7.3 Worked Example
Nusha Keyghobadi, Thomas Lamy and Helene Wagner
1. Overview of Worked Example
a. Goals
This worked example shows how to:
- Assess the spatial distribution of genetic structure in a metapopulation using hierarchical AMOVA
- Relate site-specific Fst to patch connectivity and population size
- Relate site-specific genetic diversity to explanatory variables (node-level analysis)
- Assess temporal changes (between years for same site) and evidence for extinction events
- Perform power analysis and sample size calculation for the temporal study
b. Data set
Lamy et al. (2012) sampled the freshwater snail Drepanotrema depressissimum in a fragmented landscape of tropical ponds on the island of Guadeloupe in the French West Indies. They used a spatially and temporally stratified sampling design with a total of 25 sites, where 12 sites formed four well-separated clusters of three neighbouring sites each, to study spatial variability, and 12 sites spread across the island were sampled in multiple years to study temporal variability. For each site and year, 22 - 34 individuals were genotyped at ten microsatellite loci. The species is diploid, hermaphroditic, and outcrossed.
A key characteristic of this system is the presence of a dry and a rainy season. In the dry season, many ponds can dry out, possibly causing extinction of the local snail populations. During the rainy season, ponds refill and can even overflow, thereby becoming connected through the hydrological network. During this rainy season, dispersal between ponds may occur.
dd.genind: The dataset ‘dd.genind’ with genetic data for 1270 snails from 42 populations is included in package ‘LandGenCourse’. To load it, type: data(dd.genind).
dd.site: Population-level data from Tables 2 - 5 of Lamy et al. (2012) are available in dataset
dd.site(with 25 variables) in packageLandGenCourse. To load it, type:data(dd.site).
Reference
Lamy, T., Pointier, J. P., Jarne, P. and David, P. (2012), Testing metapopulation dynamics using genetic, demographic and ecological data. Molecular Ecology, 21: 1394–1410. doi:10.1111/j.1365-294X.2012.05478.x
d. Import data
Let’s import the genetic data (spatial and temporal data sets combined, 42 combinations of site and year).
The ‘genind’ object ‘dd.genind’ contains individual-level data in the following slots:
- tab: a matrix of allele frequencies (one column per allele)
- loc.fac: a factor that identifies the locus for each allele
- loc.n.all: a vector with the number of alleles per locus
- all.names: a list with allele names
- ploidy: a vector with the ploidy of each individual (row)
- type: marker type (here: “codom” as microsatellites are codominant)
- other: a list with additional variables, here: spatial coordinates
- xy: a data frame with spatial coordinates (lat-long format)
- call: call that created the object. Here it is empty.
- **pop*: a factor with the population of each individual. Here it is empty as the information is in (strata?).
- strata: a data frame with structure variables, here: SiteID, SITE, YEAR, Cluster
- hierarchy: a hierarchy. Here it is empty as the information is in (strata?).
## Loading required package: adegenet
## Loading required package: ade4
##
## /// adegenet 2.1.10 is loaded ////////////
##
## > overview: '?adegenet'
## > tutorials/doc/questions: 'adegenetWeb()'
## > bug reports/feature requests: adegenetIssues()
## /// GENIND OBJECT /////////
##
## // 1,270 individuals; 10 loci; 372 alleles; size: 2.2 Mb
##
## // Basic content
## @tab: 1270 x 372 matrix of allele counts
## @loc.n.all: number of alleles per locus (range: 18-50)
## @loc.fac: locus factor for the 372 columns of @tab
## @all.names: list of allele names for each locus
## @ploidy: ploidy of each individual (range: 2-2)
## @type: codom
## @call: NULL
##
## // Optional content
## @strata: a data frame with 4 columns ( SiteID, SITE, YEAR, Cluster )
## @other: a list containing: xy
We also import site-level data from Tables 2 - 5 in Lamy et al. (2012). This is a (spatial) sf object. Use ‘?dd.site’ to check the helpfile with the data set description of the variables (atribute data).
## # A tibble: 42 × 23
## SiteID SITE YEAR Spatial MultiYear APE Cluster n RA He f
## <chr> <fct> <int> <lgl> <lgl> <lgl> <fct> <int> <dbl> <dbl> <dbl>
## 1 PICO2006 PICO 2006 FALSE TRUE FALSE <NA> 34 11.2 0.897 0.038
## 2 PICO2007 PICO 2007 FALSE TRUE FALSE <NA> 24 11.4 0.911 0.022
## 3 PICO2009 PICO 2009 TRUE TRUE FALSE <NA> 32 11.4 0.896 0.024
## 4 ROC2006 ROC 2006 TRUE TRUE FALSE <NA> 32 11.2 0.831 0.005
## 5 ROC2007 ROC 2007 FALSE TRUE FALSE <NA> 32 11.0 0.82 0.018
## 6 SEN2006 SEN 2006 FALSE TRUE FALSE <NA> 32 11.2 0.876 -0.008
## 7 SEN2007 SEN 2007 TRUE TRUE FALSE <NA> 30 11.6 0.88 0.046
## 8 VEE2006 VEE 2006 FALSE TRUE FALSE <NA> 31 10.5 0.864 0.034
## 9 VEE2007 VEE 2007 FALSE TRUE FALSE <NA> 32 11.3 0.854 0.044
## 10 VEE2008 VEE 2008 TRUE TRUE FALSE <NA> 31 11.2 0.871 0.014
## # ℹ 32 more rows
## # ℹ 12 more variables: s <dbl>, Type <fct>, FST.GESTE <dbl>, Size <dbl>,
## # V <dbl>, C <dbl>, Stab <dbl>, D <int>, APA <int>, NLT <dbl>,
## # Fst.temp <dbl>, geometry <POINT [°]>
Questions: with the help file for ‘dd.site’, check the meaning of the following explanatory variables:
- What does ‘APE’ refer to, and how is it different from ‘APA’?
- What does ‘NLT’ represent, and is it calculated independently from ‘Size’?
- What does ‘Type’ mean, and what about ‘V’ and ‘D’?
- To understand how connectivity ‘C’ and stability ‘Stab’ were calculated, you’ll need to consult Lamy et al. (2012).
Your hypothesis: which explanatory variables would you expect to affect:
- Genetic diversity within local populations?
- Genetic differentiation among local populations?
- Both?
In the following, we’ll perform three types of analyses:
- Compare 25 populations in space, across the island of Guadeloupe.
- Compare 12 populations in 4 clusters: differentiation within vs. among clusters?
- Compare 12 sites over time, some of which experienced a local extinction event.
2. Spatial distribution of genetic structure
How similar are populations from nearby habitat patches compared to populations across the island? To answer this question, we perform a hiearchical AMOVA (analysis of molecular variance) with individuals from 12 populations that form 4 clusters with 3 populations each.
a. Subsetting the ‘genind’ object
First, we need to extract the samples that belong to the hierarchical data set. There are four clusters: “North”, “East”, “Center” and “South”. We are looking for the observations where the variable “Cluster” has one of these four values, all other observations will have a missing value for “Cluster”. We can use ‘!is.na’ to identify the rows with non-missing values. Because a genind object is at its core a data frame @tab with rows (individuals) and columns(alleles), we can subset rows or columns. Here we subset rows.
b. Hierarchical AMOVA
There are several implementations of AMOVA in R, e.g. in pacakges ‘ade4’, ‘pegas’ and ‘vegan’. The ‘ade4’ implementation is closest to the original implementation in Arlequin. Package ‘poppr’ has a wrapper function ‘poppr.amova’ that makes it easy to perform AMOVA with the ‘ade4’ or with the ‘pegas’ implementation (see ‘?poppr.amova’ for a discussion of their pros and cons). Here we’ll use ‘ade4’.
- The first argument is the ‘genind’ object.
- The argument ‘hier’ defines the hierarchy, with the top level first (i.e., here SITE is nested within Cluster). The variables are expected to be found in the
@strataslot of the ‘genind’ object. - The argument ‘within=FALSE’ specifies that within-individual variance (i.e., observed heterozygosity) should not be tested. Setting this to ‘TRUE’ can lead to problems with missing values.
First we run the AMOVA and estimate the percent of molecular variance at each hierarchical level.
amova.result <- poppr::poppr.amova(dd.genind.Cluster, hier = ~ Cluster/SITE,
within=FALSE, method = "ade4")## Registered S3 method overwritten by 'pegas':
## method from
## print.amova ade4
##
## No missing values detected.
## $call
## ade4::amova(samples = xtab, distances = xdist, structures = xstruct)
##
## $results
## Df Sum Sq Mean Sq
## Between Cluster 3 67.27429 22.424764
## Between samples Within Cluster 8 158.37917 19.797396
## Within samples 353 1563.08216 4.427995
## Total 364 1788.73562 4.914109
##
## $componentsofcovariance
## Sigma %
## Variations Between Cluster 0.02770227 0.5582719
## Variations Between samples Within Cluster 0.50644882 10.2062461
## Variations Within samples 4.42799478 89.2354820
## Total variations 4.96214587 100.0000000
##
## $statphi
## Phi
## Phi-samples-total 0.107645180
## Phi-samples-Cluster 0.102635446
## Phi-Cluster-total 0.005582719
Then we test whether each variance component is statistically significant (i.e., significantly larger than zero).
Note: if this takes very long, you can set nrepet = 199 for this exercise (not for your research).
## class: krandtest lightkrandtest
## Monte-Carlo tests
## Call: randtest.amova(xtest = amova.result, nrepet = 999)
##
## Number of tests: 3
##
## Adjustment method for multiple comparisons: none
## Permutation number: 999
## Test Obs Std.Obs Alter Pvalue
## 1 Variations within samples 4.42799478 -82.776517 less 0.001
## 2 Variations between samples 0.50644882 56.042631 greater 0.001
## 3 Variations between Cluster 0.02770227 1.729911 greater 0.049
Questions:
- At what level is there stronger differentiation, within or among clusters?
- What does this mean biologically?
- Are both levels statistically significant?
3. What determines genetic differentiation among sites?
What factors explain site-specific Fst? Let’s consider the key micro-evolutionary processes:
- Genetic drift: the smaller the population, the higher the rate of drift, hence we expect higher differention for small populations. Predictor: long-term population size ‘NLT’.
- Gene flow: gene flow homogenizes allele frequencies, hence we expect less differentiation for well connected patches. Predictors: connectivity ‘C’, density of favorable habitat ‘D’ (within 2 km radius).
First, we create a new sf object with the subset of data for the spatial analysis (25 ponds, one year each).
a. Correlation matrix
Let’s start with a correlation matrix.
- First, we need to drop the geometry from the
sfobject withst_drop_geometry. This will return a data framedd.dfwith the attribute data. - We select the variables that we want to correlate with the function
cor. - The attribute
useof the functioncordefines how to handle missing values.use="pairwise.complete"means that for each pair of variables, those individuals with no missing values for these variable will be used. See help file?corfor alternatives.
dd.df <- st_drop_geometry(dd.spatial)
cor(dd.df[ , c("FST.GESTE", "NLT", "C", "D")], use="pairwise.complete")## FST.GESTE NLT C D
## FST.GESTE 1.00000000 -0.48565247 -0.43104600 0.02768978
## NLT -0.48565247 1.00000000 -0.08369541 0.10242973
## C -0.43104600 -0.08369541 1.00000000 -0.32078070
## D 0.02768978 0.10242973 -0.32078070 1.00000000
Questions:
- Is there genetic evidence for higher drift in small populations?
- Is there genetic evidence for higher gene flow among well connected patches?
- Are the two factors confounded for this data set?
- Would you prefer ‘C’ or ‘D’ to quantify patch connectivity? Does it matter? What does this mean biologically?
b. Scatterplots
Let’s plot the response variable FST.GESTE against each of the two predictors NLT and C. Here, we use functions from the package ggplot2 (already loaded) to define two ggplot objects NLT.plot and C.plot, then we plot them side-by-side with the function cowplot::plot_grid.
- For NLT.plot, we define the dataset as
dd.spatial@data, the x-axis as variable NLT, the y-axis as variable FST.GESTE, and the labels as variable SITE. - We add points with geom_point.
- We add a regression line (
geom_smooth), make it linear (method = lm) and add a shaded area for plus/minus 1 SE of the mean for a given value of x (se = TRUE). - We add backfilled labels (
geom_label), define their size (size), and move them up a little along the y-axis (nudge_y)
NLT.plot <- ggplot(dd.df, aes(x=NLT, y=FST.GESTE)) +
geom_point() +
geom_smooth(formula = 'y ~ x', method = lm, se = TRUE) +
geom_text(aes(x=NLT, y=FST.GESTE, label=SITE), size=2, nudge_x=0, nudge_y=0.01, check_overlap=TRUE)
C.plot <- ggplot(dd.df, aes(x=C, y=FST.GESTE)) +
geom_point() +
geom_smooth(formula = 'y ~ x', method = lm, se = TRUE) +
geom_text(aes(x=C, y=FST.GESTE, label=SITE), size=2.5, nudge_x=0, nudge_y=0.01, check_overlap=TRUE)
cowplot::plot_grid(NLT.plot, C.plot)
c. Regression model
The two predictors ‘NLT’ and ‘C’ are not strongly correlated. We’ll fit a regression model with both predictors. Here we use function ‘scale’ to standardize each variable, so that we can interpret the regression slope coefficients as partial correlation coefficients (beta coefficients).
##
## Call:
## lm(formula = scale(FST.GESTE) ~ scale(NLT) + scale(C), data = dd.spatial)
##
## Residuals:
## Min 1Q Median 3Q Max
## -1.0576 -0.4142 -0.1361 0.2653 2.2394
##
## Coefficients:
## Estimate Std. Error t value Pr(>|t|)
## (Intercept) -2.576e-17 1.535e-01 0.000 1.00000
## scale(NLT) -5.254e-01 1.572e-01 -3.342 0.00296 **
## scale(C) -4.750e-01 1.572e-01 -3.021 0.00628 **
## ---
## Signif. codes: 0 '***' 0.001 '**' 0.01 '*' 0.05 '.' 0.1 ' ' 1
##
## Residual standard error: 0.7676 on 22 degrees of freedom
## Multiple R-squared: 0.4599, Adjusted R-squared: 0.4108
## F-statistic: 9.367 on 2 and 22 DF, p-value: 0.00114
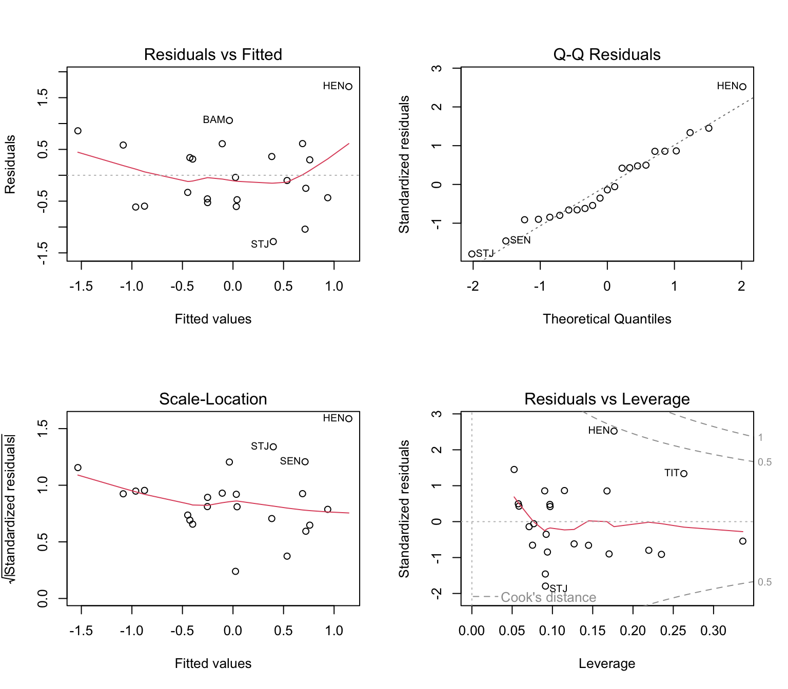
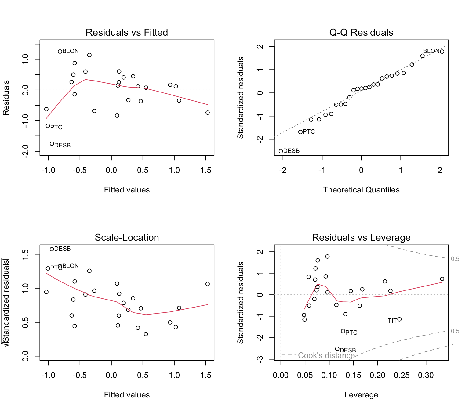
Is the model valid? Let’s check the residual plots.
Here’s a link to a great resource about the interpretation of these plots generated by R: http://strata.uga.edu/6370/rtips/regressionPlots.html

If we had more than two predictors, it would be a good idea to calculate variance inflation factors. The package ‘car’ has a function ‘vif’ that takes as argument a fitted model. Here, both predictors have VIF = 1.007, which indicates no collinearity.
## scale(NLT) scale(C)
## 1.007054 1.007054
d. Which populations don’t fit the general pattern?
Let’s plot the residuals in space. The function tm_bubbles from the package ‘sf’ evaluates the projection information of the sf object ‘dd.spatial’. First, we need to create some new variables:
- Add the residuals as variable to dd.spatial.
- Add the absolute valuel of the residuals as another variable.
- Create an index variable
athat identifies potential outliers (here: absolute value > 1.5)
dd.spatial$Residuals <- mod.diff$residuals
dd.spatial$Absolute <- abs(mod.diff$residuals)
a <- which(dd.spatial$Absolute > 1.5)Now we can create a bubble plot with the size of the bubble proportional to the absolute value of the residual, and the color according to the sign (positive or negative). For the latter, we use the argument breaks. Here, any value between -Inf and 0 will be plotted in red, and any value between 0 and Inf will be plotted in blue.
In addition, we label the two largest outliers (with absolute values >1.5) and position the labels with the argument just. Here, just=c(0.7,2.5) means that the labels are placed at 0.7 along the horizontal axes and at 2.5 along the vertical axis, compared to the point location. This requires some playing around with values.
## tmap mode set to plotting
Map1 <- tm_shape(dd.spatial) + tm_bubbles(size="Absolute",col="Residuals",
breaks=c(-Inf, 0, Inf), palette=c("red", "blue")) +
tm_shape(dd.spatial[a,]) + tm_text(text="SITE", size=0.8, just=c(0.7,2.5))
Map1
Export this map as a pdf file. (Un-comment the lines below to run the code below, i.e., remove the hashtag symsbols ‘#’).
#if(!dir.exists(here::here("output"))) dir.create(here::here("output"))
#tmap_save(Map1, file=here::here("output/ResidualMap.pdf"), width = 7, height = 5.5, units = "in", dpi = 300)By changing the mode to view, we can create convert the map into an interactive plot with a background map from the internet (see Week 2).
Un-comment the lines below to run the code.
What might explain the large residuals for the two sites ‘PTC’ and ‘DESB’?
- Site ‘PTC’ lies on the tip of a peninsula and thus is very isolated geographically.
- Site ‘DESB’ is a very instable site that can frequently dry out during the dry season, as it is shallow and lies in the comparatively dry northern part of the island. In addition, although ‘DESB’ is surrounded by many ponds, these ponds never get connected to ‘DESB’ hydrologically during the rainy season. Therefore, immigration can only occur via cattle or birds, which are much less important drivers of gene flow than immigration by hydrological connectivity during the rainy season.
e. Regression model without outliers
We can use the same index a to exclude the potential outliers from the regression model:
mod.diff.minus2 <- lm(scale(FST.GESTE) ~ scale(NLT) + scale(C),
data=dd.spatial[-a,])
summary(mod.diff.minus2)##
## Call:
## lm(formula = scale(FST.GESTE) ~ scale(NLT) + scale(C), data = dd.spatial[-a,
## ])
##
## Residuals:
## Min 1Q Median 3Q Max
## -1.2815 -0.5002 -0.1009 0.4732 1.7142
##
## Coefficients:
## Estimate Std. Error t value Pr(>|t|)
## (Intercept) 3.490e-17 1.562e-01 0.000 1.00000
## scale(NLT) -5.096e-01 1.622e-01 -3.142 0.00514 **
## scale(C) -5.761e-01 1.622e-01 -3.552 0.00200 **
## ---
## Signif. codes: 0 '***' 0.001 '**' 0.01 '*' 0.05 '.' 0.1 ' ' 1
##
## Residual standard error: 0.7493 on 20 degrees of freedom
## Multiple R-squared: 0.4896, Adjusted R-squared: 0.4386
## F-statistic: 9.593 on 2 and 20 DF, p-value: 0.001199
- Did omitting the two sites improve model fit?
- Did it change the nature of the results?
- Does this affect the biological interpretation?

4. What determines genetic diversity?
- Can the same predictors (population size and connectivity) explain genetic diversity?
- Is patch size (‘Size’) a good proxy for population size (as often used in ecological studies)?
- Which measure of genetic diversity shows the stronger response, allelic richness (rarefied) or expected heterozygosity?
a. Correlation matrix
## RA He Size NLT C D
## RA 1.00000000 0.95151016 0.3482453 0.51343861 0.46576979 -0.09856668
## He 0.95151016 1.00000000 0.3057086 0.49851503 0.45206733 -0.09593604
## Size 0.34824532 0.30570855 1.0000000 0.76128271 -0.17765815 0.30002700
## NLT 0.51343861 0.49851503 0.7612827 1.00000000 -0.08369541 0.10242973
## C 0.46576979 0.45206733 -0.1776581 -0.08369541 1.00000000 -0.32078070
## D -0.09856668 -0.09593604 0.3000270 0.10242973 -0.32078070 1.00000000
Questions:
- How strongly are the two diversity measures ‘RA’ and ‘He’ correlated?
- Are ‘NLT’ and ‘C’ strongly correlated with the diversity measures ‘RA’ and ‘He’?
- Is the correlation with ‘Size’ similarly strong as the correlation with ‘NLT’?
- How strongly are ‘Size’ and ‘NLT’ correlated with each other?
- Does ‘D’ show a stronger correlation with diversity than with differentiation?
b. Regression models
For allelic richness:
##
## Call:
## lm(formula = scale(RA) ~ scale(NLT) + scale(C), data = dd.spatial)
##
## Residuals:
## Min 1Q Median 3Q Max
## -1.5115 -0.5140 0.2356 0.4995 1.2462
##
## Coefficients:
## Estimate Std. Error t value Pr(>|t|)
## (Intercept) -1.238e-16 1.441e-01 0.000 1.00000
## scale(NLT) 5.563e-01 1.476e-01 3.770 0.00106 **
## scale(C) 5.123e-01 1.476e-01 3.472 0.00217 **
## ---
## Signif. codes: 0 '***' 0.001 '**' 0.01 '*' 0.05 '.' 0.1 ' ' 1
##
## Residual standard error: 0.7204 on 22 degrees of freedom
## Multiple R-squared: 0.5243, Adjusted R-squared: 0.481
## F-statistic: 12.12 on 2 and 22 DF, p-value: 0.0002825

For gene diversity (expected heterozygosity):
##
## Call:
## lm(formula = scale(He) ~ scale(NLT) + scale(C), data = dd.spatial)
##
## Residuals:
## Min 1Q Median 3Q Max
## -1.7545 -0.3619 0.1211 0.4458 1.2550
##
## Coefficients:
## Estimate Std. Error t value Pr(>|t|)
## (Intercept) -1.381e-16 1.486e-01 0.000 1.00000
## scale(NLT) 5.401e-01 1.522e-01 3.549 0.00180 **
## scale(C) 4.973e-01 1.522e-01 3.268 0.00352 **
## ---
## Signif. codes: 0 '***' 0.001 '**' 0.01 '*' 0.05 '.' 0.1 ' ' 1
##
## Residual standard error: 0.7429 on 22 degrees of freedom
## Multiple R-squared: 0.4941, Adjusted R-squared: 0.4481
## F-statistic: 10.74 on 2 and 22 DF, p-value: 0.0005559

6. Effect of recent extinction events
Several patches fell dry between observation years, which is assumed to signify extinction of the local population. Does genetic evidence support this interpretation, i.e., is there genetic evidence of bottlenecks or founder effects in D. depressissimum?
a. Effect of patch extinction event (temporal data set)
dd.temporal <- dd.site[dd.site$MultiYear==TRUE,]
dd.temporal.df <- sf::st_drop_geometry(dd.temporal)
cor(dd.temporal.df[, c("Fst.temp", "APE", "NLT", "C")], use="pairwise.complete")## Fst.temp APE NLT C
## Fst.temp 1.0000000 0.29379662 -0.10494809 -0.3356817
## APE 0.2937966 1.00000000 -0.07420821 -0.4927664
## NLT -0.1049481 -0.07420821 1.00000000 0.3103541
## C -0.3356817 -0.49276638 0.31035409 1.0000000
We can compare a number of competing models using the Akaike Information Criterion (AIC). Models with lower AIC are better (see Week 12).
##
## Call:
## lm(formula = scale(Fst.temp) ~ scale(APE), data = dd.temporal.df)
##
## Residuals:
## Min 1Q Median 3Q Max
## -1.0290 -0.5094 -0.3566 0.2140 2.0886
##
## Coefficients:
## Estimate Std. Error t value Pr(>|t|)
## (Intercept) -0.04099 0.29246 -0.140 0.891
## scale(APE) 0.27599 0.28396 0.972 0.354
##
## Residual standard error: 1.003 on 10 degrees of freedom
## (17 observations deleted due to missingness)
## Multiple R-squared: 0.08632, Adjusted R-squared: -0.005052
## F-statistic: 0.9447 on 1 and 10 DF, p-value: 0.354
mod.Fst.temp.C <- lm(scale(Fst.temp) ~ scale(APE) + scale(C),
data=dd.temporal.df)
mod.Fst.temp.NLT <- lm(scale(Fst.temp) ~ scale(APE) + scale(NLT),
data=dd.temporal.df)
mod.Fst.temp.both <- lm(scale(Fst.temp) ~ scale(APE) + scale(NLT) + scale(C),
data=dd.temporal.df)
AIC(mod.Fst.temp, mod.Fst.temp.C, mod.Fst.temp.NLT, mod.Fst.temp.both)## df AIC
## mod.Fst.temp 3 37.92714
## mod.Fst.temp.C 4 39.27770
## mod.Fst.temp.NLT 4 39.83549
## mod.Fst.temp.both 5 41.27462
The best model includes neither ‘C’ nor ‘NLT’. Note that ‘APE’ is a binary variable, so in essence we’re performing a t-test here.
##
## Welch Two Sample t-test
##
## data: Fst.temp by APE
## t = -0.94604, df = 7.893, p-value = 0.1861
## alternative hypothesis: true difference in means between group FALSE and group TRUE is less than 0
## 95 percent confidence interval:
## -Inf 0.01085372
## sample estimates:
## mean in group FALSE mean in group TRUE
## 0.0080 0.0192
b. Power analysis
The effect is not statistically significant. Does that mean that we found no effect of apparent population extinctions on temporal Fst? Let’s check effect size. For means, Cohen’s effect size is measured by d (which is measured in units of standard deviations):
- small effect: d > 0.2 (means at least 0.2 standard deviations apart)
- medium effect: d > 0.5
- large effect: d > 0.8
We can let R calculate effect size for us:
##
## Cohen's d
##
## d estimate: -0.5691221 (medium)
## 95 percent confidence interval:
## lower upper
## -1.8992165 0.7609722
So, we actually found a ‘medium’ effect (more than 0.5 standard deviations difference between group means). Maybe sample size was too small to have sufficient power?
Let’s check sample size:
##
## FALSE TRUE
## 7 5
Ah, that explains a lot. There were only 5 sites with apparent extinction, and 7 without.
Given that sample size, what was the statistical power of our test to detect at least a large effect (d = - 0.8), i.e., be able to reject the null hypothesis if such an effect is present in the population from which we sampled?
##
## t test power calculation
##
## n1 = 7
## n2 = 5
## d = -0.8
## sig.level = 0.05
## power = 0.3552962
## alternative = less
So the power to detect at least a large effect, if it exists in the population, was only 0.355, way below the 0.8 (or even 0.95) that we would want to see. For a medium effect, the power is even smaller.
c. Sample size calculation
How large a sample would we have needed in each group to achieve a power of 0.8 to detect a large effect? And for a medium effect?
##
## Two-sample t test power calculation
##
## n = 20.03277
## d = -0.8
## sig.level = 0.05
## power = 0.8
## alternative = less
##
## NOTE: n is number in *each* group
##
## Two-sample t test power calculation
##
## n = 50.1508
## d = -0.5
## sig.level = 0.05
## power = 0.8
## alternative = less
##
## NOTE: n is number in *each* group
More than 20 sites in each group would have been needed to detect a large effect, or more than 50 per group to detect a medium effect, with a power of 80%.
Hence, these particular results are inconclusive. There was a trend showing a large effect size but power was very low. This aspect of the study should ideally be repeated with a larger sample size before reaching any conclusions.
Note however that using additional evidence (e.g., population assignment tests), Lamy et al. (2012) concluded that extinctions were in fact less common in this system than previously assumed – in many cases of apparent extinction, individuals may still be present but just not detected.