerio de Vivienda y Urbanismo, Dom en línea fue enlazada al portal municipal por algunas de las municipalidades de la región. Pero resulta llamativo que, si bien existen plataformas a nivel central que no suponen un costo adicional más que el de disponer de personal capacitado para modificar y actualizar los portales municipalidades, estas plataformas aún no sean incorporadas por los municipios a sus portales municipales, como es el caso de la plataforma obsoleta de Portal de servicios Municipales y la mencionada Dom en línea.
En la revisión de los resultados por municipio, la Ilustración 18 permite apreciar la cantidad de trámites en línea disponible por municipio y se puede evidenciar una alta correlación entre grupo FIGEM y cantidad de trámites disponibles para ser realizados ya que los municipios de mayor desarrollo son los que más se acercan a los 18 trámites necesarios de acuerdo con la fórmula del IMTM. En este sentido, no resulta llamativo que los tres municipios que alcanzan el valor máximo dispongan de los productos y servicios comprados o arrendados según corresponda a la empresa SMC Ltda.
En base a la información entregada por las municipalidades sobre el arriendo de servicios a SMC Ltda., se realizó una revisión de la adquisición de servicios informáticos en la Plataforma Chile Compra. Las órdenes de compra emitidas a diferentes oferentes entre Septiembre de 2021 y Noviembre de 2022 permitió constatar que gran parte de los municipios de la región realizaron una compra y contratación de productos informáticos. A los tres municipios antes señalados se suman Hualpén, Talcahuano, Nacimiento, Coronel, Los Álamos, Negrete, Chiguayante, Tomé, Santa Juana, Santa Bárbara, Quilleco, Laja, Hualqui, Cañete, Lebu, Arauco. Mientras que Cabrero realizó esta adquisición con una empresa que también se especializa en servicios informáticos para municipalidades, CAS-Chile.
Ilustración 18
SML por municipio y provincia

Mientras que los municipios que no cuentan con plataformas de trámites del sector privado son Quilleco, Lota, Florida, Tucapel, Quilaco, Curanilahue, Yumbel, Contulmo, Lota y Penco. Todos estos municipios alcanzan valores bajos en esta dimensión, evidenciando que el cumplimiento de los servicios municipales en línea tiene como requisito la adquisición de estos al sector privado tal como señala Cerrillo (2020, p. 6). Por lo cual, la escasa disponibilidad de recursos con las que cuentan los municipios dificulta la adquisición e implementación de soluciones tecnológicas (Toro-García et al., 2020, p. 90), incidiendo en los resultados del subíndice. Los resultados de esta investigación en la materia son coincidentes con las necesidades que señala la Administración local en Transformación digital (AMUCH, 2022).
Además de las plataformas para trámites y recordando los procesos informatizados internos, en la revisión se encontró arrendamiento de servicios de gestión complementarios como gestión de bodega, inventario, contabilidad, gestión de recursos humanos en el control de asistencia, licencias médicas, sueldos, entre otros. Resulta relevante considerar el catálogo que ofrece la empresa SMC Ltda., ya que dispone de un catálogo de 53 sistemas, equipamiento y servicios que responden directamente a las necesidades tecnológicas que requieren los municipios. En este sentido, la idea de compras coordinadas aprovechando las economías de escala para así abaratar los costos o el diseño desde el propio Estado surgen como soluciones (Cortés Sánchez & Cardona Madariaga, 2015).
5.2.5 Diferencias IMTM 2022 y 2015
Debido a las limitaciones que impiden la reconstrucción de todas las dimensiones del IMTM 2015, solo se realizará una diferenciación con el valor final de este. Tal como se ha señalado, son 30 los municipios en la muestra 2022. Mientras que en 2015 la muestra está conformada por 29 municipios. Producto de que la ausencia de alguno de estos en un determinado periodo impide la comparación, se generan valores no asignados (NA), siendo finalmente 27 municipios los que se pueden contrastar.
Los resultados de esta diferenciación por año se encuentran en la Tabla 8, en la cual se puede establecer una relación entre grupos FIGEM y la variación del IMTM, ya que hay un importante crecimiento en municipios de categorías de mayor desarrollo. Mientras que municipios de menor desarrollo ven resultados que muestran un estancamiento e incluso decrecimiento. En este sentido son nueve los municipios de la región que disminuyen su IMTM, correspondientes a los municipios de Arauco, Cabrero, Contulmo, Negrete, Yumbel que sufren una importante disminución como puede constatarse.
Tabla 8
IMTM 2022 y 2015 Región del Biobío
| Provincia | Municipio | IMTM 2022 | IMTM 2015 | Diferencia |
|---|---|---|---|---|
| Concepción | Chiguayante | 0.73 | NA | NA |
| Concepción | Concepción | 0.89 | 0.23 | 0.66 |
| Concepción | Coronel | 0.63 | 0.48 | 0.15 |
| Concepción | Florida | 0.45 | 0.53 | -0.08 |
| Concepción | Hualpén | 0.81 | NA | NA |
| Concepción | Hualqui | 0.42 | 0.66 | -0.24 |
| Concepción | Lota | 0.39 | 0.80 | -0.41 |
| Concepción | Penco | 0.50 | 0.54 | -0.04 |
| Concepción | San Pedro de la Paz | 0.79 | 0.50 | 0.29 |
| Concepción | Santa Juana | 0.55 | 0.49 | 0.06 |
| Concepción | Talcahuano | 0.73 | 0.49 | 0.24 |
| Concepción | Tomé | 0.62 | NA | NA |
| Biobío | Alto Biobío | 0.26 | 0.29 | -0.03 |
| Biobío | Antuco | 0.31 | 0.29 | 0.02 |
| Biobío | Cabrero | 0.34 | 0.36 | -0.02 |
| Biobío | Laja | 0.49 | 0.21 | 0.28 |
| Biobío | Los Ángeles | 0.78 | 0.59 | 0.19 |
| Biobío | Mulchén | 0.56 | 0.26 | 0.30 |
| Biobío | Nacimiento | 0.65 | 0.29 | 0.36 |
| Biobío | Negrete | 0.20 | 0.45 | -0.25 |
| Biobío | Quilaco | 0.24 | 0.44 | -0.20 |
| Biobío | Quilleco | 0.57 | 0.54 | 0.03 |
| Biobío | San Rosendo | 0.26 | 0.23 | 0.03 |
| Biobío | Santa Barbara | 0.56 | 0.45 | 0.11 |
| Biobío | Tucapel | 0.45 | 0.40 | 0.05 |
| Biobío | Yumbel | 0.25 | 0.25 | 0.00 |
| Arauco | Arauco | 0.31 | 0.63 | -0.32 |
| Arauco | Cañete | 0.31 | NA | NA |
| Arauco | Contulmo | 0.33 | 0.69 | -0.36 |
| Arauco | Curanilahue | 0.42 | 0.37 | 0.05 |
| Arauco | Lebu | 0.39 | 0.45 | -0.06 |
| Arauco | Los Álamos | 0.53 | 0.37 | 0.16 |
| Arauco | Tirúa | 0.33 | 0.59 | -0.26 |