
6 Gradiente Boosting
Assim como a Floresta Aleatória de Breiman (Breiman 2001), o Gradiente Boosting de Friedman (Friedman 2001) é um método para dados supervisionados que combina muitas árvores para gerar uma única previsão. Mas a maneira que as árvores são construídas e a previsão final são bem diferentes entre os dois métodos.
Como já visto no capítulo anterior, a Floresta Aleatória é um método de aprendizagem de conjunto (ensemble learning) que combina várias árvores de decisão para fazer previsões. Cada árvore de decisão é treinada em uma amostra aleatória do conjunto de dados, usando a técnica bootstrapping (amostragem com reposição). Além disso, em cada divisão de uma árvore de decisão da floresta, apenas um subconjunto aleatório de variáveis é considerado para escolher a melhor divisão. No final, as previsões de cada árvore são combinadas para se obter a previsão final.
Podemos dizer que as árvores da Floresta Aleatória são construídas “em paralelo”, são árvores independentes e as previsões de todas elas, que podem ser feitas ao mesmo tempo, resulta no modelo final. Já o Boosting constrói as árvores “em série”, de forma sequencial. Cada nova árvore é treinada para corrigir os erros cometidos pelas árvores anteriores. As árvores não são independentes e o resultado final precisa passar por cada uma das árvores, na ordem em que elas foram construídas, para ser obtido.
6.1 Boosting
Os métodos de aprendizado Boosting são uma classe de algoritmos de aprendizado de máquina que combinam vários modelos fracos para formar um modelo forte e de alta precisão. A ideia central do Boosting é treinar os modelos de forma sequencial, onde cada novo modelo é construído para corrigir os erros cometidos pelos modelos anteriores.
O Boosting é conhecido por sua capacidade de melhorar gradualmente a precisão do modelo à medida que novos modelos são adicionados. Ele é especialmente eficaz em problemas complexos e difíceis, onde um único modelo fraco não é suficiente para obter um bom desempenho.
6.2 O Método
De forma bem geral, o Gradiente Boosting começa com um primeiro método de aprendizado bem simples, conhecido como aprendizado fraco. Este método pode ser uma árvore com uma única partição ou até mesmo a média amostral, para o caso de regressão, ou a proporção das classes, para o caso de classificação. vamos chamar o aprendizado fraco de \(A_0\), que retorna uma previsão para cada observação \(\mathbf{x}_i\), denominado \(A_0(\mathbf{x}_i)\). Considerando o método apenas com o aprendizado fraco, a previsão para o observação \(\mathbf{x}_i\) será dada por:
\[F_0(\mathbf{x}_i) = A_0(\mathbf{x}_i)\] sendo \(F_0(\mathbf{x}_i)\) a previsão do Gradiente Boosting para a observação \(\mathbf{x}_i\) no momento inicial.
Em seguida são calculados os erros cometidos na base de treino. Chama-se \(e^0_i\) o erro da observação \(i\) no momento inicial do método.
\[ e^0_i = y_i - F_0(\mathbf{x}_i) \]
Uma nova árvore é ajustada, mas agora a variável resposta é o erro \(\mathbf{e^0}\). Vamos chamar essa árvore de \(A_1\), que é a primeira árvore construída para prever o erro. Denomina-se \(A_1(\mathbf{x}_i)\) a previsão dada por \(A_1\) para cada observação \(\mathbf{x}_i\). Com estas duas árvores o método fornece como previsão para a observação \(\mathbf{x}_i\)
\[ F_1(\mathbf{x}_i) = F_0(\mathbf{x}_i) + A_1(\mathbf{x}_i) \]
Sendo \(F_1(\mathbf{x}_i)\) a previsão dada pelo Gradiente Boosting na primeira iteração. Novamente é encontrado o erro cometido pelo método:
\[ e^1_i = y_i - F_1(\mathbf{x}_i). \] O erro sempre será a diferença entre o valor observado e o valor previsto pela última iteração do método. Mais uma árvore é ajustada, agora para prever os erros \(\mathbf{e^1}\). O processo é repetido até que se tenha construído as \(M\) árvores previstas pelo algoritmo.
Veja que é sempre possível escrever a previsão do método na iteração \(m\) em termos da sua previsão na iteração anterior:
\[ F_m(\mathbf{x}_i) = F_{m-1}(\mathbf{x}_i) + A_m(\mathbf{x}_i) \]

6.3 Regularização
A maior preocupação ao construir um modelo de aprendizado de máquina a partir de dados é a capacidade de generalização do modelo. Se o algoritmo de aprendizado não for aplicado corretamente, o modelo pode facilmente superajustar os dados. Esta também é uma preocupação para o método do Gradiente Boosting (Natekin and Knoll 2013).
6.3.1 Subamostragem
A técnicas mais simples de regularização é a subamostragem. A ideia é introduzir algum grau de aleatoriedade no procedimento de ajuste. Para isso, para cada árvore construída apenas uma parte aleatória dos dados de treinamento é usada, normalmente os dados de treinamento são amostrados sem reposição.
Esta etapa gera um hiperparâmetro chamado de “fração de amostragem” (bag. fraction), que especifica a proporção dos dados a serem usados em cada iteração. Por exemplo, \(\lambda = 0,1\) corresponde a usar 10% dos dados em cada iteração para o ajuste de cada árvore. Constuma-se usar \(\lambda=0,5\), mas o valor ideal para este parãmetro pode ser definido a partir de uma validação cruzada. Uma propriedade útil do subsampling é que ele se adapta naturalmente aos conjuntos grandes de dados, quando não há razão para usar todas as enormes quantidades de dados de uma só vez.
6.3.2 Taxa de Aprendizagem (shrinkage)
A abordagem clássica para controlar a complexidade do modelo é a introdução de uma taxa de aprendizado \(\nu \in (0,1]\). Esta taxa é usada para reduzir o impacto das correções dos erros e reduzir o tamanho dos passos incrementais em cada etapa. A intuição por trás dessa técnica é: chegamos à um resultado melhor com muitos pequenos passos do que com poucos grandes passos. Além disso, se uma das iterações se mostrar errônea, seu impacto negativo pode ser facilmente corrigido em etapas subsequentes.
\[ F_m(\mathbf{x}_i) = F_{m-1}(\mathbf{x}_i) + \nu A_m(\mathbf{x}_i) \]
6.4 Regressão x Classificação
Parece natural pensar no Gradiente Boosting para Regressão: temos árvores de regressão em sequência onde cada uma conserta o erro, que é um valor numérico contínua, da etapa anterior. E para o caso da classificação? O que seria o erro que será usado como variável alvo na etapa seguinte?
No método Gradient Boosting para classificação o modelo de aprendizado fraco, \(A_0\), será um modelo de classificação que retorna como previsão um número entre 0 e 1, que indica a chance da classe referência ser a classe escolhida. O erro então é calculado como a diferença entre a previsão dada por \(A_0\) e o valor de variável indicadora que representa a classe. Assim se \(A_0 \approx 1\) e a classe referência for a verdadeira, o erro será pequeno. Por outro lado, se \(A_0 \approx 1\) e a classe referência for falsa, o erro será grande.
No momento da construção de \(A_1\), a primeira árvore de correção dos erros, a variável alvo não será mais uma categoria e sim um valor contínuo que indica o erro. Daí por diante todas as árvores construídas pelo método são de regressão, mesmo o método sendo para classificação.
No entanto, é importante observar que, apesar de usar árvores de regressão para corrigir os erros, o Gradient Boosting é amplamente utilizado para problemas de classificação, onde o objetivo é prever rótulos de classe discretos. Isso é possível porque, após a etapa de treinamento do Gradient Boosting, a combinação das previsões de todas as árvores é usada para atribuir à cada instâncias um valor entre 0 e 1 que indica a classe prevista.
6.5 Algoritmo
Considere uma base de dados supervisionada, onde \(Y\) é a variável resposta (qualitativa ou quantitativa) e \(X_j\), \(j=1, 2, \ldots, p\) são as \(p\) covariáveis. Para cada observação \(i\), \(i=1, 2, \ldots, n\), isto é, para cada linha \(i\) da base, temos \(Y_i\) o valor da variável resposta para a observação \(i\) e \(X_{i,j}\) o valor ca covariável \(j\) para a observação \(i\). Posto isso, segue o algoritmo para o Método de Floresta Aleatória.
Escolhem-se os valores para os hiperparâmetros \(\lambda\), \(M\) e \(\nu\).
Ajuste o modelo fraco \(A_0\): \(F(\mathbf{x}_i) = A_0(\mathbf{x}_i)\).
Faça \(m=1\).
Calcule os erros \(e_i = y_i - F(\mathbf{x}_i)\).
Faça uma seleção aleatória simples, sem reposição, de \(\lambda \times 100\%\) da base de treino.
Ajuste uma árvore de regressão \(A_m\) para prever os erros \(e_i\) usando como base de treino o sorteio da etapa anterior.
Atualize: \(F(\mathbf{x}_i) = F(\mathbf{x}_i) + \nu A_m(\mathbf{x}_i)\).
Se \(m<M\), volte para o passo 3.
6.6 XGBoost
O XGBoost (Extreme Gradient Boosting) é uma implementação otimizada e aprimorada do algoritmo de gradiente boosting. o XGBoost também é baseado em um conjunto de árvores de decisão onde cada árvore é construída sequencialmente, corrigindo os erros residuais das árvores anteriores. Ele foi projetado para ser mais eficiente, rápido e preciso em comparação com outras implementações de gradient boosting.
6.6.1 Melhorias na Regularização
O XGBoost incorpora técnicas avançadas de regularização para evitar o overfitting e melhorar a capacidade de generalização do modelo. Isso inclui a adição de termos de penalidade nas funções de perda e a utilização de técnicas como a poda de árvores para evitar o crescimento excessivo.
Enquanto para o gradiente boosting a função de perda geralmente é o erro quadrático médio, \[ MSE = \dfrac{1}{n} \sum_{i=1}^n \left( y_i - \hat{y}_i\right)^2 \] ou seja, em cada partição de cada árvore busca-se a variável que minimiza o MSE, para XGBoost a função de perda recebe um termo de regularização, que controla a complexidade do modelo e penalizando árvores mais complexas
- Melhorias no tempo de execução: O XGBoost utiliza técnicas eficientes de otimização para melhorar o desempenho do modelo. Isso inclui amostragem estocástica de dados durante o treinamento e a aplicação de algoritmos de aproximação para acelerar o processo de ajuste dos parâmetros. O XGBoost também possui a capacidade de paralelizar o treinamento das árvores, aproveitando ao máximo os recursos computacionais disponíveis e acelerando o processo de ajuste do modelo.
Assim como no gradiente boosting, o XGBoost também requer o ajuste adequado de hiperparâmetros para obter os melhores resultados. Isso inclui o número de árvores, a taxa de aprendizagem, a profundidade máxima da árvore e a força da regularização, entre outros.
O XGBoost ganhou popularidade na comunidade de ciência de dados e competições de machine learning devido à sua eficiência, precisão e flexibilidade. Ele foi usado com sucesso em muitos problemas do mundo real e demonstrou um desempenho impressionante em diversas tarefas de modelagem.
6.7 Vamos praticar
Primeiro, sempre, carregar os pacotes necessários para manipulação da base de dados e a base já tratada.
# Carregar pacotes e base de treino
library(tidyverse)
library(rpart)
base_treino = readRDS(file="salvos//base_treino_final.rds")Para criar modelos de Gradiente Boosting será usado o pacote gbm (Chen et al. 2023).
#install.packages("xgboost")
library(xgboost)Assim como para a Floresta Aleatória, para o Gradiente Boosting é fundamental fixar a semente para garantir a reprodutibilidade do código.
set.seed(123456789)Serão replicados os mesmos exemplos feitos para os métodos já apresentados.
Regressão
Primeiro será ajustado um modelo para prever a nota em matemática das escolas. A função a ser usada é a xgboost, do pacote de mesmo nome. Um passo importante que precisa ser feito ao usar esta função é a transformação da base de dados, que é um data.frame, em matriz. A função xgboost não aceita data.frame como base de dados. E esta matriz deve conter somente as covariáveis.
X = base_treino |> select(SG_UF_ESCOLA,
TP_DEPENDENCIA_ADM_ESCOLA,
TP_LOCALIZACAO_ESCOLA,
NU_MATRICULAS,
INSE,
PC_FORMACAO_DOCENTE,
NU_TAXA_PERMANENCIA,
NU_TAXA_REPROVACAO,
NU_TAXA_ABANDONO,
PORTE_ESCOLA)
M_X = model.matrix(~. , data = X)[,-1]É preciso informar o objetivo do método, que neste exemplo é realizar uma regressão. Por isso objective = "reg:squarederror". Neste momento também é possível indicamos valores para os hiperparâmetros aprendidos na aula de hoje: nrounds, número de árvores; subsample, proporção da base referente à subamostra; e eta, a taxa de aprendizagem.
XGB_REG <- xgboost(data = M_X,
label = base_treino$NU_MEDIA_MT,
objective = "reg:squarederror",
nrounds = 100,
subsample = 0.5,
eta = 0.1)As variáveis importantes para esse modelo podem ser encontradas apartir do comando a seguir.
xgb.importance(model = XGB_REG) Feature Gain Cover Frequency
1: TP_DEPENDENCIA_ADM_ESCOLAEstadual 5.306025e-01 0.0470237078 0.0268548020
2: INSEGrupo 6 1.421266e-01 0.0515623861 0.0277651343
3: INSEGrupo 5 5.808020e-02 0.0545418463 0.0234410560
4: PC_FORMACAO_DOCENTE 4.484858e-02 0.1099405602 0.1522530724
5: NU_TAXA_PERMANENCIA 4.467215e-02 0.1664474935 0.1470186618
6: NU_MATRICULAS 3.796238e-02 0.1003087951 0.1731907146
7: NU_TAXA_REPROVACAO 2.533055e-02 0.0740887078 0.1206190259
8: NU_TAXA_ABANDONO 2.295272e-02 0.0537934695 0.0698680018
9: SG_UF_ESCOLAMG 1.869827e-02 0.0433338275 0.0229858898
10: INSEGrupo 4 1.310196e-02 0.0306511715 0.0193445608
11: SG_UF_ESCOLACE 6.500493e-03 0.0152983884 0.0129722349
12: INSEGrupo 3 6.390287e-03 0.0127827782 0.0147928994
13: SG_UF_ESCOLASP 4.789554e-03 0.0119504182 0.0152480655
14: SG_UF_ESCOLAPI 4.697503e-03 0.0086840403 0.0095584888
15: TP_DEPENDENCIA_ADM_ESCOLAMunicipal 3.918462e-03 0.0181334932 0.0097860719
16: SG_UF_ESCOLARJ 3.888793e-03 0.0164320119 0.0131998179
17: SG_UF_ESCOLABA 3.406202e-03 0.0108831444 0.0100136550
18: SG_UF_ESCOLAES 3.054521e-03 0.0271340395 0.0081929904
19: TP_DEPENDENCIA_ADM_ESCOLAPrivada 2.643080e-03 0.0031961429 0.0088757396
20: SG_UF_ESCOLAPR 2.291903e-03 0.0069048521 0.0084205735
21: INSEGrupo 2 1.949605e-03 0.0029211801 0.0077378243
22: SG_UF_ESCOLADF 1.681868e-03 0.0168931722 0.0070550751
23: SG_UF_ESCOLARS 1.632417e-03 0.0045557140 0.0079654074
24: SG_UF_ESCOLASC 1.357340e-03 0.0030162216 0.0065999090
25: TP_LOCALIZACAO_ESCOLARural 1.299975e-03 0.0049322934 0.0081929904
26: PORTE_ESCOLADe 31 a 60 alunos 1.291697e-03 0.0041641910 0.0086481566
27: SG_UF_ESCOLAAM 1.278091e-03 0.0163716396 0.0065999090
28: SG_UF_ESCOLAGO 1.176924e-03 0.0046184773 0.0043240783
29: PORTE_ESCOLADe 61 a 90 alunos 9.537991e-04 0.0021799763 0.0061447428
30: SG_UF_ESCOLATO 9.390284e-04 0.0056110329 0.0036413291
31: SG_UF_ESCOLAMA 8.921156e-04 0.0094025299 0.0045516614
32: SG_UF_ESCOLAAP 8.443140e-04 0.0117994876 0.0043240783
33: SG_UF_ESCOLAMS 8.218697e-04 0.0028076086 0.0034137460
34: SG_UF_ESCOLAPE 7.164451e-04 0.0034576563 0.0038689122
35: SG_UF_ESCOLARN 6.734673e-04 0.0030556728 0.0027309968
36: SG_UF_ESCOLARR 5.714803e-04 0.0120517360 0.0029585799
37: SG_UF_ESCOLAAL 5.164073e-04 0.0083349572 0.0034137460
38: SG_UF_ESCOLASE 4.795917e-04 0.0048967276 0.0031861629
39: SG_UF_ESCOLAMT 3.986054e-04 0.0059669901 0.0029585799
40: SG_UF_ESCOLAPB 3.413844e-04 0.0083762016 0.0038689122
41: SG_UF_ESCOLAPA 1.928292e-04 0.0001900829 0.0027309968
42: SG_UF_ESCOLARO 3.401746e-05 0.0013051764 0.0006827492
Feature Gain Cover Frequency
A tabela apresentada mostra as variáveis ordenadas de acordo com sua importância no modelo, geralmente medido com base na redução média de ganho (Gain) ou na frequência em que a variável é selecionada para splits nas árvores do modelo (Frequency).
Já a coluna Cover representa a cobertura das variáveis, que representa a proporção de instâncias (observações) que são atribuídas a uma determinada ramificação do split. Quanto maior a cobertura média, maior a importância atribuída à variável, pois ela tem um impacto mais amplo na divisão dos dados e afeta uma proporção maior das instâncias de treinamento.
A função predict realiza a previsão também para o Gradiente Boosting, mas para o XGBoost é preciso informar o argumento newdata. Se queremos a previsão para os valores de treino, newdata será a matriz de covariáveis usadas para treinamento.
y_ = predict(XGB_REG,newdata = M_X)A previsão pode ser feita pela mesma função predict.
y = base_treino$NU_MEDIA_MT
(RSS = sum((y - y_)^2))[1] 9783911
(EMQ = mean((y-y_)^2))[1] 836.2317
(R2 = 1 - sum((y-y_)^2)/sum((y-mean(y))^2))[1] 0.8227031
Classificação Binária
Vamos repetir o processo de criar a nova variável resposta categória binária seguindo os critérios já estipulados. A questão principal aqui é que a função xgboost quando usada para problemas de classificação não recebe como label um objeto do tipo factor, o objeto passado como entrada no label precisa ser um vetor de números inteiros, começando em 0, que indica para cada observação qual a sua classe. Vamos usar 0 para a classe de interesse, “baixa” e 1 para a classe as outras classes.
TAXA_PART_BAIXA = ifelse(base_treino$TAXA_PART_CAT == "baixa",1,0)A diferença na chamada da função xgboost para o caso de classificação é que agora objective = "binary:logistic", isso para o caso de classificação binária.
XGB_CLASS_2 <- xgboost(data = M_X,
label = TAXA_PART_BAIXA,
objective = "binary:logistic",
nrounds = 100,
subsample = 0.5,
eta = 0.1)xgb.importance(model = XGB_CLASS_2) Feature Gain Cover Frequency
1: TP_DEPENDENCIA_ADM_ESCOLAEstadual 0.3322269015 0.055190929 0.0111492281
2: NU_TAXA_ABANDONO 0.1018848439 0.127020347 0.1203544883
3: NU_MATRICULAS 0.0885588885 0.133749796 0.1523727844
4: PC_FORMACAO_DOCENTE 0.0861221876 0.107803145 0.1723842196
5: NU_TAXA_PERMANENCIA 0.0787436100 0.086133794 0.1558033162
6: NU_TAXA_REPROVACAO 0.0706085049 0.074390866 0.1532304174
7: SG_UF_ESCOLACE 0.0417988890 0.045702664 0.0131503716
8: SG_UF_ESCOLAES 0.0306106392 0.039266300 0.0117209834
9: SG_UF_ESCOLASP 0.0300227300 0.048693018 0.0288736421
10: TP_DEPENDENCIA_ADM_ESCOLAPrivada 0.0125306420 0.012270462 0.0051457976
11: SG_UF_ESCOLAPR 0.0115561333 0.025864864 0.0114351058
12: INSEGrupo 3 0.0109025980 0.009900962 0.0162950257
13: SG_UF_ESCOLARJ 0.0101351635 0.020070681 0.0137221269
14: SG_UF_ESCOLARS 0.0096587244 0.008695351 0.0094339623
15: INSEGrupo 5 0.0090480287 0.014128085 0.0100057176
16: SG_UF_ESCOLADF 0.0077094329 0.016044545 0.0042881647
17: INSEGrupo 4 0.0071768929 0.010361157 0.0137221269
18: INSEGrupo 6 0.0058435602 0.020503478 0.0062893082
19: SG_UF_ESCOLASC 0.0053969417 0.015859602 0.0077186964
20: SG_UF_ESCOLAMG 0.0052533039 0.010009167 0.0062893082
21: SG_UF_ESCOLAPB 0.0051240884 0.013155829 0.0057175529
22: TP_LOCALIZACAO_ESCOLARural 0.0047004174 0.008553865 0.0082904517
23: SG_UF_ESCOLAPE 0.0037880269 0.006780661 0.0060034305
24: PORTE_ESCOLADe 61 a 90 alunos 0.0036696142 0.003004429 0.0091480846
25: PORTE_ESCOLADe 31 a 60 alunos 0.0035405178 0.003540034 0.0077186964
26: SG_UF_ESCOLARO 0.0031767054 0.014203266 0.0040022870
27: SG_UF_ESCOLAMS 0.0029189961 0.010840577 0.0037164094
28: SG_UF_ESCOLAMT 0.0025245631 0.007909155 0.0040022870
29: TP_DEPENDENCIA_ADM_ESCOLAMunicipal 0.0023223987 0.005414093 0.0042881647
30: INSEGrupo 2 0.0018766826 0.002256625 0.0054316752
31: SG_UF_ESCOLAAL 0.0012792843 0.005546506 0.0017152659
32: SG_UF_ESCOLAAP 0.0011583039 0.004559350 0.0014293882
33: SG_UF_ESCOLASE 0.0011578520 0.004610113 0.0014293882
34: SG_UF_ESCOLARN 0.0011502140 0.004746855 0.0020011435
35: SG_UF_ESCOLAGO 0.0010717238 0.004824626 0.0017152659
36: SG_UF_ESCOLABA 0.0009279159 0.001116255 0.0020011435
37: SG_UF_ESCOLATO 0.0008861752 0.001334537 0.0011435106
38: SG_UF_ESCOLAAM 0.0008066465 0.004097937 0.0022870212
39: SG_UF_ESCOLAMA 0.0007185597 0.003081973 0.0011435106
40: SG_UF_ESCOLAPI 0.0006590842 0.003366700 0.0011435106
41: SG_UF_ESCOLARR 0.0004864148 0.004123949 0.0014293882
42: SG_UF_ESCOLAPA 0.0002671990 0.001273455 0.0008576329
Feature Gain Cover Frequency
y_= predict(XGB_CLASS_2, newdata = M_X)
head(y_)[1] 0.007230997 0.013061869 0.146902934 0.118033834 0.017095475 0.666431665
Para gerar a curva ROC, o pacote pROC (Robin et al. 2011) .
library(pROC)
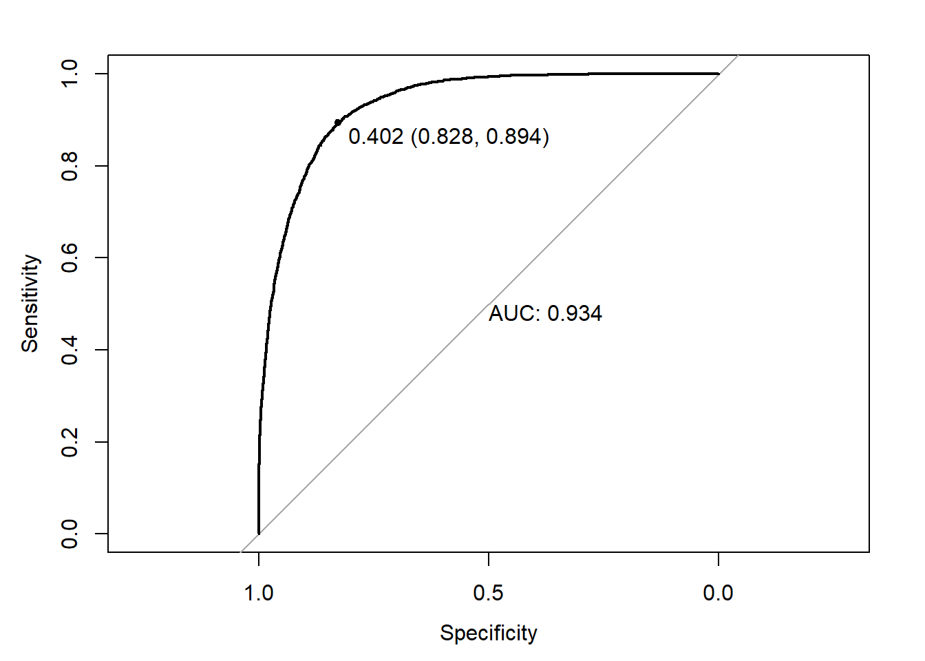
ROC = roc(response = TAXA_PART_BAIXA,predictor = y_)
plot.roc(ROC,
print.auc = TRUE,
print.thres = TRUE)
y_classe = ifelse(y_>0.402,1,0)
library(caret)
confusionMatrix(as.factor(TAXA_PART_BAIXA),as.factor(y_classe))Confusion Matrix and Statistics
Reference
Prediction 0 1
0 6403 1334
1 420 3543
Accuracy : 0.8501
95% CI : (0.8435, 0.8565)
No Information Rate : 0.5832
P-Value [Acc > NIR] : < 2.2e-16
Kappa : 0.6832
Mcnemar's Test P-Value : < 2.2e-16
Sensitivity : 0.9384
Specificity : 0.7265
Pos Pred Value : 0.8276
Neg Pred Value : 0.8940
Prevalence : 0.5832
Detection Rate : 0.5473
Detection Prevalence : 0.6613
Balanced Accuracy : 0.8325
'Positive' Class : 0
Classificação Multiclasses
Vejamos agora o desempenho do método de XGBoost para o problema de classificação com 3 classes. Para o XGBoost é preciso definir a variável resposta como um vetor de números inteiros, começando em 0.
Y = ifelse(base_treino$TAXA_PART_CAT == "baixa",0,ifelse(base_treino$TAXA_PART_CAT =="media",1,2))Dessa vez mais duas mudanças serão feitas na chamada da função xgboost. Agora objective = "multi:softprob", para indicar que o problema é multiclasse, e ainda é preciso informar o número de classes com num_class = 3.
XGB_CLASS_3 <- xgboost(data = M_X,
label = Y,
num_class = 3,
objective = "multi:softprob",
nrounds = 100,
subsample = 0.5,
eta = 0.1)xgb.importance(model = XGB_CLASS_3) Feature Gain Cover Frequency
1: TP_DEPENDENCIA_ADM_ESCOLAEstadual 0.2727811654 0.034564888 0.0133689840
2: NU_TAXA_ABANDONO 0.1199948931 0.116569799 0.1121323529
3: NU_MATRICULAS 0.1000411470 0.153859671 0.1642713904
4: PC_FORMACAO_DOCENTE 0.0961483362 0.116658502 0.1724598930
5: NU_TAXA_PERMANENCIA 0.0936839499 0.116600599 0.1650233957
6: NU_TAXA_REPROVACAO 0.0803653654 0.085124732 0.1479779412
7: SG_UF_ESCOLACE 0.0320501296 0.032071725 0.0134525401
8: SG_UF_ESCOLASP 0.0280441310 0.039020730 0.0205548128
9: SG_UF_ESCOLAES 0.0262090168 0.028509726 0.0113636364
10: TP_DEPENDENCIA_ADM_ESCOLAPrivada 0.0129114855 0.011996542 0.0063502674
11: SG_UF_ESCOLARJ 0.0128809306 0.016292892 0.0122827540
12: SG_UF_ESCOLAPR 0.0124792929 0.023698776 0.0103609626
13: INSEGrupo 5 0.0107345898 0.012328820 0.0127840909
14: INSEGrupo 3 0.0097443905 0.009796788 0.0127840909
15: INSEGrupo 4 0.0093251556 0.007584515 0.0122827540
16: INSEGrupo 6 0.0090997452 0.016903697 0.0103609626
17: SG_UF_ESCOLARS 0.0081488650 0.018073619 0.0085227273
18: SG_UF_ESCOLASC 0.0061832352 0.014451679 0.0071858289
19: SG_UF_ESCOLAMG 0.0060812322 0.013920093 0.0065173797
20: SG_UF_ESCOLADF 0.0054708933 0.015582243 0.0041778075
21: SG_UF_ESCOLAPB 0.0047707776 0.011277866 0.0055147059
22: INSEGrupo 2 0.0041598836 0.006451424 0.0083556150
23: TP_LOCALIZACAO_ESCOLARural 0.0039590747 0.004112651 0.0069351604
24: PORTE_ESCOLADe 31 a 60 alunos 0.0034448331 0.002215143 0.0069351604
25: SG_UF_ESCOLAPE 0.0032061872 0.004129742 0.0045955882
26: SG_UF_ESCOLARO 0.0030046108 0.011809205 0.0040942513
27: PORTE_ESCOLADe 61 a 90 alunos 0.0028705639 0.001548225 0.0070187166
28: SG_UF_ESCOLABA 0.0025806831 0.010966552 0.0037600267
29: TP_DEPENDENCIA_ADM_ESCOLAMunicipal 0.0025342391 0.004240667 0.0033422460
30: SG_UF_ESCOLAMS 0.0023464265 0.007276857 0.0025902406
31: SG_UF_ESCOLAPI 0.0019621460 0.004616369 0.0030915775
32: SG_UF_ESCOLAGO 0.0017955115 0.005018477 0.0030080214
33: SG_UF_ESCOLAPA 0.0015833750 0.005735725 0.0020053476
34: SG_UF_ESCOLAMT 0.0014595957 0.005411581 0.0024231283
35: SG_UF_ESCOLATO 0.0012910209 0.005829560 0.0019217914
36: SG_UF_ESCOLASE 0.0012854201 0.004845362 0.0017546791
37: SG_UF_ESCOLARN 0.0012777760 0.003827110 0.0020053476
38: SG_UF_ESCOLAAM 0.0010629903 0.002148442 0.0016711230
39: SG_UF_ESCOLAAL 0.0009061358 0.005312866 0.0015875668
40: SG_UF_ESCOLAMA 0.0008524803 0.002445415 0.0013368984
41: SG_UF_ESCOLAAP 0.0007917829 0.004139428 0.0009191176
42: SG_UF_ESCOLARR 0.0004765355 0.003031297 0.0009191176
Feature Gain Cover Frequency
Para realizar a previsão com a função predict, lembrando que em um objeto da class “xgb.Booster” é preciso informar o argumento newdata.
predict(XGB_CLASS_3,newdata=M_X) [1] 0.005048582 0.120415643 0.874535799 0.018599473 0.343623400 0.637777150
[7] 0.140126988 0.298844337 0.561028659 0.215170622 0.553240538 0.231588826
[13] 0.032674577 0.371185720 0.596139729 0.721569836 0.262757033 0.015673090
[19] 0.375060320 0.250211477 0.374728233 0.388041288 0.553800166 0.058158521
[25] 0.320265979 0.665694296 0.014039733 0.197767615 0.719515383 0.082716979
[31] 0.021728016 0.145924851 0.832347095 0.802626371 0.154699773 0.042673837
[37] 0.699973345 0.274620771 0.025405882 0.313374877 0.345659316 0.340965778
[43] 0.321086347 0.319072366 0.359841287 0.734190345 0.239601716 0.026207903
[49] 0.911634862 0.078250386 0.010114753 0.662990510 0.301211685 0.035797834
[55] 0.355923951 0.278810591 0.365265429 0.248273090 0.404241353 0.347485512
[61] 0.327105284 0.627952456 0.044942267 0.769827724 0.208441064 0.021731181
[67] 0.794421554 0.180789858 0.024788555 0.167649403 0.570021451 0.262329161
[73] 0.332307607 0.624118030 0.043574385 0.023168048 0.161093011 0.815738916
[79] 0.832803249 0.149446636 0.017750086 0.568659484 0.386870623 0.044469889
[85] 0.347372919 0.533573210 0.119053863 0.270322412 0.475254178 0.254423410
[91] 0.862651408 0.125325024 0.012023501 0.748043180 0.239529178 0.012427661
[97] 0.291402549 0.509013772 0.199583679 0.004128671 0.148118481 0.847752869
[103] 0.484937727 0.426000237 0.089062072 0.743378103 0.231093943 0.025527943
[109] 0.569291472 0.368311018 0.062397480 0.489817679 0.412629873 0.097552419
[115] 0.006538462 0.030589182 0.962872386 0.639962852 0.331126988 0.028910158
[121] 0.646180928 0.316683501 0.037135564 0.016607089 0.428875625 0.554517329
[127] 0.807471395 0.155606598 0.036922034 0.438383043 0.543733776 0.017883129
[133] 0.618114233 0.325802535 0.056083225 0.382960558 0.572057128 0.044982273
[139] 0.753856361 0.225958079 0.020185547 0.720805407 0.241498172 0.037696406
[145] 0.015131713 0.384917080 0.599951208 0.043187801 0.336710930 0.620101273
[151] 0.535952210 0.431373328 0.032674484 0.774423301 0.210520133 0.015056553
[157] 0.280310422 0.675244331 0.044445295 0.711810410 0.265240788 0.022948777
[163] 0.448237360 0.419493228 0.132269457 0.143654421 0.596844494 0.259501040
[169] 0.541225433 0.430244744 0.028529771 0.579648912 0.394560456 0.025790649
[175] 0.005349430 0.246938258 0.747712255 0.358727932 0.461943328 0.179328769
[181] 0.622036994 0.350659460 0.027303532 0.757287502 0.218673736 0.024038712
[187] 0.572234869 0.399734914 0.028030232 0.242614478 0.715465367 0.041920140
[193] 0.161807388 0.751230657 0.086962007 0.373218119 0.560712516 0.066069372
[199] 0.329180330 0.533602417 0.137217268 0.220009580 0.610086620 0.169903845
[205] 0.854251266 0.125635952 0.020112839 0.931945443 0.058504932 0.009549570
[211] 0.259849668 0.463352829 0.276797473 0.551916659 0.210204616 0.237878680
[217] 0.824051440 0.149307683 0.026640860 0.419182450 0.535733938 0.045083642
[223] 0.818775892 0.164357111 0.016866937 0.056341778 0.277714103 0.665944159
[229] 0.832213819 0.155576304 0.012209883 0.029741233 0.278806269 0.691452444
[235] 0.095005669 0.160155728 0.744838655 0.488700479 0.262884796 0.248414695
[241] 0.389343262 0.592207968 0.018448779 0.207489267 0.598897815 0.193612933
[247] 0.734648764 0.247296527 0.018054776 0.666169524 0.319824308 0.014006120
[253] 0.471006364 0.455032080 0.073961601 0.309552968 0.497767508 0.192679524
[259] 0.507426262 0.455436796 0.037136916 0.380156606 0.413549721 0.206293732
[265] 0.638087153 0.335497856 0.026414948 0.303062141 0.292437255 0.404500574
[271] 0.267522961 0.351613939 0.380863070 0.443945408 0.430817306 0.125237301
[277] 0.799869120 0.183662429 0.016468491 0.022679286 0.179081172 0.798239529
[283] 0.032980628 0.915383697 0.051635716 0.724490345 0.255827188 0.019682413
[289] 0.018990336 0.164852440 0.816157281 0.773329437 0.203311428 0.023359157
[295] 0.447030187 0.444364190 0.108605638 0.857139468 0.124715365 0.018145131
[301] 0.359671921 0.498355806 0.141972303 0.410920978 0.551161051 0.037917972
[307] 0.704941392 0.269702822 0.025355740 0.023586618 0.150614455 0.825798869
[313] 0.014954914 0.465854168 0.519190907 0.818586051 0.170792446 0.010621478
[319] 0.026588153 0.288021833 0.685389996 0.007872860 0.515076458 0.477050662
[325] 0.420639992 0.325103104 0.254256845 0.022333356 0.455977023 0.521689653
[331] 0.014739284 0.189358816 0.795901895 0.035354391 0.310037673 0.654607952
[337] 0.547886550 0.429327101 0.022786360 0.411636174 0.497165322 0.091198526
[343] 0.890082777 0.099482916 0.010434324 0.213874772 0.532996356 0.253128827
[349] 0.109898932 0.638070166 0.252030849 0.010487719 0.047701310 0.941811025
[355] 0.396000564 0.568795025 0.035204414 0.032674327 0.126442343 0.840883315
[361] 0.762464046 0.187443107 0.050092902 0.035424247 0.328027129 0.636548579
[367] 0.058012992 0.341710180 0.600276887 0.053749029 0.386659890 0.559591115
[373] 0.071095616 0.360996783 0.567907572 0.333661556 0.342693627 0.323644847
[379] 0.705722988 0.261391640 0.032885335 0.860211074 0.132869393 0.006919519
[385] 0.669799984 0.298089325 0.032110654 0.737307310 0.225644752 0.037047949
[391] 0.527289927 0.437921256 0.034788806 0.779195547 0.208949089 0.011855404
[397] 0.702336013 0.287977844 0.009686110 0.018051723 0.161907524 0.820040762
[403] 0.010864941 0.183822095 0.805312991 0.629828691 0.345112801 0.025058547
[409] 0.812625051 0.178369597 0.009005376 0.649366438 0.330176890 0.020456696
[415] 0.305189133 0.483436853 0.211374030 0.736417353 0.246920452 0.016662247
[421] 0.662550032 0.313912302 0.023537660 0.657930434 0.319125801 0.022943767
[427] 0.108126730 0.224387288 0.667485952 0.735857010 0.252052844 0.012090165
[433] 0.434836656 0.392583996 0.172579378 0.520707369 0.436954051 0.042338539
[439] 0.570548117 0.391504109 0.037947770 0.788673341 0.197788402 0.013538277
[445] 0.036753997 0.291252911 0.671993077 0.640234649 0.330624461 0.029140899
[451] 0.584413946 0.371556580 0.044029482 0.034293793 0.240887865 0.724818349
[457] 0.017189700 0.216243252 0.766566992 0.020286454 0.135344893 0.844368637
[463] 0.724228263 0.252475530 0.023296194 0.621499658 0.325891942 0.052608389
[469] 0.534556448 0.437993139 0.027450452 0.008089072 0.172724649 0.819186211
[475] 0.741913795 0.219138980 0.038947236 0.085618563 0.231850430 0.682530999
[481] 0.039232917 0.063177079 0.897590041 0.628475070 0.351195306 0.020329630
[487] 0.768564224 0.221767142 0.009668593 0.745780945 0.243583903 0.010635164
[493] 0.754072845 0.164537951 0.081389181 0.663173139 0.312321097 0.024505772
[499] 0.748645186 0.218931496 0.032423347 0.701604187 0.249722883 0.048672877
[505] 0.350999117 0.290035993 0.358964920 0.615867019 0.301779240 0.082353748
[511] 0.320568383 0.400038987 0.279392600 0.846631587 0.131062835 0.022305578
[517] 0.512308836 0.431617379 0.056073777 0.805973470 0.187954068 0.006072477
[523] 0.821450889 0.164832100 0.013717031 0.835181236 0.150528595 0.014290160
[529] 0.846693814 0.135091454 0.018214740 0.764062464 0.219565272 0.016372293
[535] 0.041831795 0.196792901 0.761375308 0.027387924 0.349306852 0.623305261
[541] 0.065615878 0.437835485 0.496548682 0.034880709 0.200775817 0.764343500
[547] 0.012946476 0.063971706 0.923081875 0.041515637 0.268148363 0.690336049
[553] 0.052696895 0.279059947 0.668243170 0.093669713 0.356168896 0.550161362
[559] 0.072241679 0.347561270 0.580197036 0.026825905 0.058489263 0.914684772
[565] 0.023759278 0.262429714 0.713810980 0.351480991 0.385732293 0.262786746
[571] 0.029091990 0.202640980 0.768267035 0.040961191 0.211983725 0.747055113
[577] 0.025246289 0.175428927 0.799324751 0.195646599 0.336914122 0.467439324
[583] 0.026270697 0.161518872 0.812210441 0.020423580 0.186556548 0.793019891
[589] 0.243974999 0.336591035 0.419433922 0.031260651 0.160205632 0.808533669
[595] 0.675448477 0.296964645 0.027586903 0.606008828 0.349457264 0.044533879
[601] 0.791327119 0.198836133 0.009836792 0.605835378 0.353854686 0.040309966
[607] 0.801686585 0.189011768 0.009301683 0.534209907 0.370602995 0.095187098
[613] 0.698022068 0.285290778 0.016687173 0.763805032 0.211356252 0.024838667
[619] 0.417333007 0.537126124 0.045540858 0.550870061 0.415707290 0.033422634
[625] 0.123803928 0.183126330 0.693069696 0.443794608 0.463946581 0.092258848
[631] 0.416240454 0.339234322 0.244525254 0.051927824 0.312543213 0.635528982
[637] 0.813450933 0.171704918 0.014844151 0.168225423 0.272870839 0.558903754
[643] 0.369850248 0.532238901 0.097910874 0.315956593 0.603764176 0.080279171
[649] 0.789114118 0.200358033 0.010527884 0.873065114 0.114749305 0.012185531
[655] 0.644691467 0.315912545 0.039396018 0.616314292 0.331068993 0.052616753
[661] 0.722946346 0.247290552 0.029763136 0.470794320 0.481067628 0.048138060
[667] 0.200648069 0.400790721 0.398561209 0.058753144 0.260805100 0.680441737
[673] 0.044510696 0.239031598 0.716457725 0.076385014 0.188759059 0.734855890
[679] 0.162023723 0.308159798 0.529816508 0.022933336 0.092197061 0.884869576
[685] 0.033943411 0.209109530 0.756947041 0.033546839 0.450668752 0.515784383
[691] 0.821339965 0.159895390 0.018764626 0.273658752 0.327841818 0.398499459
[697] 0.757301450 0.215867415 0.026831146 0.764406025 0.225642040 0.009951951
[703] 0.779841959 0.203218013 0.016940065 0.360508531 0.287587345 0.351904124
[709] 0.825953066 0.165856034 0.008190902 0.260724664 0.437056959 0.302218348
[715] 0.605524421 0.351189345 0.043286212 0.042655185 0.480620623 0.476724148
[721] 0.647900760 0.229610309 0.122488908 0.555341244 0.430204362 0.014454396
[727] 0.018584123 0.109496199 0.871919632 0.911412120 0.079855740 0.008732117
[733] 0.515370786 0.441528022 0.043101192 0.667679310 0.312588692 0.019731989
[739] 0.899205029 0.094181649 0.006613302 0.788108826 0.203279465 0.008611700
[745] 0.030737637 0.134391412 0.834870934 0.806281805 0.176880300 0.016837930
[751] 0.185030699 0.323823869 0.491145492 0.212628707 0.678393841 0.108977422
[757] 0.635855556 0.307814807 0.056329701 0.834717274 0.150001779 0.015280982
[763] 0.797009587 0.191534773 0.011455597 0.686912894 0.280124396 0.032962691
[769] 0.132025912 0.253923327 0.614050746 0.751893699 0.238033175 0.010073099
[775] 0.150771260 0.772864163 0.076364584 0.048210267 0.196541250 0.755248547
[781] 0.783646464 0.206800058 0.009553434 0.501498997 0.475007266 0.023493739
[787] 0.179978833 0.680840671 0.139180511 0.091312245 0.286642283 0.622045457
[793] 0.651518464 0.326957941 0.021523530 0.867118895 0.116162561 0.016718553
[799] 0.125439703 0.209767118 0.664793134 0.071102999 0.274637699 0.654259324
[805] 0.051075999 0.260873348 0.688050628 0.830099940 0.156911105 0.012988935
[811] 0.044076324 0.286357343 0.669566333 0.080426738 0.177309066 0.742264152
[817] 0.094208553 0.202426076 0.703365326 0.014509827 0.130972385 0.854517758
[823] 0.091556847 0.194401458 0.714041650 0.081345119 0.302428395 0.616226494
[829] 0.027637472 0.107687280 0.864675224 0.863329709 0.127899647 0.008770590
[835] 0.223677188 0.380725801 0.395596951 0.102054916 0.237995863 0.659949243
[841] 0.323751032 0.302132249 0.374116719 0.855373085 0.133632004 0.010994924
[847] 0.636602759 0.314356506 0.049040727 0.318989277 0.465497464 0.215513259
[853] 0.094322421 0.238647535 0.667029977 0.643043041 0.322695792 0.034261115
[859] 0.195317611 0.228213772 0.576468647 0.424793214 0.446972668 0.128234163
[865] 0.484252602 0.482960850 0.032786597 0.479277223 0.474862546 0.045860227
[871] 0.533483922 0.357634604 0.108881451 0.631468296 0.331028730 0.037502956
[877] 0.837194383 0.149889901 0.012915766 0.090555944 0.246979088 0.662464976
[883] 0.832509160 0.156289801 0.011201053 0.038443521 0.297773629 0.663782835
[889] 0.057079960 0.209687576 0.733232498 0.682598472 0.288404405 0.028997155
[895] 0.033310700 0.147534385 0.819154859 0.813224137 0.175380096 0.011395742
[901] 0.402423382 0.437674880 0.159901768 0.805357575 0.186165735 0.008476648
[907] 0.818674207 0.172341093 0.008984699 0.489379227 0.419859082 0.090761706
[913] 0.377050936 0.588967443 0.033981632 0.809668541 0.182089090 0.008242358
[919] 0.868773162 0.122883514 0.008343253 0.741966724 0.240315661 0.017717624
[925] 0.847396135 0.141743794 0.010860099 0.052383579 0.214666128 0.732950270
[931] 0.151345715 0.407699704 0.440954536 0.019874493 0.217627466 0.762498081
[937] 0.840492845 0.147763610 0.011743490 0.814277887 0.172171518 0.013550573
[943] 0.700438857 0.285324246 0.014236872 0.052651037 0.117272779 0.830076158
[949] 0.022265702 0.176219210 0.801515102 0.756630719 0.210243911 0.033125348
[955] 0.018993240 0.177276880 0.803729951 0.871574044 0.113709345 0.014716659
[961] 0.038348734 0.293610692 0.668040633 0.014230589 0.078492649 0.907276750
[967] 0.014708574 0.115580708 0.869710743 0.289739907 0.271812409 0.438447714
[973] 0.246554986 0.234964550 0.518480480 0.563270748 0.385904849 0.050824370
[979] 0.620537579 0.367676824 0.011785623 0.862531483 0.127676025 0.009792445
[985] 0.811682343 0.178554431 0.009763218 0.869715452 0.121331558 0.008952977
[991] 0.763379574 0.218763903 0.017856522 0.784512877 0.202303946 0.013183189
[997] 0.298076451 0.256013244 0.445910305 0.032661241 0.198907077 0.768431664
[1003] 0.816064298 0.165899724 0.018035984 0.845762670 0.139979348 0.014258035
[1009] 0.867853999 0.123394951 0.008751070 0.819301665 0.168854222 0.011844119
[1015] 0.851309299 0.140664250 0.008026406 0.373844326 0.465277493 0.160878152
[1021] 0.716000259 0.272635430 0.011364310 0.815618992 0.174773321 0.009607636
[1027] 0.789198875 0.197254464 0.013546646 0.647987008 0.343300045 0.008712959
[1033] 0.547347248 0.432524770 0.020127941 0.831281900 0.160793886 0.007924144
[1039] 0.907625496 0.081519850 0.010854601 0.587705374 0.382056028 0.030238634
[1045] 0.810457826 0.183184713 0.006357484 0.871761501 0.116245620 0.011992844
[1051] 0.552204609 0.421451956 0.026343435 0.535765648 0.454899549 0.009334837
[1057] 0.796281159 0.195181698 0.008537148 0.842383325 0.147908077 0.009708595
[1063] 0.019797556 0.130957946 0.849244535 0.020693621 0.133513346 0.845793068
[1069] 0.026123656 0.206217900 0.767658472 0.299299687 0.654256284 0.046444047
[1075] 0.054365680 0.418344647 0.527289689 0.003291681 0.128694683 0.868013620
[1081] 0.011361974 0.083411567 0.905226469 0.635538518 0.349791259 0.014670226
[1087] 0.012896546 0.109465294 0.877638161 0.037288610 0.282455921 0.680255413
[1093] 0.094521806 0.271676421 0.633801758 0.562907398 0.361684054 0.075408511
[1099] 0.929604709 0.062853925 0.007541390 0.028653273 0.124361567 0.846985161
[1105] 0.716597140 0.269074172 0.014328642 0.022102408 0.259671628 0.718225956
[1111] 0.776498139 0.215197921 0.008303917 0.714615166 0.273964584 0.011420236
[1117] 0.616274178 0.365857691 0.017868146 0.933181167 0.059404500 0.007414321
[1123] 0.634544730 0.352332264 0.013123030 0.724315643 0.259187967 0.016496362
[1129] 0.862995863 0.117156431 0.019847739 0.836706340 0.135046095 0.028247541
[1135] 0.849107981 0.139273942 0.011618100 0.921579242 0.069546938 0.008873837
[1141] 0.803402603 0.185527056 0.011070272 0.801363707 0.189064354 0.009571915
[1147] 0.608545780 0.349802971 0.041651182 0.952171385 0.042111509 0.005717118
[1153] 0.690843523 0.282018960 0.027137531 0.788656116 0.199867889 0.011476028
[1159] 0.931774974 0.061963148 0.006261869 0.833610117 0.157698050 0.008691791
[1165] 0.443488955 0.433026224 0.123484753 0.011090402 0.087692261 0.901217401
[1171] 0.014380182 0.109144159 0.876475632 0.611607134 0.363889307 0.024503609
[1177] 0.018371716 0.109811530 0.871816754 0.069544718 0.366316229 0.564139068
[1183] 0.030837512 0.266591758 0.702570736 0.912082791 0.080295555 0.007621627
[1189] 0.748001993 0.243447036 0.008551021 0.699446619 0.290797710 0.009755660
[1195] 0.927489460 0.060479216 0.012031335 0.824511826 0.166859001 0.008629222
[1201] 0.502415776 0.475564718 0.022019502 0.117357463 0.353882819 0.528759658
[1207] 0.732239306 0.223909557 0.043851160 0.545194089 0.381171256 0.073634647
[1213] 0.718231976 0.225988775 0.055779263 0.621194482 0.327709436 0.051096078
[1219] 0.951848745 0.043898609 0.004252668 0.866105556 0.125368446 0.008526046
[1225] 0.871824861 0.121645011 0.006530192 0.020192400 0.166491076 0.813316584
[1231] 0.018620182 0.141159847 0.840219915 0.882102430 0.111348264 0.006549351
[1237] 0.751009941 0.214123547 0.034866534 0.738446951 0.240137368 0.021415697
[1243] 0.443139046 0.425753981 0.131106898 0.841507077 0.147479266 0.011013687
[1249] 0.035178006 0.293862551 0.670959473 0.396146894 0.553395331 0.050457750
[1255] 0.926638484 0.065182857 0.008178639 0.100211889 0.421661049 0.478127092
[1261] 0.903519750 0.088595130 0.007885071 0.799506128 0.189222589 0.011271295
[1267] 0.730558693 0.201068446 0.068372883 0.881758451 0.109460928 0.008780678
[1273] 0.623057961 0.334019005 0.042923074 0.827444077 0.164643288 0.007912671
[1279] 0.033449605 0.144593686 0.821956694 0.773703992 0.215491205 0.010804781
[1285] 0.019237379 0.138630822 0.842131793 0.036197238 0.369533122 0.594269633
[1291] 0.155555099 0.236999959 0.607444942 0.028329384 0.221368030 0.750302613
[1297] 0.510083139 0.469763726 0.020153170 0.418827832 0.219647869 0.361524314
[1303] 0.921157479 0.072381385 0.006461126 0.021091463 0.179905623 0.799002886
[1309] 0.847386539 0.136249423 0.016364103 0.649369478 0.310933053 0.039697465
[1315] 0.020730950 0.091781989 0.887487113 0.040707085 0.301486969 0.657805979
[1321] 0.025042359 0.137377411 0.837580204 0.783626199 0.200668707 0.015705129
[1327] 0.545195043 0.430031031 0.024773914 0.025117876 0.186571836 0.788310230
[1333] 0.955206931 0.040003702 0.004789401 0.900068223 0.091188632 0.008743166
[1339] 0.024211161 0.143616170 0.832172632 0.046680834 0.170768335 0.782550871
[1345] 0.934423327 0.058202919 0.007373787 0.016671820 0.103696398 0.879631817
[1351] 0.596284866 0.356812656 0.046902508 0.047923733 0.261487007 0.690589249
[1357] 0.029944928 0.139402509 0.830652535 0.090293400 0.406920016 0.502786577
[1363] 0.038307533 0.224911198 0.736781299 0.015301875 0.102486417 0.882211685
[1369] 0.006263492 0.643201113 0.350535393 0.029708099 0.207932740 0.762359142
[1375] 0.053836316 0.310490876 0.635672808 0.025023153 0.140824378 0.834152400
[1381] 0.027311606 0.204279065 0.768409371 0.003376225 0.244561329 0.752062440
[1387] 0.042338122 0.221833557 0.735828340 0.069455780 0.277597129 0.652947128
[1393] 0.038304333 0.210983917 0.750711679 0.064005218 0.267702430 0.668292344
[1399] 0.028435383 0.151596725 0.819967866 0.017311888 0.048154064 0.934534013
[1405] 0.040362574 0.158089131 0.801548243 0.026357740 0.113186203 0.860456109
[1411] 0.014963389 0.057359099 0.927677453 0.013038542 0.156086475 0.830875039
[1417] 0.029642453 0.133897185 0.836460352 0.057241645 0.194033280 0.748725057
[1423] 0.032565232 0.137233585 0.830201209 0.046387091 0.144950360 0.808662593
[1429] 0.027476115 0.080091819 0.892432094 0.034476299 0.116041094 0.849482536
[1435] 0.010762442 0.072596453 0.916641116 0.055791851 0.139985412 0.804222763
[1441] 0.025411149 0.184207991 0.790380895 0.081151225 0.312568873 0.606279910
[1447] 0.380123228 0.436577827 0.183298945 0.919365585 0.071891129 0.008743230
[1453] 0.847988188 0.132150888 0.019860854 0.020006534 0.120182037 0.859811366
[1459] 0.004023374 0.046842381 0.949134231 0.026054110 0.147010297 0.826935589
[1465] 0.020455133 0.139439374 0.840105474 0.026032085 0.132194281 0.841773570
[1471] 0.033775624 0.242383868 0.723840535 0.029726297 0.209163666 0.761110067
[1477] 0.863144934 0.123966523 0.012888521 0.946711719 0.046974026 0.006314234
[1483] 0.023819024 0.148659721 0.827521265 0.648791492 0.325482100 0.025726393
[1489] 0.016786637 0.138410807 0.844802558 0.877711296 0.116605021 0.005683733
[1495] 0.952268243 0.042177539 0.005554171 0.023334296 0.170605645 0.806060016
[1501] 0.028916378 0.192373693 0.778709948 0.927329540 0.065656029 0.007014478
[1507] 0.047045190 0.315292954 0.637661874 0.140902147 0.578748882 0.280348986
[1513] 0.936870158 0.056423459 0.006706379 0.098499812 0.551741183 0.349759042
[1519] 0.430237919 0.424216241 0.145545810 0.025358321 0.150788009 0.823853672
[1525] 0.458087802 0.482299477 0.059612662 0.030057605 0.216204032 0.753738344
[1531] 0.014266416 0.099614680 0.886118948 0.013448196 0.099538095 0.887013674
[1537] 0.654877424 0.264690191 0.080432393 0.094474800 0.263978779 0.641546428
[1543] 0.014695367 0.118784294 0.866520405 0.799689889 0.188636467 0.011673620
[1549] 0.474794894 0.495333642 0.029871399 0.017108422 0.156554163 0.826337397
[1555] 0.022269817 0.173128381 0.804601848 0.058611628 0.351922423 0.589465976
[1561] 0.023292277 0.162802652 0.813905060 0.023613978 0.178525403 0.797860682
[1567] 0.009285584 0.084708571 0.906005800 0.018984113 0.201700211 0.779315650
[1573] 0.032972667 0.228986129 0.738041222 0.839183629 0.150145292 0.010671042
[1579] 0.924499094 0.067102700 0.008398166 0.012358502 0.118048295 0.869593203
[1585] 0.021345373 0.111329898 0.867324769 0.024046995 0.184394717 0.791558325
[1591] 0.794855595 0.195299968 0.009844470 0.800108731 0.185500816 0.014390493
[1597] 0.010064329 0.183538288 0.806397438 0.935787857 0.056802519 0.007409690
[1603] 0.940683246 0.053115517 0.006201175 0.919832468 0.074364103 0.005803474
[1609] 0.888840973 0.103830121 0.007328918 0.028840397 0.138430744 0.832728863
[1615] 0.020264316 0.163182929 0.816552758 0.583669424 0.396525532 0.019805053
[1621] 0.014381645 0.100956112 0.884662271 0.010131441 0.543276012 0.446592540
[1627] 0.732982099 0.226859957 0.040157892 0.008524030 0.073978625 0.917497396
[1633] 0.907686114 0.084780671 0.007533199 0.017319564 0.194036245 0.788644195
[1639] 0.957815647 0.036064979 0.006119343 0.905191600 0.087298378 0.007510022
[1645] 0.904501200 0.086273931 0.009224881 0.666263878 0.310317814 0.023418268
[1651] 0.775567949 0.209548920 0.014883123 0.066242032 0.327058256 0.606699705
[1657] 0.025679393 0.188688979 0.785631657 0.027313149 0.220520735 0.752166152
[1663] 0.032942399 0.203407854 0.763649762 0.047791768 0.275486439 0.676721752
[1669] 0.055625170 0.282957584 0.661417246 0.833636463 0.150200710 0.016162837
[1675] 0.014912320 0.116348200 0.868739426 0.116331376 0.513218164 0.370450467
[1681] 0.105791479 0.514783800 0.379424721 0.366791546 0.313991755 0.319216639
[1687] 0.099029504 0.357498854 0.543471575 0.015781336 0.120378278 0.863840401
[1693] 0.833185732 0.147198468 0.019615773 0.505107760 0.356420100 0.138472125
[1699] 0.023668425 0.201704741 0.774626851 0.033957765 0.252014965 0.714027286
[1705] 0.941758692 0.050907712 0.007333637 0.051571801 0.241774008 0.706654131
[1711] 0.031625025 0.184068099 0.784306824 0.223043516 0.760096669 0.016859766
[1717] 0.314101219 0.647912621 0.037986148 0.696336567 0.292480081 0.011183375
[1723] 0.225082919 0.719381392 0.055535674 0.004298332 0.073674925 0.922026813
[1729] 0.153329849 0.807269931 0.039400190 0.235518441 0.665910602 0.098570950
[1735] 0.173652261 0.793779850 0.032567911 0.484516263 0.500272274 0.015211469
[1741] 0.544631362 0.426247269 0.029121408 0.437057167 0.542163014 0.020779843
[1747] 0.221626714 0.488916188 0.289457083 0.501918733 0.465635806 0.032445449
[1753] 0.324841619 0.650965750 0.024192607 0.548754752 0.426925302 0.024319977
[1759] 0.004548352 0.069367364 0.926084220 0.426225871 0.557422996 0.016351089
[1765] 0.581604004 0.376915216 0.041480776 0.017205697 0.083036035 0.899758220
[1771] 0.491345882 0.493299723 0.015354374 0.451073438 0.483918548 0.065008029
[1777] 0.416836590 0.534693182 0.048470210 0.611058176 0.378051877 0.010889960
[1783] 0.624530375 0.342676610 0.032793060 0.298826277 0.666741550 0.034432214
[1789] 0.033523627 0.355379015 0.611097336 0.421520978 0.524272323 0.054206725
[1795] 0.030927615 0.324994326 0.644078076 0.405082792 0.577170193 0.017746983
[1801] 0.486832112 0.476234823 0.036933109 0.021691490 0.240102574 0.738205910
[1807] 0.012512659 0.225360155 0.762127161 0.026739324 0.208682790 0.764577866
[1813] 0.694249094 0.296188742 0.009562148 0.543384135 0.428025901 0.028589970
[1819] 0.404792160 0.581812263 0.013395580 0.010428165 0.109159835 0.880412042
[1825] 0.512085497 0.472914219 0.015000287 0.369354278 0.587532163 0.043113541
[1831] 0.529032588 0.330224812 0.140742600 0.482413232 0.496722907 0.020863790
[1837] 0.488264710 0.491015047 0.020720290 0.637012482 0.349620879 0.013366582
[1843] 0.646181226 0.313577473 0.040241316 0.724152029 0.244479179 0.031368852
[1849] 0.718178630 0.219348952 0.062472399 0.653576732 0.331733078 0.014690221
[1855] 0.697819412 0.287359864 0.014820737 0.137313277 0.313724130 0.548962593
[1861] 0.698265970 0.208727553 0.093006440 0.747098505 0.222474754 0.030426739
[1867] 0.786896765 0.202794537 0.010308691 0.476297408 0.310379863 0.213322774
[1873] 0.808991849 0.183863625 0.007144568 0.725177109 0.250209123 0.024613807
[1879] 0.596890211 0.362705946 0.040403809 0.790840089 0.198393688 0.010766200
[1885] 0.475153774 0.434093595 0.090752661 0.672297657 0.280214101 0.047488242
[1891] 0.859405339 0.128502101 0.012092628 0.087570019 0.315062791 0.597367227
[1897] 0.745701551 0.239602029 0.014696395 0.705282748 0.265899301 0.028818002
[1903] 0.718976974 0.256852299 0.024170686 0.676223695 0.300562888 0.023213442
[1909] 0.615195811 0.202331156 0.182473004 0.669385731 0.254149020 0.076465294
[1915] 0.087090887 0.349854350 0.563054740 0.642137170 0.283500791 0.074362092
[1921] 0.648265958 0.322752267 0.028981768 0.412350148 0.256861210 0.330788642
[1927] 0.011670334 0.378661096 0.609668553 0.778352618 0.202466846 0.019180546
[1933] 0.783851743 0.199247509 0.016900742 0.492400110 0.400559694 0.107040159
[1939] 0.559220612 0.421954125 0.018825289 0.630053103 0.347442240 0.022504659
[1945] 0.758305669 0.225550160 0.016144151 0.033141021 0.181200966 0.785658002
[1951] 0.734044373 0.247396469 0.018559106 0.721794605 0.264498919 0.013706440
[1957] 0.553894639 0.416084021 0.030021377 0.704575062 0.280670762 0.014754188
[1963] 0.784605265 0.202701330 0.012693409 0.364058197 0.242194057 0.393747807
[1969] 0.502647519 0.334605515 0.162746951 0.569404185 0.380258024 0.050337788
[1975] 0.697757065 0.265312910 0.036930025 0.547018111 0.229316875 0.223664999
[1981] 0.642048895 0.341428965 0.016522126 0.719700396 0.253463775 0.026835863
[1987] 0.701393843 0.242855445 0.055750675 0.769265771 0.213955358 0.016778814
[1993] 0.689460635 0.243378252 0.067161143 0.851526499 0.133115768 0.015357792
[1999] 0.374183774 0.326841265 0.298974991 0.688225508 0.294388175 0.017386310
[2005] 0.697292805 0.290245801 0.012461459 0.712878227 0.256413788 0.030707981
[2011] 0.551790059 0.311600029 0.136609957 0.761020362 0.216008246 0.022971401
[2017] 0.029637817 0.185390055 0.784972131 0.591847301 0.373991072 0.034161657
[2023] 0.017979980 0.132802248 0.849217772 0.718392730 0.231942534 0.049664702
[2029] 0.625083208 0.335215837 0.039700944 0.005359347 0.061528239 0.933112442
[2035] 0.690653384 0.277063817 0.032282811 0.679824829 0.267588049 0.052587099
[2041] 0.483124286 0.254323125 0.262552559 0.606088638 0.380489945 0.013421422
[2047] 0.041287418 0.184351146 0.774361432 0.734554648 0.241034150 0.024411196
[2053] 0.576634109 0.283820003 0.139545918 0.517869115 0.457021803 0.025109112
[2059] 0.630589247 0.356545538 0.012865280 0.573441625 0.198487729 0.228070661
[2065] 0.034592502 0.271100819 0.694306672 0.229134277 0.282665551 0.488200247
[2071] 0.505351424 0.450729698 0.043918863 0.656518161 0.301593244 0.041888531
[2077] 0.019458406 0.151604787 0.828936756 0.614280343 0.354140639 0.031579021
[2083] 0.743561745 0.243615493 0.012822746 0.530840099 0.453619450 0.015540477
[2089] 0.717552125 0.269667983 0.012779842 0.528729022 0.458300710 0.012970277
[2095] 0.616581976 0.368080765 0.015337215 0.763525188 0.203247458 0.033227362
[2101] 0.811458290 0.170570150 0.017971629 0.736379683 0.243084565 0.020535793
[2107] 0.825493038 0.125058562 0.049448375 0.636283398 0.332514673 0.031201920
[2113] 0.512157261 0.204436362 0.283406407 0.741540372 0.226436496 0.032023143
[2119] 0.578290462 0.306084692 0.115624838 0.695204556 0.272724688 0.032070804
[2125] 0.626609921 0.335278332 0.038111776 0.481193244 0.351400495 0.167406276
[2131] 0.726115227 0.241697654 0.032187138 0.784214020 0.187912703 0.027873253
[2137] 0.665576100 0.282750040 0.051673822 0.407209069 0.399129063 0.193661898
[2143] 0.015025835 0.070884906 0.914089262 0.062102497 0.176420286 0.761477232
[2149] 0.661046863 0.256363273 0.082589827 0.812895536 0.161520049 0.025584443
[2155] 0.607525945 0.258000225 0.134473860 0.088982813 0.320891559 0.590125620
[2161] 0.017146416 0.158441424 0.824412167 0.796938777 0.191717178 0.011344074
[2167] 0.012640306 0.158670694 0.828688979 0.105497487 0.144024864 0.750477672
[2173] 0.016324239 0.070329331 0.913346410 0.785071373 0.178307533 0.036621060
[2179] 0.613692224 0.371078789 0.015228983 0.721346021 0.253216565 0.025437428
[2185] 0.811574161 0.177132040 0.011293851 0.650646091 0.314582229 0.034771714
[2191] 0.023436179 0.141944855 0.834618926 0.063084349 0.321298003 0.615617633
[2197] 0.724969923 0.246814176 0.028215948 0.253377289 0.176884145 0.569738507
[2203] 0.014454653 0.190135151 0.795410156 0.716775179 0.251904219 0.031320583
[2209] 0.026170861 0.199228898 0.774600267 0.021635287 0.066741616 0.911623120
[2215] 0.086301155 0.712955892 0.200742930 0.017414348 0.115553193 0.867032528
[2221] 0.003551108 0.054295041 0.942153811 0.011328262 0.091074482 0.897597253
[2227] 0.015558311 0.062192008 0.922249675 0.028062606 0.141001686 0.830935657
[2233] 0.104890585 0.207834870 0.687274575 0.740673482 0.224181086 0.035145443
[2239] 0.662953019 0.301784784 0.035262179 0.701759160 0.262632728 0.035608090
[2245] 0.636939108 0.311908603 0.051152270 0.907426953 0.085449658 0.007123331
[2251] 0.586903393 0.380435497 0.032661077 0.048292458 0.251611233 0.700096309
[2257] 0.709898233 0.268744677 0.021357145 0.681872070 0.278054923 0.040072959
[2263] 0.414913267 0.442489028 0.142597690 0.582370996 0.341755837 0.075873211
[2269] 0.096357450 0.641212761 0.262429804 0.617137372 0.322962552 0.059900083
[2275] 0.526890814 0.441258252 0.031850923 0.296753168 0.655598640 0.047648214
[2281] 0.468253851 0.507787406 0.023958750 0.003981981 0.053523038 0.942494988
[2287] 0.009133286 0.116706267 0.874160469 0.431412190 0.526800990 0.041786790
[2293] 0.016267065 0.182926521 0.800806403 0.011688456 0.153223664 0.835087895
[2299] 0.008352617 0.125425845 0.866221547 0.009732574 0.132312104 0.857955277
[2305] 0.052354198 0.288671494 0.658974290 0.219787270 0.730775416 0.049437329
[2311] 0.085213952 0.457141310 0.457644731 0.018889783 0.172269627 0.808840573
[2317] 0.012524263 0.114488460 0.872987270 0.549087226 0.378525019 0.072387747
[2323] 0.015517309 0.120231740 0.864250958 0.244174883 0.371791959 0.384033173
[2329] 0.404637426 0.375482768 0.219879776 0.697876394 0.260121882 0.042001773
[2335] 0.316024423 0.611568928 0.072406672 0.714035869 0.276300311 0.009663889
[2341] 0.490677178 0.457610339 0.051712491 0.228726938 0.478479028 0.292794108
[2347] 0.742719471 0.240201697 0.017078793 0.009069383 0.125173151 0.865757465
[2353] 0.048352249 0.161103398 0.790544331 0.015241093 0.040956721 0.943802178
[2359] 0.108127184 0.309209704 0.582663119 0.056696225 0.512837350 0.430466413
[2365] 0.741909266 0.238123015 0.019967716 0.277737319 0.522316337 0.199946359
[2371] 0.546965659 0.286999315 0.166035041 0.582987964 0.399499834 0.017512238
[2377] 0.387568533 0.460340381 0.152091086 0.806124330 0.183468878 0.010406788
[2383] 0.901607454 0.090106890 0.008285668 0.545957029 0.372419327 0.081623606
[2389] 0.660033941 0.265745610 0.074220434 0.240016654 0.366417170 0.393566161
[2395] 0.486998022 0.483074486 0.029927462 0.784200668 0.202943057 0.012856266
[2401] 0.302528143 0.526563168 0.170908704 0.782958567 0.203774840 0.013266605
[2407] 0.399390250 0.326705694 0.273904055 0.008072992 0.067782402 0.924144685
[2413] 0.665593684 0.300296813 0.034109477 0.819078028 0.171493351 0.009428653
[2419] 0.663441241 0.302863091 0.033695649 0.738659680 0.242808536 0.018531732
[2425] 0.778854132 0.205092460 0.016053408 0.834333181 0.154416263 0.011250518
[2431] 0.006842377 0.393771857 0.599385738 0.697039843 0.291773140 0.011187001
[2437] 0.038783316 0.234850436 0.726366222 0.765747368 0.218865439 0.015387150
[2443] 0.719089448 0.242046565 0.038863987 0.399751991 0.484386384 0.115861639
[2449] 0.067980729 0.213048249 0.718971014 0.672125041 0.305166662 0.022708315
[2455] 0.026808139 0.382368505 0.590823412 0.762373149 0.220371827 0.017255075
[2461] 0.606857598 0.308439255 0.084703185 0.506623387 0.343122751 0.150253922
[2467] 0.865714729 0.128527224 0.005757984 0.754984319 0.234633952 0.010381723
[2473] 0.051504537 0.401025146 0.547470331 0.606042385 0.340995848 0.052961782
[2479] 0.811354041 0.170437366 0.018208576 0.316831797 0.309156924 0.374011278
[2485] 0.052038942 0.211435646 0.736525357 0.059453975 0.293986261 0.646559775
[2491] 0.673472226 0.296368331 0.030159444 0.779806018 0.202588648 0.017605305
[2497] 0.780097902 0.195587099 0.024315003 0.047144596 0.233447105 0.719408274
[2503] 0.021748448 0.256097376 0.722154200 0.039771423 0.229440466 0.730788112
[2509] 0.804702997 0.174497351 0.020799669 0.823116422 0.160797164 0.016086392
[2515] 0.520647645 0.447730899 0.031621445 0.833656430 0.158182532 0.008161014
[2521] 0.758349597 0.225730225 0.015920183 0.621626258 0.357363939 0.021009769
[2527] 0.015911600 0.138426304 0.845662117 0.383665740 0.566456079 0.049878221
[2533] 0.735361159 0.181534439 0.083104424 0.664736390 0.313579172 0.021684486
[2539] 0.821814179 0.168417022 0.009768847 0.736860275 0.249245644 0.013894134
[2545] 0.752317727 0.226985633 0.020696610 0.531995714 0.384248346 0.083755895
[2551] 0.033954948 0.303342253 0.662702799 0.829240024 0.156840488 0.013919509
[2557] 0.652971208 0.317670017 0.029358774 0.566061556 0.267849207 0.166089207
[2563] 0.691170692 0.242308035 0.066521302 0.741466880 0.235249460 0.023283634
[2569] 0.790603757 0.181120381 0.028275849 0.084290326 0.318223178 0.597486496
[2575] 0.061207078 0.300653398 0.638139486 0.042305630 0.218677804 0.739016533
[2581] 0.764521122 0.207675233 0.027803645 0.857192397 0.129711196 0.013096456
[2587] 0.833825231 0.146968722 0.019206010 0.838390052 0.149323300 0.012286605
[2593] 0.843835533 0.148924306 0.007240133 0.056413107 0.238121703 0.705465198
[2599] 0.871076882 0.121573254 0.007349879 0.822578132 0.166763559 0.010658319
[2605] 0.785861909 0.192233145 0.021905014 0.008724355 0.026434552 0.964841068
[2611] 0.839410365 0.150934249 0.009655373 0.597812116 0.322602957 0.079584956
[2617] 0.020949598 0.625166953 0.353883415 0.660167575 0.317615628 0.022216778
[2623] 0.665248990 0.304262251 0.030488789 0.749100864 0.219520539 0.031378672
[2629] 0.017309073 0.693213642 0.289477289 0.025647543 0.237348348 0.737004101
[2635] 0.058569446 0.291133821 0.650296748 0.149662256 0.355469495 0.494868219
[2641] 0.036283720 0.257547021 0.706169248 0.412798673 0.450941086 0.136260241
[2647] 0.376405567 0.445025086 0.178569332 0.381422967 0.515009344 0.103567682
[2653] 0.642960191 0.320721000 0.036318790 0.429343343 0.532441437 0.038215294
[2659] 0.013661083 0.182435274 0.803903639 0.062226616 0.370358020 0.567415357
[2665] 0.334494591 0.435549468 0.229956001 0.494482279 0.464895010 0.040622685
[2671] 0.758038878 0.228332311 0.013628865 0.798002720 0.191139534 0.010857748
[2677] 0.819336414 0.166248187 0.014415392 0.402325720 0.551396489 0.046277765
[2683] 0.397307694 0.522367358 0.080324896 0.630640447 0.332501113 0.036858410
[2689] 0.678322613 0.304569662 0.017107783 0.769652188 0.211485267 0.018862549
[2695] 0.621092975 0.332652152 0.046254858 0.075043656 0.216944814 0.708011508
[2701] 0.834044635 0.151520267 0.014435110 0.681164980 0.276486874 0.042348132
[2707] 0.713643730 0.255166680 0.031189535 0.640946388 0.334386855 0.024666727
[2713] 0.792447627 0.197303712 0.010248683 0.820053101 0.165971473 0.013975372
[2719] 0.080250405 0.332333058 0.587416530 0.006690641 0.515438557 0.477870792
[2725] 0.682287097 0.254693687 0.063019246 0.811391652 0.169580132 0.019028248
[2731] 0.554551780 0.344799370 0.100648910 0.751246989 0.212047622 0.036705412
[2737] 0.853521287 0.132888183 0.013590476 0.005302475 0.065780386 0.928917110
[2743] 0.020323232 0.156127274 0.823549509 0.012053826 0.221969500 0.765976667
[2749] 0.038802698 0.283204824 0.677992523 0.464076817 0.403550625 0.132372528
[2755] 0.519212663 0.457464188 0.023323150 0.088588730 0.417326212 0.494085073
[2761] 0.006641549 0.029397994 0.963960409 0.378879368 0.363145560 0.257975072
[2767] 0.009353563 0.129851028 0.860795438 0.056819472 0.227178112 0.716002464
[2773] 0.110809669 0.415678352 0.473511964 0.032292277 0.246493012 0.721214652
[2779] 0.033090115 0.154548779 0.812361121 0.010763329 0.099253036 0.889983594
[2785] 0.087815553 0.724184096 0.188000381 0.664703250 0.281216770 0.054079946
[2791] 0.040987201 0.225705832 0.733307004 0.595027924 0.355952859 0.049019203
[2797] 0.007895261 0.299610108 0.692494571 0.705748975 0.209517911 0.084733091
[2803] 0.527987421 0.427402973 0.044609647 0.521897793 0.443986923 0.034115300
[2809] 0.025025889 0.253630966 0.721343160 0.052491017 0.451980650 0.495528340
[2815] 0.747829616 0.237765267 0.014405104 0.031121174 0.359371871 0.609506965
[2821] 0.767607272 0.222367778 0.010024961 0.047296014 0.216710091 0.735993862
[2827] 0.116640575 0.387175590 0.496183902 0.741523266 0.226828218 0.031648476
[2833] 0.678192377 0.290569365 0.031238280 0.710656822 0.243099794 0.046243411
[2839] 0.674408972 0.295957983 0.029633036 0.053242799 0.251941115 0.694816113
[2845] 0.062997885 0.261824995 0.675177097 0.864149809 0.075237341 0.060612809
[2851] 0.030155072 0.195603684 0.774241209 0.030030627 0.193759248 0.776210189
[2857] 0.780095816 0.210613042 0.009291126 0.574744523 0.284397721 0.140857786
[2863] 0.446179450 0.483434081 0.070386454 0.042250428 0.181987375 0.775762260
[2869] 0.780425012 0.209406391 0.010168604 0.008315480 0.136966452 0.854718029
[2875] 0.035646152 0.175206035 0.789147794 0.052373525 0.337469429 0.610157013
[2881] 0.010167506 0.312194914 0.677637517 0.503752232 0.424205095 0.072042644
[2887] 0.005107950 0.343574047 0.651318014 0.048350185 0.248676464 0.702973306
[2893] 0.017623158 0.158988252 0.823388577 0.712919116 0.239632472 0.047448393
[2899] 0.032781005 0.393243432 0.573975623 0.069777504 0.486080319 0.444142163
[2905] 0.160720259 0.266962737 0.572317004 0.003687713 0.215282291 0.781029999
[2911] 0.048487570 0.252211511 0.699300885 0.059670929 0.420857608 0.519471467
[2917] 0.046221327 0.554995120 0.398783565 0.030781215 0.121113934 0.848104775
[2923] 0.095984921 0.679882526 0.224132538 0.053006031 0.471695095 0.475298882
[2929] 0.741906941 0.237720400 0.020372711 0.630778909 0.243559361 0.125661746
[2935] 0.635750890 0.311198145 0.053050984 0.089623235 0.349758297 0.560618520
[2941] 0.489892304 0.181114167 0.328993529 0.160276324 0.520897985 0.318825722
[2947] 0.044517700 0.295632720 0.659849584 0.081799850 0.140560403 0.777639687
[2953] 0.250482529 0.585067213 0.164450273 0.028016176 0.193763331 0.778220475
[2959] 0.011098658 0.443802714 0.545098662 0.014902527 0.176738471 0.808358967
[2965] 0.018482914 0.146490589 0.835026503 0.771605432 0.193215162 0.035179432
[2971] 0.082916901 0.282854080 0.634229004 0.070157155 0.174859077 0.754983783
[2977] 0.066881798 0.375990242 0.557127953 0.468726456 0.460719168 0.070554391
[2983] 0.075051866 0.241681844 0.683266222 0.885539830 0.107472286 0.006987905
[2989] 0.770649135 0.175067216 0.054283686 0.638957083 0.328816861 0.032226048
[2995] 0.793376327 0.186073199 0.020550510 0.683820605 0.273054272 0.043125086
[3001] 0.075747140 0.135222733 0.789030135 0.033204392 0.176235050 0.790560544
[3007] 0.705810606 0.258288980 0.035900362 0.721265912 0.244558930 0.034175165
[3013] 0.467285484 0.495345294 0.037369277 0.023715017 0.159071311 0.817213655
[3019] 0.025879547 0.146693900 0.827426493 0.208130449 0.419160008 0.372709602
[3025] 0.004474657 0.140405908 0.855119467 0.845923066 0.144716099 0.009360814
[3031] 0.854556799 0.132893771 0.012549466 0.857011080 0.135159150 0.007829768
[3037] 0.765419066 0.220139071 0.014441815 0.447153598 0.304295480 0.248550907
[3043] 0.810410082 0.175759211 0.013830720 0.294865102 0.518378675 0.186756268
[3049] 0.662799060 0.317873538 0.019327451 0.823953927 0.162191764 0.013854281
[3055] 0.321085870 0.634402871 0.044511244 0.173536524 0.416085213 0.410378277
[3061] 0.410304785 0.472986937 0.116708301 0.014095875 0.097467721 0.888436437
[3067] 0.008825653 0.108371615 0.882802725 0.011094628 0.125243679 0.863661706
[3073] 0.009848093 0.071998551 0.918153346 0.009324365 0.058383614 0.932292044
[3079] 0.006915289 0.065766014 0.927318633 0.011704464 0.129107371 0.859188139
[3085] 0.191471845 0.489617676 0.318910420 0.437329233 0.515689790 0.046980985
[3091] 0.155909061 0.495252281 0.348838687 0.014158934 0.172512084 0.813329041
[3097] 0.016945846 0.156059116 0.826995015 0.012943578 0.107907422 0.879149020
[3103] 0.003425312 0.037315357 0.959259331 0.123322539 0.534880936 0.341796517
[3109] 0.018149626 0.121930197 0.859920144 0.029133441 0.232953012 0.737913549
[3115] 0.509424388 0.464987695 0.025587942 0.847399890 0.142716214 0.009883864
[3121] 0.009216975 0.110424049 0.880358994 0.627851784 0.352682054 0.019466195
[3127] 0.661112845 0.319194287 0.019692820 0.651131749 0.337833941 0.011034310
[3133] 0.606443703 0.331950247 0.061606087 0.901437700 0.088982619 0.009579639
[3139] 0.165792584 0.265988737 0.568218708 0.350496501 0.595707595 0.053795885
[3145] 0.451283932 0.486888409 0.061827682 0.404297203 0.551849067 0.043853737
[3151] 0.422101855 0.555410147 0.022488007 0.368496597 0.617059350 0.014444062
[3157] 0.749138415 0.223020911 0.027840612 0.495985121 0.477385700 0.026629228
[3163] 0.148565769 0.384742022 0.466692239 0.705219924 0.277716815 0.017063238
[3169] 0.873998344 0.116958246 0.009043397 0.648769796 0.323172569 0.028057624
[3175] 0.716428339 0.272221953 0.011349691 0.744376838 0.243740767 0.011882431
[3181] 0.710265398 0.272037357 0.017697278 0.462801933 0.395749182 0.141448930
[3187] 0.011305247 0.083548017 0.905146778 0.837005556 0.143742293 0.019252136
[3193] 0.023754250 0.186261132 0.789984584 0.350668639 0.497043908 0.152287513
[3199] 0.132117853 0.408446610 0.459435523 0.062667392 0.328768283 0.608564317
[3205] 0.699588239 0.238029614 0.062382165 0.767206609 0.218507051 0.014286306
[3211] 0.790168881 0.194717839 0.015113261 0.724053562 0.253390074 0.022556363
[3217] 0.161875993 0.133297369 0.704826653 0.884258330 0.099349365 0.016392278
[3223] 0.618946075 0.359517872 0.021536041 0.414838076 0.445502937 0.139658943
[3229] 0.576803327 0.383495331 0.039701376 0.862563729 0.119935386 0.017500913
[3235] 0.782965839 0.206418812 0.010615411 0.866265297 0.126788184 0.006946558
[3241] 0.762917042 0.217767209 0.019315768 0.264079720 0.299606979 0.436313361
[3247] 0.577363610 0.360030204 0.062606171 0.658824265 0.315252960 0.025922740
[3253] 0.407850891 0.510694504 0.081454560 0.915010929 0.077468239 0.007520798
[3259] 0.709141672 0.261965275 0.028893031 0.836461484 0.149317235 0.014221261
[3265] 0.650770366 0.329695106 0.019534504 0.729382932 0.246694863 0.023922274
[3271] 0.709064305 0.277904272 0.013031431 0.457779557 0.439090192 0.103130214
[3277] 0.693325877 0.271344960 0.035329144 0.624092519 0.328709245 0.047198195
[3283] 0.948709726 0.044155654 0.007134610 0.692150176 0.253633112 0.054216702
[3289] 0.891404152 0.094055802 0.014540043 0.521345794 0.454268217 0.024385998
[3295] 0.614050329 0.311371446 0.074578233 0.312456489 0.526498139 0.161045387
[3301] 0.029529696 0.173922792 0.796547532 0.029033868 0.126339361 0.844626784
[3307] 0.474796832 0.348304898 0.176898226 0.023109138 0.142292038 0.834598839
[3313] 0.924488723 0.067173757 0.008337519 0.842259586 0.146854326 0.010886143
[3319] 0.875726521 0.118556209 0.005717219 0.583904088 0.381918520 0.034177423
[3325] 0.622680962 0.333428323 0.043890700 0.751523852 0.235621005 0.012855101
[3331] 0.687879443 0.245809227 0.066311292 0.595959067 0.340209812 0.063831128
[3337] 0.903584063 0.087067567 0.009348380 0.807685971 0.180639595 0.011674445
[3343] 0.595219135 0.375748336 0.029032545 0.526074409 0.410020411 0.063905180
[3349] 0.762462378 0.197535977 0.040001694 0.009494097 0.297148436 0.693357468
[3355] 0.794024169 0.184892133 0.021083750 0.288474977 0.416628629 0.294896424
[3361] 0.636263609 0.316341341 0.047395103 0.030853575 0.163496211 0.805650234
[3367] 0.301415265 0.362258196 0.336326569 0.512188554 0.437773108 0.050038330
[3373] 0.609929442 0.341258347 0.048812177 0.764739692 0.220197886 0.015062388
[3379] 0.716484845 0.266752779 0.016762361 0.076436765 0.108063743 0.815499485
[3385] 0.744881749 0.237989321 0.017128905 0.629457355 0.338160962 0.032381698
[3391] 0.643865347 0.319136024 0.036998641 0.416920483 0.535184443 0.047895063
[3397] 0.026498232 0.136318669 0.837183058 0.723133504 0.267444670 0.009421801
[3403] 0.397025883 0.478129774 0.124844342 0.899013042 0.087277129 0.013709853
[3409] 0.657513797 0.286601484 0.055884689 0.509506881 0.432277828 0.058215301
[3415] 0.731372237 0.247423157 0.021204544 0.790783763 0.186662063 0.022554213
[3421] 0.764000177 0.190558061 0.045441765 0.633131921 0.311699480 0.055168606
[3427] 0.760603786 0.205223620 0.034172580 0.533130229 0.429701000 0.037168760
[3433] 0.671892941 0.306310833 0.021796241 0.678772151 0.297341794 0.023886051
[3439] 0.790891111 0.189333230 0.019775681 0.813379407 0.177444473 0.009176088
[3445] 0.622629642 0.327997863 0.049372520 0.762727976 0.219711512 0.017560503
[3451] 0.076731488 0.275786459 0.647482038 0.013659447 0.164937317 0.821403265
[3457] 0.011114846 0.065945700 0.922939479 0.621272862 0.332733780 0.045993403
[3463] 0.812854230 0.172944322 0.014201382 0.791622221 0.188394770 0.019982997
[3469] 0.039305847 0.170131505 0.790562630 0.020256929 0.100694500 0.879048645
[3475] 0.009183059 0.165461615 0.825355351 0.606466770 0.353571117 0.039962098
[3481] 0.270282477 0.639129817 0.090587758 0.020572565 0.352221251 0.627206206
[3487] 0.565793872 0.385477304 0.048728801 0.610840917 0.340073228 0.049085841
[3493] 0.005303119 0.025504127 0.969192803 0.644659996 0.293141872 0.062198125
[3499] 0.050423808 0.307581097 0.641995072 0.698069811 0.293180615 0.008749555
[3505] 0.531202316 0.453209102 0.015588569 0.631494343 0.323697954 0.044807669
[3511] 0.011896643 0.221497029 0.766606331 0.028502895 0.168173537 0.803323627
[3517] 0.036312811 0.197571278 0.766115963 0.238364980 0.394613832 0.367021233
[3523] 0.112753443 0.575356841 0.311889768 0.160078496 0.323924512 0.515996993
[3529] 0.008219237 0.074798197 0.916982591 0.102024496 0.315189779 0.582785726
[3535] 0.078852050 0.782535553 0.138612449 0.499624163 0.385612488 0.114763319
[3541] 0.198580578 0.408642828 0.392776549 0.008349566 0.084733404 0.906917036
[3547] 0.026813978 0.111633159 0.861552894 0.686077595 0.229543865 0.084378555
[3553] 0.762653470 0.223747909 0.013598620 0.565591931 0.384176999 0.050231099
[3559] 0.750431478 0.204896301 0.044672243 0.042952880 0.195057884 0.761989236
[3565] 0.579215884 0.394578099 0.026205987 0.585337281 0.381652087 0.033010598
[3571] 0.008177211 0.036754571 0.955068231 0.701463461 0.286055356 0.012481145
[3577] 0.150967747 0.331424385 0.517607868 0.453155369 0.353894562 0.192950040
[3583] 0.765083730 0.220541760 0.014374530 0.814858019 0.173952162 0.011189839
[3589] 0.839789629 0.139455467 0.020754933 0.807367206 0.175731584 0.016901206
[3595] 0.674161136 0.285455972 0.040382888 0.041874807 0.876139879 0.081985347
[3601] 0.791340947 0.195170447 0.013488598 0.698644161 0.250077844 0.051278036
[3607] 0.893629074 0.097774737 0.008596197 0.639261425 0.340448171 0.020290444
[3613] 0.876137733 0.116173759 0.007688472 0.911177695 0.066748105 0.022074182
[3619] 0.014181243 0.130333170 0.855485618 0.646388233 0.327261448 0.026350312
[3625] 0.859702766 0.125393182 0.014904109 0.752650261 0.210778952 0.036570746
[3631] 0.079928108 0.175437540 0.744634390 0.823441744 0.134682819 0.041875429
[3637] 0.005097319 0.189879999 0.805022717 0.749551475 0.240972981 0.009475569
[3643] 0.014842089 0.111901782 0.873256207 0.077893794 0.351291537 0.570814610
[3649] 0.037886888 0.235136211 0.726976931 0.834496558 0.140687987 0.024815448
[3655] 0.006931722 0.082650609 0.910417616 0.040701210 0.247830167 0.711468637
[3661] 0.023833269 0.206068054 0.770098686 0.588744402 0.334078133 0.077177458
[3667] 0.038959049 0.111784957 0.849255919 0.030950796 0.181511059 0.787538171
[3673] 0.022112830 0.187415913 0.790471256 0.033384413 0.138505355 0.828110278
[3679] 0.015448547 0.064221494 0.920329988 0.019862887 0.121276416 0.858860672
[3685] 0.049721356 0.116943032 0.833335638 0.021505302 0.126151636 0.852343082
[3691] 0.039654162 0.218744725 0.741601050 0.885929346 0.106036603 0.008034095
[3697] 0.680744827 0.265941888 0.053313319 0.767603755 0.195879459 0.036516801
[3703] 0.015705958 0.141409010 0.842885077 0.041453786 0.223188609 0.735357583
[3709] 0.019334203 0.151316971 0.829348862 0.078339227 0.250120670 0.671540082
[3715] 0.678461134 0.254392445 0.067146391 0.012347992 0.085606478 0.902045488
[3721] 0.227963015 0.256874323 0.515162647 0.504468262 0.417403221 0.078128517
[3727] 0.020527722 0.183226511 0.796245754 0.054660752 0.288164794 0.657174408
[3733] 0.028997233 0.191148371 0.779854417 0.110183343 0.674440563 0.215376079
[3739] 0.033714563 0.263423264 0.702862144 0.200252593 0.673151195 0.126596242
[3745] 0.054607630 0.695264935 0.250127405 0.003940074 0.041068599 0.954991281
[3751] 0.278002053 0.608598232 0.113399737 0.004659801 0.135110468 0.860229790
[3757] 0.089564137 0.809399605 0.101036273 0.075718842 0.672988534 0.251292646
[3763] 0.018033022 0.219773442 0.762193561 0.047885060 0.662465274 0.289649725
[3769] 0.493731737 0.460298985 0.045969252 0.025023019 0.194599971 0.780377030
[3775] 0.081724264 0.393518269 0.524757445 0.057435032 0.839374304 0.103190638
[3781] 0.034833234 0.238693506 0.726473272 0.030792005 0.299130678 0.670077324
[3787] 0.007968295 0.080639750 0.911391914 0.004725884 0.020746417 0.974527717
[3793] 0.055494372 0.575104356 0.369401276 0.043384384 0.457314670 0.499300987
[3799] 0.261228532 0.676703036 0.062068440 0.085241489 0.450438648 0.464319825
[3805] 0.012329390 0.093817204 0.893853426 0.117448986 0.540971756 0.341579258
[3811] 0.140192434 0.801619112 0.058188487 0.086804762 0.757004380 0.156190842
[3817] 0.030358264 0.418341160 0.551300585 0.045447499 0.291722327 0.662830174
[3823] 0.092401698 0.446484089 0.461114258 0.056006912 0.519755244 0.424237847
[3829] 0.109335817 0.571708560 0.318955660 0.028968340 0.317482680 0.653549016
[3835] 0.132284254 0.604836524 0.262879193 0.048513334 0.275206268 0.676280379
[3841] 0.029305935 0.226908982 0.743785083 0.084648147 0.768235862 0.147115961
[3847] 0.404274076 0.470304519 0.125421375 0.058956120 0.474675685 0.466368258
[3853] 0.041787118 0.430924684 0.527288198 0.642705798 0.310680509 0.046613712
[3859] 0.067202747 0.587877870 0.344919413 0.019652316 0.214341998 0.766005695
[3865] 0.066267796 0.292905569 0.640826643 0.074198395 0.768623471 0.157178164
[3871] 0.012824317 0.141831905 0.845343769 0.041341584 0.547840595 0.410817802
[3877] 0.002533095 0.251177907 0.746288955 0.007461114 0.146664053 0.845874906
[3883] 0.110218726 0.759576917 0.130204394 0.064716041 0.635164559 0.300119400
[3889] 0.044259071 0.462895185 0.492845803 0.027566612 0.393570006 0.578863442
[3895] 0.068683818 0.549498081 0.381818056 0.137791991 0.788428009 0.073780045
[3901] 0.220800579 0.684408069 0.094791360 0.046592701 0.489583731 0.463823587
[3907] 0.016701769 0.119578645 0.863719583 0.047606692 0.523900390 0.428492904
[3913] 0.106312677 0.789934635 0.103752680 0.091389090 0.684661508 0.223949403
[3919] 0.025181735 0.215518996 0.759299278 0.015085860 0.084790431 0.900123656
[3925] 0.095274590 0.740332186 0.164393231 0.039639637 0.330599517 0.629760802
[3931] 0.036241312 0.680155933 0.283602774 0.040406663 0.354675710 0.604917645
[3937] 0.045095947 0.563736320 0.391167730 0.174724162 0.763205051 0.062070768
[3943] 0.371633440 0.587849140 0.040517464 0.138345599 0.784023404 0.077630974
[3949] 0.069251470 0.721814394 0.208934113 0.054912813 0.375247896 0.569839299
[3955] 0.009397729 0.092777833 0.897824407 0.120777071 0.557368755 0.321854174
[3961] 0.103679098 0.844801962 0.051518977 0.096616745 0.614505291 0.288877994
[3967] 0.067782551 0.542931139 0.389286280 0.050858818 0.664351106 0.284790069
[3973] 0.048278600 0.507906616 0.443814784 0.033829086 0.502612412 0.463558525
[3979] 0.120353900 0.516137660 0.363508463 0.446441412 0.275765687 0.277792901
[3985] 0.045253843 0.659855187 0.294890970 0.135492459 0.756967604 0.107539982
[3991] 0.077033773 0.604181767 0.318784475 0.007501379 0.054462120 0.938036501
[3997] 0.053672370 0.743361056 0.202966586 0.083124772 0.667897701 0.248977572
[4003] 0.037252907 0.438082576 0.524664521 0.109229378 0.398865521 0.491905153
[4009] 0.162743032 0.549675405 0.287581593 0.109591790 0.683415234 0.206992969
[4015] 0.336389631 0.354731530 0.308878869 0.047809754 0.589866996 0.362323284
[4021] 0.140838280 0.486806512 0.372355253 0.108276188 0.694365740 0.197358117
[4027] 0.077730745 0.609048009 0.313221186 0.259602338 0.579042852 0.161354780
[4033] 0.053380322 0.478854537 0.467765182 0.065705843 0.548787594 0.385506600
[4039] 0.046977092 0.387534142 0.565488815 0.107490368 0.752882123 0.139627546
[4045] 0.013381178 0.148194388 0.838424385 0.121447496 0.462836504 0.415716052
[4051] 0.004604685 0.021141492 0.974253833 0.749591470 0.219673350 0.030735137
[4057] 0.367358059 0.570570827 0.062071089 0.055503424 0.613979161 0.330517411
[4063] 0.023669105 0.168991387 0.807339549 0.027662231 0.348962426 0.623375356
[4069] 0.104335740 0.746674478 0.148989752 0.799753249 0.171502873 0.028743831
[4075] 0.595887959 0.381722152 0.022389879 0.230336443 0.703223467 0.066440105
[4081] 0.178734273 0.772599995 0.048665736 0.037525326 0.287347883 0.675126791
[4087] 0.014494497 0.144107625 0.841397882 0.169723213 0.793165743 0.037111055
[4093] 0.054244578 0.580832541 0.364922881 0.033935767 0.327466995 0.638597250
[4099] 0.011055548 0.094466224 0.894478202 0.891857088 0.098796852 0.009346029
[4105] 0.011844151 0.208421633 0.779734254 0.013030191 0.183837757 0.803132117
[4111] 0.011106759 0.140766770 0.848126471 0.033046298 0.281882256 0.685071468
[4117] 0.102104910 0.587601900 0.310293168 0.509963036 0.465242714 0.024794256
[4123] 0.090071134 0.525908589 0.384020269 0.244747236 0.652530253 0.102722496
[4129] 0.250407606 0.579616547 0.169975862 0.422631651 0.548702180 0.028666167
[4135] 0.052143801 0.520945072 0.426911116 0.042898763 0.232781246 0.724319935
[4141] 0.013114567 0.139643624 0.847241819 0.006046931 0.228188828 0.765764236
[4147] 0.005957672 0.028934283 0.965108037 0.033738360 0.177785367 0.788476288
[4153] 0.006620579 0.098005347 0.895374060 0.007330225 0.382376671 0.610293090
[4159] 0.193243951 0.664395332 0.142360657 0.391762108 0.568976581 0.039261293
[4165] 0.032278914 0.348055750 0.619665325 0.007795620 0.098159708 0.894044638
[4171] 0.118625648 0.666704297 0.214670092 0.058146894 0.497184962 0.444668114
[4177] 0.270431429 0.696793556 0.032775007 0.150908574 0.579077184 0.270014226
[4183] 0.125081852 0.777324080 0.097594097 0.039949231 0.286679953 0.673370838
[4189] 0.411745489 0.564377904 0.023876611 0.764449716 0.220184550 0.015365734
[4195] 0.171695769 0.740810096 0.087494195 0.098102085 0.673660219 0.228237748
[4201] 0.190332606 0.747442603 0.062224835 0.491418660 0.481584340 0.026997037
[4207] 0.149403945 0.815209031 0.035386961 0.509497464 0.464485705 0.026016833
[4213] 0.167585015 0.781779349 0.050635677 0.147614256 0.748386800 0.103998959
[4219] 0.174277082 0.431648791 0.394074112 0.369557500 0.465649664 0.164792880
[4225] 0.331039757 0.640570164 0.028390091 0.293375820 0.676002264 0.030621907
[4231] 0.336212128 0.540613413 0.123174474 0.390456438 0.576195300 0.033348277
[4237] 0.087659232 0.406216800 0.506123960 0.463394523 0.518799305 0.017806137
[4243] 0.335840464 0.640512586 0.023646940 0.074503779 0.427000046 0.498496175
[4249] 0.824689269 0.152268946 0.023041809 0.483542085 0.449185073 0.067272887
[4255] 0.191995367 0.784739614 0.023265004 0.010544044 0.179263920 0.810191989
[4261] 0.006457062 0.077505730 0.916037202 0.285799712 0.688153028 0.026047291
[4267] 0.322055310 0.579979718 0.097964980 0.004000179 0.051487409 0.944512427
[4273] 0.003895722 0.014083184 0.982021093 0.239781275 0.647435963 0.112782806
[4279] 0.376549929 0.509537697 0.113912366 0.258463711 0.582160890 0.159375414
[4285] 0.538341343 0.439574629 0.022084009 0.095874391 0.380373985 0.523751616
[4291] 0.422915757 0.527773142 0.049311113 0.006771035 0.121283948 0.871945024
[4297] 0.066212319 0.350215554 0.583572090 0.150844499 0.772937477 0.076218016
[4303] 0.009845016 0.137366831 0.852788210 0.364364892 0.438373476 0.197261587
[4309] 0.572082937 0.336787850 0.091129169 0.374422520 0.550088286 0.075489134
[4315] 0.516907334 0.464320481 0.018772194 0.150474563 0.758018732 0.091506757
[4321] 0.004491609 0.063620120 0.931888342 0.078520738 0.671876907 0.249602392
[4327] 0.074304707 0.544478238 0.381217033 0.442016125 0.491220385 0.066763520
[4333] 0.012667763 0.228732809 0.758599401 0.019436294 0.354152322 0.626411378
[4339] 0.008172711 0.615269065 0.376558244 0.328676403 0.649457693 0.021865906
[4345] 0.003563414 0.050633922 0.945802689 0.063018084 0.412832379 0.524149537
[4351] 0.026882814 0.190662488 0.782454729 0.008756864 0.132834211 0.858408928
[4357] 0.865364552 0.123896487 0.010738970 0.012204195 0.114642046 0.873153746
[4363] 0.012429526 0.090764485 0.896805942 0.504600406 0.477838844 0.017560797
[4369] 0.121695563 0.790403008 0.087901421 0.013720375 0.108921856 0.877357781
[4375] 0.165993661 0.752777874 0.081228472 0.014447577 0.155503303 0.830049157
[4381] 0.009056293 0.076578654 0.914365053 0.006821659 0.044259761 0.948918581
[4387] 0.016350057 0.092892870 0.890757084 0.020689704 0.210122243 0.769188046
[4393] 0.156864017 0.807817042 0.035318960 0.268633842 0.697274625 0.034091547
[4399] 0.009303796 0.084483765 0.906212389 0.015578078 0.152430266 0.831991613
[4405] 0.008139219 0.128190771 0.863669991 0.355049968 0.579673290 0.065276742
[4411] 0.119902276 0.613257587 0.266840160 0.005415562 0.095413134 0.899171293
[4417] 0.420897663 0.550270617 0.028831745 0.146316856 0.464522779 0.389160395
[4423] 0.476337522 0.477794468 0.045868039 0.015914313 0.141743049 0.842342615
[4429] 0.075448051 0.518611193 0.405940741 0.126146317 0.787026107 0.086827613
[4435] 0.036155894 0.447315454 0.516528666 0.017514223 0.202961534 0.779524267
[4441] 0.308774859 0.625946164 0.065278962 0.237204686 0.649924695 0.112870581
[4447] 0.043885790 0.323233336 0.632880926 0.023242969 0.535121322 0.441635698
[4453] 0.219339833 0.751747549 0.028912604 0.011623455 0.107743762 0.880632818
[4459] 0.004068418 0.081501544 0.914430022 0.325616628 0.632061243 0.042322155
[4465] 0.005311225 0.302319229 0.692369580 0.009381661 0.125761122 0.864857197
[4471] 0.004978184 0.559470534 0.435551226 0.005507347 0.090167344 0.904325366
[4477] 0.292391896 0.686714292 0.020893829 0.023409408 0.176027089 0.800563514
[4483] 0.220528767 0.482793808 0.296677470 0.020936724 0.293231517 0.685831785
[4489] 0.077989638 0.368623078 0.553387284 0.024405925 0.291001350 0.684592724
[4495] 0.110305242 0.755569339 0.134125412 0.214270666 0.444143951 0.341585338
[4501] 0.012315159 0.190827549 0.796857238 0.545393944 0.426556587 0.028049445
[4507] 0.335359037 0.632859349 0.031781662 0.542943656 0.407336146 0.049720187
[4513] 0.006944065 0.061353583 0.931702316 0.452532321 0.509521544 0.037946142
[4519] 0.486498982 0.488540620 0.024960393 0.443085790 0.522206247 0.034707922
[4525] 0.268677562 0.698780656 0.032541752 0.858662844 0.128871679 0.012465425
[4531] 0.005871352 0.058309026 0.935819566 0.096326239 0.789057851 0.114615925
[4537] 0.008800886 0.116338104 0.874861002 0.019631388 0.336758137 0.643610477
[4543] 0.416113704 0.445697963 0.138188288 0.439652830 0.532817841 0.027529350
[4549] 0.029455235 0.372733772 0.597810984 0.024052601 0.069501504 0.906445861
[4555] 0.062398188 0.781402171 0.156199604 0.012918028 0.174622744 0.812459230
[4561] 0.010925880 0.123017460 0.866056621 0.246239141 0.705085695 0.048675217
[4567] 0.173684537 0.647166193 0.179149315 0.654546797 0.320583582 0.024869667
[4573] 0.265224338 0.692956805 0.041818827 0.041127812 0.446032137 0.512840033
[4579] 0.170232728 0.760249972 0.069517344 0.190515921 0.554675698 0.254808366
[4585] 0.299521029 0.621712089 0.078766920 0.026060492 0.084842473 0.889096975
[4591] 0.060859978 0.796913207 0.142226785 0.005938067 0.039923683 0.954138279
[4597] 0.026016206 0.386600912 0.587382853 0.086907849 0.505444169 0.407647938
[4603] 0.117200583 0.547147572 0.335651904 0.051160406 0.364710510 0.584129095
[4609] 0.266273975 0.683580518 0.050145563 0.063367844 0.549495280 0.387136877
[4615] 0.021599175 0.268923223 0.709477544 0.070275448 0.656845391 0.272879153
[4621] 0.196022049 0.638723969 0.165253982 0.251884282 0.717510760 0.030604983
[4627] 0.097079724 0.791428208 0.111492090 0.107491806 0.713106155 0.179402024
[4633] 0.043693114 0.455458403 0.500848472 0.561222494 0.389817387 0.048960116
[4639] 0.022636747 0.212207049 0.765156209 0.452770442 0.494525641 0.052703869
[4645] 0.625931501 0.350594282 0.023474256 0.476048023 0.414494693 0.109457321
[4651] 0.096597113 0.327789694 0.575613201 0.050739300 0.238549307 0.710711420
[4657] 0.040759832 0.384084553 0.575155616 0.046038907 0.596955955 0.357005119
[4663] 0.011739200 0.121777326 0.866483450 0.015207543 0.089020453 0.895771980
[4669] 0.009255027 0.063946471 0.926798522 0.081408530 0.254043430 0.664547980
[4675] 0.078643925 0.417572141 0.503783941 0.152471662 0.709623933 0.137904361
[4681] 0.007787506 0.079202175 0.913010299 0.053302154 0.526384413 0.420313448
[4687] 0.086498156 0.423992038 0.489509791 0.210267588 0.681052268 0.108680122
[4693] 0.041452050 0.108511873 0.850036025 0.058132593 0.424661547 0.517205834
[4699] 0.017741226 0.150613576 0.831645191 0.250227600 0.694376707 0.055395748
[4705] 0.251488775 0.683447182 0.065064028 0.073996142 0.388017654 0.537986219
[4711] 0.136509210 0.807396710 0.056094125 0.169151217 0.777053952 0.053794868
[4717] 0.034615580 0.421961755 0.543422699 0.131006107 0.682459295 0.186534628
[4723] 0.057868108 0.509797692 0.432334214 0.448887855 0.498907685 0.052204460
[4729] 0.007532431 0.049961362 0.942506254 0.007586694 0.093982510 0.898430824
[4735] 0.054723479 0.536414683 0.408861846 0.081727743 0.814975560 0.103296652
[4741] 0.012134058 0.120451823 0.867414057 0.020846739 0.301119775 0.678033471
[4747] 0.089170650 0.705587983 0.205241352 0.070347227 0.835722327 0.093930483
[4753] 0.027386330 0.237370983 0.735242665 0.273168623 0.653409481 0.073421866
[4759] 0.032772943 0.204884380 0.762342632 0.040819310 0.440033674 0.519147038
[4765] 0.005770677 0.173399270 0.820830047 0.014162022 0.146517023 0.839320898
[4771] 0.028396897 0.330519080 0.641084015 0.272600412 0.698387384 0.029012188
[4777] 0.240594015 0.596210659 0.163195312 0.007420936 0.077629544 0.914949536
[4783] 0.418539584 0.546009481 0.035450976 0.053297088 0.402654618 0.544048309
[4789] 0.044423461 0.353780329 0.601796210 0.043048181 0.295016021 0.661935747
[4795] 0.013088494 0.121724866 0.865186632 0.128732845 0.689016044 0.182251126
[4801] 0.029313682 0.400445074 0.570241272 0.052476164 0.544298112 0.403225750
[4807] 0.033572108 0.361230254 0.605197668 0.432654172 0.427985549 0.139360234
[4813] 0.066340789 0.508548200 0.425110996 0.007620957 0.075497091 0.916881979
[4819] 0.076558992 0.425675780 0.497765273 0.169536725 0.764200330 0.066262953
[4825] 0.221055046 0.738559902 0.040385049 0.166399643 0.585762978 0.247837394
[4831] 0.005569338 0.056793954 0.937636673 0.628414512 0.324326515 0.047258925
[4837] 0.014449443 0.192362964 0.793187618 0.014562467 0.148495212 0.836942255
[4843] 0.073272355 0.560149372 0.366578251 0.208454058 0.480112761 0.311433196
[4849] 0.068579860 0.511855304 0.419564813 0.286144584 0.648159564 0.065695882
[4855] 0.067590669 0.499043345 0.433366030 0.324576557 0.591714859 0.083708555
[4861] 0.032897394 0.305758715 0.661343873 0.071008563 0.698817849 0.230173603
[4867] 0.271727979 0.474433988 0.253838003 0.175635010 0.761456609 0.062908344
[4873] 0.061893567 0.658291996 0.279814422 0.164949566 0.727624893 0.107425541
[4879] 0.239031479 0.661725879 0.099242628 0.064599335 0.456284344 0.479116380
[4885] 0.214332581 0.488674492 0.296992958 0.078649722 0.483770013 0.437580287
[4891] 0.150848433 0.518315077 0.330836445 0.060646389 0.472722858 0.466630727
[4897] 0.134283334 0.771858990 0.093857720 0.124371007 0.715426385 0.160202637
[4903] 0.021118874 0.189666003 0.789215147 0.015667917 0.158989429 0.825342655
[4909] 0.270904273 0.669056296 0.060039401 0.055484906 0.494712591 0.449802458
[4915] 0.418894112 0.557767570 0.023338363 0.019960465 0.179786563 0.800252914
[4921] 0.152080238 0.771284282 0.076635472 0.598167121 0.377039105 0.024793738
[4927] 0.126936734 0.799496531 0.073566757 0.006001060 0.065236039 0.928762913
[4933] 0.056140814 0.867496848 0.076362297 0.088069029 0.491585910 0.420345098
[4939] 0.081269845 0.508868992 0.409861177 0.005617425 0.639260650 0.355121881
[4945] 0.375466138 0.561998546 0.062535301 0.015864348 0.204678193 0.779457510
[4951] 0.024478273 0.154421762 0.821099937 0.488397509 0.460318536 0.051283963
[4957] 0.342640936 0.362566888 0.294792145 0.008336363 0.113714613 0.877948999
[4963] 0.065858975 0.545784950 0.388356030 0.055393629 0.496165395 0.448440939
[4969] 0.120818689 0.771411359 0.107769936 0.086747438 0.813829064 0.099423490
[4975] 0.209519804 0.734366477 0.056113761 0.173750997 0.543823063 0.282425970
[4981] 0.010656640 0.094114482 0.895228863 0.415754110 0.450278819 0.133967131
[4987] 0.038546041 0.311529845 0.649924099 0.073408484 0.578735411 0.347856104
[4993] 0.407610565 0.518625796 0.073763639 0.066927440 0.572536886 0.360535681
[4999] 0.540327251 0.388804585 0.070868164 0.012208360 0.166820973 0.820970714
[5005] 0.221245393 0.707090676 0.071663924 0.029415606 0.283413112 0.687171280
[5011] 0.187746093 0.608796358 0.203457564 0.026904840 0.289342314 0.683752835
[5017] 0.339701384 0.630865633 0.029432962 0.263240397 0.712523818 0.024235725
[5023] 0.009694538 0.125256613 0.865048885 0.089879796 0.304053456 0.606066704
[5029] 0.608658910 0.375253350 0.016087769 0.005767151 0.063060090 0.931172788
[5035] 0.027102828 0.270375431 0.702521682 0.413681477 0.551949143 0.034369394
[5041] 0.429472536 0.527668715 0.042858727 0.260941237 0.582385540 0.156673267
[5047] 0.031114664 0.247559547 0.721325755 0.020807886 0.153787628 0.825404465
[5053] 0.019093225 0.296396554 0.684510171 0.006899412 0.061387971 0.931712568
[5059] 0.019987229 0.266288310 0.713724494 0.405748874 0.526245296 0.068005838
[5065] 0.124977924 0.790241420 0.084780686 0.007783435 0.083876386 0.908340216
[5071] 0.034321893 0.508940935 0.456737220 0.081788465 0.210023344 0.708188176
[5077] 0.108731225 0.533768058 0.357500762 0.369188040 0.563674331 0.067137577
[5083] 0.006152387 0.113721237 0.880126417 0.195307896 0.508670986 0.296021104
[5089] 0.171427563 0.765867710 0.062704705 0.282555163 0.684805989 0.032638844
[5095] 0.434139043 0.536424458 0.029436471 0.254565090 0.716893852 0.028541056
[5101] 0.525549531 0.393123358 0.081327103 0.451801568 0.524391830 0.023806604
[5107] 0.471674204 0.496838421 0.031487428 0.706371844 0.275577813 0.018050304
[5113] 0.017167311 0.223307684 0.759525001 0.060782123 0.846978486 0.092239410
[5119] 0.122215346 0.602783382 0.275001258 0.004443679 0.301308215 0.694248080
[5125] 0.079480335 0.717858553 0.202661097 0.018675916 0.197907731 0.783416331
[5131] 0.017689109 0.275154710 0.707156181 0.031009976 0.294371217 0.674618781
[5137] 0.006117423 0.053662330 0.940220177 0.762194991 0.218437806 0.019367203
[5143] 0.455358863 0.520011663 0.024629483 0.029603669 0.320056081 0.650340259
[5149] 0.075154558 0.514781415 0.410064012 0.019678410 0.269560933 0.710760713
[5155] 0.019910634 0.242902637 0.737186730 0.021018462 0.077919185 0.901062310
[5161] 0.005625254 0.049877338 0.944497466 0.036787413 0.329555541 0.633657038
[5167] 0.008770611 0.074514762 0.916714609 0.010673783 0.107057817 0.882268429
[5173] 0.006381728 0.059316032 0.934302211 0.009456478 0.052899659 0.937643826
[5179] 0.148640290 0.782881141 0.068478554 0.070008360 0.558749974 0.371241719
[5185] 0.005844504 0.056866575 0.937288880 0.102408469 0.685301244 0.212290272
[5191] 0.600403130 0.350813985 0.048782878 0.072877228 0.344867975 0.582254767
[5197] 0.103486985 0.542690217 0.353822798 0.055392165 0.321928203 0.622679651
[5203] 0.094544895 0.348922372 0.556532681 0.027653323 0.291619897 0.680726826
[5209] 0.006126903 0.081884921 0.911988199 0.010890390 0.098089606 0.891020060
[5215] 0.029810745 0.339141756 0.631047487 0.162063614 0.774833322 0.063103050
[5221] 0.053931750 0.574705541 0.371362686 0.017272502 0.176005781 0.806721747
[5227] 0.005642097 0.064608783 0.929749191 0.010043243 0.081388839 0.908567965
[5233] 0.017815316 0.109013662 0.873171031 0.043606035 0.351650000 0.604743958
[5239] 0.127476573 0.704802871 0.167720601 0.011496682 0.157971501 0.830531836
[5245] 0.009571889 0.155744910 0.834683239 0.013927120 0.134502962 0.851569891
[5251] 0.027382441 0.172070205 0.800547302 0.004232844 0.209059715 0.786707461
[5257] 0.007161489 0.063970596 0.928867936 0.008642673 0.076555192 0.914802074
[5263] 0.021882094 0.115237154 0.862880707 0.027491467 0.150813743 0.821694791
[5269] 0.011059072 0.087548062 0.901392877 0.089231335 0.815258980 0.095509700
[5275] 0.044461500 0.476089329 0.479449183 0.166457608 0.795747876 0.037794497
[5281] 0.047567125 0.458783805 0.493649125 0.031787880 0.218640670 0.749571443
[5287] 0.118850939 0.721676171 0.159472913 0.139132246 0.657914340 0.202953398
[5293] 0.005366823 0.317532122 0.677101076 0.110965468 0.283077449 0.605957091
[5299] 0.003772086 0.070766099 0.925461829 0.009760309 0.148209408 0.842030287
[5305] 0.003840953 0.102982566 0.893176496 0.017179932 0.177646384 0.805173695
[5311] 0.026871871 0.171653420 0.801474750 0.216689736 0.739393234 0.043917019
[5317] 0.599448323 0.369101077 0.031450611 0.015651224 0.070397317 0.913951397
[5323] 0.023828026 0.154107198 0.822064757 0.009510525 0.121661432 0.868828058
[5329] 0.012449351 0.192587212 0.794963479 0.003654138 0.313894093 0.682451785
[5335] 0.048998754 0.377768755 0.573232472 0.076246768 0.478147477 0.445605695
[5341] 0.066732958 0.503067195 0.430199802 0.025929607 0.161678970 0.812391460
[5347] 0.011203538 0.066938981 0.921857476 0.582244098 0.364577472 0.053178407
[5353] 0.028341709 0.271544456 0.700113833 0.044887867 0.574577987 0.380534142
[5359] 0.092591852 0.675213277 0.232194856 0.150376529 0.770173073 0.079450428
[5365] 0.210494980 0.582662582 0.206842437 0.099432252 0.503561258 0.397006482
[5371] 0.125760317 0.504421353 0.369818330 0.036045294 0.505552649 0.458402067
[5377] 0.017542390 0.043755773 0.938701868 0.055138007 0.559707463 0.385154516
[5383] 0.305141747 0.666870534 0.027987702 0.005931167 0.054323673 0.939745188
[5389] 0.665902257 0.124490544 0.209607199 0.006869483 0.060148269 0.932982266
[5395] 0.005641119 0.088396288 0.905962527 0.051889587 0.307005018 0.641105413
[5401] 0.004229462 0.037240110 0.958530426 0.365860581 0.488666236 0.145473123
[5407] 0.069894090 0.722788036 0.207317814 0.198927313 0.730436206 0.070636451
[5413] 0.187803850 0.658785462 0.153410673 0.189340755 0.584445179 0.226214021
[5419] 0.207010910 0.750712752 0.042276323 0.057629306 0.416131198 0.526239514
[5425] 0.014505065 0.124505900 0.860988975 0.034589026 0.196351230 0.769059718
[5431] 0.020432353 0.285138220 0.694429398 0.011563811 0.162001565 0.826434612
[5437] 0.004975476 0.124770693 0.870253801 0.016617352 0.197918206 0.785464466
[5443] 0.011393275 0.124610133 0.863996625 0.005357023 0.131431192 0.863211751
[5449] 0.041591294 0.271626264 0.686782420 0.003553116 0.650039017 0.346407861
[5455] 0.301325381 0.675155580 0.023519093 0.005413517 0.048477437 0.946109056
[5461] 0.008037807 0.086000994 0.905961156 0.005058437 0.076933995 0.918007553
[5467] 0.002728095 0.103074923 0.894197047 0.012422101 0.766079724 0.221498206
[5473] 0.025317973 0.224606425 0.750075638 0.003605978 0.076735348 0.919658720
[5479] 0.033078771 0.186302751 0.780618489 0.007695421 0.070130549 0.922174037
[5485] 0.005147722 0.075899571 0.918952644 0.008535707 0.106384680 0.885079682
[5491] 0.006003321 0.034677017 0.959319711 0.005596610 0.067728497 0.926674902
[5497] 0.008943851 0.086317271 0.904738903 0.029469365 0.339568913 0.630961716
[5503] 0.004915264 0.070390463 0.924694240 0.043123890 0.289353102 0.667523026
[5509] 0.032693677 0.379014254 0.588292062 0.208130136 0.605768263 0.186101601
[5515] 0.574737251 0.399259865 0.026002897 0.013454357 0.193584844 0.792960823
[5521] 0.006112917 0.074716955 0.919170141 0.005210694 0.087482013 0.907307267
[5527] 0.014778021 0.165157512 0.820064485 0.015743792 0.140182436 0.844073772
[5533] 0.006249683 0.151944995 0.841805339 0.028966432 0.406868339 0.564165235
[5539] 0.011791182 0.083623983 0.904584885 0.049547903 0.492534906 0.457917184
[5545] 0.279029727 0.577974558 0.142995730 0.057902806 0.232006177 0.710091054
[5551] 0.445737243 0.493125826 0.061136954 0.059210412 0.254922032 0.685867548
[5557] 0.205062091 0.713139296 0.081798606 0.219901398 0.682944417 0.097154118
[5563] 0.054832108 0.540496945 0.404670954 0.062219076 0.430378258 0.507402658
[5569] 0.005142325 0.044485055 0.950372577 0.238562480 0.728512228 0.032925297
[5575] 0.177647620 0.717460573 0.104891829 0.003690185 0.031915717 0.964394152
[5581] 0.133901536 0.400093198 0.466005236 0.198418409 0.728591740 0.072989866
[5587] 0.008101020 0.111552283 0.880346715 0.016017411 0.105266899 0.878715634
[5593] 0.110961564 0.615437686 0.273600787 0.006646120 0.048470985 0.944882870
[5599] 0.005154769 0.051742692 0.943102598 0.007646106 0.069483727 0.922870100
[5605] 0.004449073 0.046699427 0.948851466 0.011493372 0.086127609 0.902378976
[5611] 0.018527437 0.094690271 0.886782348 0.007674900 0.083972111 0.908352971
[5617] 0.006051415 0.051127896 0.942820609 0.028988397 0.237036914 0.733974636
[5623] 0.010694462 0.063536040 0.925769567 0.090865411 0.611453056 0.297681540
[5629] 0.010571396 0.072354391 0.917074203 0.785175622 0.203930408 0.010893969
[5635] 0.816690028 0.174432769 0.008877239 0.019323915 0.210358351 0.770317674
[5641] 0.916658700 0.076758943 0.006582323 0.918768466 0.074564189 0.006667286
[5647] 0.578575253 0.359396338 0.062028449 0.457356662 0.375005215 0.167638123
[5653] 0.015054412 0.160124972 0.824820638 0.021661283 0.189302415 0.789036334
[5659] 0.812765002 0.176226661 0.011008335 0.008428824 0.560364604 0.431206584
[5665] 0.688432813 0.294822633 0.016744558 0.869402826 0.121813804 0.008783408
[5671] 0.547948599 0.420328140 0.031723265 0.649145782 0.327128112 0.023726095
[5677] 0.730272353 0.261895508 0.007832116 0.754911125 0.231994003 0.013094857
[5683] 0.008410793 0.096685842 0.894903421 0.036068887 0.244167551 0.719763517
[5689] 0.013304818 0.192650005 0.794045210 0.058392782 0.350605339 0.591001868
[5695] 0.033982303 0.261321366 0.704696357 0.626460612 0.353652716 0.019886721
[5701] 0.026304860 0.297690272 0.676004887 0.640760422 0.338671237 0.020568360
[5707] 0.568512976 0.305300325 0.126186684 0.003893433 0.362607211 0.633499324
[5713] 0.474893779 0.470597655 0.054508571 0.744255364 0.229660690 0.026083944
[5719] 0.519861758 0.469743758 0.010394459 0.775764883 0.214877456 0.009357622
[5725] 0.022890273 0.141776994 0.835332751 0.063775778 0.226022959 0.710201263
[5731] 0.739215612 0.250086933 0.010697465 0.796826839 0.190021783 0.013151386
[5737] 0.632796824 0.345205873 0.021997277 0.492955267 0.475001067 0.032043677
[5743] 0.704239905 0.274949312 0.020810751 0.596457005 0.392644078 0.010898979
[5749] 0.668104291 0.310276419 0.021619251 0.735049248 0.252034098 0.012916587
[5755] 0.479143232 0.489267737 0.031588972 0.741419435 0.242098376 0.016482148
[5761] 0.034545567 0.211647242 0.753807127 0.795516729 0.195478559 0.009004676
[5767] 0.491160572 0.388139099 0.120700300 0.560047865 0.415833384 0.024118757
[5773] 0.543849289 0.439330876 0.016819838 0.773535371 0.200824752 0.025639897
[5779] 0.756557047 0.225224152 0.018218793 0.359327883 0.629226983 0.011445127
[5785] 0.764613509 0.224061877 0.011324604 0.638082623 0.296237051 0.065680310
[5791] 0.843134046 0.142375648 0.014490282 0.490246028 0.494266212 0.015487761
[5797] 0.450122923 0.435264617 0.114612430 0.707493484 0.280202091 0.012304457
[5803] 0.476815194 0.430378318 0.092806429 0.816633105 0.168684304 0.014682597
[5809] 0.915298283 0.076750346 0.007951410 0.751779139 0.239112318 0.009108564
[5815] 0.614379346 0.364192843 0.021427749 0.742399216 0.245948091 0.011652633
[5821] 0.016327281 0.207375184 0.776297569 0.021048442 0.221476838 0.757474780
[5827] 0.914729774 0.079146877 0.006123400 0.706692934 0.274999470 0.018307604
[5833] 0.476119459 0.473771006 0.050109584 0.278666079 0.411652803 0.309681088
[5839] 0.452266902 0.523552477 0.024180647 0.279566914 0.454720736 0.265712380
[5845] 0.786238194 0.203198299 0.010563537 0.785673380 0.204992861 0.009333804
[5851] 0.043110684 0.349702746 0.607186556 0.015176826 0.174941689 0.809881449
[5857] 0.396355063 0.578884661 0.024760323 0.757258177 0.222162127 0.020579711
[5863] 0.034167174 0.198838770 0.766994059 0.727568269 0.261654437 0.010777324
[5869] 0.579686403 0.377855152 0.042458404 0.628940105 0.338570297 0.032489639
[5875] 0.666753471 0.169347197 0.163899347 0.638925195 0.338113219 0.022961572
[5881] 0.417439491 0.427371740 0.155188754 0.659024596 0.320666015 0.020309392
[5887] 0.765207529 0.219826102 0.014966404 0.720627308 0.262755573 0.016617065
[5893] 0.847891927 0.145435914 0.006672166 0.027522678 0.307074457 0.665402830
[5899] 0.662348688 0.326203376 0.011447949 0.836140394 0.156828105 0.007031469
[5905] 0.538005888 0.321671575 0.140322581 0.838231683 0.154396981 0.007371277
[5911] 0.052011117 0.264199734 0.683789194 0.688197553 0.296660721 0.015141764
[5917] 0.740871847 0.249643654 0.009484556 0.882892609 0.110306434 0.006800923
[5923] 0.399558216 0.398775131 0.201666698 0.779253066 0.203735545 0.017011367
[5929] 0.621287644 0.355895370 0.022816988 0.033901572 0.278536499 0.687561929
[5935] 0.756666183 0.222137094 0.021196723 0.067393690 0.236355364 0.696250975
[5941] 0.668275654 0.296292692 0.035431702 0.763251543 0.217256695 0.019491751
[5947] 0.547466815 0.392104119 0.060429074 0.766812742 0.227194339 0.005992859
[5953] 0.014128095 0.133162886 0.852709055 0.017718475 0.122137249 0.860144317
[5959] 0.495884478 0.434103668 0.070011906 0.026074817 0.173192292 0.800732851
[5965] 0.015249687 0.142643139 0.842107117 0.018820025 0.149592817 0.831587136
[5971] 0.008110508 0.230402708 0.761486828 0.005154565 0.031336520 0.963508904
[5977] 0.513202667 0.460324436 0.026472850 0.644204557 0.342302352 0.013493137
[5983] 0.865692139 0.126508161 0.007799707 0.534279943 0.399539530 0.066180512
[5989] 0.875273407 0.117123127 0.007603510 0.635853291 0.343002677 0.021143980
[5995] 0.779055178 0.207857475 0.013087350 0.123500809 0.683010638 0.193488523
[6001] 0.602736592 0.364685148 0.032578241 0.761447549 0.224536523 0.014015898
[6007] 0.610204816 0.369421422 0.020373804 0.293992996 0.565822542 0.140184447
[6013] 0.016952928 0.199558556 0.783488512 0.022153519 0.174837351 0.803009093
[6019] 0.011622559 0.097126655 0.891250730 0.014641381 0.158196986 0.827161610
[6025] 0.023618363 0.265562773 0.710818887 0.034685679 0.230971992 0.734342337
[6031] 0.040000193 0.323807806 0.636191964 0.715689600 0.239441976 0.044868387
[6037] 0.606735706 0.377205908 0.016058423 0.780798733 0.206965610 0.012235682
[6043] 0.871633947 0.119783163 0.008582898 0.032692455 0.196518987 0.770788550
[6049] 0.024756603 0.225405917 0.749837458 0.601811707 0.383851737 0.014336609
[6055] 0.565779567 0.400372803 0.033847671 0.722512245 0.264903098 0.012584600
[6061] 0.027526822 0.200045735 0.772427499 0.018195512 0.100185774 0.881618679
[6067] 0.015298801 0.237304911 0.747396290 0.004293004 0.632853210 0.362853795
[6073] 0.026517430 0.180477098 0.793005466 0.020263406 0.405370742 0.574365854
[6079] 0.596040666 0.393430173 0.010529168 0.047141444 0.313693672 0.639164865
[6085] 0.642059565 0.334972501 0.022967899 0.027126810 0.212690070 0.760183156
[6091] 0.847879291 0.144459218 0.007661528 0.793577015 0.196584687 0.009838293
[6097] 0.029413564 0.296588689 0.673997700 0.059270330 0.377294421 0.563435256
[6103] 0.013916828 0.152750060 0.833333135 0.007286211 0.414905697 0.577808082
[6109] 0.067110740 0.373822123 0.559067130 0.420772314 0.367859840 0.211367846
[6115] 0.018415965 0.193697318 0.787886739 0.042929512 0.399427593 0.557642937
[6121] 0.039093379 0.225473195 0.735433400 0.026263986 0.225454241 0.748281837
[6127] 0.014696887 0.159552291 0.825750828 0.012606154 0.143315196 0.844078660
[6133] 0.850401521 0.141378462 0.008220076 0.436048716 0.502910614 0.061040651
[6139] 0.069192283 0.459333986 0.471473753 0.046897072 0.343088806 0.610014141
[6145] 0.007768104 0.347899526 0.644332409 0.005413617 0.279043734 0.715542674
[6151] 0.029920474 0.197181180 0.772898316 0.014068432 0.135238037 0.850693524
[6157] 0.023895752 0.191587612 0.784516633 0.066869512 0.340825886 0.592304647
[6163] 0.039314460 0.307911634 0.652773917 0.028732385 0.418764204 0.552503407
[6169] 0.023655392 0.522998691 0.453345925 0.026005153 0.121296898 0.852697968
[6175] 0.012577527 0.141712084 0.845710397 0.020398112 0.142782226 0.836819649
[6181] 0.023987480 0.123421595 0.852590919 0.024335628 0.190741643 0.784922719
[6187] 0.092482664 0.391070843 0.516446471 0.041855607 0.199439362 0.758704960
[6193] 0.033379082 0.238354906 0.728266001 0.026799016 0.115742050 0.857458889
[6199] 0.055848781 0.366826177 0.577325046 0.006114439 0.085228987 0.908656538
[6205] 0.021275114 0.163875833 0.814849079 0.004758708 0.050544880 0.944696367
[6211] 0.014868161 0.179035291 0.806096494 0.025005508 0.191804469 0.783190012
[6217] 0.031301953 0.245824128 0.722873867 0.064958587 0.401757300 0.533284128
[6223] 0.040916923 0.265909135 0.693173945 0.130209044 0.291759610 0.578031301
[6229] 0.055871256 0.345581621 0.598547101 0.479925662 0.503703654 0.016370660
[6235] 0.573003352 0.408669382 0.018327251 0.675863564 0.301992714 0.022143705
[6241] 0.165161222 0.464772373 0.370066404 0.079017885 0.352860719 0.568121374
[6247] 0.025739770 0.193705559 0.780554712 0.712014675 0.263220429 0.024764923
[6253] 0.820601702 0.167016566 0.012381749 0.662088156 0.253874600 0.084037259
[6259] 0.537399471 0.435645550 0.026954997 0.579393387 0.396667302 0.023939315
[6265] 0.673624754 0.286539972 0.039835304 0.591753900 0.389224708 0.019021407
[6271] 0.632930219 0.333845168 0.033224642 0.269323111 0.587252438 0.143424422
[6277] 0.629415333 0.350728035 0.019856682 0.855426669 0.125500575 0.019072773
[6283] 0.025687719 0.194852501 0.779459834 0.038675532 0.242045045 0.719279468
[6289] 0.658689141 0.328302860 0.013007967 0.455415040 0.520251989 0.024332961
[6295] 0.536937118 0.438399345 0.024663551 0.032203611 0.156262815 0.811533570
[6301] 0.639331043 0.337643266 0.023025740 0.325144738 0.529747963 0.145107239
[6307] 0.637473583 0.345387042 0.017139396 0.711935520 0.269468606 0.018595882
[6313] 0.796800315 0.173279345 0.029920327 0.441127330 0.412854671 0.146017984
[6319] 0.394972861 0.484478354 0.120548740 0.481511325 0.462188989 0.056299675
[6325] 0.402142346 0.486046314 0.111811303 0.629899085 0.327415645 0.042685285
[6331] 0.447334617 0.493495822 0.059169568 0.386646360 0.367542833 0.245810807
[6337] 0.401256233 0.528996408 0.069747359 0.630999506 0.324175358 0.044825159
[6343] 0.017187091 0.080402911 0.902409971 0.513653338 0.429727286 0.056619372
[6349] 0.662222207 0.288829952 0.048947848 0.249279946 0.640959322 0.109760746
[6355] 0.423471421 0.465750754 0.110777788 0.485492200 0.452328205 0.062179603
[6361] 0.046322197 0.188337088 0.765340745 0.484723240 0.429325193 0.085951552
[6367] 0.660884678 0.258121759 0.080993555 0.721711695 0.234820098 0.043468252
[6373] 0.007747868 0.108964086 0.883288085 0.110889949 0.523584306 0.365525723
[6379] 0.014732349 0.185478225 0.799789429 0.701239526 0.275274158 0.023486309
[6385] 0.017137555 0.071638465 0.911224008 0.609228492 0.356112272 0.034659255
[6391] 0.576027751 0.371748418 0.052223820 0.765615880 0.194729313 0.039654847
[6397] 0.518500984 0.424085915 0.057413083 0.569537222 0.261710405 0.168752328
[6403] 0.057756521 0.189097524 0.753145933 0.445977867 0.392330617 0.161691517
[6409] 0.847790778 0.134553418 0.017655833 0.696420372 0.250205636 0.053374019
[6415] 0.426840514 0.351675928 0.221483588 0.594252646 0.382054508 0.023692859
[6421] 0.547247946 0.414681166 0.038070906 0.632877052 0.290302426 0.076820493
[6427] 0.737304330 0.226350293 0.036345351 0.663720608 0.284545511 0.051733896
[6433] 0.664091825 0.290506452 0.045401722 0.687820196 0.294881463 0.017298343
[6439] 0.754318058 0.225985005 0.019696929 0.432967037 0.416298866 0.150734112
[6445] 0.180487111 0.714512110 0.105000734 0.750535667 0.230126724 0.019337619
[6451] 0.722071528 0.260273367 0.017655099 0.646238565 0.299726039 0.054035407
[6457] 0.572147071 0.395651698 0.032201234 0.626534045 0.337217808 0.036248144
[6463] 0.657755852 0.294704974 0.047539171 0.179043978 0.272323638 0.548632383
[6469] 0.579173386 0.392177403 0.028649200 0.024017947 0.170556203 0.805425882
[6475] 0.671727300 0.288141489 0.040131234 0.472375661 0.480974823 0.046649523
[6481] 0.597036839 0.351568013 0.051395103 0.343136907 0.618728817 0.038134266
[6487] 0.020779571 0.116780609 0.862439811 0.614313960 0.255642295 0.130043820
[6493] 0.047415141 0.411864072 0.540720761 0.410157621 0.537989855 0.051852539
[6499] 0.648252487 0.299235493 0.052512020 0.638610184 0.252189875 0.109199911
[6505] 0.309840858 0.582443714 0.107715458 0.511586547 0.407376587 0.081036858
[6511] 0.592353642 0.317122996 0.090523355 0.639412761 0.316843390 0.043743875
[6517] 0.590012074 0.332130492 0.077857383 0.459359676 0.460976064 0.079664297
[6523] 0.530519962 0.439439535 0.030040532 0.524070442 0.338746578 0.137183025
[6529] 0.349441677 0.429253161 0.221305117 0.678456724 0.280039847 0.041503396
[6535] 0.734905779 0.237236783 0.027857451 0.629588962 0.188750580 0.181660414
[6541] 0.439627081 0.500475168 0.059897788 0.455642819 0.511536956 0.032820258
[6547] 0.729614735 0.233200312 0.037184939 0.858221173 0.117366828 0.024411993
[6553] 0.720389068 0.223106474 0.056504469 0.720128894 0.264383554 0.015487519
[6559] 0.689076245 0.283515483 0.027408257 0.804307997 0.161584020 0.034107979
[6565] 0.669229627 0.316236943 0.014533403 0.520237684 0.359076142 0.120686226
[6571] 0.638655961 0.345990270 0.015353747 0.252372712 0.694757521 0.052869763
[6577] 0.514393628 0.459593147 0.026013223 0.410786062 0.546840727 0.042373259
[6583] 0.511392415 0.452405542 0.036202017 0.011868545 0.104623221 0.883508265
[6589] 0.533711016 0.396983713 0.069305263 0.017718436 0.140340149 0.841941357
[6595] 0.401352644 0.569193721 0.029453611 0.466873318 0.450632066 0.082494654
[6601] 0.161484823 0.476422369 0.362092763 0.452013195 0.527375877 0.020610936
[6607] 0.605209291 0.346542150 0.048248567 0.691061556 0.263548523 0.045389935
[6613] 0.685544074 0.283641189 0.030814683 0.586051345 0.373055935 0.040892694
[6619] 0.701922238 0.257955134 0.040122684 0.864619255 0.125895664 0.009485024
[6625] 0.612839699 0.342625320 0.044534955 0.014395761 0.113725655 0.871878564
[6631] 0.566687286 0.411229819 0.022082899 0.427445054 0.553888917 0.018666066
[6637] 0.784142852 0.192353711 0.023503419 0.490695536 0.342711717 0.166592732
[6643] 0.076197252 0.245451659 0.678351104 0.008411071 0.077704079 0.913884819
[6649] 0.023444997 0.158764869 0.817790091 0.047150888 0.261062771 0.691786349
[6655] 0.621476352 0.352000266 0.026523354 0.256632358 0.681803167 0.061564524
[6661] 0.509850621 0.475352943 0.014796478 0.366754383 0.575465381 0.057780214
[6667] 0.336270362 0.633216560 0.030513091 0.322934121 0.401256531 0.275809348
[6673] 0.253503948 0.413575172 0.332920879 0.746637344 0.235491410 0.017871203
[6679] 0.319323331 0.655508578 0.025168106 0.363223881 0.565280080 0.071496010
[6685] 0.467157394 0.502584696 0.030257935 0.239799500 0.489992499 0.270208031
[6691] 0.725357413 0.251444161 0.023198456 0.014130989 0.119454324 0.866414666
[6697] 0.545257330 0.409157455 0.045585182 0.311193079 0.651361585 0.037445344
[6703] 0.611164272 0.368133992 0.020701760 0.602391899 0.365173250 0.032434881
[6709] 0.435702413 0.510456622 0.053841025 0.003851038 0.078061976 0.918087006
[6715] 0.637716234 0.321788222 0.040495522 0.597132325 0.341429353 0.061438311
[6721] 0.017605627 0.234867737 0.747526646 0.062007613 0.305013925 0.632978499
[6727] 0.612814069 0.351291716 0.035894286 0.462173700 0.454490423 0.083335862
[6733] 0.591293395 0.391837567 0.016869044 0.809449375 0.173868448 0.016682217
[6739] 0.562514424 0.412324756 0.025160810 0.844033182 0.138071716 0.017895106
[6745] 0.775691032 0.207801655 0.016507341 0.022139648 0.145777822 0.832082570
[6751] 0.842316329 0.144696951 0.012986751 0.685188711 0.273370057 0.041441210
[6757] 0.568614185 0.386402339 0.044983447 0.414363086 0.479055732 0.106581129
[6763] 0.628712475 0.328695327 0.042592205 0.632571220 0.341644883 0.025783883
[6769] 0.023034154 0.236144945 0.740820944 0.019997442 0.174387991 0.805614531
[6775] 0.652307332 0.319986850 0.027705815 0.900256038 0.089512646 0.010231323
[6781] 0.421438038 0.460550904 0.118011065 0.093685851 0.364023089 0.542291105
[6787] 0.087251253 0.416723281 0.496025473 0.527771175 0.451598108 0.020630706
[6793] 0.621751308 0.358229250 0.020019433 0.017015781 0.171850592 0.811133683
[6799] 0.283792973 0.266688675 0.449518263 0.018712828 0.120110378 0.861176848
[6805] 0.007033353 0.107334957 0.885631740 0.004181688 0.049966048 0.945852280
[6811] 0.020637598 0.156825989 0.822536409 0.011116886 0.122372225 0.866510928
[6817] 0.014876870 0.068364523 0.916758597 0.337005824 0.549254596 0.113739572
[6823] 0.514105320 0.466944247 0.018950462 0.066884883 0.726458013 0.206657127
[6829] 0.787110507 0.184450373 0.028439175 0.472256601 0.509228528 0.018514853
[6835] 0.540070772 0.430287838 0.029641354 0.488015682 0.419622660 0.092361674
[6841] 0.070084296 0.156731308 0.773184359 0.556495547 0.410183072 0.033321347
[6847] 0.417893738 0.554609239 0.027497031 0.542362928 0.423350304 0.034286775
[6853] 0.386658758 0.580273092 0.033068150 0.485171080 0.441597760 0.073231153
[6859] 0.515779853 0.430994958 0.053225253 0.100804426 0.798503757 0.100691743
[6865] 0.482858598 0.503047347 0.014094096 0.009809545 0.429378629 0.560811877
[6871] 0.037204459 0.424696416 0.538099110 0.003050657 0.041558780 0.955390573
[6877] 0.002021384 0.127736166 0.870242417 0.009927512 0.085840113 0.904232383
[6883] 0.012492569 0.139749140 0.847758293 0.007340993 0.090177491 0.902481496
[6889] 0.008141491 0.107746035 0.884112537 0.123887904 0.207766384 0.668345749
[6895] 0.046343852 0.277400523 0.676255643 0.052025136 0.502633631 0.445341229
[6901] 0.025990494 0.230585009 0.743424475 0.013912850 0.124818429 0.861268699
[6907] 0.009634398 0.720596910 0.269768625 0.648572206 0.281927884 0.069499947
[6913] 0.007216946 0.024862265 0.967920721 0.648472965 0.328088850 0.023438172
[6919] 0.035654601 0.199761391 0.764584064 0.013179041 0.139368385 0.847452641
[6925] 0.133587837 0.475519449 0.390892744 0.047038920 0.290094346 0.662866771
[6931] 0.009404801 0.109627485 0.880967736 0.013128430 0.136036515 0.850835025
[6937] 0.023457967 0.146516323 0.830025733 0.052860197 0.256519794 0.690620065
[6943] 0.305123955 0.470841110 0.224034935 0.310606688 0.582793713 0.106599621
[6949] 0.007615601 0.706195414 0.286188990 0.041616898 0.305016875 0.653366268
[6955] 0.028742636 0.254277766 0.716979563 0.019476639 0.123467796 0.857055604
[6961] 0.063655175 0.440184981 0.496159822 0.006078936 0.055229306 0.938691795
[6967] 0.007335769 0.081248328 0.911415875 0.578629076 0.403739929 0.017630953
[6973] 0.097005844 0.416224241 0.486769974 0.020396490 0.206684649 0.772918940
[6979] 0.559225857 0.403030008 0.037744127 0.621411324 0.341270059 0.037318639
[6985] 0.024925672 0.237509683 0.737564623 0.027595339 0.119751438 0.852653205
[6991] 0.457176298 0.504823565 0.038000148 0.053914331 0.303649962 0.642435670
[6997] 0.776533484 0.203166708 0.020299772 0.018198606 0.140081048 0.841720402
[7003] 0.017733457 0.166875631 0.815390885 0.045745455 0.425727963 0.528526604
[7009] 0.766132832 0.193212688 0.040654484 0.009495518 0.091611549 0.898892939
[7015] 0.002376112 0.030712649 0.966911256 0.020904256 0.150217548 0.828878224
[7021] 0.061872952 0.419597268 0.518529773 0.006802651 0.316001624 0.677195728
[7027] 0.011169523 0.166604206 0.822226286 0.013594522 0.168543369 0.817862093
[7033] 0.010940986 0.124507323 0.864551723 0.019767793 0.341400802 0.638831437
[7039] 0.020487644 0.089676648 0.889835775 0.015485358 0.092593312 0.891921401
[7045] 0.031196699 0.292978466 0.675824821 0.017483938 0.153433681 0.829082370
[7051] 0.009709161 0.109844178 0.880446672 0.056497276 0.713938534 0.229564175
[7057] 0.658628523 0.316490710 0.024880795 0.784203291 0.193923488 0.021873178
[7063] 0.012990530 0.151659206 0.835350215 0.007043619 0.069772661 0.923183739
[7069] 0.006297925 0.394678771 0.599023283 0.006937810 0.097841054 0.895221174
[7075] 0.072846897 0.285997540 0.641155541 0.057116099 0.238649443 0.704234481
[7081] 0.020504193 0.157540247 0.821955562 0.057542872 0.332744956 0.609712183
[7087] 0.005143829 0.087577201 0.907278955 0.051991943 0.362049043 0.585959017
[7093] 0.508540154 0.187208340 0.304251462 0.270698220 0.220779702 0.508522093
[7099] 0.620973706 0.322823614 0.056202672 0.283229947 0.384406924 0.332363099
[7105] 0.566311181 0.342597961 0.091090888 0.340047747 0.336266845 0.323685378
[7111] 0.679478705 0.293460727 0.027060507 0.681406856 0.261758775 0.056834344
[7117] 0.423493534 0.389533311 0.186973199 0.285912514 0.398303747 0.315783739
[7123] 0.460985631 0.370856673 0.168157712 0.639664114 0.290175587 0.070160307
[7129] 0.117617816 0.193523213 0.688858986 0.389910042 0.394776553 0.215313435
[7135] 0.058705114 0.311677903 0.629616976 0.249183476 0.219908431 0.530908108
[7141] 0.723629355 0.227033854 0.049336806 0.312224656 0.193716720 0.494058639
[7147] 0.005712750 0.228731945 0.765555382 0.209034443 0.229445457 0.561520100
[7153] 0.502010107 0.332078934 0.165910974 0.564041674 0.400210112 0.035748243
[7159] 0.507817030 0.375908434 0.116274521 0.496164888 0.273691654 0.230143517
[7165] 0.047514610 0.318194956 0.634290457 0.324613363 0.304906517 0.370480090
[7171] 0.653882146 0.297842830 0.048275091 0.619609296 0.291354775 0.089035869
[7177] 0.731808245 0.230632737 0.037559036 0.752718687 0.216254771 0.031026509
[7183] 0.513414085 0.434617281 0.051968630 0.541160285 0.313132405 0.145707294
[7189] 0.099770352 0.319441766 0.580787897 0.633039832 0.301988572 0.064971589
[7195] 0.240763769 0.408011258 0.351224959 0.463225871 0.306972712 0.229801446
[7201] 0.523508430 0.387784243 0.088707373 0.020923557 0.164911523 0.814164877
[7207] 0.013371440 0.145303428 0.841325104 0.058391899 0.267288327 0.674319744
[7213] 0.335103214 0.278113753 0.386782974 0.661047697 0.282322586 0.056629717
[7219] 0.601637721 0.355926454 0.042435814 0.427738875 0.459284246 0.112976931
[7225] 0.642682016 0.294591218 0.062726751 0.695075452 0.272392839 0.032531660
[7231] 0.792219222 0.192313731 0.015467071 0.107371710 0.198493302 0.694135010
[7237] 0.688125730 0.250181049 0.061693221 0.194628432 0.448195100 0.357176393
[7243] 0.689439237 0.279012412 0.031548359 0.219354242 0.277914315 0.502731383
[7249] 0.864601970 0.129147500 0.006250527 0.642515421 0.277250469 0.080234140
[7255] 0.594596505 0.269773185 0.135630324 0.778110504 0.202834576 0.019054938
[7261] 0.716868699 0.226582050 0.056549311 0.115785234 0.489608705 0.394606024
[7267] 0.033846557 0.219607115 0.746546328 0.684133768 0.268205166 0.047661074
[7273] 0.378304809 0.360235274 0.261459857 0.246838391 0.222257972 0.530903637
[7279] 0.515533388 0.357078969 0.127387598 0.719695687 0.263538897 0.016765412
[7285] 0.135203660 0.250247806 0.614548504 0.167506397 0.235275343 0.597218215
[7291] 0.145822853 0.208809018 0.645368159 0.182149813 0.325642407 0.492207736
[7297] 0.422560006 0.294184506 0.283255458 0.514587641 0.330195695 0.155216649
[7303] 0.260114849 0.267598242 0.472286910 0.188180178 0.231309697 0.580510139
[7309] 0.049822181 0.283448637 0.666729152 0.111078650 0.293411881 0.595509470
[7315] 0.064256601 0.314872026 0.620871425 0.016542027 0.429749459 0.553708494
[7321] 0.031654935 0.178487867 0.789857209 0.703171670 0.276825517 0.020002827
[7327] 0.032042779 0.248738542 0.719218612 0.017947199 0.191124469 0.790928304
[7333] 0.678649366 0.261978209 0.059372462 0.032064579 0.196796045 0.771139324
[7339] 0.046023592 0.445190579 0.508785844 0.263993800 0.313739389 0.422266841
[7345] 0.421079993 0.257267624 0.321652412 0.321898609 0.296826661 0.381274760
[7351] 0.196458682 0.387612253 0.415929019 0.036171783 0.323198855 0.640629351
[7357] 0.079077959 0.385370940 0.535551071 0.072085544 0.386644036 0.541270375
[7363] 0.189986348 0.290043950 0.519969702 0.525910676 0.406341732 0.067747563
[7369] 0.020456957 0.196135938 0.783407092 0.092989832 0.082180008 0.824830115
[7375] 0.097744957 0.263216168 0.639038861 0.344181359 0.234348089 0.421470582
[7381] 0.159127921 0.313703656 0.527168393 0.467433989 0.345807880 0.186758131
[7387] 0.428775877 0.305341512 0.265882641 0.136637911 0.201746374 0.661615670
[7393] 0.502786934 0.321769446 0.175443605 0.033590045 0.214314058 0.752095878
[7399] 0.061304614 0.305869579 0.632825792 0.476908237 0.292635977 0.230455726
[7405] 0.038345888 0.265454739 0.696199358 0.037418861 0.301972687 0.660608411
[7411] 0.329073757 0.300417662 0.370508581 0.565420389 0.267094880 0.167484745
[7417] 0.175325617 0.212968782 0.611705601 0.419008374 0.420398712 0.160592884
[7423] 0.656326771 0.246051863 0.097621359 0.354490250 0.389129937 0.256379873
[7429] 0.393852293 0.444811016 0.161336720 0.236492395 0.222785816 0.540721834
[7435] 0.145969644 0.265337497 0.588692904 0.404450983 0.353177667 0.242371380
[7441] 0.121418074 0.162358403 0.716223538 0.449902177 0.314491510 0.235606343
[7447] 0.082218304 0.381110042 0.536671638 0.228817940 0.299093515 0.472088575
[7453] 0.286082238 0.444763541 0.269154161 0.099287182 0.388887584 0.511825264
[7459] 0.296071619 0.306975096 0.396953255 0.175708324 0.216416523 0.607875168
[7465] 0.173632607 0.237149760 0.589217603 0.580146372 0.293702811 0.126150832
[7471] 0.010116062 0.282467753 0.707416236 0.145437911 0.227471486 0.627090633
[7477] 0.220281824 0.391636282 0.388081878 0.570104301 0.376169175 0.053726487
[7483] 0.298777282 0.266935319 0.434287459 0.490748703 0.348700941 0.160550311
[7489] 0.252746820 0.317454159 0.429799050 0.576435268 0.360308766 0.063255966
[7495] 0.054504588 0.229262009 0.716233432 0.047389168 0.219043076 0.733567715
[7501] 0.023665160 0.174132884 0.802201927 0.524156928 0.412757218 0.063085824
[7507] 0.382256836 0.325811058 0.291932136 0.278583765 0.471439928 0.249976367
[7513] 0.622775793 0.262108088 0.115116134 0.774961770 0.210787818 0.014250394
[7519] 0.521879077 0.394681454 0.083439492 0.755693913 0.211013868 0.033292256
[7525] 0.319034070 0.295240760 0.385725170 0.339372396 0.322965980 0.337661684
[7531] 0.523075461 0.372267187 0.104657359 0.623870730 0.344360292 0.031768966
[7537] 0.147864848 0.285911262 0.566223860 0.431000441 0.341814607 0.227185011
[7543] 0.152954414 0.261235923 0.585809648 0.418900371 0.490262508 0.090837084
[7549] 0.606283367 0.332025617 0.061691072 0.551796198 0.379908413 0.068295427
[7555] 0.707109153 0.264043152 0.028847659 0.038546450 0.282636076 0.678817511
[7561] 0.260029942 0.226481125 0.513488889 0.670207322 0.274157494 0.055635192
[7567] 0.162936553 0.344269842 0.492793679 0.702881932 0.212456957 0.084661111
[7573] 0.547631681 0.351590425 0.100777864 0.048484895 0.292339027 0.659176052
[7579] 0.173813000 0.318535239 0.507651746 0.291847467 0.205403641 0.502748907
[7585] 0.018795883 0.196691573 0.784512579 0.037359241 0.228417143 0.734223604
[7591] 0.372052044 0.293764621 0.334183395 0.126290500 0.176016003 0.697693467
[7597] 0.047618203 0.662458420 0.289923429 0.256190002 0.318575531 0.425234497
[7603] 0.293522924 0.298033625 0.408443421 0.033762831 0.231599659 0.734637499
[7609] 0.072920769 0.342043310 0.585035920 0.301997066 0.361802340 0.336200625
[7615] 0.275217772 0.429271400 0.295510858 0.515732288 0.331175208 0.153092504
[7621] 0.263763309 0.427089006 0.309147656 0.400298983 0.344231993 0.255469054
[7627] 0.054211985 0.297221869 0.648566186 0.161519945 0.351820797 0.486659199
[7633] 0.640325725 0.331296980 0.028377283 0.122783318 0.211864620 0.665352106
[7639] 0.363204837 0.392326325 0.244468853 0.425989062 0.347807765 0.226203173
[7645] 0.048852522 0.347074032 0.604073405 0.088697389 0.433388919 0.477913648
[7651] 0.094026625 0.360789597 0.545183778 0.233546779 0.287414402 0.479038835
[7657] 0.199355006 0.417184204 0.383460850 0.006129769 0.204484522 0.789385736
[7663] 0.283373237 0.412181199 0.304445535 0.554724038 0.304639727 0.140636265
[7669] 0.363936543 0.424805731 0.211257771 0.652193785 0.303631932 0.044174220
[7675] 0.275507361 0.384477466 0.340015143 0.466348767 0.311168402 0.222482800
[7681] 0.018261634 0.756927669 0.224810630 0.498952091 0.328560054 0.172487915
[7687] 0.663156629 0.288158387 0.048684981 0.298275203 0.391240150 0.310484678
[7693] 0.559311867 0.314799994 0.125888154 0.092633627 0.256672174 0.650694191
[7699] 0.038282607 0.240293220 0.721424222 0.570100248 0.298509359 0.131390423
[7705] 0.436380178 0.404039294 0.159580544 0.581748605 0.348184466 0.070066944
[7711] 0.562444925 0.377293169 0.060261913 0.347961217 0.451011598 0.201027200
[7717] 0.248408139 0.503043354 0.248548537 0.584316492 0.310775995 0.104907542
[7723] 0.259896666 0.378575593 0.361527681 0.692427635 0.278347671 0.029224638
[7729] 0.068339132 0.331255317 0.600405574 0.010139287 0.533470213 0.456390500
[7735] 0.053703502 0.287170321 0.659126163 0.437743664 0.353097975 0.209158361
[7741] 0.372013867 0.430546254 0.197439939 0.490882516 0.325182468 0.183935001
[7747] 0.343897074 0.591536880 0.064566098 0.665881574 0.202450067 0.131668359
[7753] 0.055109587 0.408084929 0.536805451 0.167043388 0.245529175 0.587427437
[7759] 0.050880514 0.332039475 0.617080033 0.011488565 0.177007124 0.811504245
[7765] 0.031256393 0.242114916 0.726628661 0.023990817 0.171742678 0.804266512
[7771] 0.042023025 0.356033385 0.601943552 0.022268243 0.293641537 0.684090197
[7777] 0.682164311 0.286163032 0.031672604 0.563188612 0.329965979 0.106845364
[7783] 0.039362304 0.246379867 0.714257836 0.098981649 0.367157131 0.533861220
[7789] 0.187735364 0.259059161 0.553205431 0.138187602 0.234339565 0.627472878
[7795] 0.352745563 0.315883219 0.331371188 0.116007544 0.312825114 0.571167350
[7801] 0.629669845 0.309329152 0.061000951 0.183994934 0.607335329 0.208669707
[7807] 0.416072160 0.358114004 0.225813821 0.013541071 0.177124619 0.809334278
[7813] 0.571028531 0.275221616 0.153749868 0.024342803 0.216815427 0.758841753
[7819] 0.057368811 0.343684345 0.598946869 0.015625611 0.161879569 0.822494805
[7825] 0.180170089 0.276071727 0.543758154 0.054589659 0.287890673 0.657519698
[7831] 0.694181621 0.278516442 0.027301950 0.436951131 0.319467366 0.243581504
[7837] 0.475057065 0.321117312 0.203825623 0.778573096 0.200693876 0.020733019
[7843] 0.617251098 0.315813720 0.066935211 0.062428810 0.261014193 0.676557004
[7849] 0.311582088 0.434180468 0.254237413 0.563475549 0.324739188 0.111785248
[7855] 0.624842942 0.318603873 0.056553151 0.448693663 0.304663479 0.246642798
[7861] 0.726419032 0.251472801 0.022108158 0.054299586 0.222731918 0.722968519
[7867] 0.011178670 0.385965317 0.602855980 0.343893170 0.348484099 0.307622761
[7873] 0.693203747 0.281838030 0.024958236 0.274545908 0.307040304 0.418413818
[7879] 0.135866314 0.259466529 0.604667187 0.480105847 0.276933104 0.242961049
[7885] 0.035176918 0.258090854 0.706732273 0.281003147 0.382153481 0.336843401
[7891] 0.043470465 0.299755663 0.656773925 0.397548527 0.363577724 0.238873690
[7897] 0.386496067 0.396715939 0.216787994 0.036368437 0.247919574 0.715712011
[7903] 0.313427061 0.311858177 0.374714792 0.033584110 0.237622768 0.728793085
[7909] 0.081348516 0.340693474 0.577957988 0.036713790 0.232108444 0.731177747
[7915] 0.138301626 0.338775128 0.522923231 0.036278900 0.263023436 0.700697660
[7921] 0.030357052 0.468111515 0.501531422 0.009977579 0.100861892 0.889160514
[7927] 0.029453145 0.212558106 0.757988751 0.329814136 0.306779414 0.363406450
[7933] 0.095768735 0.239926636 0.664304614 0.045847639 0.310353220 0.643799186
[7939] 0.059234265 0.340932697 0.599833071 0.026937602 0.213736802 0.759325624
[7945] 0.556913614 0.291418433 0.151667997 0.249238506 0.379842728 0.370918721
[7951] 0.042825073 0.239131093 0.718043864 0.073401324 0.266741991 0.659856677
[7957] 0.075318456 0.311552405 0.613129079 0.019188249 0.163467392 0.817344368
[7963] 0.034460463 0.224924907 0.740614653 0.351876050 0.392302364 0.255821526
[7969] 0.552476406 0.260939986 0.186583579 0.434198439 0.468168110 0.097633414
[7975] 0.426290661 0.279957026 0.293752342 0.454478413 0.378716171 0.166805431
[7981] 0.005956823 0.075448833 0.918594301 0.029405095 0.198197618 0.772397280
[7987] 0.351476282 0.407257855 0.241265804 0.004132567 0.056677148 0.939190269
[7993] 0.468033493 0.503717303 0.028249195 0.632710576 0.337549388 0.029740065
[7999] 0.022311786 0.180381402 0.797306776 0.550021708 0.324809194 0.125169143
[8005] 0.150574952 0.404521227 0.444903851 0.390955865 0.268522292 0.340521842
[8011] 0.281733721 0.357804418 0.360461861 0.402888983 0.286106825 0.311004132
[8017] 0.162538528 0.510096192 0.327365279 0.348185271 0.399873883 0.251940817
[8023] 0.598925829 0.270057201 0.131016999 0.701894403 0.271039635 0.027065976
[8029] 0.577850580 0.322048515 0.100100882 0.282971263 0.388805777 0.328222990
[8035] 0.255355626 0.399606824 0.345037580 0.526787996 0.292305440 0.180906564
[8041] 0.015539817 0.191878960 0.792581260 0.282064736 0.371546119 0.346389174
[8047] 0.014977240 0.079593338 0.905429423 0.303745449 0.388580054 0.307674497
[8053] 0.630857944 0.312367409 0.056774616 0.437284738 0.286663145 0.276052058
[8059] 0.484287977 0.248466700 0.267245352 0.665456653 0.293702573 0.040840756
[8065] 0.228135377 0.377986610 0.393877953 0.608820796 0.322016507 0.069162689
[8071] 0.593845069 0.289305180 0.116849735 0.570631385 0.309754193 0.119614363
[8077] 0.053744331 0.319144040 0.627111614 0.310062557 0.374078929 0.315858483
[8083] 0.492499858 0.411790192 0.095710032 0.454136252 0.338784695 0.207078993
[8089] 0.234925434 0.278660566 0.486414045 0.646380544 0.250650764 0.102968670
[8095] 0.471620649 0.379467547 0.148911789 0.020510053 0.176365137 0.803124785
[8101] 0.156067669 0.284270078 0.559662223 0.376915634 0.447812766 0.175271615
[8107] 0.707700491 0.261172801 0.031126678 0.131525531 0.524813592 0.343660831
[8113] 0.573582768 0.385736763 0.040680476 0.106636830 0.331208944 0.562154233
[8119] 0.268785685 0.319048971 0.412165314 0.557085812 0.392554224 0.050359976
[8125] 0.059022158 0.282726228 0.658251584 0.531840384 0.309713036 0.158446580
[8131] 0.178063363 0.465466529 0.356470078 0.420343667 0.304333717 0.275322556
[8137] 0.486565769 0.283736140 0.229698047 0.133676007 0.156342864 0.709981143
[8143] 0.253219068 0.294106722 0.452674210 0.116451778 0.409231752 0.474316508
[8149] 0.250765175 0.455400079 0.293834686 0.498313129 0.355838954 0.145847887
[8155] 0.381639093 0.308566898 0.309794039 0.217316151 0.316203594 0.466480255
[8161] 0.523755968 0.429609179 0.046634823 0.046777382 0.666431785 0.286790848
[8167] 0.195278510 0.164568201 0.640153289 0.500156343 0.234329715 0.265513927
[8173] 0.066122971 0.302632719 0.631244302 0.112146504 0.286112696 0.601740837
[8179] 0.010660533 0.117369860 0.871969640 0.026932437 0.196706980 0.776360571
[8185] 0.454401106 0.381752044 0.163846850 0.286138773 0.375642836 0.338218391
[8191] 0.296447963 0.419407457 0.284144610 0.600240946 0.346577644 0.053181417
[8197] 0.140426606 0.274097145 0.585476279 0.008669145 0.076644838 0.914685965
[8203] 0.064075366 0.316597521 0.619327068 0.015593215 0.125209689 0.859197021
[8209] 0.201717451 0.279067159 0.519215405 0.270487487 0.361273915 0.368238598
[8215] 0.015443467 0.134600267 0.849956274 0.064538933 0.281796426 0.653664589
[8221] 0.017100316 0.158206493 0.824693203 0.156943232 0.507193744 0.335863024
[8227] 0.058875885 0.318159044 0.622965097 0.096738420 0.323271930 0.579989672
[8233] 0.048762318 0.246358752 0.704878926 0.065538257 0.363502324 0.570959449
[8239] 0.101668164 0.368976980 0.529354870 0.106031865 0.390076011 0.503892124
[8245] 0.103607871 0.534936726 0.361455411 0.346127152 0.548137903 0.105734967
[8251] 0.042983923 0.573415458 0.383600652 0.111812524 0.423593104 0.464594424
[8257] 0.092499591 0.577023089 0.330477327 0.173740625 0.395888358 0.430371046
[8263] 0.058511600 0.322143078 0.619345307 0.035885077 0.187075138 0.777039766
[8269] 0.017448673 0.143704832 0.838846564 0.047266278 0.192232281 0.760501385
[8275] 0.083659999 0.440101475 0.476238519 0.013619914 0.140321642 0.846058488
[8281] 0.665201247 0.249958843 0.084839948 0.098569185 0.435095161 0.466335654
[8287] 0.221245676 0.339939624 0.438814729 0.388098389 0.515160978 0.096740626
[8293] 0.008605606 0.106819548 0.884574831 0.186865136 0.436368555 0.376766264
[8299] 0.385909170 0.391169876 0.222920954 0.017433584 0.173322588 0.809243858
[8305] 0.022470484 0.202746093 0.774783432 0.086100295 0.279411376 0.634488285
[8311] 0.058363378 0.331761777 0.609874845 0.091722742 0.467233539 0.441043794
[8317] 0.005404390 0.048156653 0.946438909 0.010588426 0.118530229 0.870881379
[8323] 0.009859695 0.111841962 0.878298342 0.067648478 0.391278774 0.541072726
[8329] 0.072868526 0.353689611 0.573441863 0.075837441 0.313751131 0.610411406
[8335] 0.089661963 0.246836275 0.663501799 0.025514049 0.250857800 0.723628163
[8341] 0.033600405 0.270994246 0.695405364 0.073476240 0.243945241 0.682578504
[8347] 0.100815527 0.380773485 0.518410981 0.237251073 0.484051079 0.278697848
[8353] 0.205647603 0.365132809 0.429219574 0.021145707 0.172786221 0.806068122
[8359] 0.007222278 0.099597581 0.893180192 0.031266816 0.207602307 0.761130869
[8365] 0.229451776 0.506220877 0.264327377 0.028293323 0.201979667 0.769726992
[8371] 0.083606049 0.432228506 0.484165519 0.406157196 0.313649118 0.280193657
[8377] 0.046082210 0.250407428 0.703510344 0.121146247 0.322860301 0.555993438
[8383] 0.017536191 0.226905048 0.755558789 0.047703151 0.348254174 0.604042709
[8389] 0.435328066 0.346270442 0.218401566 0.258888811 0.378422529 0.362688631
[8395] 0.122243613 0.140532896 0.737223506 0.254768342 0.340775847 0.404455781
[8401] 0.141465187 0.404750049 0.453784764 0.314457119 0.371717215 0.313825697
[8407] 0.185641408 0.484011680 0.330346912 0.154773772 0.220751137 0.624475121
[8413] 0.594833374 0.248282775 0.156883851 0.236839086 0.279896379 0.483264565
[8419] 0.203263357 0.397071570 0.399665058 0.237833336 0.230331674 0.531834960
[8425] 0.109742261 0.191670328 0.698587358 0.280571163 0.288100481 0.431328326
[8431] 0.187750682 0.267171025 0.545078278 0.008113362 0.101518661 0.890367985
[8437] 0.086505808 0.685296595 0.228197575 0.024362750 0.088945448 0.886691809
[8443] 0.350097209 0.228017882 0.421884894 0.200501993 0.236237571 0.563260436
[8449] 0.166397691 0.287214249 0.546388090 0.142207354 0.201544479 0.656248152
[8455] 0.006250056 0.075468071 0.918281913 0.028486446 0.224043056 0.747470498
[8461] 0.160920441 0.223401025 0.615678549 0.051207650 0.340264440 0.608527899
[8467] 0.145072296 0.483266205 0.371661514 0.041722048 0.276565880 0.681712031
[8473] 0.050447218 0.131140932 0.818411827 0.062049933 0.151454866 0.786495149
[8479] 0.093627110 0.298813164 0.607559741 0.071980193 0.234527752 0.693492115
[8485] 0.088441424 0.431993932 0.479564637 0.042232469 0.491543412 0.466224104
[8491] 0.024793260 0.174979642 0.800227106 0.132519677 0.625834286 0.241646037
[8497] 0.484338045 0.466785669 0.048876245 0.029591065 0.398277700 0.572131217
[8503] 0.034471963 0.195717514 0.769810498 0.053599618 0.450628877 0.495771468
[8509] 0.038114149 0.175782189 0.786103666 0.469733596 0.323279113 0.206987321
[8515] 0.268785805 0.320320666 0.410893500 0.117937103 0.174546123 0.707516789
[8521] 0.147495016 0.161144361 0.691360593 0.250283778 0.338731080 0.410985202
[8527] 0.536140263 0.202443883 0.261415839 0.027348906 0.175689906 0.796961188
[8533] 0.004579690 0.069126733 0.926293552 0.421513528 0.332573324 0.245913133
[8539] 0.277664304 0.512318552 0.210017160 0.162369266 0.515700519 0.321930230
[8545] 0.784087718 0.206003457 0.009908796 0.672069311 0.311343759 0.016586954
[8551] 0.113275632 0.154440671 0.732283711 0.866525233 0.126156181 0.007318603
[8557] 0.692855299 0.295029640 0.012115013 0.727608621 0.261910707 0.010480692
[8563] 0.057333909 0.296426922 0.646239221 0.066027939 0.353066474 0.580905616
[8569] 0.030877478 0.284994930 0.684127569 0.788480461 0.198664486 0.012855071
[8575] 0.057529535 0.424251258 0.518219173 0.766984105 0.224485457 0.008530449
[8581] 0.595058203 0.341654390 0.063287400 0.781652212 0.209693640 0.008654098
[8587] 0.790757000 0.174379110 0.034863923 0.633018315 0.327761918 0.039219730
[8593] 0.162204608 0.274131507 0.563663900 0.780982673 0.208186120 0.010831206
[8599] 0.052006315 0.333293647 0.614700019 0.103178807 0.341948152 0.554872990
[8605] 0.031952232 0.155558318 0.812489450 0.443554133 0.533269644 0.023176197
[8611] 0.602524936 0.386992782 0.010482248 0.948133349 0.046790998 0.005075660
[8617] 0.019649332 0.124476470 0.855874181 0.684036791 0.302808225 0.013155007
[8623] 0.808601260 0.182701111 0.008697639 0.295171678 0.645756662 0.059071701
[8629] 0.042907692 0.310198188 0.646894097 0.748559117 0.239558831 0.011882012
[8635] 0.776272953 0.207206920 0.016520161 0.804163814 0.184537008 0.011299190
[8641] 0.129854009 0.527405798 0.342740238 0.848329008 0.140935630 0.010735394
[8647] 0.490648806 0.443183631 0.066167518 0.853068054 0.138930947 0.008000984
[8653] 0.845231235 0.144984052 0.009784676 0.044967566 0.247706622 0.707325816
[8659] 0.894535124 0.098493315 0.006971552 0.787507117 0.204142600 0.008350231
[8665] 0.422954977 0.489814788 0.087230265 0.011261940 0.167852953 0.820885122
[8671] 0.025908701 0.351123840 0.622967482 0.014063896 0.145314366 0.840621710
[8677] 0.007795721 0.081605345 0.910598993 0.013659256 0.300207436 0.686133265
[8683] 0.033531416 0.256842077 0.709626496 0.406352490 0.574049652 0.019597815
[8689] 0.026561873 0.094385237 0.879052877 0.425787568 0.560712457 0.013500012
[8695] 0.739796937 0.249859884 0.010343192 0.044109620 0.634454906 0.321435452
[8701] 0.887906790 0.104139112 0.007954102 0.842605650 0.143610165 0.013784213
[8707] 0.887673497 0.089994900 0.022331575 0.079052329 0.636902511 0.284045130
[8713] 0.475433201 0.508288443 0.016278371 0.696014464 0.284034848 0.019950679
[8719] 0.559521317 0.348902106 0.091576591 0.456115276 0.501959741 0.041924953
[8725] 0.658956885 0.333470076 0.007573029 0.149871960 0.470224202 0.379903823
[8731] 0.061059855 0.458279580 0.480660588 0.029862814 0.203309596 0.766827524
[8737] 0.061547071 0.340672225 0.597780704 0.010981201 0.137677372 0.851341367
[8743] 0.572327852 0.301741362 0.125930801 0.790841937 0.192209184 0.016948914
[8749] 0.378091753 0.495023400 0.126884907 0.928991437 0.063360319 0.007648192
[8755] 0.457415134 0.520306706 0.022278180 0.595904827 0.388502270 0.015592908
[8761] 0.033669528 0.175917745 0.790412664 0.879024386 0.113227032 0.007748579
[8767] 0.433830410 0.526194811 0.039974786 0.718177378 0.267634362 0.014188249
[8773] 0.007489888 0.776834607 0.215675503 0.618732870 0.357321352 0.023945766
[8779] 0.034929771 0.160727769 0.804342449 0.941575468 0.051575188 0.006849290
[8785] 0.095639378 0.547275960 0.357084692 0.027004808 0.199950501 0.773044705
[8791] 0.833003044 0.155453801 0.011543158 0.052394558 0.266118437 0.681487024
[8797] 0.081058502 0.464390963 0.454550564 0.052849289 0.419873327 0.527277350
[8803] 0.221974656 0.150417030 0.627608299 0.052345160 0.569241524 0.378413349
[8809] 0.082285553 0.691895664 0.225818768 0.076576911 0.564351499 0.359071583
[8815] 0.065354228 0.623382330 0.311263442 0.094935410 0.699525952 0.205538645
[8821] 0.053354416 0.245204329 0.701441228 0.097356401 0.781278253 0.121365324
[8827] 0.015249367 0.153647304 0.831103384 0.030030940 0.218109891 0.751859188
[8833] 0.060014348 0.494224906 0.445760787 0.043481126 0.149102777 0.807416081
[8839] 0.043638870 0.299789160 0.656571984 0.340676397 0.408841521 0.250482053
[8845] 0.047421552 0.415626019 0.536952436 0.025201775 0.190833211 0.783964992
[8851] 0.052026231 0.216600895 0.731372893 0.058049202 0.611678481 0.330272317
[8857] 0.061625633 0.416178763 0.522195578 0.037198968 0.195073754 0.767727256
[8863] 0.054281857 0.412498504 0.533219635 0.053788181 0.470904648 0.475307226
[8869] 0.029566141 0.273501366 0.696932495 0.050422054 0.298616976 0.650960982
[8875] 0.187935382 0.252954632 0.559109986 0.250681609 0.624396920 0.124921434
[8881] 0.275507390 0.301735282 0.422757328 0.478968084 0.494431168 0.026600791
[8887] 0.010247477 0.096978128 0.892774343 0.015154728 0.338689536 0.646155715
[8893] 0.146782905 0.293735027 0.559482038 0.092612378 0.338989526 0.568398118
[8899] 0.407146037 0.300254017 0.292599946 0.025743350 0.624520421 0.349736214
[8905] 0.009147654 0.098322406 0.892529964 0.043962937 0.278559417 0.677477658
[8911] 0.036154687 0.252545267 0.711300075 0.089243554 0.709830642 0.200925812
[8917] 0.008288889 0.550890148 0.440820962 0.043437198 0.245792925 0.710769832
[8923] 0.088112779 0.274947226 0.636940002 0.047183104 0.372470260 0.580346644
[8929] 0.030189091 0.167145327 0.802665532 0.926607072 0.065883651 0.007509261
[8935] 0.018732090 0.170550063 0.810717881 0.051834226 0.488846093 0.459319621
[8941] 0.033720240 0.401950985 0.564328730 0.061279412 0.545028329 0.393692255
[8947] 0.008830148 0.079424158 0.911745667 0.641502738 0.337190092 0.021307137
[8953] 0.778105199 0.214132488 0.007762325 0.013690976 0.169329822 0.816979229
[8959] 0.278103024 0.651324570 0.070572421 0.143063113 0.534044683 0.322892189
[8965] 0.117423490 0.163539946 0.719036520 0.029084602 0.259856462 0.711058915
[8971] 0.057057902 0.396225333 0.546716809 0.039724752 0.275946617 0.684328616
[8977] 0.070195056 0.319452792 0.610352099 0.055628892 0.319448054 0.624923050
[8983] 0.153813675 0.321683764 0.524502575 0.028865645 0.198996857 0.772137463
[8989] 0.537575006 0.453419834 0.009005198 0.062850930 0.430673718 0.506475329
[8995] 0.224883243 0.302716672 0.472400099 0.083999403 0.324937433 0.591063201
[9001] 0.050074399 0.266112000 0.683813632 0.058173150 0.575727224 0.366099626
[9007] 0.037180897 0.126936853 0.835882246 0.047465961 0.541336715 0.411197305
[9013] 0.004859949 0.220924184 0.774215877 0.106612474 0.285946727 0.607440770
[9019] 0.070424318 0.493844301 0.435731351 0.060617067 0.761137843 0.178245142
[9025] 0.786312044 0.202149630 0.011538368 0.922503650 0.070203841 0.007292484
[9031] 0.774001479 0.214873180 0.011125310 0.580742717 0.402871907 0.016385382
[9037] 0.401465982 0.430092931 0.168441132 0.489590555 0.495415956 0.014993503
[9043] 0.521233201 0.450958967 0.027807787 0.823148549 0.162771478 0.014079981
[9049] 0.611051977 0.352282703 0.036665313 0.900674939 0.088706985 0.010618080
[9055] 0.369014353 0.583170891 0.047814764 0.601361513 0.355339855 0.043298665
[9061] 0.892609358 0.098532528 0.008858125 0.655769408 0.327807456 0.016423149
[9067] 0.852130592 0.132326409 0.015543000 0.821749687 0.159404531 0.018845763
[9073] 0.477827787 0.475224078 0.046948090 0.018087385 0.197136730 0.784775913
[9079] 0.842539132 0.141900480 0.015560344 0.018990209 0.218029931 0.762979865
[9085] 0.389102191 0.444823325 0.166074485 0.686441541 0.298137397 0.015421047
[9091] 0.493662596 0.390003294 0.116334088 0.582118809 0.353516161 0.064365000
[9097] 0.034861330 0.339787632 0.625351071 0.517843366 0.428614318 0.053542338
[9103] 0.035927527 0.316954404 0.647118092 0.571384251 0.385353327 0.043262437
[9109] 0.569652557 0.368153155 0.062194318 0.742513061 0.208504915 0.048982080
[9115] 0.427860677 0.362320334 0.209818959 0.022638869 0.338174939 0.639186203
[9121] 0.618883312 0.340694994 0.040421672 0.631790161 0.309885412 0.058324505
[9127] 0.050518587 0.444189280 0.505292118 0.562066197 0.377841145 0.060092676
[9133] 0.552250028 0.364984453 0.082765497 0.048827622 0.359738201 0.591434121
[9139] 0.458439410 0.461421043 0.080139518 0.507292449 0.473650962 0.019056587
[9145] 0.021110503 0.206427991 0.772461534 0.057767417 0.252036631 0.690195918
[9151] 0.206084222 0.516779542 0.277136266 0.334353894 0.493084043 0.172562018
[9157] 0.240140066 0.707669258 0.052190658 0.674061298 0.294314235 0.031624448
[9163] 0.023964699 0.222131282 0.753904045 0.042771008 0.345950454 0.611278534
[9169] 0.028661614 0.255858451 0.715479910 0.011977988 0.159868509 0.828153491
[9175] 0.010853453 0.155429721 0.833716869 0.006011034 0.057283677 0.936705291
[9181] 0.152253404 0.369402915 0.478343636 0.543444395 0.304309219 0.152246341
[9187] 0.424843699 0.468485683 0.106670678 0.013069655 0.187838346 0.799091995
[9193] 0.007420199 0.108237177 0.884342611 0.046221957 0.237869263 0.715908766
[9199] 0.036693826 0.427423447 0.535882711 0.018866953 0.156902969 0.824230075
[9205] 0.004076473 0.066343240 0.929580331 0.828873634 0.155958742 0.015167660
[9211] 0.778621376 0.208299294 0.013079344 0.672492564 0.312873155 0.014634245
[9217] 0.565115094 0.415856659 0.019028209 0.178734630 0.201214150 0.620051205
[9223] 0.389875561 0.471818000 0.138306469 0.277870715 0.414984763 0.307144552
[9229] 0.513479710 0.438813388 0.047706895 0.417552829 0.348894387 0.233552739
[9235] 0.384435594 0.557794333 0.057770059 0.532042921 0.412440568 0.055516489
[9241] 0.014880630 0.255597681 0.729521692 0.008089132 0.109420978 0.882489860
[9247] 0.030410357 0.339039296 0.630550385 0.900071025 0.093724258 0.006204667
[9253] 0.648397923 0.325832754 0.025769318 0.666336775 0.322571874 0.011091355
[9259] 0.543808520 0.405371189 0.050820280 0.147745505 0.794981301 0.057273202
[9265] 0.035572257 0.301109880 0.663317859 0.856383979 0.134542629 0.009073369
[9271] 0.759442985 0.225745752 0.014811235 0.291177452 0.511909008 0.196913585
[9277] 0.650881767 0.321776211 0.027342008 0.297584742 0.650236905 0.052178338
[9283] 0.023774389 0.173594564 0.802631021 0.033193175 0.206257463 0.760549366
[9289] 0.817856431 0.170956969 0.011186541 0.031846263 0.227579176 0.740574539
[9295] 0.823526382 0.165973857 0.010499720 0.899572134 0.093416981 0.007010860
[9301] 0.564327061 0.418140948 0.017532015 0.174872309 0.460649341 0.364478320
[9307] 0.601183355 0.365228295 0.033588316 0.818574131 0.172982171 0.008443643
[9313] 0.670441329 0.315418601 0.014140105 0.031438984 0.361521333 0.607039750
[9319] 0.026928034 0.227644622 0.745427370 0.005293855 0.057986770 0.936719418
[9325] 0.018217172 0.206350520 0.775432289 0.041986708 0.210340783 0.747672498
[9331] 0.619860470 0.339517772 0.040621795 0.003428053 0.058528710 0.938043177
[9337] 0.033169627 0.263429910 0.703400433 0.701784134 0.277028352 0.021187589
[9343] 0.674722195 0.309805542 0.015472273 0.032863002 0.183860496 0.783276498
[9349] 0.009406754 0.106424123 0.884169161 0.009645093 0.110650346 0.879704595
[9355] 0.780462265 0.204310358 0.015227365 0.016248656 0.195891932 0.787859440
[9361] 0.043617569 0.384333909 0.572048545 0.005080766 0.027271714 0.967647552
[9367] 0.024891540 0.298853606 0.676254869 0.066495843 0.569368899 0.364135236
[9373] 0.011707493 0.152787641 0.835504830 0.039012663 0.486468017 0.474519253
[9379] 0.050400496 0.272780716 0.676818788 0.034654148 0.256546676 0.708799183
[9385] 0.079297282 0.332912594 0.587790132 0.036066636 0.358630687 0.605302632
[9391] 0.016162235 0.181661233 0.802176535 0.019092010 0.136571333 0.844336689
[9397] 0.034528509 0.250325710 0.715145826 0.016976429 0.179678768 0.803344846
[9403] 0.011502769 0.144234374 0.844262838 0.014136413 0.120752968 0.865110576
[9409] 0.833250999 0.152606666 0.014142320 0.819664717 0.166332111 0.014003132
[9415] 0.738338053 0.187785491 0.073876470 0.838988662 0.145377576 0.015633764
[9421] 0.787408888 0.186906382 0.025684679 0.813476741 0.119815283 0.066707946
[9427] 0.883471429 0.100090183 0.016438358 0.004077314 0.239207506 0.756715119
[9433] 0.080933236 0.177897915 0.741168797 0.617996037 0.345304877 0.036699109
[9439] 0.207710132 0.324550867 0.467738956 0.671334445 0.258134454 0.070531070
[9445] 0.058650412 0.244487986 0.696861565 0.881910563 0.100473404 0.017616088
[9451] 0.793522120 0.186843842 0.019633997 0.908651710 0.081782475 0.009565854
[9457] 0.057998437 0.387903005 0.554098547 0.763399601 0.151011929 0.085588433
[9463] 0.012290830 0.243110761 0.744598389 0.766779423 0.192790702 0.040429886
[9469] 0.030055741 0.373581409 0.596362829 0.736027658 0.219573632 0.044398706
[9475] 0.039858941 0.180811808 0.779329240 0.880886376 0.099877186 0.019236457
[9481] 0.637644172 0.215122163 0.147233695 0.692060590 0.274572104 0.033367321
[9487] 0.033545569 0.280804932 0.685649455 0.052925624 0.175067604 0.772006810
[9493] 0.869968235 0.118851550 0.011180247 0.028083779 0.178623915 0.793292284
[9499] 0.072910897 0.192140028 0.734949052 0.732464015 0.237276375 0.030259589
[9505] 0.060148306 0.206102684 0.733748972 0.740824401 0.192424327 0.066751309
[9511] 0.048527140 0.207864404 0.743608415 0.038973972 0.255081177 0.705944836
[9517] 0.719895959 0.264399678 0.015704386 0.138474658 0.161770269 0.699755073
[9523] 0.009202328 0.197780460 0.793017209 0.906628966 0.080649838 0.012721214
[9529] 0.878587246 0.109040797 0.012371953 0.706712186 0.233596802 0.059691001
[9535] 0.664389849 0.319598109 0.016012026 0.826900899 0.158152550 0.014946575
[9541] 0.017122550 0.173277095 0.809600294 0.426666975 0.498960644 0.074372388
[9547] 0.030503668 0.091599382 0.877896905 0.110543557 0.526327729 0.363128692
[9553] 0.013702525 0.095621645 0.890675783 0.706642389 0.178352267 0.115005396
[9559] 0.017926499 0.172825038 0.809248447 0.850279629 0.139798328 0.009922056
[9565] 0.487948358 0.476599455 0.035452150 0.894231439 0.096407853 0.009360728
[9571] 0.758052647 0.154169992 0.087777413 0.654513419 0.284619004 0.060867567
[9577] 0.390476346 0.324937880 0.284585804 0.620206118 0.332474440 0.047319509
[9583] 0.721561074 0.250901937 0.027536977 0.499045581 0.486455649 0.014498740
[9589] 0.515281558 0.450479835 0.034238596 0.069762260 0.327730358 0.602507412
[9595] 0.652724922 0.258393019 0.088882022 0.838250637 0.140479028 0.021270309
[9601] 0.275397211 0.705399692 0.019203078 0.671602249 0.215293825 0.113103971
[9607] 0.870568633 0.097698525 0.031732794 0.889654815 0.091916434 0.018428689
[9613] 0.893253624 0.084974363 0.021772031 0.594973803 0.266066045 0.138960093
[9619] 0.644785047 0.212349847 0.142865092 0.715401769 0.188582420 0.096015848
[9625] 0.734632909 0.242213681 0.023153404 0.085326083 0.362153172 0.552520752
[9631] 0.792418659 0.173643261 0.033938061 0.888789833 0.097979791 0.013230394
[9637] 0.006327784 0.085786976 0.907885253 0.763784409 0.190969661 0.045245953
[9643] 0.701384068 0.266932577 0.031683378 0.797304392 0.185401097 0.017294513
[9649] 0.038474958 0.207758501 0.753766537 0.783508360 0.181697607 0.034794003
[9655] 0.823715448 0.146187201 0.030097324 0.783477306 0.157266736 0.059255905
[9661] 0.002609488 0.038688816 0.958701670 0.736535430 0.190124646 0.073339984
[9667] 0.041527867 0.243322209 0.715149939 0.854795396 0.132201925 0.013002698
[9673] 0.045679286 0.205675125 0.748645604 0.015692398 0.125043795 0.859263837
[9679] 0.043765787 0.195174977 0.761059225 0.125513613 0.356957465 0.517528951
[9685] 0.444707155 0.292179048 0.263113797 0.009022843 0.235256568 0.755720556
[9691] 0.731285930 0.234926105 0.033787988 0.803850293 0.186103344 0.010046365
[9697] 0.812030494 0.145674929 0.042294584 0.010746254 0.065603808 0.923649907
[9703] 0.027227959 0.241547197 0.731224775 0.025154587 0.138321549 0.836523890
[9709] 0.034513634 0.168621749 0.796864629 0.020158516 0.179626182 0.800215304
[9715] 0.846982777 0.108006544 0.045010701 0.869343936 0.110572301 0.020083759
[9721] 0.077152744 0.295206755 0.627640486 0.066572554 0.211969092 0.721458316
[9727] 0.395632178 0.578290641 0.026077211 0.069662899 0.208508566 0.721828520
[9733] 0.013877437 0.096947461 0.889175117 0.568188846 0.367486060 0.064325050
[9739] 0.572725713 0.249146834 0.178127483 0.017144291 0.114042699 0.868813038
[9745] 0.871738434 0.109601624 0.018659957 0.022095699 0.108085841 0.869818509
[9751] 0.022391759 0.133427233 0.844181001 0.030565038 0.118484929 0.850950003
[9757] 0.035862938 0.217428371 0.746708691 0.045817081 0.207541659 0.746641278
[9763] 0.051441200 0.182548583 0.766010165 0.545021772 0.343744069 0.111234143
[9769] 0.848018110 0.142360002 0.009621885 0.281513572 0.235958338 0.482528090
[9775] 0.874430418 0.114781789 0.010787749 0.782577932 0.197048575 0.020373458
[9781] 0.481589615 0.477631122 0.040779244 0.518623531 0.447817594 0.033558860
[9787] 0.669113576 0.298558235 0.032328181 0.025161743 0.159155235 0.815683007
[9793] 0.011806326 0.087765709 0.900427997 0.007828243 0.038122125 0.954049587
[9799] 0.004159684 0.023107810 0.972732544 0.043915842 0.252282977 0.703801155
[9805] 0.065019652 0.221856445 0.713123918 0.706059456 0.214492321 0.079448171
[9811] 0.361024022 0.601603866 0.037372123 0.815752745 0.163289264 0.020957965
[9817] 0.592166007 0.365302444 0.042531580 0.877277672 0.114272714 0.008449592
[9823] 0.721601367 0.205106854 0.073291734 0.890208781 0.098070160 0.011721117
[9829] 0.445702851 0.517554641 0.036742527 0.443997592 0.489714354 0.066288091
[9835] 0.604165196 0.355890900 0.039943889 0.003147440 0.132722840 0.864129663
[9841] 0.007867064 0.053763386 0.938369513 0.006915863 0.066383451 0.926700711
[9847] 0.013701018 0.111208215 0.875090778 0.028652512 0.168288857 0.803058624
[9853] 0.021477034 0.133863226 0.844659746 0.185823292 0.798766255 0.015410437
[9859] 0.009043867 0.073805042 0.917151093 0.133010492 0.340032190 0.526957273
[9865] 0.008720401 0.060463730 0.930815935 0.010818276 0.071332015 0.917849779
[9871] 0.635535479 0.333196878 0.031267624 0.911653876 0.080257758 0.008088329
[9877] 0.301989317 0.674196959 0.023813741 0.726026952 0.233880356 0.040092736
[9883] 0.038254954 0.136842251 0.824902773 0.020344624 0.150659561 0.828995824
[9889] 0.677394152 0.283713788 0.038892083 0.679170251 0.273671806 0.047157880
[9895] 0.762199819 0.218832389 0.018967750 0.047802173 0.244586274 0.707611501
[9901] 0.699553847 0.274152547 0.026293604 0.014593714 0.079823025 0.905583262
[9907] 0.698837221 0.259029835 0.042132959 0.508246303 0.472973436 0.018780220
[9913] 0.035098776 0.240591779 0.724309444 0.935153544 0.059285294 0.005561194
[9919] 0.738238871 0.171509773 0.090251416 0.916879475 0.072001643 0.011118857
[9925] 0.613719523 0.358186603 0.028093880 0.462380767 0.360845447 0.176773757
[9931] 0.619488358 0.264286816 0.116224788 0.034801096 0.191163674 0.774035215
[9937] 0.687326908 0.296793550 0.015879493 0.040695831 0.300097644 0.659206510
[9943] 0.649370909 0.245082796 0.105546266 0.608971417 0.325425327 0.065603249
[9949] 0.306779653 0.294266135 0.398954183 0.726783156 0.231859326 0.041357532
[9955] 0.725954890 0.188350841 0.085694261 0.647448182 0.325424522 0.027127326
[9961] 0.572525561 0.384512663 0.042961750 0.916753590 0.075311624 0.007934771
[9967] 0.030740255 0.241318122 0.727941632 0.733323753 0.212875143 0.053801108
[9973] 0.154162467 0.161530077 0.684307456 0.614530742 0.253333926 0.132135376
[9979] 0.023624498 0.124782406 0.851593077 0.637890160 0.319727182 0.042382654
[9985] 0.605063796 0.297296047 0.097640142 0.041400678 0.411232501 0.547366858
[9991] 0.029763494 0.191240922 0.778995633 0.027400019 0.202263370 0.770336688
[9997] 0.006679675 0.039440632 0.953879714 0.028758870 0.158216208 0.813024879
[10003] 0.616328955 0.325999975 0.057671096 0.062142234 0.244590476 0.693267286
[10009] 0.807742000 0.167730808 0.024527242 0.010413837 0.131581500 0.858004689
[10015] 0.040348463 0.593910098 0.365741402 0.043149557 0.222186282 0.734664202
[10021] 0.757091999 0.183560565 0.059347410 0.824781060 0.144843355 0.030375589
[10027] 0.832556784 0.113377340 0.054065850 0.005383805 0.035131048 0.959485173
[10033] 0.005739326 0.227069736 0.767190874 0.276616633 0.694730222 0.028653167
[10039] 0.140888005 0.164959744 0.694152236 0.657909036 0.266336650 0.075754300
[10045] 0.610458910 0.343466759 0.046074327 0.838205636 0.132234380 0.029559955
[10051] 0.046010379 0.296234101 0.657755494 0.825824976 0.159629226 0.014545813
[10057] 0.747452140 0.228440031 0.024107836 0.297273755 0.618145585 0.084580638
[10063] 0.673726439 0.284917653 0.041355912 0.653404295 0.278198302 0.068397418
[10069] 0.357973337 0.560990989 0.081035689 0.516815543 0.255335510 0.227848932
[10075] 0.469436914 0.492016852 0.038546231 0.650192738 0.217759356 0.132047907
[10081] 0.750758410 0.134987608 0.114254005 0.715320230 0.214815348 0.069864422
[10087] 0.137767002 0.224280193 0.637952745 0.042466246 0.143767118 0.813766599
[10093] 0.884799063 0.101193108 0.014007880 0.451872349 0.504180372 0.043947320
[10099] 0.762071967 0.184184581 0.053743474 0.620144844 0.353039235 0.026815945
[10105] 0.599836826 0.341412693 0.058750495 0.855592132 0.115048766 0.029359046
[10111] 0.714736402 0.256129205 0.029134417 0.551640272 0.427117020 0.021242704
[10117] 0.715162814 0.217366859 0.067470372 0.049691595 0.179622933 0.770685494
[10123] 0.118182391 0.165691838 0.716125786 0.073601529 0.238788962 0.687609494
[10129] 0.715142727 0.220633999 0.064223252 0.751091599 0.178966820 0.069941603
[10135] 0.888100088 0.096578062 0.015321852 0.754697859 0.205098212 0.040203873
[10141] 0.871743858 0.116280295 0.011975897 0.114007652 0.233109936 0.652882397
[10147] 0.712215841 0.252326876 0.035457253 0.806122243 0.154277623 0.039600190
[10153] 0.882697225 0.101924799 0.015377953 0.503002524 0.271397412 0.225600034
[10159] 0.053938221 0.225044340 0.721017420 0.627252758 0.304299116 0.068448097
[10165] 0.551990151 0.408033967 0.039975882 0.658714294 0.313328803 0.027956910
[10171] 0.682330608 0.229869336 0.087800048 0.123002447 0.400403172 0.476594418
[10177] 0.006822236 0.259850800 0.733326912 0.662578523 0.288468957 0.048952531
[10183] 0.556048870 0.397906870 0.046044268 0.056807209 0.181442812 0.761749983
[10189] 0.032949470 0.081052989 0.885997534 0.013725867 0.200469792 0.785804331
[10195] 0.053749289 0.173294321 0.772956371 0.076392800 0.260346532 0.663260698
[10201] 0.005373523 0.021102134 0.973524332 0.786185384 0.172542036 0.041272577
[10207] 0.552711427 0.352343380 0.094945200 0.065419137 0.502382040 0.432198793
[10213] 0.692993104 0.248474732 0.058532137 0.019990802 0.141038716 0.838970482
[10219] 0.019136576 0.159027889 0.821835518 0.032713629 0.202712089 0.764574289
[10225] 0.830848575 0.153964579 0.015186852 0.810969770 0.170127824 0.018902369
[10231] 0.654787958 0.187542245 0.157669857 0.520585418 0.343415320 0.135999307
[10237] 0.827492118 0.141698182 0.030809650 0.319699824 0.277519166 0.402781039
[10243] 0.022682527 0.113192581 0.864124894 0.029229144 0.143476516 0.827294290
[10249] 0.496783167 0.461528718 0.041688070 0.089294821 0.278237045 0.632468164
[10255] 0.483998120 0.268995225 0.247006670 0.707448840 0.247995198 0.044555943
[10261] 0.806649685 0.170634806 0.022715490 0.905192852 0.084044546 0.010762520
[10267] 0.807654321 0.164256439 0.028089216 0.847891331 0.126687452 0.025421176
[10273] 0.837682188 0.145196497 0.017121373 0.694347382 0.225993812 0.079658806
[10279] 0.090694115 0.229594618 0.679711282 0.046349362 0.218478352 0.735172331
[10285] 0.011218149 0.339037716 0.649744153 0.742387652 0.240767017 0.016845275
[10291] 0.653727055 0.305865735 0.040407203 0.783036530 0.201226324 0.015737139
[10297] 0.035607569 0.329051405 0.635341048 0.540966094 0.431740612 0.027293304
[10303] 0.056856856 0.350417703 0.592725396 0.025164993 0.161295339 0.813539624
[10309] 0.755669773 0.210620329 0.033709880 0.040686931 0.103488669 0.855824411
[10315] 0.290078938 0.291178942 0.418742061 0.029120838 0.153720140 0.817158997
[10321] 0.108037636 0.433714688 0.458247691 0.212022543 0.413884431 0.374093086
[10327] 0.006185431 0.664234698 0.329579860 0.883301020 0.109074622 0.007624398
[10333] 0.605090439 0.357521236 0.037388358 0.007382726 0.510630190 0.481987059
[10339] 0.067489333 0.108625300 0.823885381 0.024029309 0.156158388 0.819812298
[10345] 0.070077173 0.296139300 0.633783460 0.080350548 0.280422181 0.639227271
[10351] 0.009989501 0.403223723 0.586786747 0.018339131 0.103571542 0.878089368
[10357] 0.012114702 0.092485368 0.895399928 0.020633949 0.148642167 0.830723882
[10363] 0.051784933 0.222998962 0.725216091 0.040244561 0.195775717 0.763979733
[10369] 0.066046409 0.309899271 0.624054372 0.041305963 0.235227689 0.723466337
[10375] 0.033372805 0.101912878 0.864714265 0.014537023 0.122932784 0.862530172
[10381] 0.045885339 0.458483607 0.495631039 0.441578150 0.396634489 0.161787406
[10387] 0.419641048 0.328354985 0.252003968 0.033482630 0.204748720 0.761768639
[10393] 0.014356494 0.127027541 0.858615935 0.642087817 0.322350979 0.035561174
[10399] 0.841871262 0.146852642 0.011276080 0.004151029 0.033585213 0.962263703
[10405] 0.059687592 0.216669872 0.723642588 0.124747276 0.559619427 0.315633297
[10411] 0.203340471 0.410959810 0.385699749 0.541871190 0.204125673 0.254003137
[10417] 0.083592832 0.198516443 0.717890739 0.911412120 0.075597242 0.012990662
[10423] 0.879741490 0.107774764 0.012483713 0.554954946 0.170116618 0.274928421
[10429] 0.029978974 0.181065589 0.788955450 0.008020483 0.220350385 0.771629155
[10435] 0.004557600 0.064342447 0.931099951 0.724259555 0.257459790 0.018280692
[10441] 0.387132049 0.346572608 0.266295314 0.741825819 0.163263038 0.094911151
[10447] 0.833325326 0.150725782 0.015948849 0.804297924 0.183224946 0.012477078
[10453] 0.126983851 0.371551871 0.501464307 0.151300684 0.362780273 0.485918999
[10459] 0.578033507 0.348382890 0.073583633 0.133064076 0.447145134 0.419790775
[10465] 0.686504424 0.281731367 0.031764261 0.529391527 0.378889322 0.091719195
[10471] 0.747546434 0.176467314 0.075986221 0.046320114 0.169828489 0.783851385
[10477] 0.820868492 0.157145888 0.021985656 0.019602178 0.114508055 0.865889788
[10483] 0.590401471 0.344280094 0.065318428 0.636626482 0.317573369 0.045800161
[10489] 0.043610737 0.210548282 0.745841026 0.026860323 0.176995039 0.796144605
[10495] 0.102400519 0.247669011 0.649930418 0.034014653 0.163232490 0.802752793
[10501] 0.029136235 0.422673941 0.548189819 0.015973415 0.205944896 0.778081715
[10507] 0.004852661 0.073901139 0.921246171 0.787397683 0.182454303 0.030148003
[10513] 0.040031172 0.469838649 0.490130156 0.725508213 0.202947780 0.071544029
[10519] 0.512666345 0.400398791 0.086934850 0.058116931 0.281383991 0.660499036
[10525] 0.007697066 0.106900558 0.885402322 0.259529799 0.526119173 0.214350984
[10531] 0.013280307 0.043013919 0.943705738 0.083585136 0.297244132 0.619170725
[10537] 0.063806579 0.327784956 0.608408451 0.744611323 0.239436373 0.015952293
[10543] 0.016029386 0.297879100 0.686091483 0.522581697 0.248520866 0.228897437
[10549] 0.008144658 0.643928528 0.347926825 0.403035879 0.132637858 0.464326292
[10555] 0.478767514 0.451660037 0.069572471 0.033607114 0.168305829 0.798087060
[10561] 0.035165913 0.096932746 0.867901385 0.211255133 0.435957968 0.352786958
[10567] 0.048717488 0.185933292 0.765349209 0.803500116 0.186845556 0.009654344
[10573] 0.631470323 0.312339902 0.056189790 0.823772252 0.157768205 0.018459577
[10579] 0.037320789 0.183760896 0.778918266 0.036266509 0.190733925 0.772999585
[10585] 0.022821242 0.126736775 0.850441933 0.050691437 0.329004496 0.620304048
[10591] 0.036403518 0.174760193 0.788836300 0.046245240 0.417634606 0.536120176
[10597] 0.883656979 0.107521094 0.008821948 0.826417983 0.145066515 0.028515456
[10603] 0.467146933 0.510930121 0.021922972 0.116635755 0.607701302 0.275662929
[10609] 0.881907046 0.110030442 0.008062509 0.667359948 0.292112708 0.040527321
[10615] 0.627796710 0.283953846 0.088249385 0.047349382 0.318199933 0.634450674
[10621] 0.057413232 0.327644676 0.614942074 0.004673922 0.654760003 0.340566009
[10627] 0.034738410 0.488623321 0.476638258 0.019686326 0.118301727 0.862011969
[10633] 0.035478543 0.221314341 0.743207097 0.008108990 0.081526749 0.910364270
[10639] 0.003831389 0.023538513 0.972630143 0.828925371 0.154459581 0.016615039
[10645] 0.015313652 0.144576505 0.840109885 0.789514363 0.157871544 0.052614085
[10651] 0.026595520 0.129228041 0.844176412 0.828779578 0.158242524 0.012977888
[10657] 0.744052410 0.202753633 0.053193942 0.678194523 0.303462505 0.018342966
[10663] 0.835329950 0.151816472 0.012853575 0.765267313 0.128354907 0.106377803
[10669] 0.083829120 0.258097768 0.658073127 0.029529862 0.173030719 0.797439396
[10675] 0.751894236 0.216419995 0.031685740 0.063463271 0.249124080 0.687412679
[10681] 0.848076761 0.144589454 0.007333741 0.793394029 0.136631519 0.069974504
[10687] 0.015304828 0.179597110 0.805098057 0.677737653 0.229419142 0.092843182
[10693] 0.070540778 0.191470653 0.737988532 0.065211125 0.260187417 0.674601495
[10699] 0.029055009 0.260789663 0.710155308 0.026106253 0.160199106 0.813694596
[10705] 0.778449416 0.168568790 0.052981824 0.804535449 0.167249754 0.028214809
[10711] 0.118058406 0.549421072 0.332520574 0.043972585 0.327470958 0.628556430
[10717] 0.024078676 0.179801449 0.796119809 0.802437901 0.169491947 0.028070105
[10723] 0.605341971 0.321916461 0.072741553 0.904177487 0.085532419 0.010290051
[10729] 0.838384271 0.139534473 0.022081289 0.048267338 0.288923234 0.662809432
[10735] 0.899402440 0.085890405 0.014707098 0.796380103 0.165444940 0.038174968
[10741] 0.045551002 0.276338845 0.678110123 0.065584384 0.304601341 0.629814267
[10747] 0.013826805 0.118170694 0.868002534 0.862042964 0.117711268 0.020245813
[10753] 0.031577006 0.198472351 0.769950688 0.009113685 0.120029032 0.870857298
[10759] 0.061762869 0.213887215 0.724349916 0.219141632 0.211968675 0.568889678
[10765] 0.030461421 0.144018218 0.825520396 0.017401246 0.112315185 0.870283544
[10771] 0.772155166 0.199707329 0.028137486 0.040348567 0.187294111 0.772357285
[10777] 0.010038025 0.094050907 0.895911098 0.025637416 0.140357777 0.834004819
[10783] 0.087244444 0.410189509 0.502566040 0.765015543 0.123880193 0.111104317
[10789] 0.807524979 0.182094648 0.010380411 0.079397552 0.258397549 0.662204921
[10795] 0.782368600 0.189846024 0.027785322 0.045138557 0.357801676 0.597059727
[10801] 0.043397177 0.467553437 0.489049375 0.018069493 0.087640695 0.894289792
[10807] 0.713878751 0.250492930 0.035628341 0.006776259 0.042065829 0.951157928
[10813] 0.047300786 0.216062546 0.736636639 0.162862584 0.351697415 0.485439986
[10819] 0.196914256 0.318063498 0.485022306 0.117976271 0.292498857 0.589524925
[10825] 0.022229835 0.134700865 0.843069315 0.054906126 0.209419206 0.735674679
[10831] 0.002632126 0.012799047 0.984568834 0.156706542 0.349896133 0.493397385
[10837] 0.131278977 0.252667159 0.616053820 0.049883038 0.182838261 0.767278671
[10843] 0.015935741 0.141646996 0.842417240 0.043501671 0.400262862 0.556235433
[10849] 0.587468207 0.311828643 0.100703202 0.077021725 0.536153078 0.386825204
[10855] 0.069347739 0.561291695 0.369360566 0.049907029 0.245817006 0.704275906
[10861] 0.041843366 0.295868188 0.662288427 0.058026679 0.118913338 0.823060036
[10867] 0.503567636 0.385944843 0.110487565 0.015812799 0.099436626 0.884750605
[10873] 0.055272568 0.143431038 0.801296413 0.587901950 0.315561235 0.096536830
[10879] 0.070829995 0.231622234 0.697547793 0.916719019 0.041292522 0.041988429
[10885] 0.088811904 0.377198189 0.533989847 0.437170982 0.366051197 0.196777791
[10891] 0.032673698 0.246630266 0.720696032 0.011553144 0.069379009 0.919067860
[10897] 0.112694971 0.240097687 0.647207379 0.812681258 0.157136798 0.030181902
[10903] 0.008001364 0.054013528 0.937985122 0.021570511 0.137527689 0.840901732
[10909] 0.121168062 0.297557265 0.581274688 0.014695309 0.097594351 0.887710333
[10915] 0.013547484 0.374203742 0.612248778 0.155444145 0.382169932 0.462385952
[10921] 0.035035305 0.156477764 0.808486938 0.033726852 0.197471067 0.768802106
[10927] 0.041950818 0.320165426 0.637883782 0.080746308 0.272687405 0.646566272
[10933] 0.742930651 0.145580351 0.111489050 0.009214257 0.091030464 0.899755239
[10939] 0.092999674 0.288744271 0.618256092 0.032034345 0.362290144 0.605675519
[10945] 0.861921072 0.116633601 0.021445302 0.576642275 0.234655768 0.188701943
[10951] 0.066689909 0.456748605 0.476561487 0.006072369 0.075443119 0.918484509
[10957] 0.020527441 0.073165402 0.906307161 0.473747194 0.480092883 0.046159897
[10963] 0.694357395 0.230718434 0.074924223 0.748451352 0.229901642 0.021647012
[10969] 0.192831635 0.739769757 0.067398630 0.347678572 0.476455063 0.175866365
[10975] 0.563272059 0.416128457 0.020599468 0.325695127 0.614788830 0.059516072
[10981] 0.359169990 0.570428550 0.070401467 0.606468976 0.351443768 0.042087242
[10987] 0.616930604 0.333991200 0.049078181 0.741832137 0.224465460 0.033702392
[10993] 0.815387189 0.162627965 0.021984873 0.680225074 0.296107262 0.023667658
[10999] 0.105463862 0.718143880 0.176392272 0.785566211 0.196945399 0.017488418
[11005] 0.248056427 0.557454944 0.194488645 0.952896059 0.040086564 0.007017408
[11011] 0.275511235 0.533982813 0.190505967 0.799172223 0.189080760 0.011746980
[11017] 0.565741777 0.415176839 0.019081397 0.611083329 0.353295803 0.035620846
[11023] 0.438439786 0.519030333 0.042529877 0.389270544 0.551787555 0.058941901
[11029] 0.404206723 0.249385476 0.346407801 0.155733749 0.215131611 0.629134595
[11035] 0.538379133 0.386121780 0.075499110 0.268689185 0.650284111 0.081026666
[11041] 0.171932474 0.300627291 0.527440190 0.135799944 0.759013414 0.105186664
[11047] 0.192257971 0.430193990 0.377548099 0.286138773 0.490451843 0.223409325
[11053] 0.375493705 0.548799098 0.075707160 0.629201651 0.305882066 0.064916238
[11059] 0.517480731 0.457918614 0.024600642 0.448095709 0.459319443 0.092584871
[11065] 0.382620454 0.447336555 0.170042962 0.691192448 0.272406191 0.036401354
[11071] 0.818101466 0.169036493 0.012861996 0.847550809 0.143000677 0.009448483
[11077] 0.430317611 0.539244652 0.030437758 0.621377289 0.299390644 0.079232089
[11083] 0.084730037 0.165724039 0.749545932 0.130591631 0.707752705 0.161655605
[11089] 0.333327413 0.457986355 0.208686188 0.569970012 0.395514131 0.034515906
[11095] 0.343390465 0.497462869 0.159146711 0.884757996 0.107165299 0.008076683
[11101] 0.113633841 0.762404025 0.123962134 0.237316608 0.725910783 0.036772680
[11107] 0.821784556 0.163483292 0.014732168 0.728127658 0.241685659 0.030186657
[11113] 0.576931775 0.353078336 0.069989830 0.169583350 0.722950220 0.107466422
[11119] 0.834663391 0.151831448 0.013505152 0.420337826 0.515682638 0.063979559
[11125] 0.320869595 0.447531581 0.231598809 0.028525893 0.084220313 0.887253761
[11131] 0.050477415 0.097698443 0.851824105 0.008922575 0.066577010 0.924500406
[11137] 0.016907260 0.082259648 0.900833070 0.006623962 0.061708443 0.931667566
[11143] 0.025618074 0.190313920 0.784067988 0.003105144 0.117933571 0.878961325
[11149] 0.014852230 0.101688825 0.883458972 0.008301445 0.066767409 0.924931169
[11155] 0.002938706 0.121700682 0.875360608 0.007542587 0.054846209 0.937611222
[11161] 0.013939699 0.098881707 0.887178600 0.009801719 0.102985099 0.887213230
[11167] 0.019138379 0.105722062 0.875139534 0.010166369 0.065209128 0.924624562
[11173] 0.005864608 0.038113486 0.956021965 0.004320417 0.073483311 0.922196269
[11179] 0.012873334 0.113823347 0.873303354 0.014950452 0.083731718 0.901317775
[11185] 0.083355337 0.275615096 0.641029596 0.027855404 0.198197365 0.773947239
[11191] 0.005137080 0.031976286 0.962886691 0.012030495 0.087048091 0.900921404
[11197] 0.013065405 0.079572745 0.907361805 0.012526911 0.111241572 0.876231551
[11203] 0.012884070 0.056598332 0.930517614 0.017370524 0.097310849 0.885318577
[11209] 0.016423048 0.095938653 0.887638271 0.005786033 0.038925461 0.955288470
[11215] 0.018825574 0.083394594 0.897779822 0.028200449 0.129844785 0.841954708
[11221] 0.013019302 0.083603613 0.903377116 0.002996016 0.377564073 0.619439960
[11227] 0.007046273 0.088899396 0.904054344 0.012082997 0.092463911 0.895453095
[11233] 0.050922066 0.168572396 0.780505538 0.045082252 0.204069600 0.750848174
[11239] 0.009669608 0.082022749 0.908307612 0.011845826 0.072687060 0.915467083
[11245] 0.003415255 0.041197583 0.955387175 0.006580777 0.080591738 0.912827492
[11251] 0.034805160 0.158425286 0.806769550 0.318765789 0.484413445 0.196820810
[11257] 0.014711156 0.085067011 0.900221825 0.028700799 0.177868307 0.793430924
[11263] 0.025531413 0.159748748 0.814719856 0.024286436 0.157800123 0.817913473
[11269] 0.107047282 0.237740934 0.655211747 0.005864195 0.054638252 0.939497530
[11275] 0.003031178 0.032369379 0.964599431 0.011375140 0.071430832 0.917194009
[11281] 0.017345050 0.104829237 0.877825737 0.849744558 0.137385175 0.012870246
[11287] 0.853573859 0.135518551 0.010907582 0.350242168 0.535047829 0.114710003
[11293] 0.755054295 0.194674656 0.050271012 0.593146861 0.348452449 0.058400720
[11299] 0.293880463 0.489017606 0.217101976 0.733852923 0.238951489 0.027195577
[11305] 0.774038434 0.206082940 0.019878637 0.464663476 0.505323887 0.030012652
[11311] 0.455916703 0.501601100 0.042482186 0.594613552 0.380218923 0.025167553
[11317] 0.668670833 0.305954278 0.025374914 0.830346346 0.159854472 0.009799184
[11323] 0.279501379 0.511457920 0.209040672 0.431536257 0.488836884 0.079626836
[11329] 0.648858011 0.331603795 0.019538144 0.301180512 0.567339659 0.131479785
[11335] 0.429018736 0.432163715 0.138817534 0.730840564 0.239571363 0.029588036
[11341] 0.604871631 0.313891858 0.081236482 0.642562032 0.276237428 0.081200533
[11347] 0.597434163 0.296494722 0.106071092 0.634792268 0.302971452 0.062236302
[11353] 0.612967193 0.273943007 0.113089822 0.597159088 0.340656102 0.062184766
[11359] 0.716746986 0.270062864 0.013190127 0.510946393 0.388030469 0.101023152
[11365] 0.502694547 0.462349862 0.034955572 0.355727464 0.485420376 0.158852175
[11371] 0.846002936 0.145048156 0.008948866 0.623058259 0.353333414 0.023608295
[11377] 0.616568506 0.326462746 0.056968797 0.599807024 0.388454616 0.011738388
[11383] 0.755702853 0.190193921 0.054103184 0.338632464 0.376157254 0.285210222
[11389] 0.871969044 0.112239078 0.015791878 0.813858390 0.172100231 0.014041387
[11395] 0.859412074 0.129762098 0.010825807 0.728742599 0.248708054 0.022549314
[11401] 0.732645512 0.249107227 0.018247278 0.632565260 0.313161433 0.054273278
[11407] 0.805213809 0.184621826 0.010164324 0.538109243 0.370266378 0.091624334
[11413] 0.786170900 0.202414259 0.011414864 0.770051122 0.211890504 0.018058402
[11419] 0.746705115 0.225686103 0.027608734 0.700224638 0.221613050 0.078162320
[11425] 0.749537170 0.221295178 0.029167673 0.593023896 0.382012904 0.024963167
[11431] 0.784530222 0.137636498 0.077833287 0.659853160 0.263348997 0.076797843
[11437] 0.454433024 0.450576216 0.094990760 0.622604966 0.341266692 0.036128391
[11443] 0.331785798 0.614160776 0.054053381 0.695967436 0.270845264 0.033187266
[11449] 0.679793835 0.247544542 0.072661594 0.250812948 0.414440632 0.334746480
[11455] 0.796201110 0.194918334 0.008880533 0.027975831 0.085769847 0.886254311
[11461] 0.004573065 0.027677657 0.967749238 0.011637255 0.075374365 0.912988424
[11467] 0.036030587 0.087244146 0.876725256 0.011502313 0.093326792 0.895170927
[11473] 0.015174211 0.100259863 0.884565949 0.012203047 0.084630482 0.903166413
[11479] 0.076663993 0.355153948 0.568182051 0.239661798 0.597111404 0.163226753
[11485] 0.012854962 0.109453283 0.877691746 0.033418417 0.167850062 0.798731565
[11491] 0.019434834 0.076473050 0.904092133 0.039202586 0.112982966 0.847814381
[11497] 0.803306758 0.173899710 0.022793526 0.483999074 0.291111708 0.224889189
[11503] 0.045691192 0.138906345 0.815402508 0.317480773 0.603927135 0.078592062
[11509] 0.824614763 0.167213246 0.008171954 0.602426350 0.325787753 0.071785897
[11515] 0.798684061 0.184341952 0.016974023 0.202366650 0.449366868 0.348266542
[11521] 0.815854013 0.164368063 0.019777859 0.785539627 0.179171816 0.035288520
[11527] 0.392709374 0.396946251 0.210344329 0.720949769 0.244099304 0.034950972
[11533] 0.648281932 0.267765671 0.083952397 0.841849267 0.145069286 0.013081430
[11539] 0.677739382 0.299256712 0.023003895 0.424308449 0.195868656 0.379822850
[11545] 0.011387540 0.088901699 0.899710774 0.364421159 0.409180194 0.226398632
[11551] 0.449500412 0.456417680 0.094081983 0.550276935 0.399928302 0.049794730
[11557] 0.032490607 0.622272134 0.345237225 0.702425361 0.243586957 0.053987708
[11563] 0.467653930 0.425710142 0.106635988 0.636856139 0.315787286 0.047356531
[11569] 0.534418404 0.425170094 0.040411502 0.607800245 0.359798282 0.032401476
[11575] 0.779321134 0.149134398 0.071544506 0.775631785 0.190549493 0.033818774
[11581] 0.082309619 0.840481758 0.077208608 0.555374563 0.322722763 0.121902652
[11587] 0.738349855 0.214651734 0.046998423 0.031158481 0.073711671 0.895129800
[11593] 0.651927948 0.297174633 0.050897401 0.532612860 0.370042384 0.097344756
[11599] 0.780234098 0.203398675 0.016367257 0.847812235 0.135666713 0.016521005
[11605] 0.486892909 0.398473799 0.114633285 0.729344964 0.215780482 0.054874536
[11611] 0.802074611 0.187222108 0.010703291 0.022464490 0.106035657 0.871499836
[11617] 0.401042104 0.429804295 0.169153661 0.667294443 0.302259505 0.030446025
[11623] 0.099548325 0.416467458 0.483984262 0.686851203 0.278111547 0.035037261
[11629] 0.753597796 0.227896824 0.018505383 0.671907604 0.274179906 0.053912472
[11635] 0.643316090 0.251595765 0.105088122 0.185645178 0.227481753 0.586873114
[11641] 0.511639059 0.336576998 0.151783973 0.737880647 0.228974119 0.033145212
[11647] 0.684049785 0.226083189 0.089866973 0.774472594 0.192723393 0.032804031
[11653] 0.876736403 0.114165716 0.009097813 0.599378884 0.338163763 0.062457405
[11659] 0.794074237 0.191363648 0.014562103 0.419714451 0.505571246 0.074714281
[11665] 0.615718842 0.349785089 0.034496080 0.696556926 0.271624863 0.031818185
[11671] 0.608403265 0.334572524 0.057024248 0.196599051 0.769289017 0.034111951
[11677] 0.520315111 0.358135194 0.121549703 0.489928335 0.431204259 0.078867443
[11683] 0.572635055 0.355756581 0.071608305 0.709240854 0.266123056 0.024636051
[11689] 0.372438461 0.395064771 0.232496738 0.492580920 0.436663210 0.070755854
[11695] 0.547771990 0.423352510 0.028875496 0.011474622 0.115441762 0.873083591
[11701] 0.046662483 0.179231793 0.774105787 0.320517749 0.268652201 0.410830051
[11707] 0.344339103 0.266232491 0.389428407 0.715284288 0.246572167 0.038143579
[11713] 0.265395075 0.298341244 0.436263710 0.551020563 0.381061584 0.067917854
[11719] 0.686016679 0.268232077 0.045751192 0.707444310 0.274355531 0.018200157
[11725] 0.518394947 0.440567017 0.041038096 0.181108505 0.259098589 0.559792876
[11731] 0.637749016 0.233111665 0.129139304 0.853660345 0.134203166 0.012136420
[11737] 0.438155681 0.359887868 0.201956481 0.833898365 0.155484572 0.010617050
[11743] 0.309023857 0.569206774 0.121769361 0.794854879 0.186806262 0.018338922
[11749] 0.336470068 0.408803940 0.254725933 0.636714458 0.129496306 0.233789206
[11755] 0.112222210 0.791476607 0.096301220 0.149708048 0.569954455 0.280337483
[11761] 0.421958715 0.531626165 0.046415158 0.447190166 0.440020412 0.112789415
[11767] 0.827799022 0.163974598 0.008226352 0.655696094 0.302508622 0.041795298
[11773] 0.364338785 0.441543519 0.194117665 0.556543708 0.357958555 0.085497722
[11779] 0.828702629 0.146220520 0.025076821 0.729549050 0.244466797 0.025984148
[11785] 0.699645698 0.226017579 0.074336715 0.565273762 0.254800379 0.179925874
[11791] 0.335922569 0.289485902 0.374591500 0.372613758 0.438907504 0.188478798
[11797] 0.720061541 0.258145928 0.021792525 0.527591169 0.389616311 0.082792543
[11803] 0.744448066 0.226531669 0.029020298 0.699322164 0.273354888 0.027322926
[11809] 0.721559465 0.241611034 0.036829513 0.723836541 0.249359399 0.026804119
[11815] 0.601711094 0.360824198 0.037464719 0.801392257 0.184345394 0.014262334
[11821] 0.712599814 0.255833536 0.031566691 0.771449089 0.218132675 0.010418228
[11827] 0.625734389 0.337854892 0.036410674 0.834171593 0.150370270 0.015458142
[11833] 0.227813244 0.543310642 0.228876099 0.867697358 0.121591665 0.010710974
[11839] 0.672751486 0.267205328 0.060043197 0.866114736 0.124590345 0.009294952
[11845] 0.757595181 0.231140196 0.011264653 0.301769406 0.349640459 0.348590165
[11851] 0.672893405 0.229112580 0.097994000 0.796657681 0.189147219 0.014195099
[11857] 0.833072782 0.154721126 0.012206066 0.869897544 0.122783765 0.007318736
[11863] 0.738862753 0.247036964 0.014100271 0.572590113 0.262892216 0.164517701
[11869] 0.756686449 0.212730259 0.030583248 0.738450468 0.235744193 0.025805367
[11875] 0.029243222 0.140550852 0.830205917 0.016116725 0.100678600 0.883204639
[11881] 0.018563593 0.151352167 0.830084264 0.010970989 0.068089887 0.920939147
[11887] 0.007571563 0.050386414 0.942041993 0.806808174 0.176259607 0.016932189
[11893] 0.734680891 0.243375540 0.021943582 0.632688999 0.300182521 0.067128487
[11899] 0.768820345 0.184080273 0.047099344 0.799300373 0.183376148 0.017323438
[11905] 0.820250630 0.164275587 0.015473786 0.622494578 0.335618407 0.041887052
[11911] 0.759403229 0.216216400 0.024380326 0.844426811 0.142755002 0.012818143
[11917] 0.863928616 0.124400429 0.011670958 0.687495351 0.261078268 0.051426344
[11923] 0.610122800 0.364632130 0.025245043 0.574548542 0.373619795 0.051831663
[11929] 0.747070253 0.227134049 0.025795683 0.302839816 0.506121576 0.191038623
[11935] 0.841950417 0.150082156 0.007967374 0.376759619 0.421647727 0.201592654
[11941] 0.317197561 0.531571567 0.151230872 0.634214401 0.338238299 0.027547341
[11947] 0.570667446 0.348016560 0.081315994 0.197927311 0.256323010 0.545749664
[11953] 0.618566394 0.335004389 0.046429247 0.368888438 0.585888386 0.045223143
[11959] 0.683092952 0.291631073 0.025275994 0.661654711 0.318164349 0.020180926
[11965] 0.854559302 0.139200866 0.006239872 0.574805260 0.294437319 0.130757421
[11971] 0.857548594 0.124629952 0.017821424 0.909885347 0.077772081 0.012342576
[11977] 0.761359751 0.215688035 0.022952203 0.803058207 0.143335193 0.053606618
[11983] 0.565902710 0.366739184 0.067358077 0.611590028 0.333396047 0.055013910
[11989] 0.640178442 0.284867644 0.074953921 0.726881087 0.230338141 0.042780776
[11995] 0.677161932 0.284474134 0.038363978 0.803597748 0.172833622 0.023568692
[12001] 0.627517939 0.323688537 0.048793510 0.022316746 0.101379924 0.876303315
[12007] 0.023563297 0.134028941 0.842407763 0.048575893 0.301442266 0.649981797
[12013] 0.023142386 0.103655398 0.873202205 0.062822305 0.168546915 0.768630803
[12019] 0.802670777 0.184758380 0.012570865 0.726688027 0.230369255 0.042942747
[12025] 0.719887257 0.248487905 0.031624813 0.615187347 0.363836169 0.020976525
[12031] 0.592164338 0.380627155 0.027208555 0.640876532 0.286820084 0.072303370
[12037] 0.765922070 0.212492123 0.021585865 0.283648759 0.330504119 0.385847121
[12043] 0.402072668 0.476591021 0.121336341 0.695343196 0.277458191 0.027198562
[12049] 0.472572207 0.498943001 0.028484819 0.294848144 0.459338456 0.245813355
[12055] 0.719264388 0.238886997 0.041848563 0.589008033 0.271229237 0.139762715
[12061] 0.739399076 0.235886618 0.024714297 0.876931846 0.114806168 0.008261973
[12067] 0.616950035 0.358874112 0.024175877 0.803491950 0.179998472 0.016509524
[12073] 0.278988212 0.690613747 0.030398075 0.365627289 0.583032906 0.051339835
[12079] 0.680281162 0.271059662 0.048659168 0.668556392 0.289557546 0.041885998
[12085] 0.823483229 0.165542647 0.010974118 0.267595291 0.435851723 0.296552956
[12091] 0.781257808 0.211205631 0.007536562 0.806644678 0.178104952 0.015250394
[12097] 0.107782766 0.378391594 0.513825595 0.022981487 0.110739157 0.866279423
[12103] 0.024825433 0.139393985 0.835780501 0.029729901 0.186887279 0.783382833
[12109] 0.023246771 0.141513407 0.835239887 0.017656745 0.136081204 0.846262038
[12115] 0.019724388 0.130430415 0.849845231 0.023903387 0.136896387 0.839200258
[12121] 0.015137747 0.116964586 0.867897689 0.085078865 0.185187921 0.729733229
[12127] 0.667616189 0.259957224 0.072426558 0.739311457 0.196840331 0.063848235
[12133] 0.564788997 0.414238304 0.020972701 0.548865080 0.316615671 0.134519234
[12139] 0.081485398 0.854116857 0.064397700 0.769181192 0.189457908 0.041360874
[12145] 0.905625701 0.085410893 0.008963357 0.723980427 0.253287166 0.022732398
[12151] 0.024244957 0.196300685 0.779454350 0.817964494 0.163710713 0.018324798
[12157] 0.874756157 0.113106675 0.012137178 0.789851546 0.169396505 0.040751994
[12163] 0.731408656 0.230473727 0.038117588 0.575954616 0.392944336 0.031101065
[12169] 0.517061353 0.429076552 0.053862099 0.600339472 0.364922583 0.034737989
[12175] 0.795889080 0.177935362 0.026175519 0.811250746 0.175399363 0.013349879
[12181] 0.702625990 0.277888834 0.019485166 0.580418766 0.367668241 0.051912993
[12187] 0.288157284 0.679746211 0.032096475 0.437476397 0.511482000 0.051041618
[12193] 0.333974481 0.593516052 0.072509468 0.622612476 0.303604633 0.073782906
[12199] 0.606782317 0.268066496 0.125151202 0.664006054 0.282427400 0.053566601
[12205] 0.667598724 0.283146322 0.049254943 0.863697827 0.127348825 0.008953396
[12211] 0.480682403 0.320516884 0.198800698 0.219730914 0.143126965 0.637142122
[12217] 0.855081379 0.132977679 0.011940983 0.669812441 0.277137250 0.053050309
[12223] 0.420692027 0.536870956 0.042437010 0.748141050 0.231952623 0.019906322
[12229] 0.356110692 0.587306023 0.056583289 0.680964887 0.232984215 0.086050913
[12235] 0.752735198 0.228082195 0.019182632 0.935375035 0.058442432 0.006182545
[12241] 0.668795884 0.310463339 0.020740768 0.689456344 0.265351266 0.045192394
[12247] 0.674276769 0.290391892 0.035331301 0.497973770 0.392944962 0.109081231
[12253] 0.720057249 0.234468669 0.045474082 0.017574999 0.117653869 0.864771187
[12259] 0.006979997 0.053672239 0.939347804 0.005584550 0.054179359 0.940236092
[12265] 0.111477360 0.560849249 0.327673405 0.023721591 0.147414073 0.828864336
[12271] 0.005736891 0.044751983 0.949511111 0.017029043 0.112472862 0.870498121
[12277] 0.009814736 0.090970308 0.899214923 0.033665054 0.129359156 0.836975753
[12283] 0.682425320 0.199908033 0.117666654 0.813803792 0.177336439 0.008859826
[12289] 0.833185494 0.159198076 0.007616491 0.326414287 0.435900062 0.237685651
[12295] 0.840977132 0.146918669 0.012104204 0.798992038 0.187174141 0.013833857
[12301] 0.671534300 0.292961031 0.035504635 0.783923805 0.184900209 0.031175939
[12307] 0.877281427 0.114661567 0.008056972 0.883672059 0.100060970 0.016266933
[12313] 0.030429645 0.892299712 0.077270627 0.790338874 0.185207248 0.024453815
[12319] 0.864244282 0.126974329 0.008781391 0.022590289 0.126477122 0.850932539
[12325] 0.210785076 0.410705447 0.378509432 0.724043608 0.240485147 0.035471231
[12331] 0.349340856 0.381515712 0.269143432 0.680296898 0.300816119 0.018886957
[12337] 0.721348941 0.256708980 0.021942057 0.589692593 0.285394698 0.124912761
[12343] 0.773411632 0.200820163 0.025768176 0.386877447 0.306386232 0.306736350
[12349] 0.646772385 0.309934318 0.043293316 0.832207739 0.144345731 0.023446575
[12355] 0.717255235 0.239424035 0.043320738 0.757989347 0.202022925 0.039987784
[12361] 0.852352679 0.140420109 0.007227183 0.132717639 0.699012816 0.168269515
[12367] 0.422735125 0.504171789 0.073093101 0.690296471 0.275413573 0.034290034
[12373] 0.742790103 0.235722452 0.021487441 0.756013215 0.223403469 0.020583304
[12379] 0.490436524 0.446734756 0.062828667 0.293253094 0.667618871 0.039128061
[12385] 0.682807446 0.284181803 0.033010744 0.848367691 0.137216136 0.014416144
[12391] 0.605047584 0.312818050 0.082134344 0.396233350 0.270917088 0.332849532
[12397] 0.695046365 0.283308983 0.021644622 0.536190093 0.358510584 0.105299376
[12403] 0.514288187 0.442241430 0.043470357 0.828749657 0.163475931 0.007774390
[12409] 0.672488034 0.298144817 0.029367177 0.752265632 0.235377669 0.012356676
[12415] 0.430922508 0.469190121 0.099887423 0.520376742 0.434874564 0.044748694
[12421] 0.744443417 0.225972459 0.029584138 0.538993716 0.390092790 0.070913464
[12427] 0.634810984 0.325767189 0.039421834 0.577511072 0.392778009 0.029710928
[12433] 0.701347351 0.239813328 0.058839355 0.461143106 0.473389894 0.065466948
[12439] 0.786518514 0.202089623 0.011391832 0.605245292 0.340820551 0.053934194
[12445] 0.018513704 0.070609085 0.910877228 0.014015330 0.082750089 0.903234601
[12451] 0.024948606 0.078414194 0.896637261 0.024319978 0.145408437 0.830271542
[12457] 0.019308107 0.104423963 0.876267970 0.036441363 0.180930793 0.782627821
[12463] 0.766593516 0.215808555 0.017597938 0.781399727 0.207444906 0.011155405
[12469] 0.592435420 0.325519860 0.082044721 0.853172243 0.126648724 0.020179059
[12475] 0.714902461 0.256443769 0.028653793 0.453081876 0.431488514 0.115429647
[12481] 0.687947392 0.278744042 0.033308633 0.663681984 0.305837363 0.030480642
[12487] 0.674040318 0.257834703 0.068124980 0.790777802 0.198437557 0.010784623
[12493] 0.575939417 0.390182644 0.033877950 0.862342119 0.125757262 0.011900604
[12499] 0.598647773 0.378211349 0.023140866 0.724804044 0.257931530 0.017264398
[12505] 0.713281572 0.247357652 0.039360743 0.725186646 0.261606157 0.013207241
[12511] 0.774387896 0.128339589 0.097272523 0.051294874 0.329908520 0.618796587
[12517] 0.022743486 0.109204352 0.868052185 0.003584951 0.097613342 0.898801684
[12523] 0.025421258 0.137590230 0.836988449 0.019964943 0.123023927 0.857011199
[12529] 0.011845039 0.117867872 0.870287120 0.925402582 0.065536536 0.009060897
[12535] 0.860579967 0.133471832 0.005948200 0.579704404 0.377477378 0.042818222
[12541] 0.402470738 0.428591907 0.168937415 0.578993797 0.213340044 0.207666188
[12547] 0.627285957 0.235822961 0.136891067 0.701903224 0.274038345 0.024058454
[12553] 0.509903729 0.420768857 0.069327399 0.661918342 0.298135042 0.039946638
[12559] 0.541612327 0.411362678 0.047025025 0.863851428 0.116262116 0.019886484
[12565] 0.713116944 0.249735475 0.037147600 0.764438570 0.206475019 0.029086389
[12571] 0.012499630 0.106437258 0.881063104 0.013997935 0.085777968 0.900224149
[12577] 0.015546568 0.136934981 0.847518444 0.015550938 0.152308211 0.832140863
[12583] 0.007190425 0.187238246 0.805571377 0.342049569 0.576021910 0.081928484
[12589] 0.673497856 0.290426463 0.036075622 0.476088345 0.488798201 0.035113461
[12595] 0.750620484 0.221420527 0.027959017 0.787543535 0.188837305 0.023619153
[12601] 0.669928133 0.287523270 0.042548593 0.795171976 0.191412657 0.013415386
[12607] 0.620611012 0.344882786 0.034506153 0.014664380 0.090791143 0.894544482
[12613] 0.021578981 0.151989207 0.826431870 0.016084185 0.095662259 0.888253570
[12619] 0.002895314 0.024552111 0.972552538 0.601786673 0.342669696 0.055543624
[12625] 0.702580929 0.282263637 0.015155473 0.670876026 0.302600503 0.026523501
[12631] 0.695780516 0.220096290 0.084123187 0.762946844 0.209325552 0.027727595
[12637] 0.811806560 0.176174104 0.012019344 0.420328051 0.465015799 0.114656098
[12643] 0.695715249 0.266468763 0.037816040 0.858448446 0.129955873 0.011595681
[12649] 0.366009682 0.585597217 0.048393089 0.555434346 0.421132863 0.023432810
[12655] 0.819759250 0.169625133 0.010615577 0.689468861 0.288314193 0.022216925
[12661] 0.015086737 0.116756812 0.868156493 0.055847619 0.249589324 0.694563031
[12667] 0.016295070 0.172189951 0.811514914 0.636682928 0.321657002 0.041660056
[12673] 0.050262056 0.831748128 0.117989838 0.515464365 0.417067319 0.067468330
[12679] 0.673711061 0.293639779 0.032649148 0.293232352 0.487082571 0.219685107
[12685] 0.902949154 0.090430342 0.006620468 0.472161502 0.465718865 0.062119674
[12691] 0.832244813 0.156034395 0.011720805 0.681632280 0.281618536 0.036749128
[12697] 0.608743489 0.288280725 0.102975786 0.869376957 0.124686264 0.005936806
[12703] 0.301727384 0.180177391 0.518095255 0.202172756 0.448412836 0.349414349
[12709] 0.178983435 0.313292563 0.507723987 0.488909751 0.467918456 0.043171775
[12715] 0.797895551 0.163730770 0.038373679 0.763044357 0.204839662 0.032116007
[12721] 0.858695745 0.129794180 0.011510108 0.754237473 0.225327045 0.020435490
[12727] 0.728334725 0.248525292 0.023140017 0.479650319 0.275691211 0.244658470
[12733] 0.019027255 0.077773057 0.903199673 0.017676326 0.105752356 0.876571357
[12739] 0.019278405 0.089254647 0.891466975 0.624276459 0.337722540 0.038000993
[12745] 0.494768858 0.442648798 0.062582277 0.591782808 0.370382160 0.037835054
[12751] 0.708900332 0.250649691 0.040449977 0.777898252 0.204612046 0.017489733
[12757] 0.592843890 0.346695781 0.060460273 0.693670869 0.289292127 0.017037040
[12763] 0.699832141 0.265175074 0.034992766 0.761418402 0.222856030 0.015725542
[12769] 0.551014602 0.331409335 0.117576078 0.251694083 0.715977073 0.032328825
[12775] 0.287111431 0.540608227 0.172280341 0.681913078 0.226794749 0.091292173
[12781] 0.047550123 0.830343366 0.122106455 0.845579803 0.134836182 0.019584006
[12787] 0.769645870 0.208756864 0.021597296 0.859930277 0.128250659 0.011819058
[12793] 0.866580009 0.123276561 0.010143478 0.557443619 0.391621977 0.050934382
[12799] 0.685382545 0.277873456 0.036743972 0.898496807 0.089895710 0.011607458
[12805] 0.374634027 0.570870042 0.054495897 0.033493135 0.159728616 0.806778193
[12811] 0.013264202 0.097571217 0.889164567 0.013900748 0.092228062 0.893871129
[12817] 0.814535499 0.171751469 0.013713025 0.832189441 0.158568189 0.009242374
[12823] 0.584247470 0.289686084 0.126066417 0.484364957 0.455106139 0.060528848
[12829] 0.744561136 0.190711111 0.064727746 0.707926869 0.258329451 0.033743672
[12835] 0.593599141 0.355948508 0.050452363 0.843003809 0.119090647 0.037905533
[12841] 0.585980415 0.176562130 0.237457454 0.742151201 0.227364436 0.030484341
[12847] 0.879905045 0.106133766 0.013961222 0.730636537 0.249401808 0.019961717
[12853] 0.506146252 0.474115461 0.019738292 0.362101853 0.588498712 0.049399450
[12859] 0.599136770 0.357703358 0.043159839 0.758451462 0.202317402 0.039231122
[12865] 0.871693373 0.121352188 0.006954373 0.031815607 0.202732876 0.765451491
[12871] 0.026444826 0.131443769 0.842111349 0.021116890 0.109411873 0.869471252
[12877] 0.021069817 0.120440565 0.858489633 0.015478155 0.084630646 0.899891257
[12883] 0.013493855 0.107559487 0.878946662 0.007204358 0.059898980 0.932896674
[12889] 0.834013700 0.150500715 0.015485595 0.599446118 0.340732485 0.059821356
[12895] 0.760029197 0.227601469 0.012369359 0.656886160 0.302354902 0.040758893
[12901] 0.642195046 0.322597146 0.035207778 0.672548115 0.268360645 0.059091218
[12907] 0.852589726 0.128757939 0.018652335 0.657780707 0.301451117 0.040768221
[12913] 0.534992695 0.347199708 0.117807627 0.414233446 0.488873690 0.096892811
[12919] 0.524504304 0.434500039 0.040995643 0.623681068 0.317674428 0.058644507
[12925] 0.014895795 0.061223168 0.923881054 0.010889918 0.074861281 0.914248824
[12931] 0.027890636 0.160656452 0.811452925 0.025472019 0.096988648 0.877539337
[12937] 0.021137422 0.124014139 0.854848444 0.786381006 0.203796968 0.009822018
[12943] 0.768413663 0.206739396 0.024846980 0.645239294 0.301767230 0.052993540
[12949] 0.833570898 0.160855502 0.005573672 0.693757176 0.265427142 0.040815689
[12955] 0.423358828 0.463695258 0.112945899 0.632175922 0.322543740 0.045280326
[12961] 0.622871280 0.352104604 0.025024120 0.668188572 0.296882540 0.034928896
[12967] 0.548197627 0.433322281 0.018480094 0.836196065 0.153087780 0.010716086
[12973] 0.210894227 0.251655191 0.537450552 0.655314386 0.232790589 0.111895002
[12979] 0.702383697 0.256351590 0.041264694 0.715820134 0.272806525 0.011373349
[12985] 0.010936006 0.063464314 0.925599694 0.025818896 0.120363489 0.853817642
[12991] 0.885698318 0.100474067 0.013827664 0.902725160 0.084202178 0.013072628
[12997] 0.496234447 0.455597907 0.048167698 0.888990343 0.102311008 0.008698655
[13003] 0.840466082 0.149498895 0.010034988 0.228333294 0.595729649 0.175937057
[13009] 0.014320580 0.094263844 0.891415536 0.018022649 0.121642023 0.860335350
[13015] 0.512301087 0.394657522 0.093041368 0.843846679 0.138859957 0.017293369
[13021] 0.567465603 0.365986377 0.066547982 0.772351086 0.204112470 0.023536403
[13027] 0.756251872 0.207360059 0.036388047 0.709741890 0.256178558 0.034079552
[13033] 0.864022851 0.126345247 0.009631910 0.863251090 0.126299948 0.010448985
[13039] 0.829604328 0.158243224 0.012152465 0.693300545 0.271276802 0.035422619
[13045] 0.524318516 0.422718138 0.052963357 0.716857851 0.275755435 0.007386712
[13051] 0.562332511 0.380681157 0.056986295 0.491786808 0.461353719 0.046859477
[13057] 0.554111660 0.412933409 0.032954924 0.291270077 0.574876964 0.133852974
[13063] 0.285501182 0.640833557 0.073665217 0.873806238 0.116730288 0.009463496
[13069] 0.028635669 0.184263662 0.787100673 0.014096874 0.089576900 0.896326244
[13075] 0.012407683 0.087907955 0.899684310 0.629527330 0.339309335 0.031163296
[13081] 0.707642972 0.255972743 0.036384277 0.852373719 0.135519460 0.012106790
[13087] 0.805822015 0.182888642 0.011289356 0.800788999 0.177468836 0.021742212
[13093] 0.814707279 0.168019459 0.017273284 0.710845888 0.262192011 0.026962070
[13099] 0.733110666 0.221485108 0.045404192 0.684899926 0.264424354 0.050675713
[13105] 0.541550994 0.390794814 0.067654215 0.853957295 0.140869319 0.005173342
[13111] 0.783818841 0.201535538 0.014645654 0.849771261 0.133735582 0.016493147
[13117] 0.632464945 0.327003330 0.040531702 0.002834772 0.014703790 0.982461393
[13123] 0.042836927 0.164399222 0.792763889 0.016381107 0.113916822 0.869702101
[13129] 0.028107556 0.197963879 0.773928583 0.048721280 0.134204835 0.817073941
[13135] 0.587081373 0.384927362 0.027991276 0.331873685 0.567760170 0.100366160
[13141] 0.900071442 0.093699045 0.006229543 0.861534238 0.123504996 0.014960743
[13147] 0.643061936 0.338271558 0.018666480 0.644258916 0.329692155 0.026048968
[13153] 0.778043687 0.204711899 0.017244417 0.601676166 0.363108397 0.035215449
[13159] 0.682590604 0.209192738 0.108216621 0.670491040 0.249327213 0.080181710
[13165] 0.818828702 0.164043948 0.017127348 0.255430371 0.637367666 0.107201964
[13171] 0.850483537 0.143975496 0.005541024 0.623124897 0.356054187 0.020820985
[13177] 0.130453914 0.206789479 0.662756622 0.841015875 0.148019761 0.010964287
[13183] 0.017360061 0.109318785 0.873321176 0.002135797 0.130563349 0.867300808
[13189] 0.007684974 0.118941635 0.873373389 0.013021456 0.118272260 0.868706226
[13195] 0.061616659 0.188415483 0.749967873 0.021248607 0.182014778 0.796736598
[13201] 0.004806032 0.051786929 0.943406999 0.033903200 0.142845213 0.823251545
[13207] 0.659120619 0.300644249 0.040235169 0.655039847 0.326206595 0.018753536
[13213] 0.303326607 0.604940414 0.091733031 0.692795932 0.280863225 0.026340870
[13219] 0.908768356 0.085507222 0.005724429 0.566405714 0.349121660 0.084472649
[13225] 0.675637543 0.306138694 0.018223738 0.334440857 0.614738345 0.050820783
[13231] 0.262008786 0.721245706 0.016745519 0.619381249 0.351303577 0.029315202
[13237] 0.435786337 0.384664059 0.179549620 0.496737748 0.463550776 0.039711457
[13243] 0.094757520 0.617139995 0.288102478 0.396366864 0.534695208 0.068937920
[13249] 0.702607870 0.276598692 0.020793464 0.466181427 0.494089782 0.039728820
[13255] 0.263630003 0.634595633 0.101774342 0.330805480 0.629812419 0.039382152
[13261] 0.283429682 0.598259747 0.118310586 0.689440310 0.280943125 0.029616522
[13267] 0.268681973 0.674809933 0.056508094 0.640300155 0.343584448 0.016115399
[13273] 0.697733402 0.271443248 0.030823344 0.470103472 0.455275834 0.074620761
[13279] 0.226831093 0.665307105 0.107861780 0.838321686 0.149897680 0.011780605
[13285] 0.788579762 0.203029513 0.008390762 0.665925980 0.310383439 0.023690622
[13291] 0.821823478 0.164447442 0.013729032 0.019009694 0.124314658 0.856675625
[13297] 0.013117438 0.088409483 0.898473024 0.019561950 0.110156566 0.870281518
[13303] 0.011805704 0.071623467 0.916570783 0.005780271 0.056223564 0.937996209
[13309] 0.007156692 0.080439880 0.912403464 0.191764012 0.171781555 0.636454403
[13315] 0.727043331 0.250118285 0.022838337 0.757432103 0.234440655 0.008127307
[13321] 0.706719458 0.273052931 0.020227576 0.599198282 0.362073958 0.038727753
[13327] 0.837768614 0.153663874 0.008567536 0.718155086 0.234035045 0.047809850
[13333] 0.853420317 0.134189188 0.012390511 0.868940234 0.119913898 0.011145937
[13339] 0.858686328 0.119826518 0.021487139 0.704634726 0.263144821 0.032220479
[13345] 0.849946320 0.119316787 0.030736914 0.562815309 0.394224226 0.042960458
[13351] 0.729147673 0.250882417 0.019969845 0.830052853 0.154311374 0.015635815
[13357] 0.878010869 0.112398624 0.009590515 0.854728162 0.138093099 0.007178759
[13363] 0.833109617 0.154286265 0.012604172 0.704549134 0.260886699 0.034564205
[13369] 0.566953778 0.391386151 0.041660100 0.782517195 0.181092292 0.036390480
[13375] 0.734999597 0.234602377 0.030397976 0.330779046 0.342067808 0.327153146
[13381] 0.876205444 0.101001188 0.022793345 0.697110057 0.246808425 0.056081526
[13387] 0.720421731 0.238141626 0.041436635 0.810133874 0.172002599 0.017863519
[13393] 0.643490493 0.312097967 0.044411551 0.823292077 0.134933978 0.041773930
[13399] 0.475170791 0.398880541 0.125948638 0.859932601 0.106866203 0.033201259
[13405] 0.338565409 0.572871387 0.088563226 0.330919147 0.563301623 0.105779208
[13411] 0.611814916 0.329082012 0.059103135 0.216980562 0.715986550 0.067032889
[13417] 0.434268087 0.400146872 0.165585071 0.841602147 0.139775261 0.018622598
[13423] 0.382656068 0.596137583 0.021206323 0.542882204 0.395007312 0.062110528
[13429] 0.644282460 0.321065396 0.034652144 0.853139639 0.140285179 0.006575234
[13435] 0.021218983 0.093786843 0.884994149 0.003965022 0.028406022 0.967629015
[13441] 0.022653595 0.122004531 0.855341852 0.040183429 0.269996822 0.689819753
[13447] 0.012945979 0.068916187 0.918137848 0.004505529 0.031471785 0.964022636
[13453] 0.056018215 0.161621675 0.782360077 0.019543666 0.103998832 0.876457512
[13459] 0.066389903 0.248660058 0.684949994 0.013872579 0.101799823 0.884327650
[13465] 0.858326852 0.130527988 0.011145094 0.600141883 0.298232168 0.101625994
[13471] 0.621603429 0.331635088 0.046761509 0.790305674 0.191508546 0.018185794
[13477] 0.848465502 0.138041854 0.013492597 0.758714378 0.223101392 0.018184185
[13483] 0.676095665 0.273711413 0.050192971 0.721756637 0.246975645 0.031267677
[13489] 0.406350940 0.323231488 0.270417601 0.613393188 0.257799476 0.128807351
[13495] 0.826078057 0.166939497 0.006982478 0.824366450 0.164923936 0.010709587
[13501] 0.542945981 0.334547520 0.122506469 0.607838452 0.328788400 0.063373201
[13507] 0.192097872 0.503401160 0.304500997 0.019051543 0.123515509 0.857432961
[13513] 0.021974923 0.122911341 0.855113804 0.005068881 0.257119209 0.737811923
[13519] 0.784797132 0.196300730 0.018902147 0.709343433 0.254271775 0.036384769
[13525] 0.415064186 0.507662356 0.077273428 0.874967635 0.112793781 0.012238527
[13531] 0.862311065 0.123323023 0.014365924 0.510039151 0.448455542 0.041505292
[13537] 0.799239397 0.180681810 0.020078823 0.451131850 0.469758183 0.079109959
[13543] 0.070667230 0.842201471 0.087131277 0.239143267 0.532417715 0.228439063
[13549] 0.700983822 0.273477167 0.025538996 0.451707482 0.352305651 0.195986897
[13555] 0.731746078 0.246406078 0.021847839 0.605076790 0.234916911 0.160006315
[13561] 0.454568148 0.342181981 0.203249857 0.170272008 0.727647841 0.102080204
[13567] 0.631183386 0.328057349 0.040759254 0.289745212 0.503163636 0.207091153
[13573] 0.639570236 0.340320855 0.020108942 0.028551543 0.141952470 0.829495966
[13579] 0.022968665 0.135224253 0.841807067 0.011669815 0.064313099 0.924017131
[13585] 0.020899776 0.136339828 0.842760444 0.007191747 0.051404290 0.941403985
[13591] 0.023506885 0.140501052 0.835992098 0.015136369 0.085486688 0.899376929
[13597] 0.013806745 0.072428226 0.913765073 0.018438218 0.106375933 0.875185847
[13603] 0.735043108 0.225683019 0.039273873 0.846849918 0.112260468 0.040889654
[13609] 0.818852246 0.162782580 0.018365171 0.823288083 0.166866824 0.009845098
[13615] 0.560483396 0.360566586 0.078950025 0.469567180 0.477484763 0.052948095
[13621] 0.330868810 0.534291625 0.134839609 0.469486535 0.503725052 0.026788391
[13627] 0.626439750 0.318244308 0.055315994 0.606861591 0.327380508 0.065757893
[13633] 0.621899366 0.304508954 0.073591709 0.605078757 0.332165718 0.062755518
[13639] 0.727073550 0.230226770 0.042699710 0.586522222 0.325102746 0.088375024
[13645] 0.626242042 0.316564649 0.057193279 0.783912063 0.182523504 0.033564374
[13651] 0.024394119 0.841437459 0.134168446 0.631713748 0.326755017 0.041531291
[13657] 0.002767695 0.020422881 0.976809442 0.016848212 0.064619601 0.918532193
[13663] 0.007711976 0.065438144 0.926849902 0.053474091 0.176541582 0.769984305
[13669] 0.003562472 0.227880150 0.768557370 0.775791645 0.168528005 0.055680357
[13675] 0.734969914 0.232679322 0.032350767 0.643898010 0.341219902 0.014882086
[13681] 0.739121974 0.250973165 0.009904831 0.843797863 0.139544338 0.016657766
[13687] 0.341609895 0.629165709 0.029224413 0.911495090 0.079682045 0.008822847
[13693] 0.717730105 0.249798954 0.032470912 0.108923644 0.267413914 0.623662472
[13699] 0.020144686 0.150366366 0.829488993 0.014974285 0.064154267 0.920871496
[13705] 0.675954759 0.285657287 0.038387954 0.834793448 0.150062531 0.015143997
[13711] 0.470266342 0.414178282 0.115555421 0.893927515 0.098883219 0.007189269
[13717] 0.821139157 0.157307476 0.021553392 0.032595161 0.184752226 0.782652557
[13723] 0.014011309 0.089089207 0.896899521 0.706642270 0.258352071 0.035005689
[13729] 0.540662110 0.329655290 0.129682600 0.792052984 0.191530585 0.016416434
[13735] 0.578686059 0.392280281 0.029033631 0.652440667 0.323217422 0.024341894
[13741] 0.427919626 0.520639896 0.051440462 0.680174768 0.278486401 0.041338805
[13747] 0.538938224 0.319257498 0.141804263 0.142436415 0.693670094 0.163893461
[13753] 0.358626187 0.429481924 0.211891890 0.777339876 0.207331210 0.015328966
[13759] 0.848719716 0.142116323 0.009163948 0.678260982 0.301812977 0.019926008
[13765] 0.202577710 0.301906586 0.495515764 0.846674860 0.141876340 0.011448826
[13771] 0.729179502 0.219593540 0.051226988 0.651666403 0.296841264 0.051492386
[13777] 0.524788916 0.400330812 0.074880280 0.894205809 0.087377213 0.018416973
[13783] 0.577842474 0.313993216 0.108164288 0.015369456 0.114032276 0.870598316
[13789] 0.026210563 0.139522150 0.834267259 0.310215086 0.596021056 0.093763851
[13795] 0.016815556 0.122780748 0.860403657 0.016399132 0.081994668 0.901606202
[13801] 0.105994500 0.290464610 0.603540897 0.039326195 0.189040795 0.771633029
[13807] 0.005841823 0.203125015 0.791033208 0.012384968 0.103861816 0.883753240
[13813] 0.723196030 0.252095938 0.024708068 0.665800929 0.268223852 0.065975174
[13819] 0.668197870 0.258420736 0.073381402 0.574696958 0.363441020 0.061861977
[13825] 0.601741731 0.333310604 0.064947642 0.044954114 0.170544893 0.784501016
[13831] 0.006572365 0.096893378 0.896534204 0.508689344 0.415343374 0.075967245
[13837] 0.046538416 0.252919734 0.700541854 0.033891130 0.228344202 0.737764657
[13843] 0.010982264 0.052427001 0.936590791 0.756740451 0.228977755 0.014281797
[13849] 0.550793231 0.333850622 0.115356185 0.673919141 0.289177358 0.036903482
[13855] 0.436549574 0.318663031 0.244787440 0.011543071 0.104552172 0.883904755
[13861] 0.016922083 0.152060747 0.831017137 0.689612091 0.274699301 0.035688583
[13867] 0.873702824 0.119788326 0.006508831 0.011005274 0.170806617 0.818188131
[13873] 0.003299268 0.066166356 0.930534363 0.015950069 0.105533138 0.878516793
[13879] 0.004795862 0.136899754 0.858304381 0.009884859 0.120599173 0.869515955
[13885] 0.009600900 0.138629407 0.851769686 0.017831963 0.121013537 0.861154437
[13891] 0.016646883 0.084993877 0.898359239 0.087439604 0.792616546 0.119943842
[13897] 0.016854594 0.104647420 0.878498018 0.622403920 0.242792591 0.134803534
[13903] 0.014178809 0.080925018 0.904896140 0.021795301 0.139886558 0.838318169
[13909] 0.013554352 0.119216032 0.867229640 0.006415179 0.041556787 0.952027977
[13915] 0.025318461 0.102044277 0.872637272 0.021131705 0.119747624 0.859120667
[13921] 0.015003205 0.110746749 0.874249995 0.034432773 0.138272688 0.827294588
[13927] 0.051101167 0.151052177 0.797846675 0.002305909 0.124981940 0.872712195
[13933] 0.034528702 0.180954412 0.784516871 0.008991999 0.099230543 0.891777456
[13939] 0.012720279 0.090079449 0.897200286 0.031253617 0.106269464 0.862476885
[13945] 0.435155153 0.326433361 0.238411412 0.341731280 0.507884085 0.150384605
[13951] 0.008858765 0.064306952 0.926834226 0.007882848 0.119039252 0.873077929
[13957] 0.048896059 0.223702982 0.727400959 0.025127873 0.120611221 0.854260921
[13963] 0.040722616 0.097758979 0.861518383 0.060026873 0.089519016 0.850454092
[13969] 0.037032619 0.105220146 0.857747257 0.017696802 0.094723113 0.887580097
[13975] 0.023630617 0.106359586 0.870009840 0.022497443 0.128289834 0.849212706
[13981] 0.433103263 0.527037978 0.039858785 0.015292968 0.089260727 0.895446301
[13987] 0.030757567 0.243986249 0.725256205 0.894765019 0.098783292 0.006451665
[13993] 0.032736655 0.185420796 0.781842530 0.037513450 0.182196319 0.780290246
[13999] 0.025906442 0.091440573 0.882652998 0.002790461 0.022304229 0.974905312
[14005] 0.029201604 0.147324011 0.823474348 0.010277963 0.046076365 0.943645656
[14011] 0.009990755 0.116681553 0.873327732 0.028407836 0.104205772 0.867386341
[14017] 0.032735925 0.221725166 0.745538950 0.072325289 0.223886713 0.703787982
[14023] 0.008674829 0.079521738 0.911803424 0.006876574 0.041217074 0.951906323
[14029] 0.014665227 0.163541898 0.821792841 0.030615300 0.120306320 0.849078357
[14035] 0.832013726 0.155588701 0.012397606 0.038559698 0.219384819 0.742055416
[14041] 0.467040420 0.286266178 0.246693432 0.022131428 0.128020927 0.849847615
[14047] 0.014356373 0.137957305 0.847686291 0.028086679 0.148656309 0.823257029
[14053] 0.853631675 0.125353545 0.021014784 0.072314896 0.198161721 0.729523420
[14059] 0.014756753 0.064286888 0.920956314 0.010279394 0.050178632 0.939541936
[14065] 0.002892099 0.072525486 0.924582422 0.010551016 0.149106607 0.840342402
[14071] 0.010698420 0.226697072 0.762604535 0.003801057 0.020369628 0.975829244
[14077] 0.783872902 0.174123675 0.042003393 0.004257939 0.017312676 0.978429317
[14083] 0.018191863 0.084253155 0.897554994 0.017881207 0.122859307 0.859259427
[14089] 0.013751864 0.129935488 0.856312633 0.840711117 0.132350013 0.026938859
[14095] 0.020890316 0.136970341 0.842139304 0.003387426 0.085107431 0.911505103
[14101] 0.014895570 0.087620609 0.897483826 0.013311320 0.111479796 0.875208855
[14107] 0.006842610 0.104677334 0.888480127 0.035563760 0.163454488 0.800981760
[14113] 0.026402954 0.157225445 0.816371620 0.018806987 0.114114888 0.867078125
[14119] 0.021366354 0.118247539 0.860386133 0.012469285 0.055280864 0.932249844
[14125] 0.028067684 0.195765659 0.776166618 0.093346104 0.330168515 0.576485336
[14131] 0.015147679 0.120483868 0.864368498 0.047699787 0.182405576 0.769894660
[14137] 0.831650734 0.156976014 0.011373259 0.016243400 0.094402634 0.889353931
[14143] 0.002524322 0.016586868 0.980888784 0.090375319 0.705365896 0.204258740
[14149] 0.833252490 0.147647008 0.019100452 0.008145962 0.207932055 0.783921957
[14155] 0.029983658 0.154177293 0.815839052 0.018269094 0.176980272 0.804750621
[14161] 0.004371695 0.027771121 0.967857182 0.011450537 0.064203933 0.924345553
[14167] 0.268890947 0.560144782 0.170964301 0.026089910 0.150862664 0.823047400
[14173] 0.021769674 0.154685900 0.823544443 0.059788600 0.153148830 0.787062585
[14179] 0.032323495 0.211766481 0.755910039 0.661062360 0.322101593 0.016836002
[14185] 0.010383938 0.043649387 0.945966661 0.026417537 0.169089660 0.804492772
[14191] 0.035775937 0.115784444 0.848439574 0.023593925 0.108046338 0.868359745
[14197] 0.047862992 0.166821748 0.785315275 0.019122278 0.189274326 0.791603446
[14203] 0.019486224 0.119907498 0.860606253 0.022593440 0.147751689 0.829654872
[14209] 0.726739347 0.183685869 0.089574710 0.034356449 0.350903094 0.614740431
[14215] 0.032418750 0.166875049 0.800706208 0.010340640 0.139076889 0.850582480
[14221] 0.030921353 0.125781730 0.843296945 0.043271419 0.166540444 0.790188134
[14227] 0.181132659 0.238170221 0.580697119 0.015981117 0.210952684 0.773066223
[14233] 0.009841602 0.071459696 0.918698728 0.014390954 0.063202627 0.922406375
[14239] 0.012987980 0.154778704 0.832233310 0.028976860 0.165220574 0.805802584
[14245] 0.005644720 0.075009063 0.919346273 0.023154411 0.164539710 0.812305868
[14251] 0.051528435 0.176874056 0.771597564 0.006786887 0.063829727 0.929383397
[14257] 0.013109203 0.083161429 0.903729320 0.004628991 0.081476115 0.913894832
[14263] 0.016366215 0.166481405 0.817152321 0.106526449 0.132375494 0.761098027
[14269] 0.008986662 0.123065017 0.867948353 0.029960465 0.166439563 0.803599954
[14275] 0.015550329 0.087754570 0.896695137 0.022297198 0.142609671 0.835093081
[14281] 0.003426079 0.070143849 0.926430106 0.007937930 0.201267317 0.790794790
[14287] 0.002858712 0.147277474 0.849863827 0.945152462 0.050385851 0.004461717
[14293] 0.027898818 0.186416492 0.785684705 0.013777291 0.081808202 0.904414475
[14299] 0.028256049 0.903038383 0.068705514 0.632332444 0.174249783 0.193417788
[14305] 0.692242026 0.270891756 0.036866285 0.009213690 0.064451173 0.926335096
[14311] 0.017890317 0.085255831 0.896853864 0.043608386 0.256066144 0.700325429
[14317] 0.047404356 0.135996729 0.816598952 0.241500482 0.303083003 0.455416501
[14323] 0.071000323 0.107084908 0.821914732 0.723524034 0.245597288 0.030878652
[14329] 0.008002974 0.081657767 0.910339296 0.004747218 0.254288256 0.740964472
[14335] 0.014523345 0.078997701 0.906478941 0.029208316 0.101597011 0.869194627
[14341] 0.018276010 0.108247168 0.873476863 0.789314032 0.173855081 0.036830891
[14347] 0.033419941 0.178271726 0.788308322 0.657845438 0.298801929 0.043352619
[14353] 0.007828803 0.093220823 0.898950398 0.029755583 0.193467990 0.776776373
[14359] 0.006003899 0.037046123 0.956949949 0.039653149 0.214434460 0.745912373
[14365] 0.010609162 0.115585662 0.873805165 0.842321634 0.144024625 0.013653700
[14371] 0.025531258 0.162208229 0.812260509 0.014048820 0.084514908 0.901436269
[14377] 0.524161994 0.421471059 0.054366961 0.003339733 0.203814447 0.792845845
[14383] 0.006819983 0.044972703 0.948207319 0.032139216 0.158444017 0.809416831
[14389] 0.010929670 0.078264870 0.910805523 0.040832821 0.136923686 0.822243512
[14395] 0.104986303 0.337774754 0.557238936 0.369292676 0.366967350 0.263739944
[14401] 0.036584415 0.180955231 0.782460332 0.030518360 0.136591718 0.832889915
[14407] 0.047727387 0.219458535 0.732814074 0.007849583 0.095635250 0.896515131
[14413] 0.003508704 0.027205255 0.969286084 0.003392251 0.060692739 0.935914993
[14419] 0.017825285 0.114033066 0.868141651 0.550359011 0.348184407 0.101456575
[14425] 0.007668341 0.322119415 0.670212269 0.652539968 0.319113106 0.028346928
[14431] 0.012452083 0.080955923 0.906592011 0.026702799 0.144559860 0.828737378
[14437] 0.011853822 0.076499052 0.911647141 0.811029136 0.152702689 0.036268197
[14443] 0.693003893 0.283828765 0.023167336 0.056774132 0.220354125 0.722871780
[14449] 0.013090174 0.091600820 0.895308971 0.050184075 0.257587075 0.692228854
[14455] 0.014775670 0.138221413 0.847002983 0.671046674 0.291498125 0.037455201
[14461] 0.652382970 0.302504659 0.045112375 0.650850058 0.301930517 0.047219418
[14467] 0.712755978 0.263617277 0.023626752 0.013365164 0.061625622 0.925009251
[14473] 0.035217233 0.103061959 0.861720800 0.004510516 0.380912185 0.614577293
[14479] 0.008675055 0.106267206 0.885057688 0.006308536 0.305125445 0.688565969
[14485] 0.028534930 0.159466162 0.811998904 0.046584565 0.217450708 0.735964775
[14491] 0.007465771 0.195305839 0.797228396 0.019205235 0.084504932 0.896289885
[14497] 0.012567759 0.113062866 0.874369383 0.055386782 0.246862680 0.697750509
[14503] 0.016451769 0.074227214 0.909321010 0.040975794 0.148062319 0.810961843
[14509] 0.725607872 0.260241926 0.014150232 0.015847024 0.101898454 0.882254481
[14515] 0.019736940 0.145204499 0.835058630 0.011403165 0.149706736 0.838890076
[14521] 0.028398583 0.243615970 0.727985442 0.020730328 0.164408043 0.814861655
[14527] 0.017160283 0.096481919 0.886357784 0.408012182 0.274317622 0.317670226
[14533] 0.781064689 0.204588100 0.014347226 0.750698030 0.238347441 0.010954523
[14539] 0.752207279 0.231424794 0.016367918 0.668223441 0.302965045 0.028811503
[14545] 0.185815394 0.235010549 0.579174101 0.003268594 0.113119505 0.883611917
[14551] 0.025197042 0.089368887 0.885434091 0.039690208 0.205911025 0.754398763
[14557] 0.030140202 0.144684598 0.825175166 0.013304435 0.144569829 0.842125714
[14563] 0.050707757 0.254917830 0.694374382 0.033839088 0.076490819 0.889670134
[14569] 0.031554405 0.118965678 0.849479914 0.004593423 0.021731135 0.973675430
[14575] 0.012366163 0.103840344 0.883793473 0.022821218 0.184949741 0.792229116
[14581] 0.011497708 0.024645228 0.963857055 0.015025783 0.091998160 0.892976046
[14587] 0.008934256 0.089474618 0.901591182 0.005964438 0.046436023 0.947599530
[14593] 0.693874836 0.276692033 0.029433154 0.769463778 0.213479280 0.017056962
[14599] 0.811928511 0.178271279 0.009800229 0.755943418 0.223108664 0.020947928
[14605] 0.768526614 0.213215724 0.018257607 0.472563446 0.262359858 0.265076667
[14611] 0.645099461 0.295310080 0.059590511 0.047029398 0.186856031 0.766114533
[14617] 0.019091439 0.116816036 0.864092588 0.019521026 0.119749807 0.860729158
[14623] 0.038456231 0.193689212 0.767854512 0.028893225 0.154094800 0.817011952
[14629] 0.047867477 0.194799989 0.757332504 0.926338851 0.067138925 0.006522234
[14635] 0.007205606 0.105515406 0.887278974 0.809838057 0.172936678 0.017225243
[14641] 0.027886322 0.177972510 0.794141114 0.735560596 0.243114591 0.021324851
[14647] 0.720006526 0.264669895 0.015323545 0.003930352 0.204277828 0.791791856
[14653] 0.008008250 0.116819210 0.875172496 0.062228054 0.473954946 0.463817000
[14659] 0.155298874 0.595431030 0.249270126 0.027780795 0.305204332 0.667014837
[14665] 0.175464675 0.340907633 0.483627677 0.020617802 0.156437516 0.822944701
[14671] 0.012440890 0.076100208 0.911458850 0.002443789 0.089901522 0.907654643
[14677] 0.003010892 0.170404524 0.826584637 0.006740106 0.031958245 0.961301684
[14683] 0.036677971 0.102813415 0.860508621 0.030372879 0.106149353 0.863477767
[14689] 0.209166199 0.161657497 0.629176319 0.080995433 0.194252774 0.724751830
[14695] 0.768519878 0.210952938 0.020527212 0.030868974 0.141935810 0.827195168
[14701] 0.013344664 0.151101485 0.835553825 0.848275721 0.142912045 0.008812238
[14707] 0.053636622 0.233474970 0.712888420 0.034284737 0.101148613 0.864566624
[14713] 0.048794784 0.112845860 0.838359356 0.137359425 0.386062503 0.476578057
[14719] 0.013971163 0.099791750 0.886237085 0.055066172 0.097561821 0.847371995
[14725] 0.010776226 0.090328783 0.898895025 0.038988139 0.242168769 0.718843043
[14731] 0.445640534 0.372523367 0.181836069 0.002533464 0.072854236 0.924612284
[14737] 0.004873362 0.333652139 0.661474526 0.007179605 0.068435334 0.924385071
[14743] 0.013187560 0.086824507 0.899987876 0.670764625 0.104916304 0.224319100
[14749] 0.712895691 0.255501181 0.031603165 0.834744036 0.154021814 0.011234197
[14755] 0.840379536 0.153685421 0.005935027 0.008463721 0.069791235 0.921745062
[14761] 0.025865011 0.184875801 0.789259195 0.015167044 0.074816279 0.910016656
[14767] 0.038917355 0.202265844 0.758816779 0.022923723 0.060791977 0.916284382
[14773] 0.007959586 0.030692747 0.961347640 0.031431537 0.072666258 0.895902157
[14779] 0.024204541 0.058986496 0.916809022 0.808594525 0.175993353 0.015412103
[14785] 0.041788418 0.125864521 0.832347095 0.035121180 0.058511369 0.906367421
[14791] 0.016962297 0.050923217 0.932114482 0.039123986 0.220686868 0.740189135
[14797] 0.044075321 0.349080682 0.606843948 0.045735102 0.188894913 0.765369952
[14803] 0.049729485 0.313986808 0.636283696 0.069687210 0.641471088 0.288841695
[14809] 0.043537818 0.344275206 0.612186968 0.067049667 0.776510239 0.156440094
[14815] 0.327341765 0.517597616 0.155060679 0.042314257 0.237262130 0.720423639
[14821] 0.069069602 0.367682487 0.563247919 0.023025287 0.045938525 0.931036174
[14827] 0.072377197 0.390872091 0.536750734 0.047627993 0.178762898 0.773609102
[14833] 0.074443370 0.607606888 0.317949712 0.095705800 0.704725623 0.199568570
[14839] 0.141639248 0.470962942 0.387397796 0.026878580 0.109744392 0.863376975
[14845] 0.085535541 0.226573661 0.687890828 0.450386018 0.335279137 0.214334831
[14851] 0.092063554 0.735077620 0.172858834 0.019708954 0.130388558 0.849902451
[14857] 0.078324988 0.264438510 0.657236516 0.059017301 0.294101059 0.646881580
[14863] 0.011146169 0.210161611 0.778692245 0.073328577 0.630625963 0.296045452
[14869] 0.024630301 0.058175329 0.917194307 0.014685999 0.084707193 0.900606751
[14875] 0.055286631 0.396088541 0.548624814 0.069164783 0.579162180 0.351673037
[14881] 0.047300607 0.287239522 0.665459931 0.012234441 0.102230035 0.885535538
[14887] 0.030701535 0.235866264 0.733432174 0.016974287 0.097607829 0.885417819
[14893] 0.213123724 0.620107412 0.166768834 0.085951753 0.513906538 0.400141716
[14899] 0.037112977 0.194966599 0.767920375 0.054815397 0.255244732 0.689939916
[14905] 0.085453331 0.550245464 0.364301205 0.083025821 0.662087262 0.254886925
[14911] 0.138177127 0.736290872 0.125532016 0.081017457 0.715836585 0.203145951
[14917] 0.070791245 0.590354025 0.338854700 0.114434861 0.258887291 0.626677811
[14923] 0.054280471 0.484959722 0.460759819 0.064066313 0.763164103 0.172769621
[14929] 0.027743706 0.286155194 0.686101079 0.026024397 0.279215246 0.694760323
[14935] 0.043368265 0.431158513 0.525473177 0.028833637 0.258063078 0.713103294
[14941] 0.003958280 0.071814120 0.924227655 0.058194265 0.192570686 0.749235034
[14947] 0.068944886 0.677595973 0.253459126 0.008049431 0.093682475 0.898268104
[14953] 0.102038398 0.702610314 0.195351273 0.069928713 0.415861547 0.514209747
[14959] 0.079534188 0.657438636 0.263027132 0.055785101 0.437381029 0.506833851
[14965] 0.008762127 0.081866860 0.909370959 0.057545863 0.343390465 0.599063635
[14971] 0.122644193 0.776362300 0.100993477 0.058685616 0.143346086 0.797968268
[14977] 0.025884170 0.138090461 0.836025357 0.026276460 0.125098854 0.848624766
[14983] 0.023591854 0.196460485 0.779947698 0.115600601 0.644135475 0.240263939
[14989] 0.252303272 0.416227937 0.331468791 0.077085316 0.339481115 0.583433568
[14995] 0.026639549 0.185574993 0.787785411 0.088682182 0.628428519 0.282889247
[15001] 0.022932215 0.171985358 0.805082440 0.036870368 0.197796360 0.765333235
[15007] 0.048482396 0.197659552 0.753858030 0.054438356 0.492018133 0.453543454
[15013] 0.052332461 0.303215444 0.644452095 0.096468136 0.639037549 0.264494359
[15019] 0.033840928 0.180307090 0.785852015 0.080016993 0.512165308 0.407817662
[15025] 0.227513537 0.608096898 0.164389566 0.033282612 0.262326688 0.704390705
[15031] 0.029865103 0.193490431 0.776644409 0.029053934 0.053485677 0.917460382
[15037] 0.086294606 0.696695030 0.217010394 0.037633531 0.365426540 0.596939921
[15043] 0.001589174 0.007293492 0.991117358 0.052151363 0.379753679 0.568094969
[15049] 0.071553215 0.457042307 0.471404433 0.082509279 0.154462442 0.763028324
[15055] 0.040105358 0.231113017 0.728781641 0.061192535 0.740586340 0.198221132
[15061] 0.104692966 0.765127301 0.130179718 0.059088789 0.511021197 0.429890037
[15067] 0.007107941 0.102179833 0.890712202 0.008239289 0.087497883 0.904262781
[15073] 0.003181362 0.127685472 0.869133115 0.006577258 0.113955453 0.879467309
[15079] 0.058206998 0.462135702 0.479657263 0.025621327 0.225678682 0.748699963
[15085] 0.035544004 0.843402624 0.121053346 0.052242585 0.262595206 0.685162187
[15091] 0.401086479 0.380112737 0.218800738 0.107569113 0.727436185 0.164994687
[15097] 0.031385385 0.233695894 0.734918654 0.077944256 0.751475215 0.170580536
[15103] 0.061558064 0.793749988 0.144691944 0.031004850 0.446192265 0.522802889
[15109] 0.007783804 0.070615418 0.921600759 0.131280899 0.562462986 0.306256145
[15115] 0.207683221 0.321607292 0.470709503 0.041450683 0.210462660 0.748086631
[15121] 0.129491448 0.659339666 0.211168885 0.048581883 0.341889590 0.609528542
[15127] 0.047960289 0.286619842 0.665419877 0.062381789 0.779952407 0.157665849
[15133] 0.032277938 0.165711090 0.802010953 0.055795275 0.322611719 0.621592999
[15139] 0.031515330 0.154293045 0.814191580 0.114529215 0.692339182 0.193131596
[15145] 0.007071259 0.076981179 0.915947616 0.149804458 0.748672783 0.101522781
[15151] 0.015302300 0.100402370 0.884295344 0.058946952 0.845808268 0.095244788
[15157] 0.012347266 0.215174243 0.772478461 0.003983547 0.048241060 0.947775364
[15163] 0.003273575 0.179400802 0.817325592 0.005508841 0.092301339 0.902189851
[15169] 0.020149300 0.129808486 0.850042164 0.035457421 0.109966956 0.854575574
[15175] 0.072377130 0.146059602 0.781563282 0.091046892 0.796589136 0.112363942
[15181] 0.024734551 0.222243622 0.753021836 0.026024118 0.095649682 0.878326178
[15187] 0.100336477 0.526027441 0.373636097 0.013365346 0.102832973 0.883801699
[15193] 0.025936507 0.139345273 0.834718168 0.102126092 0.726447523 0.171426311
[15199] 0.017033068 0.065525748 0.917441189 0.097391032 0.766864121 0.135744840
[15205] 0.041334536 0.182267457 0.776398003 0.018589508 0.423140466 0.558270037
[15211] 0.046750803 0.672806263 0.280442894 0.007542937 0.068639182 0.923817873
[15217] 0.007418640 0.071312360 0.921269059 0.040393278 0.253421962 0.706184745
[15223] 0.122886039 0.627922952 0.249191016 0.014059593 0.106799543 0.879140854
[15229] 0.002487666 0.045333844 0.952178538 0.066858381 0.243719220 0.689422429
[15235] 0.009108547 0.111354895 0.879536569 0.004370651 0.179720938 0.815908372
[15241] 0.100647807 0.567782640 0.331569582 0.069373004 0.815326273 0.115300745
[15247] 0.071926765 0.827608526 0.100464724 0.057406798 0.190664172 0.751928985
[15253] 0.050608676 0.454024464 0.495366871 0.011202830 0.083756216 0.905040920
[15259] 0.002339233 0.038167022 0.959493697 0.067384742 0.592709601 0.339905649
[15265] 0.146062031 0.292506814 0.561431170 0.074078180 0.722396672 0.203525156
[15271] 0.036401130 0.191974029 0.771624804 0.014529748 0.155271620 0.830198646
[15277] 0.053513899 0.380891651 0.565594435 0.088853307 0.550068438 0.361078292
[15283] 0.095753007 0.555679560 0.348567456 0.064991944 0.631400704 0.303607374
[15289] 0.056559358 0.255668759 0.687771916 0.024098562 0.128134236 0.847767174
[15295] 0.037894771 0.189525887 0.772579372 0.031128770 0.122514665 0.846356571
[15301] 0.140831918 0.362426996 0.496741086 0.072194062 0.312957555 0.614848375
[15307] 0.025122531 0.745781779 0.229095683 0.006969055 0.031961128 0.961069882
[15313] 0.059681453 0.360053360 0.580265164 0.307254612 0.505055010 0.187690407
[15319] 0.083753370 0.542194664 0.374051958 0.014450935 0.133845076 0.851704001
[15325] 0.034165066 0.203059718 0.762775183 0.032029219 0.219043508 0.748927295
[15331] 0.030381495 0.202661365 0.766957104 0.067316860 0.554184139 0.378498971
[15337] 0.090416677 0.806147039 0.103436328 0.002778549 0.014264380 0.982957125
[15343] 0.036890090 0.248879626 0.714230299 0.030184742 0.230832249 0.738983035
[15349] 0.029620532 0.127945781 0.842433751 0.020023333 0.073021047 0.906955540
[15355] 0.011367546 0.082005836 0.906626582 0.041427944 0.124738976 0.833833039
[15361] 0.012626946 0.155475512 0.831897557 0.103958540 0.533520699 0.362520754
[15367] 0.115938626 0.571289718 0.312771618 0.012889527 0.094584614 0.892525911
[15373] 0.085111007 0.407812178 0.507076800 0.026226781 0.100060984 0.873712242
[15379] 0.005408987 0.338780552 0.655810535 0.011088043 0.093622260 0.895289779
[15385] 0.039504118 0.217720658 0.742775261 0.056478981 0.482676804 0.460844278
[15391] 0.012799957 0.132193118 0.855006933 0.003937548 0.049071074 0.946991384
[15397] 0.021847835 0.122876421 0.855275750 0.051841974 0.143344730 0.804813266
[15403] 0.037643775 0.142627686 0.819728494 0.073818564 0.527737677 0.398443758
[15409] 0.078220710 0.312391728 0.609387517 0.073853351 0.504188538 0.421958148
[15415] 0.027060933 0.209074304 0.763864756 0.056920078 0.258635104 0.684444845
[15421] 0.006739731 0.115522690 0.877737522 0.130513012 0.236306190 0.633180737
[15427] 0.048842452 0.783300459 0.167857111 0.018166894 0.134489819 0.847343326
[15433] 0.012629773 0.071957514 0.915412724 0.002103403 0.128938079 0.868958473
[15439] 0.103245549 0.678329170 0.218425229 0.008816713 0.072098188 0.919085085
[15445] 0.075932197 0.306660533 0.617407322 0.075343400 0.486021459 0.438635111
[15451] 0.043187123 0.741960585 0.214852273 0.030801915 0.139461756 0.829736352
[15457] 0.009155053 0.071934305 0.918910623 0.027903685 0.212514743 0.759581506
[15463] 0.012259157 0.101575330 0.886165559 0.011408666 0.097993553 0.890597761
[15469] 0.091334336 0.773769796 0.134895831 0.001901716 0.032758914 0.965339363
[15475] 0.081649579 0.612010241 0.306340188 0.002096094 0.035449933 0.962453961
[15481] 0.020125782 0.164946511 0.814927697 0.015309397 0.104800195 0.879890442
[15487] 0.005520185 0.074966952 0.919512808 0.092031345 0.583783746 0.324184954
[15493] 0.035960615 0.382957220 0.581082165 0.008919992 0.110699594 0.880380392
[15499] 0.054304939 0.513775826 0.431919247 0.003611106 0.058883067 0.937505841
[15505] 0.004319921 0.142872855 0.852807283 0.025545267 0.184787542 0.789667130
[15511] 0.007212431 0.056624141 0.936163366 0.004832055 0.087982893 0.907185078
[15517] 0.010233850 0.090318538 0.899447560 0.110076889 0.742233157 0.147689924
[15523] 0.045597002 0.177362204 0.777040839 0.012045044 0.086756594 0.901198328
[15529] 0.007573994 0.079086557 0.913339436 0.025327567 0.146134585 0.828537881
[15535] 0.015594210 0.093260601 0.891145170 0.090261482 0.790383875 0.119354650
[15541] 0.064936928 0.373835653 0.561227381 0.001883539 0.061608460 0.936507940
[15547] 0.021714231 0.142223746 0.836062014 0.022791415 0.148364186 0.828844368
[15553] 0.005524728 0.057908356 0.936566949 0.085958347 0.433803767 0.480237931
[15559] 0.125690669 0.208009958 0.666299343 0.025153039 0.491026551 0.483820409
[15565] 0.203135699 0.418314368 0.378549904 0.055482052 0.236006126 0.708511829
[15571] 0.014339975 0.081307717 0.904352248 0.041803930 0.295047313 0.663148761
[15577] 0.096445844 0.554846764 0.348707408 0.007345428 0.094612405 0.898042142
[15583] 0.023003941 0.117230408 0.859765649 0.026406279 0.163929164 0.809664547
[15589] 0.075041771 0.738925934 0.186032325 0.086655997 0.684506834 0.228837132
[15595] 0.023519322 0.254384696 0.722095966 0.023610458 0.292673379 0.683716178
[15601] 0.037382472 0.129194289 0.833423197 0.011803382 0.089593694 0.898602903
[15607] 0.033896677 0.190977216 0.775126159 0.012048787 0.021872200 0.966078997
[15613] 0.151952296 0.609543383 0.238504291 0.016082564 0.082168140 0.901749253
[15619] 0.021322548 0.179664373 0.799013078 0.069832906 0.812192142 0.117974997
[15625] 0.020890066 0.099055596 0.880054295 0.003248649 0.064922787 0.931828618
[15631] 0.015397278 0.171184391 0.813418388 0.014391033 0.158093020 0.827515960
[15637] 0.007324135 0.077790409 0.914885521 0.129511237 0.169732198 0.700756609
[15643] 0.012616643 0.079962209 0.907421172 0.010045843 0.079548821 0.910405397
[15649] 0.077952594 0.777947664 0.144099757 0.530003369 0.384931326 0.085065298
[15655] 0.071121044 0.217734456 0.711144507 0.521739662 0.394928545 0.083331808
[15661] 0.501470387 0.439516276 0.059013341 0.532145739 0.366781950 0.101072297
[15667] 0.684724092 0.282407075 0.032868821 0.452245951 0.428435832 0.119318172
[15673] 0.077259034 0.372046500 0.550694466 0.569344759 0.359077245 0.071577996
[15679] 0.632133603 0.314487755 0.053378612 0.572274923 0.349359602 0.078365445
[15685] 0.544968128 0.391748190 0.063283697 0.527220607 0.350035846 0.122743525
[15691] 0.469725460 0.400217146 0.130057380 0.635701716 0.323279768 0.041018475
[15697] 0.387729824 0.460300773 0.151969463 0.648618519 0.274604172 0.076777287
[15703] 0.290328830 0.408442169 0.301228970 0.530007124 0.406893998 0.063098870
[15709] 0.335125625 0.521599054 0.143275321 0.149512157 0.668340743 0.182147115
[15715] 0.074992411 0.659619570 0.265388072 0.430644184 0.445426941 0.123928830
[15721] 0.372267485 0.456137657 0.171594843 0.641393542 0.283088833 0.075517640
[15727] 0.411124736 0.455463529 0.133411735 0.601608217 0.355603695 0.042788099
[15733] 0.047278393 0.342069209 0.610652447 0.021110443 0.173065901 0.805823624
[15739] 0.124517784 0.696325123 0.179157063 0.766448081 0.226836413 0.006715532
[15745] 0.618196428 0.344424188 0.037379399 0.599483728 0.360946417 0.039569832
[15751] 0.633545280 0.342409700 0.024044964 0.705004692 0.280177265 0.014818055
[15757] 0.630900145 0.327472448 0.041627400 0.843427718 0.148153901 0.008418390
[15763] 0.651886940 0.317112118 0.031000998 0.377444863 0.312180758 0.310374439
[15769] 0.309834957 0.562944293 0.127220735 0.078710504 0.407693624 0.513595879
[15775] 0.671334624 0.299407840 0.029257551 0.036596272 0.266287506 0.697116256
[15781] 0.452443808 0.513482869 0.034073293 0.769803882 0.220872059 0.009324128
[15787] 0.624373853 0.338486701 0.037139490 0.535351992 0.392449558 0.072198458
[15793] 0.579499722 0.379312664 0.041187610 0.502642572 0.429643929 0.067713529
[15799] 0.481178164 0.409255713 0.109566122 0.544958353 0.406196773 0.048844893
[15805] 0.508614242 0.427885622 0.063500158 0.389391899 0.521261394 0.089346670
[15811] 0.662970126 0.316008747 0.021021098 0.599772811 0.362980098 0.037247062
[15817] 0.517707169 0.331767201 0.150525630 0.608554125 0.351729006 0.039716881
[15823] 0.204693899 0.277920604 0.517385483 0.059116781 0.461654782 0.479228437
[15829] 0.579305530 0.371288031 0.049406435 0.583426535 0.345011443 0.071562037
[15835] 0.032124143 0.365603536 0.602272332 0.666493058 0.304213375 0.029293589
[15841] 0.572452724 0.392162234 0.035384998 0.471071482 0.382766843 0.146161646
[15847] 0.503564954 0.407186151 0.089248873 0.551974058 0.411512583 0.036513373
[15853] 0.513204992 0.450719327 0.036075678 0.685022354 0.287480563 0.027497068
[15859] 0.461946130 0.426628739 0.111425102 0.015862089 0.150124133 0.834013760
[15865] 0.015694665 0.156345591 0.827959716 0.577170074 0.348533690 0.074296214
[15871] 0.456568539 0.351473987 0.191957444 0.095605478 0.315178961 0.589215577
[15877] 0.348612487 0.448320091 0.203067437 0.012101680 0.028331172 0.959567130
[15883] 0.499289811 0.379911959 0.120798238 0.555598319 0.368070155 0.076331504
[15889] 0.010510039 0.662792206 0.326697767 0.048238389 0.232091218 0.719670355
[15895] 0.652925432 0.321931452 0.025143066 0.770355523 0.216356441 0.013288025
[15901] 0.751018345 0.232189432 0.016792255 0.022839880 0.158072010 0.819088101
[15907] 0.608414412 0.327775180 0.063810430 0.463375837 0.479993433 0.056630760
[15913] 0.683359981 0.243818209 0.072821788 0.007921891 0.117057018 0.875021160
[15919] 0.013843396 0.279722333 0.706434309 0.408492506 0.479488164 0.112019338
[15925] 0.020782487 0.281075865 0.698141634 0.073217489 0.272471935 0.654310584
[15931] 0.048413135 0.323249191 0.628337681 0.318055719 0.473146051 0.208798259
[15937] 0.319276452 0.441144049 0.239579543 0.440663815 0.491813600 0.067522593
[15943] 0.353800952 0.428990185 0.217208862 0.529020548 0.340272188 0.130707234
[15949] 0.533681810 0.333149314 0.133168876 0.019052353 0.221409723 0.759537935
[15955] 0.495992959 0.429428130 0.074578866 0.484688818 0.401994616 0.113316551
[15961] 0.601259470 0.367359728 0.031380780 0.427296758 0.473534405 0.099168785
[15967] 0.526648164 0.414409846 0.058942035 0.061219607 0.550552189 0.388228178
[15973] 0.517655313 0.336257607 0.146087065 0.026797520 0.861569881 0.111632615
[15979] 0.520508826 0.433364004 0.046127170 0.427890360 0.456611603 0.115498006
[15985] 0.504288852 0.363934159 0.131776929 0.750292003 0.233131051 0.016576987
[15991] 0.728774190 0.250602841 0.020622918 0.699372828 0.277072102 0.023555059
[15997] 0.063440956 0.270854622 0.665704429 0.678545237 0.304538339 0.016916422
[16003] 0.528687060 0.416970551 0.054342415 0.008618060 0.108219430 0.883162558
[16009] 0.745055139 0.231931210 0.023013605 0.018148415 0.172131255 0.809720337
[16015] 0.029841503 0.447907984 0.522250533 0.611767948 0.357570678 0.030661354
[16021] 0.062588356 0.330850720 0.606560946 0.634930074 0.334011495 0.031058429
[16027] 0.023749366 0.290576369 0.685674310 0.038091734 0.485425770 0.476482481
[16033] 0.530071437 0.422736943 0.047191612 0.762230277 0.223097503 0.014672182
[16039] 0.104789257 0.514028609 0.381182134 0.732627571 0.254173100 0.013199275
[16045] 0.862111270 0.131699458 0.006189313 0.124796517 0.554888606 0.320314854
[16051] 0.623228729 0.356248826 0.020522423 0.011756619 0.104785725 0.883457661
[16057] 0.026373411 0.248640060 0.724986494 0.654197872 0.315599382 0.030202715
[16063] 0.623719454 0.351170301 0.025110267 0.025107130 0.237222061 0.737670779
[16069] 0.757911623 0.226525232 0.015563153 0.594964981 0.385336995 0.019697996
[16075] 0.543696225 0.417648256 0.038655549 0.649660349 0.324993551 0.025346128
[16081] 0.031586986 0.271202177 0.697210848 0.582339346 0.382786036 0.034874637
[16087] 0.490251273 0.462881535 0.046867177 0.066873536 0.363751531 0.569374919
[16093] 0.363779306 0.542246819 0.093973860 0.426196247 0.500889301 0.072914422
[16099] 0.693819404 0.289866030 0.016314577 0.693676710 0.269122154 0.037201133
[16105] 0.560424566 0.376069397 0.063506052 0.019195626 0.160498723 0.820305645
[16111] 0.653253913 0.312823772 0.033922330 0.348218739 0.465177178 0.186604038
[16117] 0.750189006 0.228628322 0.021182725 0.710588455 0.276365131 0.013046446
[16123] 0.734524667 0.243902177 0.021573177 0.371081740 0.504041433 0.124876872
[16129] 0.008333786 0.474169880 0.517496288 0.790919542 0.191764295 0.017316166
[16135] 0.578771532 0.343048692 0.078179754 0.047061745 0.242272928 0.710665345
[16141] 0.559658170 0.402096272 0.038245536 0.378190279 0.554278255 0.067531481
[16147] 0.355008096 0.423217744 0.221774161 0.585721433 0.375992298 0.038286261
[16153] 0.071848638 0.187467426 0.740683973 0.582066298 0.389714032 0.028219698
[16159] 0.573938072 0.370229095 0.055832870 0.040567111 0.301266283 0.658166647
[16165] 0.539294660 0.344697654 0.116007671 0.595010698 0.316653281 0.088336013
[16171] 0.658066273 0.311773986 0.030159703 0.078896552 0.380896479 0.540206969
[16177] 0.032049436 0.244988799 0.722961724 0.662397027 0.300260127 0.037342861
[16183] 0.481562406 0.450793087 0.067644551 0.464270055 0.413187414 0.122542545
[16189] 0.050842561 0.134029686 0.815127730 0.383808881 0.535642147 0.080548957
[16195] 0.057836931 0.256599754 0.685563266 0.597944915 0.370611697 0.031443384
[16201] 0.628877163 0.322088391 0.049034435 0.214736432 0.651505768 0.133757785
[16207] 0.303429574 0.415164202 0.281406194 0.073364370 0.410517156 0.516118467
[16213] 0.707191169 0.269877017 0.022931825 0.531420171 0.417196542 0.051383253
[16219] 0.530585289 0.421102613 0.048312090 0.017267797 0.136327177 0.846405089
[16225] 0.724245489 0.255110502 0.020644024 0.705267608 0.255369365 0.039362989
[16231] 0.546407163 0.369547963 0.084044859 0.689139605 0.290326148 0.020534223
[16237] 0.005184141 0.126937419 0.867878497 0.006344500 0.029708935 0.963946581
[16243] 0.593999445 0.327690005 0.078310572 0.438730687 0.427439272 0.133829996
[16249] 0.617032170 0.348759323 0.034208469 0.512675762 0.456589341 0.030734850
[16255] 0.045656659 0.304763556 0.649579823 0.017618895 0.038812503 0.943568587
[16261] 0.417748004 0.441120058 0.141131893 0.497653455 0.443321615 0.059024937
[16267] 0.407806665 0.480126232 0.112067126 0.349110782 0.458378643 0.192510605
[16273] 0.475770086 0.444170475 0.080059409 0.519027352 0.412944853 0.068027787
[16279] 0.501672626 0.402177066 0.096150331 0.737424433 0.242092684 0.020482864
[16285] 0.737520456 0.246723622 0.015755927 0.573654592 0.376783311 0.049562111
[16291] 0.034153048 0.282697380 0.683149576 0.566255987 0.289245218 0.144498780
[16297] 0.803640246 0.184762999 0.011596774 0.099721283 0.448176205 0.452102482
[16303] 0.755039990 0.232138187 0.012821841 0.005217720 0.235033274 0.759748995
[16309] 0.567721128 0.396291614 0.035987228 0.714976966 0.264748931 0.020274088
[16315] 0.509002566 0.418283671 0.072713792 0.040338609 0.265198678 0.694462776
[16321] 0.671579778 0.291340142 0.037080076 0.019160552 0.135449708 0.845389724
[16327] 0.028919475 0.227144122 0.743936419 0.031013975 0.127909794 0.841076195
[16333] 0.599647999 0.363512486 0.036839515 0.582539618 0.375950694 0.041509695
[16339] 0.581367373 0.381313920 0.037318740 0.760244250 0.227373198 0.012382550
[16345] 0.008011081 0.119783327 0.872205555 0.011492310 0.163524434 0.824983239
[16351] 0.050485443 0.536777437 0.412737131 0.315599948 0.617065847 0.067334183
[16357] 0.715224147 0.265539706 0.019236168 0.567979455 0.319602698 0.112417810
[16363] 0.678277612 0.285877049 0.035845332 0.048614655 0.404955566 0.546429753
[16369] 0.101240650 0.671813607 0.226945728 0.052930534 0.356725186 0.590344250
[16375] 0.403815001 0.553726256 0.042458721 0.602715969 0.367548585 0.029735483
[16381] 0.094460778 0.558682680 0.346856594 0.014520028 0.201423138 0.784056842
[16387] 0.570452750 0.349371076 0.080176227 0.630751193 0.349976033 0.019272722
[16393] 0.597526848 0.364735305 0.037737839 0.017924026 0.141874790 0.840201199
[16399] 0.008621777 0.062355474 0.929022729 0.423440844 0.411296189 0.165262938
[16405] 0.617098272 0.359705657 0.023196064 0.542532086 0.406690568 0.050777387
[16411] 0.010106740 0.135306016 0.854587257 0.636207283 0.317891598 0.045901116
[16417] 0.666128457 0.310986131 0.022885460 0.222778618 0.744888783 0.032332614
[16423] 0.693479359 0.284315795 0.022204818 0.596390903 0.352076411 0.051532682
[16429] 0.029212583 0.332725912 0.638061523 0.519021928 0.341826618 0.139151439
[16435] 0.485144883 0.443690181 0.071164906 0.491160512 0.431818962 0.077020466
[16441] 0.210131481 0.416761130 0.373107404 0.025542947 0.208949938 0.765507102
[16447] 0.515664995 0.400927603 0.083407432 0.648414493 0.320609689 0.030975863
[16453] 0.627902448 0.317081720 0.055015802 0.720427811 0.261424035 0.018148189
[16459] 0.647615552 0.291409284 0.060975157 0.779819012 0.211827680 0.008353337
[16465] 0.616199851 0.351098478 0.032701682 0.539838850 0.433077276 0.027083877
[16471] 0.513145506 0.415240407 0.071614064 0.004196203 0.123755917 0.872047901
[16477] 0.089406937 0.325350702 0.585242391 0.725820005 0.258151352 0.016028702
[16483] 0.673322260 0.303064793 0.023612935 0.695211947 0.273483574 0.031304471
[16489] 0.773675442 0.209974214 0.016350351 0.559061766 0.342920333 0.098017924
[16495] 0.680030525 0.304899305 0.015070189 0.816336989 0.176710993 0.006952002
[16501] 0.767654777 0.218486845 0.013858392 0.636038184 0.325225562 0.038736224
[16507] 0.543159127 0.358696729 0.098144181 0.586676240 0.395464540 0.017859260
[16513] 0.467755854 0.373587787 0.158656314 0.650550663 0.302210927 0.047238469
[16519] 0.552177250 0.398405105 0.049417645 0.524557352 0.416439146 0.059003472
[16525] 0.732571363 0.238808990 0.028619671 0.674945116 0.281016439 0.044038460
[16531] 0.625105441 0.334469467 0.040425096 0.842207789 0.144997478 0.012794703
[16537] 0.640351057 0.346494466 0.013154470 0.028614029 0.348021239 0.623364747
[16543] 0.622603297 0.354053319 0.023343414 0.280966967 0.642470658 0.076562427
[16549] 0.637077153 0.338019282 0.024903584 0.821528256 0.161872581 0.016599156
[16555] 0.647177339 0.275397778 0.077424839 0.496790409 0.466618568 0.036591023
[16561] 0.788438737 0.193750560 0.017810745 0.144294813 0.714088619 0.141616598
[16567] 0.586017787 0.396007687 0.017974528 0.755133331 0.218630090 0.026236566
[16573] 0.694706500 0.280889183 0.024404306 0.552755892 0.404601544 0.042642560
[16579] 0.744918525 0.241030216 0.014051242 0.309426039 0.672577620 0.017996313
[16585] 0.369510412 0.508822143 0.121667460 0.015474167 0.201613963 0.782911897
[16591] 0.736294448 0.251305073 0.012400418 0.505609095 0.441923767 0.052467100
[16597] 0.554424584 0.406556845 0.039018556 0.648799598 0.318127006 0.033073410
[16603] 0.731251776 0.246233687 0.022514550 0.505784392 0.397850782 0.096364871
[16609] 0.802709818 0.189365909 0.007924330 0.632124722 0.340420276 0.027455037
[16615] 0.809343457 0.177298337 0.013358161 0.593142688 0.378770560 0.028086796
[16621] 0.740198672 0.232653528 0.027147800 0.475335687 0.444979101 0.079685189
[16627] 0.539898634 0.427503079 0.032598298 0.622342646 0.338374794 0.039282564
[16633] 0.797423184 0.196644127 0.005932720 0.493524045 0.464272827 0.042203154
[16639] 0.510868013 0.429217637 0.059914354 0.443109661 0.359457940 0.197432369
[16645] 0.557343185 0.422741979 0.019914804 0.056020077 0.368910700 0.575069189
[16651] 0.607673943 0.359827548 0.032498498 0.611195505 0.364397585 0.024406947
[16657] 0.072322391 0.465979367 0.461698264 0.530670583 0.415727228 0.053602178
[16663] 0.008095976 0.562670887 0.429233134 0.635968268 0.339266837 0.024764864
[16669] 0.661468685 0.284797758 0.053733598 0.627562344 0.354970187 0.017467488
[16675] 0.384093642 0.551001489 0.064904869 0.565240264 0.360760957 0.073998809
[16681] 0.235027179 0.526026607 0.238946199 0.647338092 0.327301800 0.025360145
[16687] 0.408283919 0.550776005 0.040940072 0.425248563 0.518220663 0.056530748
[16693] 0.615312278 0.345624655 0.039063022 0.581484139 0.375948131 0.042567745
[16699] 0.530971587 0.439557403 0.029471019 0.536883414 0.407071114 0.056045461
[16705] 0.589328647 0.342024177 0.068647116 0.660313845 0.309617847 0.030068325
[16711] 0.702334106 0.279955536 0.017710384 0.025953483 0.783630550 0.190416038
[16717] 0.057965044 0.424804091 0.517230868 0.682470083 0.295785993 0.021743922
[16723] 0.021798151 0.181593195 0.796608686 0.122028187 0.564277649 0.313694179
[16729] 0.433581442 0.468846172 0.097572401 0.373594403 0.475031137 0.151374474
[16735] 0.701897264 0.282717407 0.015385330 0.497208655 0.393306106 0.109485306
[16741] 0.185259342 0.453506529 0.361234158 0.593349278 0.382602155 0.024048539
[16747] 0.375166684 0.475271970 0.149561405 0.699414551 0.273741245 0.026844218
[16753] 0.576413333 0.384907901 0.038678799 0.008449507 0.099880062 0.891670406
[16759] 0.150272310 0.459293187 0.390434474 0.072284386 0.491298288 0.436417282
[16765] 0.567528367 0.394412190 0.038059458 0.570586622 0.416595697 0.012817616
[16771] 0.462996960 0.468440562 0.068562463 0.483763665 0.487212807 0.029023483
[16777] 0.606166005 0.347926885 0.045907114 0.714178860 0.268458366 0.017362786
[16783] 0.634525478 0.335369617 0.030104840 0.018499423 0.184477940 0.797022641
[16789] 0.050635338 0.246611431 0.702753246 0.112126514 0.492955029 0.394918472
[16795] 0.015516489 0.120230988 0.864252567 0.006423567 0.092505194 0.901071191
[16801] 0.006704133 0.078964166 0.914331675 0.326283008 0.373500854 0.300216168
[16807] 0.030346917 0.326350182 0.643302917 0.214256838 0.664212108 0.121531047
[16813] 0.546532154 0.406298012 0.047169898 0.522570491 0.337651670 0.139777839
[16819] 0.581519008 0.387015849 0.031465113 0.228644416 0.428787738 0.342567861
[16825] 0.005336769 0.092611365 0.902051866 0.480295271 0.483701080 0.036003694
[16831] 0.052607439 0.634665966 0.312726587 0.526903868 0.393238157 0.079858012
[16837] 0.568790317 0.381484300 0.049725402 0.003944141 0.181570634 0.814485192
[16843] 0.069832750 0.489546120 0.440621108 0.017455747 0.195943564 0.786600709
[16849] 0.642166495 0.338787735 0.019045772 0.521647334 0.425913125 0.052439552
[16855] 0.522563577 0.437338352 0.040098049 0.424574524 0.489134580 0.086290911
[16861] 0.514218271 0.411568761 0.074213013 0.475158632 0.398454398 0.126386970
[16867] 0.432765722 0.452841491 0.114392735 0.642264664 0.333879799 0.023855541
[16873] 0.644447505 0.310350031 0.045202482 0.141942412 0.444760919 0.413296640
[16879] 0.033826824 0.208716139 0.757457018 0.362233669 0.439279556 0.198486745
[16885] 0.270322949 0.320243150 0.409433901 0.479399115 0.336088151 0.184512779
[16891] 0.481667191 0.402564198 0.115768641 0.647761166 0.322577029 0.029661842
[16897] 0.699356496 0.282413900 0.018229542 0.456408918 0.404154569 0.139436543
[16903] 0.426786304 0.416602254 0.156611413 0.013227932 0.116110124 0.870661914
[16909] 0.241371050 0.531567276 0.227061659 0.070789933 0.237228110 0.691981971
[16915] 0.278589219 0.498115510 0.223295242 0.082206875 0.648544669 0.269248456
[16921] 0.599076092 0.366925478 0.033998437 0.559935749 0.350487530 0.089576751
[16927] 0.894473553 0.097239830 0.008286685 0.629400074 0.331471175 0.039128765
[16933] 0.045807701 0.369628280 0.584564030 0.589111030 0.376786560 0.034102384
[16939] 0.725320339 0.262108922 0.012570739 0.702572286 0.262443423 0.034984287
[16945] 0.442694008 0.445286393 0.112019576 0.704959452 0.247271419 0.047769103
[16951] 0.548178375 0.397872448 0.053949147 0.627996981 0.317721367 0.054281607
[16957] 0.004530718 0.042171746 0.953297496 0.611241102 0.340194732 0.048564196
[16963] 0.085582055 0.422520936 0.491896957 0.077562131 0.522678733 0.399759144
[16969] 0.012529392 0.157456040 0.830014586 0.032915741 0.075069286 0.892014980
[16975] 0.008493522 0.102215141 0.889291346 0.025614366 0.243830681 0.730554938
[16981] 0.243803322 0.272188485 0.484008163 0.398299724 0.526743174 0.074957080
[16987] 0.005552114 0.078810200 0.915637672 0.044700012 0.473066717 0.482233286
[16993] 0.012885528 0.119116634 0.867997825 0.067577340 0.095467426 0.836955249
[16999] 0.003628826 0.047583677 0.948787510 0.020168006 0.188690141 0.791141808
[17005] 0.005473890 0.199997529 0.794528544 0.008761824 0.055123106 0.936115086
[17011] 0.093627021 0.216455221 0.689917743 0.011216760 0.088159703 0.900623560
[17017] 0.015394563 0.156217262 0.828388155 0.009847715 0.348889530 0.641262770
[17023] 0.499139965 0.480654240 0.020205768 0.557351828 0.421173334 0.021474890
[17029] 0.106378384 0.379197210 0.514424443 0.006622196 0.082740732 0.910637140
[17035] 0.788078427 0.196806982 0.015114577 0.030984206 0.277821064 0.691194713
[17041] 0.539651632 0.397841632 0.062506780 0.009170762 0.060646657 0.930182576
[17047] 0.384130865 0.579564154 0.036305003 0.606483996 0.364012241 0.029503761
[17053] 0.011453727 0.087941498 0.900604844 0.448245019 0.209607035 0.342148006
[17059] 0.024879597 0.083064198 0.892056227 0.002946397 0.029776175 0.967277408
[17065] 0.004875911 0.038896475 0.956227601 0.142989442 0.600531101 0.256479442
[17071] 0.005442934 0.084409632 0.910147488 0.038928442 0.320450783 0.640620828
[17077] 0.319654465 0.508930504 0.171415061 0.724248469 0.266152442 0.009599038
[17083] 0.665176213 0.317499101 0.017324610 0.243897840 0.530680418 0.225421742
[17089] 0.045618434 0.185500413 0.768881142 0.009221233 0.079017676 0.911761105
[17095] 0.007066820 0.050220430 0.942712784 0.412472874 0.532821000 0.054706153
[17101] 0.008460963 0.066009194 0.925529838 0.005545864 0.089264765 0.905189395
[17107] 0.011271787 0.329711378 0.659016848 0.010146621 0.124940969 0.864912391
[17113] 0.043436959 0.337334424 0.619228601 0.017317465 0.176745906 0.805936575
[17119] 0.272271484 0.424332500 0.303395987 0.083255582 0.405189037 0.511555433
[17125] 0.083507493 0.385338187 0.531154335 0.017364150 0.136974305 0.845661521
[17131] 0.056186274 0.360715836 0.583097935 0.657508254 0.321964234 0.020527517
[17137] 0.008288749 0.067362070 0.924349129 0.019923201 0.187878042 0.792198718
[17143] 0.034387752 0.234727725 0.730884552 0.025116784 0.179375052 0.795508146
[17149] 0.011585153 0.454727292 0.533687592 0.010810996 0.092389800 0.896799207
[17155] 0.004435608 0.022349600 0.973214746 0.606590271 0.371912509 0.021497218
[17161] 0.486923903 0.390454501 0.122621618 0.339182556 0.500024378 0.160793096
[17167] 0.405859053 0.468158484 0.125982493 0.011351925 0.121271938 0.867376149
[17173] 0.084557071 0.422741592 0.492701411 0.209745646 0.640000165 0.150254205
[17179] 0.058146436 0.432717621 0.509135902 0.622959137 0.321622580 0.055418279
[17185] 0.542505980 0.430893481 0.026600527 0.051644091 0.384024262 0.564331651
[17191] 0.107931860 0.574202418 0.317865729 0.043751825 0.364173114 0.592075109
[17197] 0.337852865 0.417811304 0.244335830 0.021895077 0.184852228 0.793252647
[17203] 0.051315203 0.406728894 0.541955888 0.094713047 0.373883665 0.531403303
[17209] 0.278452933 0.684944212 0.036602840 0.826124668 0.166054383 0.007820883
[17215] 0.525126338 0.430704713 0.044168968 0.081065811 0.350538403 0.568395734
[17221] 0.006685878 0.150693595 0.842620552 0.015467973 0.159409195 0.825122833
[17227] 0.041091699 0.241477519 0.717430830 0.356280506 0.587467313 0.056252152
[17233] 0.812555373 0.179299876 0.008144782 0.396793425 0.245046169 0.358160466
[17239] 0.021049270 0.166598499 0.812352180 0.349546701 0.405703813 0.244749442
[17245] 0.014582209 0.162908569 0.822509229 0.043984424 0.428273439 0.527742088
[17251] 0.124347232 0.505505383 0.370147377 0.442541808 0.498895407 0.058562770
[17257] 0.591462553 0.346748620 0.061788809 0.229338676 0.561704397 0.208956912
[17263] 0.232973024 0.346678257 0.420348704 0.165551931 0.392888308 0.441559732
[17269] 0.047665719 0.322451204 0.629883111 0.095015384 0.504228413 0.400756150
[17275] 0.020709477 0.205953166 0.773337305 0.797406793 0.191076651 0.011516528
[17281] 0.105548300 0.364439756 0.530011952 0.036360573 0.268909305 0.694730163
[17287] 0.127912343 0.780956686 0.091130972 0.303103954 0.341868877 0.355027169
[17293] 0.016119197 0.182189971 0.801690817 0.009967186 0.100201532 0.889831305
[17299] 0.007458498 0.091431476 0.901109993 0.619596422 0.352725416 0.027678186
[17305] 0.812515259 0.180351004 0.007133719 0.161009058 0.567700088 0.271290839
[17311] 0.004983039 0.068022698 0.926994205 0.005100898 0.296725243 0.698173881
[17317] 0.137485459 0.479152888 0.383361727 0.009908190 0.207460642 0.782631159
[17323] 0.028477829 0.169431999 0.802090168 0.093368255 0.512368381 0.394263387
[17329] 0.260213375 0.349454701 0.390331894 0.745695412 0.220740572 0.033564053
[17335] 0.659495473 0.298605233 0.041899282 0.715393007 0.275345325 0.009261653
[17341] 0.100843467 0.688452601 0.210703909 0.590553463 0.350954622 0.058491874
[17347] 0.230601564 0.541031539 0.228366897 0.026385285 0.155793324 0.817821383
[17353] 0.028065497 0.236358523 0.735575914 0.055527944 0.514587045 0.429885030
[17359] 0.034030158 0.572153270 0.393816561 0.516944110 0.382009417 0.101046488
[17365] 0.761719584 0.220691606 0.017588852 0.093126900 0.500303984 0.406569153
[17371] 0.011633787 0.110997938 0.877368331 0.278756201 0.669811368 0.051432434
[17377] 0.096297354 0.343144923 0.560557723 0.022820996 0.277446359 0.699732602
[17383] 0.025957756 0.338357598 0.635684609 0.678305209 0.137401596 0.184293151
[17389] 0.181137651 0.488675863 0.330186516 0.201843038 0.483596563 0.314560443
[17395] 0.088894628 0.558634400 0.352470964 0.538984120 0.367094457 0.093921363
[17401] 0.599811614 0.333760411 0.066427954 0.106130570 0.588959694 0.304909676
[17407] 0.016044196 0.154724985 0.829230785 0.074922331 0.455178201 0.469899446
[17413] 0.015034043 0.081208535 0.903757453 0.020489069 0.032785658 0.946725309
[17419] 0.791736484 0.199695751 0.008567809 0.156475469 0.469797909 0.373726666
[17425] 0.015778357 0.167031631 0.817189991 0.021618769 0.298291087 0.680090129
[17431] 0.016383521 0.115121871 0.868494630 0.003658172 0.028723922 0.967617929
[17437] 0.004688196 0.059279364 0.936032474 0.655205667 0.303771317 0.041022997
[17443] 0.155601814 0.517518818 0.326879382 0.032134034 0.319593132 0.648272872
[17449] 0.038633548 0.308044076 0.653322399 0.006203332 0.071247920 0.922548771
[17455] 0.017181274 0.177004680 0.805814028 0.194489181 0.543964624 0.261546195
[17461] 0.364382744 0.599638879 0.035978340 0.835398972 0.159749746 0.004851250
[17467] 0.776757121 0.204293147 0.018949719 0.061949138 0.407068074 0.530982852
[17473] 0.058916032 0.305715054 0.635368884 0.117238544 0.790296435 0.092464961
[17479] 0.359955281 0.429963201 0.210081503 0.396591038 0.482277930 0.121131033
[17485] 0.040416673 0.419704556 0.539878786 0.511525393 0.450654566 0.037820060
[17491] 0.624778211 0.357502252 0.017719610 0.741714478 0.252318650 0.005966929
[17497] 0.270915955 0.447108030 0.281976044 0.066889197 0.486148953 0.446961880
[17503] 0.026972933 0.315679252 0.657347798 0.443687379 0.505710125 0.050602525
[17509] 0.491492599 0.473348826 0.035158619 0.540199280 0.416863143 0.042937554
[17515] 0.745049596 0.235591128 0.019359291 0.018175159 0.189494148 0.792330682
[17521] 0.188063681 0.524867117 0.287069201 0.023489967 0.215431839 0.761078238
[17527] 0.677626967 0.299959213 0.022413818 0.124671489 0.541295767 0.334032714
[17533] 0.066830195 0.537220180 0.395949632 0.418206394 0.403735816 0.178057775
[17539] 0.015496842 0.138615191 0.845887959 0.163550541 0.427929610 0.408519894
[17545] 0.475473821 0.466392368 0.058133770 0.104598723 0.525916100 0.369485229
[17551] 0.616279185 0.350411266 0.033309516 0.177539468 0.489616305 0.332844228
[17557] 0.526616812 0.417731792 0.055651437 0.382216752 0.527844727 0.089938506
[17563] 0.729596019 0.245448947 0.024955025 0.681585133 0.300190479 0.018224359
[17569] 0.546784401 0.391680151 0.061535463 0.588274658 0.295242906 0.116482414
[17575] 0.679115891 0.294634223 0.026249865 0.660278857 0.310731620 0.028989555
[17581] 0.525432944 0.417531043 0.057036042 0.080472901 0.569169283 0.350357771
[17587] 0.737570465 0.246350840 0.016078677 0.115787089 0.571427226 0.312785685
[17593] 0.276929051 0.492039949 0.231031060 0.667732418 0.308928311 0.023339270
[17599] 0.588431656 0.367318600 0.044249788 0.410754889 0.536399364 0.052845705
[17605] 0.093001403 0.440010399 0.466988206 0.539703906 0.322220266 0.138075843
[17611] 0.257263869 0.452988118 0.289748073 0.008096933 0.715096593 0.276806444
[17617] 0.535001934 0.308575749 0.156422272 0.609937489 0.355376124 0.034686372
[17623] 0.592161417 0.373715848 0.034122784 0.618303835 0.366167694 0.015528458
[17629] 0.067737460 0.514312267 0.417950273 0.630755842 0.336621553 0.032622568
[17635] 0.647233605 0.332501829 0.020264586 0.747303784 0.236822486 0.015873773
[17641] 0.243125543 0.708006203 0.048868276 0.476491541 0.428407818 0.095100664
[17647] 0.781631231 0.204678297 0.013690433 0.010656174 0.097631261 0.891712487
[17653] 0.403263777 0.459026426 0.137709811 0.450693220 0.446572125 0.102734625
[17659] 0.134601131 0.450274765 0.415124148 0.434449226 0.328145176 0.237405568
[17665] 0.067380637 0.551135838 0.381483525 0.424137533 0.391294450 0.184568018
[17671] 0.665904105 0.319622874 0.014473032 0.687081516 0.295584261 0.017334195
[17677] 0.648513198 0.323532194 0.027954649 0.500918508 0.428508103 0.070573404
[17683] 0.524029315 0.370680809 0.105289884 0.732608914 0.241267994 0.026123079
[17689] 0.016628673 0.152962565 0.830408752 0.726610720 0.248525441 0.024863819
[17695] 0.067237556 0.297429413 0.635333002 0.351938307 0.514377117 0.133684546
[17701] 0.464369625 0.492023557 0.043606877 0.703789532 0.277582943 0.018627521
[17707] 0.634724200 0.331818223 0.033457529 0.483437359 0.461806506 0.054756120
[17713] 0.764960885 0.224130839 0.010908263 0.604863644 0.366603196 0.028533110
[17719] 0.400914550 0.428100407 0.170985073 0.558562756 0.415089518 0.026347686
[17725] 0.442010760 0.472614259 0.085374996 0.278266490 0.527579486 0.194154054
[17731] 0.609760463 0.349616110 0.040623408 0.719887316 0.254779518 0.025333110
[17737] 0.032490660 0.233189195 0.734320104 0.022348644 0.035229299 0.942422032
[17743] 0.057139590 0.274467677 0.668392777 0.050685786 0.334211916 0.615102291
[17749] 0.026094379 0.731327355 0.242578238 0.564952791 0.386376917 0.048670262
[17755] 0.629133701 0.346744895 0.024121415 0.828596056 0.158687174 0.012716800
[17761] 0.013781586 0.128419206 0.857799232 0.031253330 0.318319172 0.650427520
[17767] 0.534346402 0.417553842 0.048099775 0.546057403 0.397484392 0.056458168
[17773] 0.548241556 0.402897894 0.048860565 0.200054899 0.630904496 0.169040635
[17779] 0.559022188 0.391071707 0.049906056 0.699245989 0.274322510 0.026431529
[17785] 0.049697585 0.445979238 0.504323184 0.494892806 0.371614516 0.133492723
[17791] 0.012273412 0.204989806 0.782736778 0.336949170 0.498990327 0.164060548
[17797] 0.026281763 0.260660529 0.713057697 0.150833026 0.559184968 0.289982021
[17803] 0.736817777 0.244628638 0.018553572 0.110006563 0.616898656 0.273094803
[17809] 0.060431406 0.375372738 0.564195812 0.008223237 0.161198288 0.830578506
[17815] 0.027962415 0.274287969 0.697749615 0.765673637 0.223759532 0.010566830
[17821] 0.745705903 0.206879809 0.047414280 0.009995481 0.173066586 0.816937923
[17827] 0.013187688 0.128974527 0.857837796 0.514214218 0.455334902 0.030450897
[17833] 0.354612082 0.467580169 0.177807793 0.044762485 0.209860072 0.745377421
[17839] 0.663319290 0.279597431 0.057083216 0.100059979 0.428258926 0.471681118
[17845] 0.188841924 0.473345280 0.337812841 0.702676356 0.279431969 0.017891642
[17851] 0.091595165 0.511229217 0.397175670 0.628918350 0.349356055 0.021725608
[17857] 0.536954641 0.390999049 0.072046302 0.083370991 0.488169163 0.428459853
[17863] 0.078821220 0.556582510 0.364596277 0.687798500 0.298455656 0.013745866
[17869] 0.009506240 0.120707244 0.869786501 0.519664049 0.432499856 0.047836088
[17875] 0.396261007 0.525597870 0.078141116 0.544693112 0.333555877 0.121750996
[17881] 0.446315765 0.484645844 0.069038354 0.085898176 0.464792430 0.449309438
[17887] 0.015636543 0.504795194 0.479568213 0.091825269 0.367284834 0.540889859
[17893] 0.023516681 0.176513836 0.799969494 0.043753479 0.428989440 0.527257085
[17899] 0.366990119 0.563701689 0.069308229 0.008741543 0.066061981 0.925196528
[17905] 0.416222394 0.480499029 0.103278540 0.109498493 0.545879960 0.344621539
[17911] 0.575630605 0.378240168 0.046129189 0.510599494 0.443784446 0.045616083
[17917] 0.589855194 0.359094322 0.051050525 0.698669434 0.282361388 0.018969204
[17923] 0.617168069 0.351806790 0.031025168 0.571615160 0.402329981 0.026054818
[17929] 0.018580401 0.165141314 0.816278279 0.008958564 0.771780729 0.219260737
[17935] 0.026403425 0.585609615 0.387986958 0.157390907 0.683524430 0.159084648
[17941] 0.738585532 0.248783678 0.012630768 0.137924850 0.553592801 0.308482319
[17947] 0.011732002 0.130859956 0.857407987 0.008547816 0.103130065 0.888322115
[17953] 0.069385454 0.412657887 0.517956614 0.014084249 0.084895544 0.901020229
[17959] 0.786607206 0.200950205 0.012442621 0.111184910 0.622075021 0.266740054
[17965] 0.354438305 0.457526028 0.188035712 0.424499601 0.368819982 0.206680417
[17971] 0.005857711 0.055825919 0.938316345 0.015183918 0.172156185 0.812659919
[17977] 0.011888142 0.109624602 0.878487229 0.076816149 0.294286966 0.628896892
[17983] 0.056264065 0.412499249 0.531236649 0.013229082 0.134238631 0.852532268
[17989] 0.048245780 0.379753351 0.572000861 0.201210707 0.480670750 0.318118602
[17995] 0.024552774 0.223777190 0.751670003 0.484613597 0.328007221 0.187379196
[18001] 0.008529968 0.570351720 0.421118319 0.051664885 0.513509512 0.434825629
[18007] 0.121707156 0.606280148 0.272012711 0.215515062 0.502425730 0.282059163
[18013] 0.105769381 0.717632055 0.176598519 0.290843278 0.506380022 0.202776700
[18019] 0.603004754 0.289637893 0.107357405 0.023337727 0.258963346 0.717698932
[18025] 0.438257128 0.229691818 0.332051039 0.010126454 0.232268885 0.757604659
[18031] 0.146888852 0.292151809 0.560959339 0.129706815 0.600951791 0.269341350
[18037] 0.013071703 0.090687871 0.896240473 0.426600039 0.436243564 0.137156382
[18043] 0.077353194 0.637605011 0.285041779 0.034332022 0.233785287 0.731882691
[18049] 0.202347025 0.476577967 0.321075052 0.012075403 0.288960874 0.698963702
[18055] 0.166736364 0.544332564 0.288931072 0.072332047 0.406188607 0.521479368
[18061] 0.350165308 0.401660502 0.248174205 0.309883118 0.467796385 0.222320512
[18067] 0.022329845 0.351840883 0.625829279 0.043491401 0.346069515 0.610439122
[18073] 0.018762877 0.219335526 0.761901557 0.073795758 0.513049960 0.413154274
[18079] 0.018617520 0.165100023 0.816282451 0.246371582 0.523758113 0.229870304
[18085] 0.091802433 0.356862307 0.551335216 0.022900289 0.243216947 0.733882785
[18091] 0.004890767 0.130775198 0.864334047 0.047190830 0.218581662 0.734227479
[18097] 0.029019186 0.506079733 0.464901119 0.083375558 0.539929211 0.376695246
[18103] 0.155829117 0.609860301 0.234310597 0.023201587 0.158179164 0.818619192
[18109] 0.006594262 0.112091780 0.881313980 0.010629001 0.189677343 0.799693644
[18115] 0.011717558 0.794649363 0.193633094 0.280934304 0.583048522 0.136017159
[18121] 0.008921593 0.150594205 0.840484202 0.020778341 0.227314502 0.751907170
[18127] 0.563348830 0.389962494 0.046688639 0.696519554 0.290107638 0.013372830
[18133] 0.262280524 0.190917104 0.546802342 0.033125717 0.235078931 0.731795311
[18139] 0.661809564 0.301521927 0.036668494 0.626658976 0.351396412 0.021944586
[18145] 0.160819992 0.593330562 0.245849416 0.179329947 0.740085185 0.080584869
[18151] 0.577241838 0.409935296 0.012822875 0.016161127 0.060838729 0.923000097
[18157] 0.048667323 0.375837386 0.575495303 0.412035018 0.295829445 0.292135507
[18163] 0.004495921 0.238512531 0.756991565 0.012576725 0.126176372 0.861246943
[18169] 0.115216643 0.481746584 0.403036743 0.005603288 0.213440657 0.780956030
[18175] 0.088020056 0.569532335 0.342447579 0.113212027 0.491945237 0.394842714
[18181] 0.018298436 0.076170720 0.905530870 0.012246221 0.034814380 0.952939391
[18187] 0.111804396 0.439580023 0.448615581 0.028052775 0.220106557 0.751840651
[18193] 0.093666814 0.496113986 0.410219193 0.609986961 0.342351019 0.047662027
[18199] 0.383111566 0.519016862 0.097871564 0.635593355 0.311959088 0.052447606
[18205] 0.340938151 0.454522789 0.204539105 0.020636760 0.174116388 0.805246830
[18211] 0.736974061 0.253850311 0.009175640 0.017483000 0.100634567 0.881882489
[18217] 0.447123677 0.499555379 0.053320978 0.607141674 0.360940218 0.031918108
[18223] 0.471384525 0.444201887 0.084413595 0.014247647 0.137658834 0.848093510
[18229] 0.036904529 0.776624203 0.186471283 0.594048560 0.268230677 0.137720734
[18235] 0.064214572 0.167739853 0.768045604 0.300603628 0.528433502 0.170962870
[18241] 0.635013640 0.338327885 0.026658531 0.334133953 0.524899125 0.140966922
[18247] 0.063456163 0.301811814 0.634732008 0.077085368 0.384114295 0.538800299
[18253] 0.035219271 0.323420644 0.641360044 0.681463599 0.306626886 0.011909437
[18259] 0.421848357 0.501580358 0.076571271 0.014157075 0.187349170 0.798493743
[18265] 0.012463825 0.363915324 0.623620808 0.008761270 0.083588086 0.907650650
[18271] 0.168751359 0.298390001 0.532858610 0.022866298 0.248167247 0.728966475
[18277] 0.032350134 0.140346095 0.827303767 0.603694737 0.328200310 0.068104908
[18283] 0.083268218 0.724826276 0.191905469 0.137110159 0.570456684 0.292433143
[18289] 0.482303768 0.425069213 0.092627063 0.078834005 0.807100177 0.114065789
[18295] 0.010525875 0.756987214 0.232486978 0.006116848 0.046969514 0.946913600
[18301] 0.046390779 0.264891028 0.688718200 0.009319100 0.093318023 0.897362828
[18307] 0.137487367 0.503022075 0.359490544 0.023589268 0.171519846 0.804890871
[18313] 0.034273408 0.251823932 0.713902712 0.222589299 0.558115959 0.219294772
[18319] 0.008930414 0.460308671 0.530760944 0.280664027 0.555388510 0.163947448
[18325] 0.048263036 0.280242562 0.671494365 0.170024067 0.488558263 0.341417670
[18331] 0.250607401 0.563007414 0.186385214 0.027208058 0.234019026 0.738772929
[18337] 0.159597605 0.658085048 0.182317346 0.020227626 0.254040867 0.725731492
[18343] 0.830071092 0.163307503 0.006621423 0.006004520 0.034152694 0.959842741
[18349] 0.012952695 0.154002905 0.833044410 0.326206356 0.559170485 0.114623114
[18355] 0.105032079 0.411486030 0.483481884 0.584594369 0.272167623 0.143237993
[18361] 0.007578999 0.093499221 0.898921788 0.089578204 0.481178820 0.429242969
[18367] 0.035455823 0.294510692 0.670033455 0.007940329 0.196522206 0.795537472
[18373] 0.012557780 0.140902370 0.846539855 0.038191888 0.272459179 0.689348876
[18379] 0.020865094 0.221944213 0.757190645 0.008261554 0.026827518 0.964910984
[18385] 0.026581828 0.201723993 0.771694183 0.123830229 0.362523586 0.513646185
[18391] 0.083221979 0.468511999 0.448266029 0.152991429 0.573323131 0.273685515
[18397] 0.083581403 0.463423043 0.452995509 0.080573633 0.441908032 0.477518320
[18403] 0.010146867 0.061863303 0.927989841 0.038758431 0.272377580 0.688864052
[18409] 0.049031243 0.296255648 0.654713094 0.067524113 0.478459090 0.454016834
[18415] 0.096499361 0.446145803 0.457354873 0.004194462 0.025449181 0.970356286
[18421] 0.030644409 0.842535496 0.126820028 0.483286679 0.371857971 0.144855335
[18427] 0.120716326 0.506956398 0.372327238 0.015832281 0.133508131 0.850659609
[18433] 0.187480047 0.277301461 0.535218477 0.018619828 0.124079563 0.857300639
[18439] 0.012638073 0.149391189 0.837970734 0.280962110 0.609936118 0.109101795
[18445] 0.009967777 0.406327367 0.583704829 0.088036746 0.283479989 0.628483295
[18451] 0.008133372 0.121537901 0.870328784 0.054878417 0.203620777 0.741500854
[18457] 0.012287888 0.216921672 0.770790458 0.013970369 0.130488396 0.855541229
[18463] 0.031155113 0.322012901 0.646832049 0.011454704 0.109746777 0.878798485
[18469] 0.145170376 0.534568846 0.320260823 0.333976358 0.243777484 0.422246158
[18475] 0.015823241 0.129574165 0.854602575 0.057173226 0.247562081 0.695264637
[18481] 0.017355120 0.151450515 0.831194341 0.199895769 0.523416460 0.276687801
[18487] 0.022083333 0.245044097 0.732872546 0.039242920 0.277226031 0.683531046
[18493] 0.150031909 0.537027955 0.312940150 0.088507853 0.381927878 0.529564261
[18499] 0.040378328 0.224049255 0.735572398 0.013870222 0.189615786 0.796513975
[18505] 0.054914329 0.328722417 0.616363287 0.254173726 0.549722314 0.196103960
[18511] 0.052670218 0.320738584 0.626591265 0.013878327 0.194020227 0.792101443
[18517] 0.013712739 0.190725029 0.795562267 0.378850609 0.344490558 0.276658833
[18523] 0.259315729 0.556592047 0.184092209 0.013787604 0.127006710 0.859205663
[18529] 0.089158051 0.257368892 0.653473079 0.009192224 0.050765589 0.940042138
[18535] 0.052226558 0.356099665 0.591673791 0.092582770 0.356663734 0.550753474
[18541] 0.619763196 0.309506685 0.070730090 0.463516474 0.429619402 0.106864184
[18547] 0.020061089 0.135556936 0.844381988 0.107629173 0.217479885 0.674890935
[18553] 0.017643984 0.193474695 0.788881302 0.008317054 0.537873566 0.453809381
[18559] 0.088056341 0.384333849 0.527609825 0.053626791 0.448279798 0.498093396
[18565] 0.097780548 0.351180851 0.551038623 0.037730422 0.325723380 0.636546254
[18571] 0.025559060 0.284633845 0.689807057 0.008481164 0.086770348 0.904748499
[18577] 0.044733793 0.315915734 0.639350474 0.063735500 0.268294185 0.667970359
[18583] 0.180555761 0.661708593 0.157735646 0.377733678 0.219968513 0.402297825
[18589] 0.015072432 0.234017760 0.750909805 0.021836143 0.219526261 0.758637607
[18595] 0.050246339 0.320372969 0.629380703 0.191149458 0.595665753 0.213184789
[18601] 0.157234237 0.591779768 0.250986040 0.122156046 0.554403841 0.323440105
[18607] 0.152577966 0.426799744 0.420622289 0.456268013 0.460719973 0.083012007
[18613] 0.025124297 0.214580074 0.760295630 0.028112641 0.230061382 0.741825938
[18619] 0.051127158 0.438014418 0.510858417 0.326286465 0.379269212 0.294444352
[18625] 0.274137080 0.456708312 0.269154578 0.014899408 0.155732661 0.829367936
[18631] 0.187103346 0.271901488 0.540995121 0.055793054 0.161287129 0.782919765
[18637] 0.356517315 0.382887334 0.260595381 0.141395062 0.281973004 0.576631963
[18643] 0.029548636 0.138088718 0.832362652 0.085214064 0.332270175 0.582515776
[18649] 0.355595648 0.503952146 0.140452191 0.157827199 0.280552179 0.561620593
[18655] 0.460235685 0.378245831 0.161518469 0.141304657 0.227250263 0.631445050
[18661] 0.474798173 0.360931724 0.164270148 0.142152861 0.405159146 0.452687979
[18667] 0.082334578 0.134724423 0.782940984 0.012148732 0.155613840 0.832237422
[18673] 0.181835264 0.271170765 0.546993971 0.065002039 0.192705482 0.742292464
[18679] 0.020255260 0.108745277 0.870999455 0.321745127 0.391458124 0.286796778
[18685] 0.051890604 0.174916983 0.773192406 0.442561924 0.400200427 0.157237679
[18691] 0.093979068 0.528815806 0.377205104 0.048034493 0.365359664 0.586605847
[18697] 0.006575502 0.067070007 0.926354527 0.067458928 0.437815845 0.494725257
[18703] 0.301337302 0.556503654 0.142159075 0.048119094 0.383246064 0.568634868
[18709] 0.037271623 0.201116592 0.761611819 0.014590639 0.124238461 0.861170888
[18715] 0.120567434 0.468857348 0.410575241 0.017049406 0.139521897 0.843428731
[18721] 0.010172173 0.066568688 0.923259139 0.055096291 0.289752722 0.655151010
[18727] 0.014598405 0.103036821 0.882364750 0.024684891 0.445865154 0.529449999
[18733] 0.220174894 0.318927228 0.460897893 0.290925235 0.458268076 0.250806689
[18739] 0.068080425 0.494368911 0.437550664 0.008287883 0.050091334 0.941620827
[18745] 0.095249325 0.459343284 0.445407361 0.025795443 0.503484190 0.470720381
[18751] 0.067081027 0.491782129 0.441136897 0.040009063 0.149623364 0.810367525
[18757] 0.008353009 0.214073747 0.777573228 0.271357208 0.300502181 0.428140670
[18763] 0.158695310 0.501460254 0.339844406 0.438658804 0.456372827 0.104968369
[18769] 0.042330317 0.263786137 0.693883538 0.026182180 0.212829649 0.760988116
[18775] 0.361855805 0.495297730 0.142846480 0.018756311 0.153177783 0.828065872
[18781] 0.167118028 0.460452735 0.372429222 0.689998567 0.280751288 0.029250138
[18787] 0.303782016 0.452537894 0.243680120 0.140141025 0.347728848 0.512130141
[18793] 0.026373154 0.204363033 0.769263804 0.239302367 0.622846127 0.137851536
[18799] 0.018568844 0.165051475 0.816379666 0.056708932 0.278890073 0.664400995
[18805] 0.474806339 0.358065546 0.167128146 0.499475211 0.416770339 0.083754398
[18811] 0.017671254 0.137019783 0.845308959 0.008034321 0.117585175 0.874380469
[18817] 0.094614975 0.369871378 0.535513639 0.038029511 0.254977733 0.706992745
[18823] 0.193533346 0.438028574 0.368438035 0.051298585 0.369182855 0.579518557
[18829] 0.484070897 0.332487851 0.183441296 0.424196273 0.421759993 0.154043689
[18835] 0.210607395 0.634482026 0.154910564 0.018413236 0.176731646 0.804855108
[18841] 0.729215503 0.233700156 0.037084367 0.541406691 0.338298619 0.120294690
[18847] 0.069276869 0.331663728 0.599059403 0.024084689 0.202527776 0.773387492
[18853] 0.005921796 0.468583614 0.525494576 0.038954522 0.274366528 0.686679006
[18859] 0.020100186 0.206306562 0.773593307 0.027069340 0.239789829 0.733140826
[18865] 0.099739082 0.410806477 0.489454508 0.127273187 0.407793909 0.464932859
[18871] 0.230796561 0.578789294 0.190414146 0.012242192 0.152675793 0.835081995
[18877] 0.583901167 0.399147809 0.016951004 0.789324224 0.173021883 0.037653860
[18883] 0.721274018 0.233673677 0.045052283 0.714227259 0.235252395 0.050520293
[18889] 0.858205259 0.131956846 0.009837926 0.814237535 0.168826312 0.016936174
[18895] 0.129147470 0.203951627 0.666900933 0.688358068 0.280730784 0.030911116
[18901] 0.803964734 0.178853139 0.017182134 0.512777090 0.337400138 0.149822742
[18907] 0.653427660 0.280907810 0.065664589 0.639657855 0.317148983 0.043193154
[18913] 0.587557316 0.257649958 0.154792756 0.729876339 0.248582363 0.021541348
[18919] 0.723571062 0.208857492 0.067571446 0.675205112 0.262591898 0.062202983
[18925] 0.836259544 0.152747571 0.010992853 0.435220957 0.369769335 0.195009723
[18931] 0.724550664 0.236852542 0.038596772 0.503954411 0.278450698 0.217594877
[18937] 0.431946754 0.343147069 0.224906191 0.572785199 0.280337393 0.146877423
[18943] 0.473029405 0.280449122 0.246521503 0.806775749 0.180947065 0.012277190
[18949] 0.722484648 0.261189520 0.016325863 0.685394168 0.270871282 0.043734502
[18955] 0.779781997 0.192325905 0.027892061 0.086467519 0.229515210 0.684017301
[18961] 0.680557787 0.266190708 0.053251445 0.437368274 0.359689176 0.202942535
[18967] 0.817406178 0.167598099 0.014995694 0.062271755 0.752410829 0.185317457
[18973] 0.614366055 0.343131036 0.042502899 0.807673275 0.165771946 0.026554776
[18979] 0.774788260 0.178891629 0.046320081 0.267635137 0.280619442 0.451745480
[18985] 0.693840384 0.260602415 0.045557179 0.746353805 0.227396801 0.026249390
[18991] 0.439988166 0.495738715 0.064273134 0.229040623 0.134548530 0.636410892
[18997] 0.571781754 0.402273893 0.025944382 0.815404892 0.160819829 0.023775322
[19003] 0.436296761 0.472440541 0.091262676 0.452960819 0.372316927 0.174722224
[19009] 0.692074418 0.255889475 0.052036118 0.879275262 0.108792759 0.011932004
[19015] 0.650253892 0.283237398 0.066508710 0.099805757 0.164211795 0.735982478
[19021] 0.836618185 0.153826520 0.009555326 0.734050453 0.240448475 0.025501052
[19027] 0.817511082 0.170544446 0.011944424 0.867398620 0.124816954 0.007784366
[19033] 0.692005754 0.229570791 0.078423463 0.833952069 0.148872465 0.017175494
[19039] 0.809592128 0.157952443 0.032455433 0.763332844 0.208207324 0.028459879
[19045] 0.898414433 0.088207394 0.013378154 0.555467844 0.318254650 0.126277462
[19051] 0.734441340 0.239472136 0.026086586 0.843336403 0.144534543 0.012129037
[19057] 0.797242820 0.189542577 0.013214647 0.574172914 0.331707120 0.094119973
[19063] 0.920842707 0.075429164 0.003728170 0.457809538 0.449176282 0.093014158
[19069] 0.786655009 0.192755744 0.020589240 0.213284165 0.252195269 0.534520566
[19075] 0.736335576 0.194893256 0.068771206 0.397468150 0.414262712 0.188269123
[19081] 0.454937011 0.298841864 0.246221140 0.286047995 0.300195575 0.413756460
[19087] 0.578126907 0.398433268 0.023439810 0.793275476 0.169298738 0.037425820
[19093] 0.869963467 0.120409705 0.009626785 0.841986060 0.146993741 0.011020176
[19099] 0.448320150 0.242336169 0.309343696 0.690502107 0.300471067 0.009026834
[19105] 0.514949083 0.348394334 0.136656553 0.824640751 0.159466371 0.015892804
[19111] 0.397526592 0.339209586 0.263263822 0.825400829 0.155814916 0.018784216
[19117] 0.794179142 0.176936954 0.028883908 0.691199005 0.245067328 0.063733689
[19123] 0.867438912 0.122606844 0.009954249 0.691776037 0.251838923 0.056385044
[19129] 0.791461766 0.192400739 0.016137525 0.076373741 0.226505026 0.697121263
[19135] 0.866820276 0.108086109 0.025093650 0.741442621 0.230598643 0.027958717
[19141] 0.401408106 0.395488292 0.203103617 0.828738928 0.141619563 0.029641535
[19147] 0.804177105 0.183672920 0.012149910 0.861052692 0.128830299 0.010117013
[19153] 0.453389347 0.507561684 0.039049007 0.765396714 0.221670970 0.012932321
[19159] 0.708184242 0.259135604 0.032680176 0.892776191 0.096842214 0.010381586
[19165] 0.788652718 0.179969490 0.031377770 0.759235203 0.220229983 0.020534813
[19171] 0.834868193 0.129425064 0.035706740 0.834068060 0.152593017 0.013338942
[19177] 0.777281582 0.192380354 0.030338010 0.870905697 0.120749034 0.008345287
[19183] 0.872880280 0.118800119 0.008319578 0.821438193 0.153346717 0.025215134
[19189] 0.848100007 0.136888862 0.015011162 0.465330780 0.295791507 0.238877699
[19195] 0.647434533 0.255837530 0.096727915 0.347117484 0.351256013 0.301626533
[19201] 0.566074610 0.259785622 0.174139723 0.804163933 0.156463221 0.039372854
[19207] 0.683701217 0.292471498 0.023827313 0.683870256 0.261305064 0.054824755
[19213] 0.861504912 0.127793193 0.010701825 0.753918052 0.217268124 0.028813846
[19219] 0.518120408 0.336465150 0.145414457 0.427328199 0.339554101 0.233117655
[19225] 0.756965518 0.205812544 0.037221894 0.856395245 0.135496214 0.008108542
[19231] 0.661639869 0.234936506 0.103423633 0.870907068 0.096397907 0.032695070
[19237] 0.770014942 0.189172849 0.040812265 0.890740752 0.101405852 0.007853349
[19243] 0.845808268 0.134099841 0.020091904 0.879313648 0.105381615 0.015304797
[19249] 0.164724886 0.162296653 0.672978461 0.797489464 0.188268676 0.014241870
[19255] 0.633653641 0.333103269 0.033243041 0.830325663 0.158368424 0.011305945
[19261] 0.738838255 0.240778714 0.020382976 0.585320890 0.298643470 0.116035588
[19267] 0.598621428 0.258525848 0.142852738 0.731860340 0.247288764 0.020850912
[19273] 0.752828419 0.212479979 0.034691587 0.686815083 0.252035648 0.061149213
[19279] 0.758494556 0.202069968 0.039435476 0.406996816 0.565819621 0.027183594
[19285] 0.663144588 0.268140078 0.068715297 0.188840955 0.351107121 0.460051864
[19291] 0.633069396 0.292327076 0.074603543 0.498418212 0.359090000 0.142491788
[19297] 0.748227537 0.213009819 0.038762674 0.580041230 0.337376982 0.082581773
[19303] 0.720205963 0.250353366 0.029440653 0.353122264 0.465898931 0.180978820
[19309] 0.710754097 0.269947916 0.019297915 0.547562599 0.339854717 0.112582617
[19315] 0.793262541 0.195635200 0.011102231 0.869716525 0.123633549 0.006649893
[19321] 0.848225892 0.132405326 0.019368831 0.096737683 0.190703258 0.712559044
[19327] 0.646934032 0.332853317 0.020212611 0.729398072 0.233200207 0.037401758
[19333] 0.723455071 0.242007405 0.034537472 0.776417732 0.206377268 0.017205024
[19339] 0.849423110 0.139138818 0.011438055 0.726711273 0.248729795 0.024558933
[19345] 0.766415119 0.207523078 0.026061812 0.900958776 0.094024606 0.005016671
[19351] 0.498602360 0.435988992 0.065408684 0.825233877 0.165649965 0.009116139
[19357] 0.839109063 0.146955654 0.013935212 0.704350948 0.247707471 0.047941580
[19363] 0.477531612 0.460853100 0.061615311 0.668319881 0.312776178 0.018903913
[19369] 0.774871528 0.206154779 0.018973701 0.749263227 0.199690923 0.051045824
[19375] 0.826672077 0.164624989 0.008702899 0.684524298 0.259293407 0.056182306
[19381] 0.749194801 0.231387258 0.019418007 0.869152069 0.120801374 0.010046529
[19387] 0.770646155 0.212378860 0.016975021 0.748323917 0.224168733 0.027507357
[19393] 0.446173400 0.351469785 0.202356771 0.759561419 0.208787501 0.031651095
[19399] 0.603837430 0.353391141 0.042771406 0.534014106 0.332387954 0.133597896
[19405] 0.233420148 0.271280617 0.495299190 0.695870221 0.259916365 0.044213396
[19411] 0.808626711 0.181889236 0.009483987 0.808508217 0.178572923 0.012918838
[19417] 0.350704968 0.498340279 0.150954738 0.265281737 0.544662595 0.190055683
[19423] 0.591096818 0.326302320 0.082600854 0.729002714 0.228654876 0.042342447
[19429] 0.312269598 0.359205931 0.328524500 0.809816957 0.176079229 0.014103833
[19435] 0.851044714 0.139388219 0.009567056 0.893988431 0.096953757 0.009057832
[19441] 0.922750950 0.068077020 0.009172069 0.551696301 0.319326133 0.128977597
[19447] 0.789955795 0.190852031 0.019192109 0.662670374 0.255629450 0.081700183
[19453] 0.441326797 0.312530696 0.246142492 0.530677855 0.400796056 0.068526097
[19459] 0.895883322 0.097950295 0.006166383 0.705763996 0.267507493 0.026728489
[19465] 0.862749398 0.129264563 0.007986088 0.452971011 0.378472567 0.168556437
[19471] 0.847578645 0.139991462 0.012429855 0.751752317 0.211070046 0.037177652
[19477] 0.738735974 0.227875262 0.033388749 0.891379714 0.101709478 0.006910745
[19483] 0.744207561 0.234320670 0.021471761 0.663854539 0.280167252 0.055978205
[19489] 0.478286028 0.334149927 0.187564015 0.730086386 0.246055722 0.023857879
[19495] 0.771363616 0.204477057 0.024159288 0.589053035 0.271281123 0.139665872
[19501] 0.547343135 0.290027589 0.162629247 0.204764903 0.317189336 0.478045732
[19507] 0.647187948 0.248893037 0.103919022 0.839935839 0.149042204 0.011021963
[19513] 0.827671528 0.154923022 0.017405456 0.841445744 0.145204678 0.013349597
[19519] 0.783303440 0.188103557 0.028592976 0.917550504 0.065730229 0.016719263
[19525] 0.738834321 0.232193053 0.028972629 0.451382458 0.356196493 0.192421094
[19531] 0.467412114 0.290784985 0.241802916 0.248212904 0.262709469 0.489077657
[19537] 0.813616097 0.173356697 0.013027265 0.833538890 0.151926711 0.014534417
[19543] 0.385250449 0.392624497 0.222125024 0.876602411 0.112260453 0.011137104
[19549] 0.538714409 0.346481264 0.114804290 0.863108456 0.128125206 0.008766351
[19555] 0.781429768 0.196386740 0.022183435 0.174180463 0.234693691 0.591125846
[19561] 0.653659344 0.215177551 0.131163120 0.299231291 0.401359439 0.299409240
[19567] 0.762547195 0.131651029 0.105801709 0.915630758 0.071029253 0.013340033
[19573] 0.748491108 0.210756525 0.040752333 0.816516101 0.158156395 0.025327498
[19579] 0.144106939 0.794169188 0.061723899 0.749147356 0.218608215 0.032244477
[19585] 0.831119895 0.161124706 0.007755383 0.923173904 0.071995124 0.004830923
[19591] 0.080002025 0.697674811 0.222323209 0.560645223 0.316331357 0.123023413
[19597] 0.176358774 0.273351908 0.550289333 0.844670415 0.137030452 0.018299108
[19603] 0.638860941 0.302166522 0.058972515 0.134641901 0.150873482 0.714484632
[19609] 0.677322388 0.205092072 0.117585562 0.649404705 0.295390844 0.055204492
[19615] 0.829912603 0.145108387 0.024979023 0.372765362 0.374157488 0.253077120
[19621] 0.734862030 0.247618392 0.017519590 0.311717123 0.408991545 0.279291302
[19627] 0.648072302 0.276929915 0.074997745 0.438563794 0.268609822 0.292826325
[19633] 0.839579403 0.127517179 0.032903463 0.770712495 0.201627403 0.027660165
[19639] 0.841404557 0.147012874 0.011582609 0.691997230 0.224311605 0.083691172
[19645] 0.718251705 0.256688207 0.025060123 0.478761822 0.356573135 0.164664999
[19651] 0.519818127 0.236868575 0.243313283 0.783355355 0.193052202 0.023592448
[19657] 0.783667266 0.196541265 0.019791482 0.617322624 0.275037467 0.107639924
[19663] 0.448052049 0.448091894 0.103856049 0.416366428 0.343581885 0.240051702
[19669] 0.887665451 0.106828123 0.005506391 0.852043092 0.118867852 0.029089017
[19675] 0.846068203 0.135258317 0.018673524 0.741108358 0.237561271 0.021330377
[19681] 0.781487048 0.199003100 0.019509871 0.674770832 0.268829882 0.056399267
[19687] 0.260064363 0.328020155 0.411915511 0.485580266 0.438587308 0.075832427
[19693] 0.337374479 0.423505455 0.239120111 0.806295097 0.149473175 0.044231758
[19699] 0.792613387 0.186289996 0.021096623 0.134110600 0.305862129 0.560027301
[19705] 0.510555446 0.278800100 0.210644439 0.866927683 0.114218578 0.018853785
[19711] 0.377399772 0.455561727 0.167038500 0.830091000 0.152962044 0.016946940
[19717] 0.815040052 0.173405915 0.011554055 0.774273276 0.210251227 0.015475492
[19723] 0.705013633 0.235367402 0.059618987 0.472198695 0.280677825 0.247123495
[19729] 0.830760539 0.156272858 0.012966542 0.720264852 0.236060813 0.043674305
[19735] 0.111535512 0.305355847 0.583108664 0.787664711 0.188772872 0.023562437
[19741] 0.459661186 0.440030873 0.100307956 0.581896424 0.291183382 0.126920238
[19747] 0.843848050 0.143998012 0.012153995 0.666561544 0.248873293 0.084565170
[19753] 0.691618681 0.276222408 0.032158863 0.636877894 0.336958468 0.026163595
[19759] 0.131015643 0.181390703 0.687593639 0.333296359 0.526092112 0.140611500
[19765] 0.412813067 0.455985367 0.131201506 0.397289157 0.530833244 0.071877584
[19771] 0.867552400 0.123708434 0.008739116 0.055351309 0.116925463 0.827723205
[19777] 0.722886384 0.253479689 0.023633862 0.539523900 0.317522377 0.142953679
[19783] 0.424191654 0.425774962 0.150033414 0.417790025 0.410548151 0.171661824
[19789] 0.473865926 0.291191131 0.234942913 0.736795366 0.246189833 0.017014792
[19795] 0.849326372 0.133644447 0.017029161 0.858277678 0.131728724 0.009993551
[19801] 0.713238418 0.253779560 0.032981995 0.761285782 0.208549574 0.030164661
[19807] 0.337545007 0.251950622 0.410504401 0.592466712 0.302383095 0.105150193
[19813] 0.601737022 0.285004556 0.113258369 0.778173923 0.197294340 0.024531718
[19819] 0.858812630 0.125178307 0.016009042 0.831350207 0.158412948 0.010236857
[19825] 0.542978406 0.423952073 0.033069517 0.854020000 0.135982737 0.009997291
[19831] 0.247449964 0.402128100 0.350421935 0.251695246 0.378337383 0.369967341
[19837] 0.424241006 0.296053618 0.279705405 0.329866767 0.373844892 0.296288371
[19843] 0.734989166 0.227994725 0.037016131 0.792484522 0.180203706 0.027311774
[19849] 0.638257623 0.232912302 0.128830090 0.759481668 0.221255839 0.019262465
[19855] 0.309451878 0.334139705 0.356408447 0.734892309 0.222787187 0.042320509
[19861] 0.144927189 0.341115028 0.513957798 0.827429473 0.160540342 0.012030201
[19867] 0.677895188 0.232527912 0.089576915 0.466491878 0.331334323 0.202173769
[19873] 0.770664394 0.206738546 0.022597071 0.808817804 0.181633025 0.009549093
[19879] 0.654449880 0.272722542 0.072827570 0.706715167 0.276546180 0.016738662
[19885] 0.411385596 0.396851003 0.191763446 0.617374063 0.346458167 0.036167778
[19891] 0.563938677 0.281811297 0.154250041 0.220374152 0.619102895 0.160522968
[19897] 0.840016305 0.147770166 0.012213472 0.647702575 0.334556669 0.017740767
[19903] 0.820330381 0.148476288 0.031193322 0.309886754 0.529509783 0.160603464
[19909] 0.343111128 0.355128288 0.301760584 0.579209208 0.341709793 0.079080991
[19915] 0.143246487 0.190286070 0.666467488 0.510729492 0.333715916 0.155554608
[19921] 0.423679322 0.337784261 0.238536462 0.687851250 0.263111234 0.049037494
[19927] 0.617803693 0.278483033 0.103713229 0.781146228 0.203018531 0.015835304
[19933] 0.395704806 0.432744265 0.171550959 0.778048396 0.173268616 0.048682984
[19939] 0.439952791 0.422065347 0.137981817 0.408415169 0.409686029 0.181898862
[19945] 0.805198073 0.175781891 0.019020034 0.581861258 0.349363804 0.068774968
[19951] 0.555771470 0.386146128 0.058082402 0.581408441 0.388125122 0.030466432
[19957] 0.853245854 0.135192961 0.011561167 0.744221091 0.195401564 0.060377304
[19963] 0.725664437 0.176059291 0.098276272 0.640247285 0.332127601 0.027625086
[19969] 0.716961026 0.258095682 0.024943350 0.359604627 0.406535655 0.233859777
[19975] 0.715623379 0.236146152 0.048230488 0.557114780 0.390892357 0.051992856
[19981] 0.919955850 0.072941773 0.007102440 0.701616466 0.209974840 0.088408716
[19987] 0.820433855 0.165897548 0.013668649 0.796892941 0.179713443 0.023393666
[19993] 0.237903714 0.211443618 0.550652683 0.426133513 0.339006543 0.234859899
[19999] 0.857387066 0.134650320 0.007962665 0.626569986 0.282028258 0.091401741
[20005] 0.778717279 0.182985708 0.038297012 0.660514235 0.285985768 0.053499993
[20011] 0.107665792 0.190334663 0.701999545 0.630487323 0.312349796 0.057162870
[20017] 0.726862133 0.247668222 0.025469711 0.052672744 0.095949292 0.851377904
[20023] 0.661693692 0.255799234 0.082507052 0.311384141 0.426008731 0.262607098
[20029] 0.700690985 0.259043783 0.040265221 0.262936950 0.404114842 0.332948238
[20035] 0.579346895 0.257780641 0.162872434 0.864839613 0.119187392 0.015972972
[20041] 0.233793154 0.470370501 0.295836329 0.717465222 0.260910779 0.021623990
[20047] 0.791239560 0.195338905 0.013421548 0.774901032 0.209370434 0.015728591
[20053] 0.251398653 0.435085565 0.313515812 0.900847852 0.087145045 0.012007118
[20059] 0.841687500 0.145246267 0.013066195 0.852124870 0.136823893 0.011051192
[20065] 0.698431551 0.270998567 0.030569848 0.268839091 0.317732036 0.413428903
[20071] 0.642672181 0.277290791 0.080037013 0.416478515 0.305734634 0.277786821
[20077] 0.601924241 0.334909141 0.063166633 0.835278153 0.152079195 0.012642724
[20083] 0.284921050 0.560126007 0.154952988 0.827967942 0.156246483 0.015785508
[20089] 0.787815034 0.201334164 0.010850819 0.673271358 0.262989104 0.063739575
[20095] 0.689681113 0.235656336 0.074662551 0.312334478 0.399289131 0.288376331
[20101] 0.672790527 0.300014853 0.027194634 0.061822157 0.084665485 0.853512347
[20107] 0.404745609 0.423812419 0.171441972 0.125590622 0.363575906 0.510833502
[20113] 0.272666425 0.353076130 0.374257445 0.502233863 0.330706269 0.167059913
[20119] 0.853292167 0.137586474 0.009121294 0.600471139 0.277996898 0.121531963
[20125] 0.867613435 0.121335872 0.011050756 0.354762614 0.192258447 0.452978939
[20131] 0.473252147 0.275045931 0.251701951 0.530785680 0.313286245 0.155928046
[20137] 0.759054840 0.223202884 0.017742310 0.689002037 0.279119760 0.031878207
[20143] 0.737086415 0.240610868 0.022302702 0.833240092 0.154281095 0.012478842
[20149] 0.219844311 0.390778303 0.389377385 0.829520226 0.160070106 0.010409625
[20155] 0.126050234 0.317964405 0.555985391 0.846287847 0.140759528 0.012952617
[20161] 0.582404494 0.265731037 0.151864439 0.601053119 0.314063638 0.084883228
[20167] 0.394361466 0.410914660 0.194723889 0.802610755 0.179717883 0.017671440
[20173] 0.806500971 0.171705335 0.021793654 0.819612384 0.170107797 0.010279810
[20179] 0.837599635 0.147415474 0.014984923 0.704641938 0.262103528 0.033254515
[20185] 0.447616637 0.355032384 0.197350964 0.909297347 0.076147906 0.014554703
[20191] 0.454277486 0.281125098 0.264597386 0.519970477 0.194774419 0.285255104
[20197] 0.783282280 0.182033777 0.034683902 0.667658389 0.243829802 0.088511854
[20203] 0.715251803 0.253259033 0.031489156 0.493932277 0.367798209 0.138269469
[20209] 0.158729449 0.196254417 0.645016134 0.626926780 0.332528621 0.040544618
[20215] 0.695244730 0.274808288 0.029947007 0.763262749 0.161704659 0.075032629
[20221] 0.650927067 0.327060044 0.022012832 0.734549105 0.232429564 0.033021327
[20227] 0.818804920 0.154124826 0.027070217 0.806915522 0.181726620 0.011357897
[20233] 0.184642687 0.406076282 0.409281045 0.770225763 0.216858745 0.012915465
[20239] 0.795983255 0.181294739 0.022722036 0.895600617 0.095572986 0.008826376
[20245] 0.671238959 0.304230750 0.024530308 0.490503699 0.442658693 0.066837542
[20251] 0.802854598 0.169933870 0.027211541 0.857855678 0.125119105 0.017025210
[20257] 0.602019250 0.331974119 0.066006608 0.676497042 0.173984438 0.149518535
[20263] 0.643547773 0.338774145 0.017678065 0.865976989 0.124495827 0.009527208
[20269] 0.820617735 0.165411249 0.013971070 0.692112207 0.289887607 0.018000223
[20275] 0.704489112 0.242031649 0.053479239 0.687777281 0.286161780 0.026060930
[20281] 0.518856108 0.361630231 0.119513623 0.750066459 0.235305071 0.014628498
[20287] 0.709985614 0.223855838 0.066158548 0.826928079 0.160308257 0.012763657
[20293] 0.788856030 0.196434781 0.014709255 0.373470992 0.334122419 0.292406529
[20299] 0.897430122 0.085020028 0.017549790 0.686681926 0.259669095 0.053649019
[20305] 0.808474243 0.173821211 0.017704589 0.938069403 0.058600649 0.003329970
[20311] 0.388400286 0.308250725 0.303348988 0.815776706 0.173817590 0.010405771
[20317] 0.460531354 0.419977993 0.119490683 0.025635192 0.827739298 0.146625534
[20323] 0.788414717 0.197271779 0.014313555 0.426297188 0.345662534 0.228040218
[20329] 0.429956853 0.379445642 0.190597519 0.200107485 0.184586123 0.615306377
[20335] 0.711965024 0.262591898 0.025443129 0.308597952 0.188064635 0.503337443
[20341] 0.341582119 0.285391718 0.373026162 0.514540136 0.360888273 0.124571562
[20347] 0.744296074 0.230525017 0.025178969 0.691001475 0.213318288 0.095680244
[20353] 0.753510714 0.223561674 0.022927621 0.407382637 0.371796012 0.220821366
[20359] 0.849168777 0.136351183 0.014480093 0.704529107 0.259403884 0.036067069
[20365] 0.212422669 0.331186771 0.456390560 0.746405303 0.217344984 0.036249742
[20371] 0.848696947 0.131726280 0.019576749 0.831061125 0.157025769 0.011913088
[20377] 0.724815249 0.259667516 0.015517190 0.876851916 0.113472201 0.009675931
[20383] 0.574395597 0.296176314 0.129428089 0.676591933 0.242735505 0.080672577
[20389] 0.141220734 0.268033266 0.590745986 0.200080916 0.339166552 0.460752517
[20395] 0.283794641 0.333566338 0.382639050 0.619432986 0.277260870 0.103306167
[20401] 0.880251527 0.109027810 0.010720596 0.723771751 0.238297418 0.037930846
[20407] 0.780693293 0.206949860 0.012356845 0.509828210 0.325902104 0.164269745
[20413] 0.898064315 0.095408052 0.006527599 0.665099680 0.220381260 0.114519097
[20419] 0.224448532 0.217377648 0.558173835 0.909797609 0.081338033 0.008864333
[20425] 0.744072378 0.243580252 0.012347376 0.819773853 0.165177569 0.015048585
[20431] 0.739184022 0.221358985 0.039456978 0.670632482 0.290220469 0.039146997
[20437] 0.548072398 0.331603795 0.120323755 0.530437768 0.334084183 0.135478020
[20443] 0.489433378 0.314820319 0.195746347 0.737366259 0.199331433 0.063302316
[20449] 0.778920650 0.203209624 0.017869687 0.597166240 0.220258996 0.182574734
[20455] 0.554433167 0.317353696 0.128213137 0.526583433 0.305022866 0.168393731
[20461] 0.343214631 0.328068316 0.328717053 0.437667578 0.363525629 0.198806748
[20467] 0.537178278 0.406148702 0.056672983 0.777266264 0.191424161 0.031309597
[20473] 0.713020623 0.213924259 0.073055059 0.594818354 0.288127363 0.117054276
[20479] 0.857149899 0.121991202 0.020858882 0.579633474 0.348883212 0.071483344
[20485] 0.519370615 0.363785416 0.116843961 0.842581749 0.142942488 0.014475743
[20491] 0.817466080 0.157822281 0.024711654 0.760098636 0.213226467 0.026674949
[20497] 0.169180706 0.265376925 0.565442324 0.810123384 0.148406997 0.041469630
[20503] 0.695736408 0.266218543 0.038045049 0.907958806 0.087200209 0.004841001
[20509] 0.863767445 0.127108216 0.009124341 0.597186565 0.192587167 0.210226253
[20515] 0.917360425 0.074856497 0.007783109 0.341338605 0.396124125 0.262537241
[20521] 0.578137636 0.287878275 0.133984104 0.814870298 0.173553526 0.011576203
[20527] 0.710679710 0.251351774 0.037968505 0.651794195 0.307068139 0.041137673
[20533] 0.545699716 0.293371022 0.160929248 0.396946400 0.560205519 0.042848088
[20539] 0.038960632 0.735310614 0.225728780 0.299778789 0.303976268 0.396244973
[20545] 0.809828937 0.172076941 0.018094100 0.089439966 0.168874681 0.741685331
[20551] 0.864883602 0.125419691 0.009696730 0.389307290 0.316078663 0.294614047
[20557] 0.507195652 0.275567204 0.217237130 0.653551280 0.262869388 0.083579339
[20563] 0.543057859 0.387091190 0.069850959 0.477229953 0.365698606 0.157071456
[20569] 0.606981814 0.300735772 0.092282422 0.667992592 0.246203676 0.085803770
[20575] 0.736115336 0.225323707 0.038560942 0.638218760 0.302846611 0.058934659
[20581] 0.813349366 0.165866211 0.020784384 0.719666541 0.251255065 0.029078361
[20587] 0.270932257 0.531087399 0.197980344 0.481073976 0.318352133 0.200573951
[20593] 0.036226552 0.654490292 0.309283167 0.655958533 0.252249718 0.091791764
[20599] 0.145329267 0.294089109 0.560581565 0.781879663 0.207031593 0.011088693
[20605] 0.420248717 0.314540654 0.265210629 0.715982616 0.239961475 0.044055883
[20611] 0.791587532 0.187666252 0.020746209 0.560112715 0.329036415 0.110850886
[20617] 0.564364195 0.244565338 0.191070467 0.381468505 0.442728043 0.175803483
[20623] 0.722952127 0.252760172 0.024287671 0.703346789 0.238208085 0.058445137
[20629] 0.164460421 0.740521193 0.095018357 0.387674451 0.381014258 0.231311247
[20635] 0.636352718 0.252316177 0.111331165 0.753781080 0.221820652 0.024398237
[20641] 0.908216000 0.085395820 0.006388220 0.657043576 0.259128243 0.083828196
[20647] 0.705298722 0.242946520 0.051754717 0.845164180 0.140883341 0.013952473
[20653] 0.348246962 0.522810817 0.128942266 0.853726983 0.132627115 0.013645836
[20659] 0.787346363 0.169620037 0.043033592 0.736937463 0.209406301 0.053656194
[20665] 0.662576437 0.283861309 0.053562209 0.723033011 0.252492547 0.024474416
[20671] 0.770821810 0.197496921 0.031681214 0.708751917 0.230414823 0.060833212
[20677] 0.601451516 0.182937905 0.215610534 0.702198565 0.228584751 0.069216728
[20683] 0.487743407 0.327525944 0.184730649 0.889890432 0.100473017 0.009636591
[20689] 0.205219537 0.289613336 0.505167127 0.666715801 0.274800509 0.058483731
[20695] 0.627629876 0.248463154 0.123906977 0.692498207 0.270750642 0.036751147
[20701] 0.723243594 0.214914963 0.061841417 0.474443972 0.433055580 0.092500478
[20707] 0.412713856 0.254206330 0.333079815 0.711239636 0.237971291 0.050789036
[20713] 0.546290576 0.337783784 0.115925662 0.705699384 0.275792658 0.018507915
[20719] 0.220918193 0.289331794 0.489750028 0.755783081 0.227069914 0.017146990
[20725] 0.789901495 0.173329145 0.036769316 0.421346009 0.348888725 0.229765236
[20731] 0.853325844 0.135304376 0.011369748 0.842765689 0.148026511 0.009207810
[20737] 0.862456322 0.128203332 0.009340337 0.820287943 0.167033181 0.012678928
[20743] 0.340444952 0.379711449 0.279843628 0.748025239 0.235457003 0.016517710
[20749] 0.169374213 0.771866441 0.058759347 0.728749335 0.231040463 0.040210199
[20755] 0.064388596 0.791171610 0.144439802 0.300697863 0.297617376 0.401684821
[20761] 0.892479539 0.097985283 0.009535214 0.883283794 0.110063307 0.006652951
[20767] 0.836254179 0.143182963 0.020562857 0.669624269 0.257713377 0.072662354
[20773] 0.673767507 0.257792234 0.068440303 0.813554764 0.149711266 0.036734004
[20779] 0.705043972 0.232819021 0.062137008 0.756148696 0.187677056 0.056174207
[20785] 0.691351056 0.287400067 0.021248898 0.729733586 0.245315686 0.024950746
[20791] 0.788486660 0.185762301 0.025751043 0.747381687 0.170976087 0.081642248
[20797] 0.630275786 0.342721313 0.027002931 0.570241272 0.388246983 0.041511718
[20803] 0.791478157 0.194249868 0.014271975 0.878585815 0.108968236 0.012445967
[20809] 0.760781586 0.203351334 0.035867117 0.602509081 0.307444364 0.090046577
[20815] 0.745576680 0.215827405 0.038595922 0.879309118 0.110714018 0.009976842
[20821] 0.817588508 0.161900058 0.020511435 0.873720050 0.117496163 0.008783743
[20827] 0.826993704 0.153407827 0.019598456 0.651385009 0.311542928 0.037072014
[20833] 0.743692279 0.218678311 0.037629448 0.791015804 0.195135996 0.013848155
[20839] 0.160532385 0.293487728 0.545979857 0.668465436 0.298272818 0.033261739
[20845] 0.523356974 0.397701710 0.078941368 0.352625102 0.256356239 0.391018629
[20851] 0.514141023 0.391274840 0.094584130 0.831383228 0.154158384 0.014458369
[20857] 0.816920221 0.169400156 0.013679651 0.485876650 0.346272677 0.167850614
[20863] 0.688117087 0.257736892 0.054146018 0.669603050 0.288835019 0.041561969
[20869] 0.606628418 0.347133845 0.046237718 0.359640718 0.394731939 0.245627388
[20875] 0.753104508 0.196464613 0.050430935 0.243931904 0.424823970 0.331244141
[20881] 0.223030284 0.254933804 0.522035897 0.800210238 0.179708466 0.020081298
[20887] 0.591530442 0.323578119 0.084891438 0.736633420 0.214632869 0.048733696
[20893] 0.094651394 0.180346474 0.725002110 0.452064693 0.465302944 0.082632385
[20899] 0.389461905 0.323448092 0.287090033 0.663005412 0.244812682 0.092181891
[20905] 0.697336733 0.225292146 0.077371128 0.426674753 0.550338507 0.022986736
[20911] 0.315999687 0.272031605 0.411968708 0.819963455 0.162335619 0.017700976
[20917] 0.646689594 0.310292989 0.043017417 0.430229455 0.363065243 0.206705302
[20923] 0.887392759 0.101758637 0.010848616 0.939681590 0.055614207 0.004704218
[20929] 0.654573202 0.234199271 0.111227542 0.867363870 0.121626131 0.011009991
[20935] 0.693866313 0.275105119 0.031028507 0.286840767 0.198388621 0.514770627
[20941] 0.596113801 0.295677423 0.108208776 0.531514108 0.420297235 0.048188675
[20947] 0.614694357 0.273401022 0.111904621 0.798196971 0.142941818 0.058861218
[20953] 0.901292205 0.092016466 0.006691265 0.659881711 0.247137472 0.092980817
[20959] 0.735349536 0.234039456 0.030611029 0.656023026 0.269053847 0.074923091
[20965] 0.774425209 0.199826971 0.025747800 0.674130619 0.262531757 0.063337572
[20971] 0.405629069 0.353282928 0.241088033 0.849914432 0.140965968 0.009119538
[20977] 0.785976231 0.195556760 0.018467030 0.545038521 0.298919827 0.156041622
[20983] 0.518056810 0.292856216 0.189086974 0.445669651 0.305599779 0.248730585
[20989] 0.231828138 0.622777641 0.145394191 0.765596211 0.199833781 0.034570009
[20995] 0.788060367 0.193868712 0.018070940 0.905809522 0.089045495 0.005144917
[21001] 0.634243071 0.252624959 0.113131948 0.742134392 0.201682553 0.056183062
[21007] 0.747883022 0.227644190 0.024472812 0.879885912 0.111427866 0.008686163
[21013] 0.384623021 0.437597305 0.177779660 0.375048280 0.368023783 0.256927967
[21019] 0.760414541 0.222919464 0.016666029 0.596412122 0.284524083 0.119063757
[21025] 0.837718248 0.137953326 0.024328452 0.807490885 0.163786963 0.028722122
[21031] 0.778295457 0.199061543 0.022642929 0.288010538 0.457136989 0.254852444
[21037] 0.745053947 0.229212031 0.025734026 0.298512548 0.317268670 0.384218812
[21043] 0.774747133 0.207447410 0.017805483 0.716921985 0.222400188 0.060677852
[21049] 0.884351969 0.107128195 0.008519857 0.342438579 0.503034413 0.154527009
[21055] 0.799239933 0.183513552 0.017246492 0.732651234 0.219433218 0.047915529
[21061] 0.831827521 0.156363055 0.011809452 0.688392222 0.289607942 0.021999817
[21067] 0.442606986 0.383843333 0.173549667 0.294197470 0.243144974 0.462657601
[21073] 0.814562619 0.168422267 0.017015057 0.844646871 0.146293953 0.009059197
[21079] 0.847709775 0.142281592 0.010008615 0.757991791 0.219148904 0.022859266
[21085] 0.676090300 0.272058278 0.051851474 0.834993601 0.153976768 0.011029644
[21091] 0.465634257 0.304842234 0.229523465 0.520623326 0.379584163 0.099792510
[21097] 0.780775487 0.197794914 0.021429615 0.853265464 0.133130565 0.013604034
[21103] 0.208874092 0.376188815 0.414937139 0.606956363 0.370548427 0.022495186
[21109] 0.563388526 0.309244186 0.127367318 0.323994875 0.475119650 0.200885430
[21115] 0.749998510 0.214313999 0.035687543 0.569905579 0.293599755 0.136494666
[21121] 0.859416306 0.131768227 0.008815453 0.796242356 0.189837500 0.013920205
[21127] 0.700345337 0.236570135 0.063084535 0.645413160 0.249105230 0.105481565
[21133] 0.121307477 0.085274167 0.793418348 0.764947534 0.216397226 0.018655265
[21139] 0.804318011 0.180328965 0.015353068 0.747005165 0.231007934 0.021986902
[21145] 0.484126449 0.390554160 0.125319421 0.517213225 0.313748479 0.169038296
[21151] 0.843142211 0.131614491 0.025243303 0.925012589 0.070029490 0.004957893
[21157] 0.791194141 0.197156534 0.011649314 0.669049740 0.252750486 0.078199774
[21163] 0.784697890 0.199484318 0.015817808 0.651785314 0.207342416 0.140872285
[21169] 0.608093023 0.257014483 0.134892449 0.768253326 0.194369480 0.037377171
[21175] 0.818422675 0.154981345 0.026596049 0.903614521 0.092128068 0.004257428
[21181] 0.908226192 0.082441643 0.009332135 0.541672826 0.299429387 0.158897802
[21187] 0.856731296 0.132173643 0.011095066 0.878020048 0.114476584 0.007503367
[21193] 0.800934255 0.176879629 0.022186140 0.287941486 0.246508092 0.465550393
[21199] 0.127698705 0.238623247 0.633678079 0.083697908 0.179609418 0.736692667
[21205] 0.558826685 0.288058221 0.153115049 0.426324189 0.385290980 0.188384801
[21211] 0.181166753 0.211667165 0.607166111 0.269719571 0.468002707 0.262277722
[21217] 0.381023318 0.266696870 0.352279782 0.677287698 0.285064846 0.037647408
[21223] 0.558331132 0.315116316 0.126552567 0.594346762 0.301038712 0.104614526
[21229] 0.716581345 0.208806410 0.074612275 0.505932868 0.437105238 0.056961879
[21235] 0.840781629 0.151573226 0.007645113 0.516149044 0.410794646 0.073056273
[21241] 0.838975549 0.148847058 0.012177396 0.464468509 0.375456005 0.160075486
[21247] 0.735686064 0.237556115 0.026757818 0.784790158 0.197767541 0.017442267
[21253] 0.720541835 0.212424785 0.067033328 0.815856040 0.170117110 0.014026886
[21259] 0.555798411 0.344035506 0.100166105 0.866134882 0.121144392 0.012720713
[21265] 0.433832735 0.419167370 0.146999851 0.726556420 0.230884850 0.042558797
[21271] 0.302028984 0.174998522 0.522972524 0.612566411 0.326299667 0.061133932
[21277] 0.529473782 0.249703944 0.220822230 0.384763092 0.383081257 0.232155606
[21283] 0.623210907 0.287920713 0.088868357 0.847436070 0.141291365 0.011272573
[21289] 0.615514457 0.213305935 0.171179622 0.295497656 0.502223313 0.202279061
[21295] 0.575146258 0.345367670 0.079486080 0.224398777 0.255315423 0.520285785
[21301] 0.833427608 0.154869303 0.011703138 0.413908482 0.310363799 0.275727689
[21307] 0.586954296 0.392422020 0.020623710 0.111624241 0.198981628 0.689394176
[21313] 0.748494446 0.229079515 0.022426017 0.564879358 0.291657090 0.143463537
[21319] 0.458775699 0.358199686 0.183024600 0.502750576 0.467929423 0.029319953
[21325] 0.643245876 0.325548738 0.031205377 0.809623182 0.178134069 0.012242725
[21331] 0.110025510 0.378033042 0.511941433 0.853278041 0.126523063 0.020198852
[21337] 0.192084461 0.649649620 0.158265918 0.284254342 0.368141443 0.347604215
[21343] 0.034124106 0.564233303 0.401642561 0.801312089 0.179246455 0.019441443
[21349] 0.805845499 0.149832234 0.044322334 0.626830816 0.239656299 0.133512869
[21355] 0.041743055 0.482231796 0.476025194 0.284601212 0.586992919 0.128405929
[21361] 0.347368896 0.394241720 0.258389413 0.044121936 0.454873741 0.501004338
[21367] 0.829675198 0.159369677 0.010955139 0.253427416 0.511922002 0.234650537
[21373] 0.165333658 0.579202354 0.255463988 0.562062562 0.369210035 0.068727434
[21379] 0.772989511 0.183832839 0.043177698 0.871961713 0.116416574 0.011621759
[21385] 0.051707700 0.476294160 0.471998125 0.023407862 0.297545195 0.679046988
[21391] 0.549499691 0.361193597 0.089306697 0.109471112 0.263186425 0.627342463
[21397] 0.129200026 0.270957053 0.599842906 0.775524676 0.194990590 0.029484706
[21403] 0.048695497 0.349266380 0.602038145 0.106268950 0.415147036 0.478584051
[21409] 0.150217518 0.456836879 0.392945588 0.191821650 0.603690267 0.204488143
[21415] 0.059540845 0.372500837 0.567958295 0.637034774 0.221998811 0.140966401
[21421] 0.035000306 0.364107311 0.600892365 0.048459336 0.379930586 0.571610034
[21427] 0.236749396 0.595074594 0.168175995 0.051745083 0.562949955 0.385304987
[21433] 0.040818259 0.363825858 0.595355868 0.084494501 0.337108374 0.578397095
[21439] 0.191915080 0.450273216 0.357811719 0.032097865 0.421631098 0.546271026
[21445] 0.014974801 0.191627324 0.793397844 0.033351053 0.458341897 0.508307099
[21451] 0.013750402 0.140451849 0.845797718 0.030402340 0.361290395 0.608307242
[21457] 0.058272533 0.425419241 0.516308248 0.077616662 0.436203629 0.486179650
[21463] 0.242836177 0.449657589 0.307506233 0.054780111 0.371457905 0.573762000
[21469] 0.355385095 0.445767254 0.198847637 0.087876931 0.524514675 0.387608349
[21475] 0.048947584 0.426575750 0.524476707 0.430541724 0.306589156 0.262869120
[21481] 0.135387495 0.674075007 0.190537497 0.030860437 0.251384497 0.717755079
[21487] 0.108750150 0.421699315 0.469550490 0.050693709 0.414147973 0.535158277
[21493] 0.029279616 0.314943373 0.655776978 0.018832000 0.270903647 0.710264385
[21499] 0.076264583 0.521131933 0.402603507 0.009330026 0.393149883 0.597520113
[21505] 0.072891809 0.410542995 0.516565204 0.029614482 0.304466814 0.665918708
[21511] 0.038228836 0.432451606 0.529319525 0.098463818 0.504812479 0.396723717
[21517] 0.203851461 0.428630918 0.367517620 0.018532667 0.172504947 0.808962345
[21523] 0.042414438 0.343994915 0.613590658 0.073136054 0.620033681 0.306830257
[21529] 0.074026123 0.445437878 0.480535984 0.258335829 0.541505277 0.200158879
[21535] 0.033734538 0.385360897 0.580904603 0.264283955 0.501955867 0.233760163
[21541] 0.142713696 0.521095991 0.336190313 0.132652551 0.527556837 0.339790672
[21547] 0.421013087 0.314009011 0.264977932 0.070635743 0.535167992 0.394196242
[21553] 0.110618658 0.598357916 0.291023374 0.087786481 0.626133323 0.286080211
[21559] 0.306104988 0.553558350 0.140336677 0.035220899 0.352468938 0.612310171
[21565] 0.027365489 0.284400672 0.688233793 0.051818140 0.453873754 0.494308144
[21571] 0.046357032 0.382599384 0.571043611 0.036765844 0.368607253 0.594626844
[21577] 0.327810198 0.434283376 0.237906456 0.074787281 0.573908031 0.351304650
[21583] 0.079658873 0.358684599 0.561656535 0.168276131 0.438433319 0.393290490
[21589] 0.038534369 0.343095571 0.618370056 0.069354407 0.538014472 0.392631143
[21595] 0.083715327 0.566864610 0.349420071 0.009997406 0.481654316 0.508348286
[21601] 0.053657234 0.275167227 0.671175539 0.051692255 0.454895377 0.493412346
[21607] 0.084689222 0.501575232 0.413735509 0.009678170 0.545078754 0.445243120
[21613] 0.017560007 0.211982384 0.770457566 0.008482662 0.089075558 0.902441800
[21619] 0.062342294 0.489932984 0.447724670 0.044208590 0.429430962 0.526360393
[21625] 0.118212156 0.523309112 0.358478755 0.171250969 0.401406616 0.427342385
[21631] 0.016669836 0.356217265 0.627112925 0.008859619 0.074956059 0.916184306
[21637] 0.024680007 0.273803532 0.701516509 0.009002603 0.070674725 0.920322716
[21643] 0.009929837 0.103257045 0.886813104 0.040037360 0.422305554 0.537657022
[21649] 0.044194710 0.427765310 0.528039992 0.030593053 0.404661924 0.564745069
[21655] 0.057627589 0.509355664 0.433016717 0.106709845 0.524187565 0.369102627
[21661] 0.415257156 0.333574891 0.251167983 0.039874356 0.426658601 0.533467054
[21667] 0.025315400 0.194864422 0.779820144 0.021141235 0.491255313 0.487603396
[21673] 0.050596345 0.417590857 0.531812847 0.073145613 0.416798502 0.510055900
[21679] 0.033409722 0.258341551 0.708248734 0.046060506 0.489268035 0.464671433
[21685] 0.071977518 0.345997989 0.582024515 0.489678890 0.352542490 0.157778651
[21691] 0.007139840 0.275566727 0.717293382 0.042525843 0.304722488 0.652751684
[21697] 0.117477313 0.630141377 0.252381295 0.042033318 0.422317922 0.535648763
[21703] 0.034360252 0.331102222 0.634537578 0.079156719 0.351101816 0.569741428
[21709] 0.033829100 0.377800852 0.588370085 0.052599479 0.412789464 0.534611046
[21715] 0.048521280 0.418289632 0.533189118 0.041589696 0.383561105 0.574849188
[21721] 0.208847031 0.514616370 0.276536614 0.061654638 0.609529614 0.328815758
[21727] 0.111427940 0.636644840 0.251927257 0.008198188 0.396524489 0.595277369
[21733] 0.022833539 0.257550389 0.719616115 0.142216578 0.541903794 0.315879643
[21739] 0.028447285 0.277661115 0.693891585 0.184406266 0.446237147 0.369356573
[21745] 0.092711352 0.441330999 0.465957612 0.008786339 0.235991642 0.755222023
[21751] 0.014050243 0.149707317 0.836242437 0.019928573 0.218738556 0.761332929
[21757] 0.034262300 0.322772026 0.642965674 0.055702567 0.503486514 0.440810889
[21763] 0.028761247 0.293536156 0.677702606 0.036695216 0.408771008 0.554533780
[21769] 0.031676717 0.436093569 0.532229722 0.015712935 0.149724364 0.834562719
[21775] 0.084721260 0.400369912 0.514908850 0.136990398 0.462069839 0.400939763
[21781] 0.039783418 0.339329094 0.620887518 0.128239229 0.529675305 0.342085481
[21787] 0.299195945 0.554517746 0.146286309 0.189838052 0.632766783 0.177395180
[21793] 0.057324544 0.498684227 0.443991274 0.054481275 0.448430330 0.497088373
[21799] 0.036181904 0.277947009 0.685871065 0.030859463 0.296013802 0.673126757
[21805] 0.042139534 0.611375213 0.346485198 0.037514910 0.289729983 0.672755063
[21811] 0.064644672 0.340859473 0.594495893 0.043493260 0.370224893 0.586281776
[21817] 0.016343759 0.118906938 0.864749312 0.089643791 0.635082662 0.275273532
[21823] 0.073270120 0.405625552 0.521104336 0.069169849 0.625816584 0.305013597
[21829] 0.031126516 0.264832437 0.704041004 0.034070842 0.316179365 0.649749756
[21835] 0.036167771 0.446411490 0.517420709 0.185902685 0.578802109 0.235295221
[21841] 0.147517458 0.407402635 0.445079863 0.091220178 0.519690275 0.389089584
[21847] 0.052956447 0.281381518 0.665661991 0.014641078 0.315135121 0.670223773
[21853] 0.094490692 0.519328773 0.386180550 0.049368162 0.547349989 0.403281868
[21859] 0.050647620 0.512140930 0.437211454 0.044736288 0.404101789 0.551161885
[21865] 0.109351687 0.598848343 0.291799963 0.043686494 0.420134485 0.536179006
[21871] 0.091370739 0.457418412 0.451210856 0.337742805 0.501123071 0.161134079
[21877] 0.018077960 0.313688099 0.668233931 0.090781860 0.448992431 0.460225672
[21883] 0.047020286 0.523189306 0.429790407 0.043300919 0.444265962 0.512433112
[21889] 0.063261114 0.549559236 0.387179643 0.140166461 0.504259109 0.355574459
[21895] 0.094073452 0.516516387 0.389410168 0.352066249 0.412770927 0.235162809
[21901] 0.030972729 0.303077042 0.665950239 0.082205743 0.419881076 0.497913212
[21907] 0.066650227 0.566796362 0.366553426 0.044965293 0.368035167 0.586999476
[21913] 0.183815554 0.485587865 0.330596626 0.073645204 0.438518852 0.487835914
[21919] 0.060109634 0.518117905 0.421772480 0.065051809 0.423735201 0.511213005
[21925] 0.084666915 0.534131587 0.381201506 0.106043637 0.509250462 0.384705901
[21931] 0.060559265 0.491726786 0.447713971 0.285833031 0.467560112 0.246606916
[21937] 0.152539045 0.553991616 0.293469310 0.016228801 0.190310895 0.793460369
[21943] 0.038230840 0.517501950 0.444267213 0.023724409 0.274437070 0.701838553
[21949] 0.036654118 0.398986369 0.564359486 0.388402045 0.341273814 0.270324111
[21955] 0.051358055 0.303205758 0.645436168 0.248183593 0.368197173 0.383619279
[21961] 0.034549575 0.459103227 0.506347179 0.120737478 0.618526161 0.260736376
[21967] 0.065114573 0.219272465 0.715612948 0.058595024 0.519175529 0.422229499
[21973] 0.062229767 0.587927401 0.349842817 0.216804445 0.486145616 0.297049969
[21979] 0.045317318 0.501590252 0.453092486 0.116338201 0.480937272 0.402724475
[21985] 0.007743599 0.437024564 0.555231810 0.115339659 0.430456281 0.454204082
[21991] 0.348996669 0.377865702 0.273137659 0.417091519 0.429633677 0.153274775
[21997] 0.033277169 0.335786253 0.630936563 0.018229313 0.220771268 0.760999441
[22003] 0.057427444 0.531000018 0.411572516 0.048414383 0.265228629 0.686356962
[22009] 0.060082115 0.355147272 0.584770620 0.022668619 0.318599790 0.658731639
[22015] 0.101432912 0.373192042 0.525375068 0.068455160 0.523740053 0.407804817
[22021] 0.062442895 0.437593073 0.499963999 0.035330322 0.577331007 0.387338668
[22027] 0.313786507 0.473067671 0.213145837 0.054775074 0.424742252 0.520482659
[22033] 0.130393907 0.463275373 0.406330675 0.051971521 0.330994993 0.617033482
[22039] 0.007819142 0.099475011 0.892705858 0.011940636 0.175990000 0.812069356
[22045] 0.061655633 0.357883483 0.580460846 0.298097700 0.557243288 0.144659042
[22051] 0.056684595 0.497014105 0.446301281 0.156467900 0.334065050 0.509467006
[22057] 0.054381046 0.472325683 0.473293304 0.056133427 0.565626025 0.378240556
[22063] 0.058261395 0.547925174 0.393813461 0.057037923 0.394933581 0.548028469
[22069] 0.035463750 0.263244420 0.701291859 0.028903982 0.185647741 0.785448253
[22075] 0.059138738 0.213310868 0.727550387 0.037838623 0.362222582 0.599938810
[22081] 0.019699812 0.250485092 0.729815125 0.170718029 0.418190837 0.411091149
[22087] 0.078161210 0.607515693 0.314323157 0.055771247 0.431807786 0.512421012
[22093] 0.183940738 0.627398491 0.188660800 0.016220767 0.254689246 0.729090035
[22099] 0.079412341 0.478226691 0.442360938 0.030541766 0.685327172 0.284131050
[22105] 0.060362767 0.448090523 0.491546690 0.161386207 0.595526695 0.243087143
[22111] 0.139472142 0.380926907 0.479600996 0.023011956 0.237921640 0.739066422
[22117] 0.196987092 0.429225415 0.373787493 0.262485623 0.527597010 0.209917411
[22123] 0.041812453 0.444653809 0.513533711 0.039712794 0.562203825 0.398083419
[22129] 0.042371187 0.245394409 0.712234437 0.044833720 0.441659838 0.513506413
[22135] 0.053176794 0.574880362 0.371942878 0.020025443 0.291523695 0.688450873
[22141] 0.251201659 0.473804981 0.274993360 0.024484143 0.225636333 0.749879479
[22147] 0.101306349 0.462594807 0.436098844 0.005088398 0.068206981 0.926704586
[22153] 0.038935084 0.467654139 0.493410796 0.030497393 0.801415980 0.168086573
[22159] 0.004186577 0.053453796 0.942359567 0.032782592 0.703949988 0.263267457
[22165] 0.063084081 0.428862184 0.508053720 0.042182658 0.450302660 0.507514656
[22171] 0.027850520 0.316318393 0.655831099 0.006607146 0.267976016 0.725416839
[22177] 0.060189638 0.447533578 0.492276847 0.130398408 0.587241888 0.282359689
[22183] 0.079842836 0.247451290 0.672705889 0.249579817 0.526196539 0.224223644
[22189] 0.061945949 0.415833384 0.522220671 0.112690926 0.550504804 0.336804241
[22195] 0.032234773 0.363746136 0.604019105 0.075092174 0.717186093 0.207721725
[22201] 0.048870288 0.296489030 0.654640675 0.035518479 0.294217438 0.670264125
[22207] 0.081650913 0.364448309 0.553900778 0.029997155 0.375999928 0.594002903
[22213] 0.018433698 0.212116137 0.769450188 0.044364668 0.344695747 0.610939622
[22219] 0.039177198 0.434938550 0.525884271 0.030242259 0.232870653 0.736887038
[22225] 0.066083051 0.550668478 0.383248508 0.259695232 0.490541905 0.249762848
[22231] 0.089732982 0.360719264 0.549547732 0.042680047 0.370746762 0.586573184
[22237] 0.091174141 0.252327383 0.656498432 0.069687665 0.480162889 0.450149477
[22243] 0.063185848 0.615520656 0.321293473 0.020450540 0.183760151 0.795789361
[22249] 0.015340446 0.225592718 0.759066880 0.030513583 0.393725425 0.575761020
[22255] 0.233611390 0.529424667 0.236963987 0.024927294 0.265150040 0.709922671
[22261] 0.010635741 0.123036236 0.866328001 0.029688800 0.423116833 0.547194362
[22267] 0.034552075 0.284824878 0.680623055 0.062768973 0.421481609 0.515749454
[22273] 0.147526324 0.411862582 0.440611064 0.093658678 0.454587162 0.451754153
[22279] 0.034705989 0.341281682 0.624012351 0.008341970 0.092506327 0.899151683
[22285] 0.035515223 0.266533405 0.697951376 0.010402745 0.078211449 0.911385775
[22291] 0.079664528 0.480573028 0.439762414 0.403023928 0.410220832 0.186755210
[22297] 0.065578535 0.407080024 0.527341425 0.065616712 0.351086348 0.583296895
[22303] 0.025678858 0.322120458 0.652200639 0.063782476 0.316895843 0.619321704
[22309] 0.047506344 0.507781029 0.444712609 0.053827059 0.321285754 0.624887228
[22315] 0.032611106 0.062100634 0.905288219 0.008095663 0.121663421 0.870240927
[22321] 0.035394158 0.320054293 0.644551575 0.047179431 0.316000909 0.636819720
[22327] 0.014943575 0.149572775 0.835483611 0.032547392 0.261394918 0.706057727
[22333] 0.112976618 0.590246379 0.296777040 0.120689221 0.504579842 0.374730885
[22339] 0.059262149 0.454875678 0.485862136 0.086987741 0.408910245 0.504102051
[22345] 0.058549732 0.399344385 0.542105854 0.127341673 0.364944458 0.507713854
[22351] 0.093141042 0.335103095 0.571755826 0.106611110 0.509089768 0.384299129
[22357] 0.081268877 0.420791805 0.497939348 0.098976552 0.368253797 0.532769620
[22363] 0.056242831 0.354048580 0.589708567 0.037478499 0.465434253 0.497087270
[22369] 0.057971150 0.462206304 0.479822487 0.130442470 0.401483029 0.468074471
[22375] 0.083627924 0.532832444 0.383539617 0.318269670 0.546256423 0.135473937
[22381] 0.032003529 0.316795349 0.651201129 0.186066791 0.468687385 0.345245868
[22387] 0.018038336 0.519712985 0.462248623 0.138120025 0.484716415 0.377163589
[22393] 0.057531945 0.443707138 0.498760909 0.032567404 0.355318278 0.612114310
[22399] 0.024929825 0.234172016 0.740898132 0.079549395 0.432162434 0.488288105
[22405] 0.328561157 0.478337914 0.193100974 0.011148454 0.294196010 0.694655597
[22411] 0.057226483 0.491455644 0.451317877 0.123334050 0.359728605 0.516937315
[22417] 0.040969297 0.298783213 0.660247505 0.254190892 0.572561741 0.173247367
[22423] 0.115692258 0.420046210 0.464261591 0.076876380 0.441455334 0.481668293
[22429] 0.096162245 0.417490363 0.486347377 0.109347187 0.539839029 0.350813806
[22435] 0.073136680 0.507181227 0.419682115 0.222433418 0.563661158 0.213905454
[22441] 0.045999881 0.403619468 0.550380588 0.080522172 0.494092643 0.425385147
[22447] 0.043013565 0.459420532 0.497565866 0.062923491 0.455195487 0.481880963
[22453] 0.280004054 0.430012405 0.289983511 0.059976161 0.320025027 0.619998813
[22459] 0.201744512 0.373575777 0.424679726 0.045372345 0.268876374 0.685751259
[22465] 0.055100415 0.428476423 0.516423225 0.084337465 0.453084052 0.462578535
[22471] 0.053338017 0.353624910 0.593037069 0.029315354 0.227871433 0.742813170
[22477] 0.092673950 0.431893170 0.475432873 0.119696610 0.515352726 0.364950627
[22483] 0.071081631 0.366241485 0.562676847 0.166747630 0.432679206 0.400573224
[22489] 0.025559301 0.263777882 0.710662782 0.073841862 0.505066872 0.421091288
[22495] 0.054992687 0.438494295 0.506513000 0.037646059 0.284063458 0.678290486
[22501] 0.259676039 0.426292866 0.314031065 0.022621928 0.343237519 0.634140551
[22507] 0.063815661 0.481216311 0.454968065 0.053905241 0.458427668 0.487667054
[22513] 0.028731503 0.271158665 0.700109839 0.042406298 0.432478368 0.525115311
[22519] 0.049216688 0.299759120 0.651024163 0.066913038 0.433368325 0.499718696
[22525] 0.072054759 0.619048536 0.308896720 0.075401925 0.486364335 0.438233674
[22531] 0.133745685 0.650531292 0.215723008 0.074583359 0.329161853 0.596254766
[22537] 0.156106204 0.610211790 0.233682051 0.313504815 0.504892349 0.181602806
[22543] 0.059702832 0.390672982 0.549624205 0.100929275 0.578561664 0.320509136
[22549] 0.060870849 0.268197179 0.670931935 0.071409643 0.457075298 0.471515030
[22555] 0.032917563 0.306839854 0.660242617 0.028312286 0.302625328 0.669062376
[22561] 0.063966222 0.373777181 0.562256575 0.022218855 0.305537254 0.672243893
[22567] 0.058407210 0.467320979 0.474271834 0.131500229 0.409064412 0.459435374
[22573] 0.062020849 0.305333287 0.632645845 0.122745007 0.454664946 0.422590047
[22579] 0.179237545 0.497999966 0.322762519 0.114648409 0.424518496 0.460833132
[22585] 0.058484055 0.518143117 0.423372805 0.050266057 0.356283754 0.593450189
[22591] 0.063148737 0.410706699 0.526144505 0.046831183 0.334888577 0.618280232
[22597] 0.019525541 0.172463089 0.808011353 0.027158985 0.308268636 0.664572358
[22603] 0.123743653 0.356952608 0.519303739 0.109802812 0.421686620 0.468510598
[22609] 0.172862768 0.514337599 0.312799603 0.045214351 0.321787536 0.632998109
[22615] 0.392569810 0.447925538 0.159504607 0.029610703 0.367339700 0.603049576
[22621] 0.037989687 0.445408732 0.516601562 0.098678276 0.473143876 0.428177834
[22627] 0.025178244 0.300200343 0.674621403 0.037637603 0.418548882 0.543813527
[22633] 0.089029253 0.583010852 0.327959865 0.056144211 0.380402982 0.563452780
[22639] 0.176991329 0.443852305 0.379156321 0.039030060 0.301615536 0.659354389
[22645] 0.383947343 0.435728580 0.180324093 0.037986219 0.458954304 0.503059447
[22651] 0.032742657 0.322068393 0.645188987 0.087519750 0.440020472 0.472459823
[22657] 0.010452196 0.107894294 0.881653547 0.010975022 0.376232296 0.612792671
[22663] 0.037566990 0.234579906 0.727853179 0.053995665 0.610944808 0.335059464
[22669] 0.077915862 0.464636922 0.457447171 0.071909525 0.344941616 0.583148837
[22675] 0.030746713 0.440601289 0.528652012 0.381999731 0.396351039 0.221649274
[22681] 0.028653989 0.511573136 0.459772885 0.025737884 0.332744211 0.641517937
[22687] 0.120843597 0.499672979 0.379483432 0.110898584 0.488255829 0.400845647
[22693] 0.080028586 0.365552872 0.554418504 0.063166060 0.397724152 0.539109826
[22699] 0.026500205 0.271627963 0.701871753 0.066037551 0.517527223 0.416435212
[22705] 0.538990319 0.353804410 0.107205257 0.178327203 0.308067411 0.513605416
[22711] 0.216729239 0.540468395 0.242802337 0.081574336 0.352764010 0.565661609
[22717] 0.044580653 0.447018176 0.508401215 0.010693325 0.571226478 0.418080181
[22723] 0.008631591 0.588823259 0.402545124 0.012795367 0.509706318 0.477498323
[22729] 0.470088929 0.372710526 0.157200590 0.365437150 0.382349730 0.252213091
[22735] 0.052066602 0.411507457 0.536426008 0.029975036 0.235105038 0.734919906
[22741] 0.028271122 0.467074215 0.504654706 0.392764211 0.423422307 0.183813527
[22747] 0.024435865 0.190764084 0.784799993 0.440700352 0.390355080 0.168944523
[22753] 0.017367860 0.264401972 0.718230188 0.161172658 0.383431941 0.455395401
[22759] 0.016737584 0.197603151 0.785659254 0.024216169 0.699558020 0.276225775
[22765] 0.094204277 0.537410498 0.368385196 0.048476901 0.398895174 0.552627921
[22771] 0.021645620 0.768752754 0.209601596 0.047467180 0.449618965 0.502913833
[22777] 0.187196881 0.451024681 0.361778408 0.092109926 0.416590154 0.491299927
[22783] 0.030467918 0.370543033 0.598989069 0.031003689 0.404449314 0.564547002
[22789] 0.059467129 0.411781132 0.528751731 0.064013384 0.467204392 0.468782246
[22795] 0.019556375 0.230424613 0.750019014 0.025503032 0.279868186 0.694628775
[22801] 0.056689560 0.406728804 0.536581635 0.152008951 0.410075486 0.437915593
[22807] 0.441336364 0.444835573 0.113828026 0.132703468 0.625854254 0.241442278
[22813] 0.088324748 0.521669686 0.390005529 0.010279874 0.039674994 0.950045168
[22819] 0.048396874 0.387042612 0.564560473 0.018399188 0.174699232 0.806901634
[22825] 0.006410703 0.378340781 0.615248501 0.049670674 0.354544044 0.595785260
[22831] 0.120333642 0.474760771 0.404905617 0.170197144 0.595458448 0.234344438
[22837] 0.048320930 0.384324998 0.567354083 0.022486078 0.051618464 0.925895452
[22843] 0.230689198 0.578618586 0.190692201 0.023795260 0.355800241 0.620404482
[22849] 0.129595652 0.404052585 0.466351718 0.014893523 0.142597690 0.842508793
[22855] 0.046306107 0.369255543 0.584438384 0.004373545 0.350941509 0.644684911
[22861] 0.125692934 0.506865561 0.367441475 0.098650731 0.535357952 0.365991294
[22867] 0.040362138 0.316709399 0.642928481 0.474952221 0.414196044 0.110851765
[22873] 0.095313840 0.400646895 0.504039228 0.041507419 0.441465944 0.517026663
[22879] 0.121366680 0.368368328 0.510264993 0.012457484 0.037589192 0.949953258
[22885] 0.060036097 0.475833505 0.464130372 0.151099160 0.528275907 0.320624948
[22891] 0.011966649 0.146588922 0.841444433 0.015430321 0.161005229 0.823564410
[22897] 0.129189402 0.601463318 0.269347310 0.124119744 0.449308187 0.426572084
[22903] 0.126537487 0.580780864 0.292681634 0.022752715 0.262423545 0.714823723
[22909] 0.155794591 0.445592552 0.398612827 0.054418519 0.384575158 0.561006308
[22915] 0.050774351 0.379475176 0.569750428 0.070788592 0.540893495 0.388317943
[22921] 0.024201423 0.261705041 0.714093506 0.060472131 0.433163345 0.506364524
[22927] 0.039972886 0.387188196 0.572838902 0.024887815 0.288570315 0.686541855
[22933] 0.065484688 0.482543409 0.451971859 0.021835878 0.221016869 0.757147253
[22939] 0.081272557 0.531906068 0.386821330 0.042760059 0.291104972 0.666134953
[22945] 0.101781450 0.525843859 0.372374713 0.040464226 0.312696904 0.646838903
[22951] 0.023404233 0.397361189 0.579234540 0.067319445 0.372129142 0.560551405
[22957] 0.036851592 0.292735547 0.670412838 0.045505296 0.361668557 0.592826128
[22963] 0.117844038 0.586146116 0.296009809 0.220132813 0.532304704 0.247562498
[22969] 0.008497891 0.323439509 0.668062627 0.092130885 0.518340647 0.389528424
[22975] 0.027458645 0.238195851 0.734345496 0.075925395 0.479299575 0.444775045
[22981] 0.017538525 0.103830799 0.878630698 0.085129477 0.478857100 0.436013460
[22987] 0.068583272 0.436097503 0.495319247 0.030380346 0.260507405 0.709112287
[22993] 0.057734691 0.473081857 0.469183475 0.259160548 0.372853994 0.367985427
[22999] 0.338230669 0.346453816 0.315315485 0.014529991 0.154298142 0.831171870
[23005] 0.030775789 0.250290364 0.718933880 0.067800768 0.534017920 0.398181289
[23011] 0.089544035 0.351796210 0.558659732 0.081987523 0.528735578 0.389276952
[23017] 0.014625047 0.205457196 0.779917717 0.800197244 0.184503704 0.015299007
[23023] 0.026158668 0.334676385 0.639164984 0.010602667 0.038430009 0.950967312
[23029] 0.073825642 0.521222711 0.404951632 0.017794412 0.323729366 0.658476233
[23035] 0.249072254 0.493734360 0.257193446 0.096240520 0.395409346 0.508350134
[23041] 0.045468543 0.442431927 0.512099504 0.039959025 0.495614707 0.464426249
[23047] 0.010343378 0.633736014 0.355920613 0.107617080 0.410482109 0.481900781
[23053] 0.037738703 0.348251998 0.614009261 0.252965122 0.511776924 0.235257953
[23059] 0.009415220 0.577003539 0.413581192 0.150435403 0.579103470 0.270461142
[23065] 0.085243203 0.391938031 0.522818804 0.025727946 0.423352003 0.550920010
[23071] 0.027739031 0.104862146 0.867398858 0.049726669 0.561260104 0.389013231
[23077] 0.531631172 0.382140964 0.086227857 0.207292110 0.482558280 0.310149610
[23083] 0.039678395 0.354237735 0.606083870 0.214150876 0.589918256 0.195930898
[23089] 0.126065597 0.554274440 0.319659978 0.036766041 0.397950530 0.565283418
[23095] 0.051879998 0.402462780 0.545657218 0.054321632 0.447994530 0.497683883
[23101] 0.019760419 0.179015875 0.801223695 0.326091737 0.444733888 0.229174361
[23107] 0.026540916 0.433953792 0.539505303 0.052385177 0.284623712 0.662991107
[23113] 0.023175385 0.316949934 0.659874678 0.014916847 0.176311851 0.808771253
[23119] 0.043535903 0.411162108 0.545301974 0.012389092 0.189296082 0.798314810
[23125] 0.019590942 0.251036823 0.729372263 0.090344459 0.373963594 0.535691977
[23131] 0.024572305 0.279452503 0.695975125 0.145206749 0.535033762 0.319759548
[23137] 0.089934140 0.317133904 0.592931926 0.023600984 0.265314519 0.711084485
[23143] 0.033617061 0.464995533 0.501387417 0.068495743 0.380864143 0.550640106
[23149] 0.015116982 0.076304384 0.908578694 0.030095110 0.692739904 0.277164996
[23155] 0.267858088 0.401296228 0.330845714 0.019559275 0.388541132 0.591899574
[23161] 0.082048416 0.508377016 0.409574568 0.087073587 0.538360953 0.374565482
[23167] 0.302755177 0.405988127 0.291256666 0.096614793 0.395227671 0.508157551
[23173] 0.043417659 0.412382245 0.544200063 0.379645228 0.350482285 0.269872487
[23179] 0.041477818 0.461616546 0.496905595 0.089336388 0.395387709 0.515275896
[23185] 0.087436214 0.656579673 0.255984098 0.068551823 0.427697182 0.503750980
[23191] 0.158168197 0.596309841 0.245521992 0.013375894 0.703053474 0.283570558
[23197] 0.038983982 0.328747064 0.632268965 0.225759923 0.497107416 0.277132690
[23203] 0.084646538 0.353167474 0.562186003 0.015121744 0.412705243 0.572172999
[23209] 0.080214940 0.379766226 0.540018857 0.074455351 0.434942633 0.490602046
[23215] 0.236754641 0.526198685 0.237046704 0.030244399 0.257786393 0.711969197
[23221] 0.091151319 0.582944572 0.325904101 0.033765335 0.357502341 0.608732283
[23227] 0.010783182 0.212445915 0.776770949 0.035546977 0.381746113 0.582706928
[23233] 0.030738743 0.422474086 0.546787143 0.060457002 0.508373082 0.431169897
[23239] 0.028240273 0.223867923 0.747891784 0.049626999 0.455505282 0.494867742
[23245] 0.020214953 0.336870372 0.642914653 0.389893293 0.472496420 0.137610272
[23251] 0.044484686 0.355506122 0.600009143 0.189094484 0.583998621 0.226906911
[23257] 0.255657524 0.482054263 0.262288153 0.063903414 0.541592538 0.394504040
[23263] 0.060497377 0.438154221 0.501348376 0.030551974 0.318824500 0.650623560
[23269] 0.030594274 0.277142107 0.692263663 0.115872733 0.440252721 0.443874568
[23275] 0.047259718 0.372777462 0.579962790 0.011597049 0.177311450 0.811091483
[23281] 0.126303762 0.594285011 0.279411227 0.020157333 0.428350836 0.551491857
[23287] 0.049883600 0.479058534 0.471057862 0.010735055 0.415922344 0.573342621
[23293] 0.070631847 0.464856803 0.464511395 0.156160623 0.387021750 0.456817627
[23299] 0.049129013 0.395648271 0.555222690 0.237233236 0.444763839 0.318002939
[23305] 0.027446955 0.199523628 0.773029387 0.110761449 0.503639758 0.385598749
[23311] 0.087801501 0.518858552 0.393339992 0.210035026 0.443286777 0.346678197
[23317] 0.165867299 0.507092178 0.327040493 0.052430332 0.530831993 0.416737676
[23323] 0.420491725 0.465767205 0.113741115 0.059617225 0.456564635 0.483818114
[23329] 0.028127203 0.393323332 0.578549445 0.021969900 0.184805021 0.793225050
[23335] 0.022741752 0.335105062 0.642153144 0.128560737 0.520607233 0.350832045
[23341] 0.078495599 0.395698786 0.525805593 0.033241536 0.557384491 0.409373969
[23347] 0.071705095 0.383374304 0.544920623 0.012301995 0.355038583 0.632659435
[23353] 0.040458389 0.325712711 0.633828938 0.060841948 0.638680339 0.300477743
[23359] 0.073757879 0.516843915 0.409398258 0.043320261 0.402604491 0.554075241
[23365] 0.068398327 0.383260548 0.548341095 0.184057325 0.538612127 0.277330548
[23371] 0.044554327 0.482376188 0.473069519 0.030051610 0.364361942 0.605586469
[23377] 0.043314181 0.369358391 0.587327421 0.147575781 0.327447802 0.524976432
[23383] 0.200997323 0.392526388 0.406476319 0.040925626 0.387501687 0.571572721
[23389] 0.187936008 0.417822838 0.394241214 0.028115064 0.355402231 0.616482675
[23395] 0.074083984 0.333333164 0.592582881 0.025350282 0.292589933 0.682059765
[23401] 0.042052470 0.396230251 0.561717272 0.096094869 0.511003852 0.392901242
[23407] 0.057806350 0.587348998 0.354844630 0.043359328 0.278888732 0.677751899
[23413] 0.343791962 0.513690770 0.142517328 0.050262168 0.323351502 0.626386285
[23419] 0.099919587 0.469366431 0.430714011 0.020746592 0.179789126 0.799464345
[23425] 0.092078783 0.475849658 0.432071537 0.054883648 0.484719783 0.460396588
[23431] 0.091261581 0.511931777 0.396806657 0.139992967 0.625930250 0.234076753
[23437] 0.083110608 0.517108321 0.399781048 0.008195822 0.466889739 0.524914443
[23443] 0.047960497 0.571096241 0.380943269 0.035426978 0.265522599 0.699050426
[23449] 0.023369435 0.341619372 0.635011196 0.294000387 0.429557294 0.276442319
[23455] 0.333699375 0.472864091 0.193436548 0.019067734 0.636620641 0.344311655
[23461] 0.019501531 0.268487394 0.712011039 0.331529528 0.479700506 0.188769981
[23467] 0.277844995 0.586547136 0.135607868 0.265383989 0.507000387 0.227615669
[23473] 0.044251435 0.437349439 0.518399119 0.223421365 0.454254150 0.322324455
[23479] 0.301931500 0.456566125 0.241502404 0.033243418 0.317857862 0.648898721
[23485] 0.030115426 0.474733680 0.495150834 0.086127609 0.465099812 0.448772550
[23491] 0.053863704 0.474429935 0.471706361 0.031258203 0.705435038 0.263306767
[23497] 0.195228741 0.445877731 0.358893573 0.014589721 0.146604836 0.838805437
[23503] 0.066634648 0.447209060 0.486156285 0.013556351 0.324223638 0.662220001
[23509] 0.212941453 0.363030225 0.424028307 0.008140825 0.301354200 0.690504968
[23515] 0.019107673 0.641814470 0.339077830 0.053818382 0.578850210 0.367331415
[23521] 0.032821689 0.260700524 0.706477761 0.039917417 0.418175668 0.541906953
[23527] 0.033724260 0.829554260 0.136721432 0.081199273 0.467488766 0.451311976
[23533] 0.063622646 0.334763706 0.601613641 0.059757076 0.424917281 0.515325665
[23539] 0.058231700 0.405006707 0.536761582 0.036976781 0.348445714 0.614577472
[23545] 0.044140667 0.313602954 0.642256439 0.082742624 0.476614416 0.440642923
[23551] 0.007199631 0.124285296 0.868515015 0.015286651 0.270623744 0.714089572
[23557] 0.409979075 0.395937085 0.194083884 0.183646351 0.670183599 0.146169990
[23563] 0.014885358 0.647986531 0.337128133 0.014116421 0.155930892 0.829952657
[23569] 0.039562028 0.293393850 0.667044103 0.054847334 0.619637489 0.325515151
[23575] 0.069057614 0.357928187 0.573014200 0.007754527 0.525300860 0.466944635
[23581] 0.015725352 0.280307204 0.703967392 0.054724429 0.422148973 0.523126602
[23587] 0.385386139 0.434635431 0.179978490 0.012182117 0.113931313 0.873886585
[23593] 0.037566405 0.356931269 0.605502307 0.020794099 0.303855300 0.675350606
[23599] 0.081451774 0.562966108 0.355582118 0.261748463 0.456701696 0.281549811
[23605] 0.026719810 0.332805961 0.640474200 0.322639734 0.425750226 0.251609981
[23611] 0.026695995 0.367569357 0.605734646 0.020995013 0.631769478 0.347235501
[23617] 0.237645447 0.393175364 0.369179159 0.138864964 0.455651790 0.405483276
[23623] 0.254150897 0.502628148 0.243220985 0.111344948 0.454039723 0.434615314
[23629] 0.054760244 0.418430597 0.526809156 0.348953098 0.444515437 0.206531495
[23635] 0.036597788 0.256647497 0.706754744 0.085046850 0.476211518 0.438741565
[23641] 0.018669570 0.215652555 0.765677929 0.261531651 0.535047650 0.203420684
[23647] 0.499093086 0.416195840 0.084711075 0.062232189 0.319340765 0.618427038
[23653] 0.120839238 0.396731704 0.482429028 0.046625882 0.246288598 0.707085490
[23659] 0.044194877 0.307932138 0.647873044 0.021339681 0.297009319 0.681650996
[23665] 0.294785649 0.404662162 0.300552160 0.030947272 0.352331251 0.616721511
[23671] 0.007959555 0.568570435 0.423470020 0.013127737 0.452775508 0.534096777
[23677] 0.031850316 0.281390607 0.686759055 0.020135157 0.350001186 0.629863679
[23683] 0.220175177 0.395926625 0.383898199 0.053115405 0.335690051 0.611194551
[23689] 0.100648716 0.501942992 0.397408277 0.215126052 0.400084853 0.384789139
[23695] 0.088966340 0.452244401 0.458789289 0.078567512 0.494184852 0.427247643
[23701] 0.020794693 0.413767159 0.565438211 0.014107935 0.317166835 0.668725252
[23707] 0.219488606 0.588808715 0.191702649 0.055629220 0.377395302 0.566975415
[23713] 0.023742013 0.313530922 0.662727058 0.033895113 0.318931520 0.647173405
[23719] 0.126644284 0.460067421 0.413288236 0.122338541 0.353075743 0.524585724
[23725] 0.013464590 0.186035156 0.800500274 0.051281370 0.290715635 0.658003032
[23731] 0.117514029 0.465629458 0.416856527 0.036528204 0.348974138 0.614497662
[23737] 0.064499430 0.609860599 0.325639963 0.051534854 0.481680423 0.466784745
[23743] 0.055056512 0.331901461 0.613041997 0.264369756 0.478678495 0.256951720
[23749] 0.101699725 0.410166591 0.488133639 0.058098972 0.434268355 0.507632673
[23755] 0.217378855 0.419104338 0.363516778 0.074184217 0.521255016 0.404560804
[23761] 0.040183645 0.359803647 0.600012720 0.117841877 0.508985043 0.373173058
[23767] 0.040544163 0.592107534 0.367348313 0.053329304 0.563299537 0.383371115
[23773] 0.014328601 0.047787242 0.937884092 0.055604097 0.534414411 0.409981519
[23779] 0.056657933 0.443267196 0.500074863 0.024450656 0.311629087 0.663920283
[23785] 0.058113914 0.416276574 0.525609493 0.135001332 0.396390498 0.468608111
[23791] 0.049532052 0.341476917 0.608991027 0.144262075 0.358308524 0.497429430
[23797] 0.032137062 0.313057542 0.654805362 0.063937701 0.434405446 0.501656830
[23803] 0.025344810 0.297840953 0.676814258 0.106780931 0.445310503 0.447908551
[23809] 0.150562704 0.525492072 0.323945224 0.161506400 0.472313613 0.366179973
[23815] 0.065758772 0.482523531 0.451717734 0.284499139 0.432105511 0.283395350
[23821] 0.084755927 0.483288020 0.431956083 0.054155201 0.451440185 0.494404584
[23827] 0.050469842 0.317725897 0.631804228 0.025166264 0.314427882 0.660405874
[23833] 0.090504006 0.551753342 0.357742667 0.054804359 0.460883856 0.484311759
[23839] 0.073967710 0.453185380 0.472846925 0.024020748 0.340679854 0.635299444
[23845] 0.121235721 0.455015957 0.423748314 0.006007796 0.567427516 0.426564693
[23851] 0.008086421 0.349457324 0.642456293 0.103257053 0.360426366 0.536316574
[23857] 0.015395151 0.335031062 0.649573743 0.248136371 0.421479136 0.330384523
[23863] 0.056979317 0.416179508 0.526841164 0.263674229 0.436428964 0.299896866
[23869] 0.216892377 0.594471157 0.188636467 0.052896045 0.271953076 0.675150812
[23875] 0.012530881 0.617405415 0.370063692 0.120521091 0.597304463 0.282174438
[23881] 0.011717707 0.038899958 0.949382365 0.042399392 0.346828371 0.610772252
[23887] 0.070063926 0.456902474 0.473033637 0.449721634 0.305326700 0.244951665
[23893] 0.049818795 0.403256088 0.546925128 0.248800784 0.464457780 0.286741436
[23899] 0.092888430 0.388464272 0.518647313 0.030336400 0.360721171 0.608942389
[23905] 0.112075515 0.526897669 0.361026853 0.010557480 0.264424682 0.725017786
[23911] 0.016462715 0.571607828 0.411929518 0.027248697 0.226452723 0.746298552
[23917] 0.177851677 0.574825585 0.247322753 0.036470994 0.286766231 0.676762760
[23923] 0.008638138 0.778668642 0.212693214 0.070587590 0.380486131 0.548926294
[23929] 0.104690701 0.489786744 0.405522525 0.022288555 0.297769934 0.679941475
[23935] 0.129358143 0.387412250 0.483229548 0.454296827 0.402873933 0.142829239
[23941] 0.077853695 0.553929150 0.368217170 0.088301606 0.495442301 0.416256100
[23947] 0.063587561 0.417628229 0.518784165 0.012182298 0.272686571 0.715131164
[23953] 0.128497541 0.479208171 0.392294228 0.392855138 0.406629741 0.200515091
[23959] 0.009026296 0.587847769 0.403125942 0.010491506 0.635093749 0.354414731
[23965] 0.018244360 0.292429000 0.689326704 0.146638960 0.715199232 0.138161808
[23971] 0.074938856 0.518462420 0.406598687 0.082133308 0.406047732 0.511818945
[23977] 0.053396143 0.460392982 0.486210942 0.009168927 0.117352277 0.873478770
[23983] 0.016467456 0.187779322 0.795753181 0.472670823 0.372384161 0.154945061
[23989] 0.062649794 0.429938048 0.507412195 0.135007471 0.381951332 0.483041167
[23995] 0.331879526 0.428908914 0.239211589 0.055990748 0.412526369 0.531482875
[24001] 0.135698661 0.520950615 0.343350738 0.037183743 0.472162962 0.490653217
[24007] 0.254175395 0.388962835 0.356861770 0.320379168 0.485686362 0.193934381
[24013] 0.090694986 0.429236442 0.480068594 0.032985665 0.271112025 0.695902288
[24019] 0.042213503 0.398403198 0.559383333 0.048506983 0.439483196 0.512009799
[24025] 0.040692419 0.359936208 0.599371374 0.029397402 0.248207703 0.722394884
[24031] 0.093576983 0.429348111 0.477074921 0.185334504 0.395945698 0.418719798
[24037] 0.106047735 0.283782065 0.610170186 0.008746224 0.410660475 0.580593288
[24043] 0.081743814 0.420741796 0.497514397 0.061445471 0.406730562 0.531823933
[24049] 0.029909749 0.289611667 0.680478513 0.012370287 0.165279582 0.822350144
[24055] 0.044554610 0.760804832 0.194640562 0.017265823 0.428267658 0.554466486
[24061] 0.063814320 0.414845198 0.521340489 0.044660214 0.323179454 0.632160306
[24067] 0.314245939 0.514711142 0.171042919 0.032384504 0.346448809 0.621166646
[24073] 0.074857853 0.429033667 0.496108413 0.292273372 0.506342947 0.201383695
[24079] 0.016025292 0.156522870 0.827451825 0.084283397 0.504959166 0.410757422
[24085] 0.083205149 0.444314092 0.472480714 0.012280014 0.122315988 0.865403950
[24091] 0.044141538 0.350696474 0.605162024 0.007895203 0.131533206 0.860571563
[24097] 0.075177148 0.523695529 0.401127279 0.163171753 0.458383501 0.378444731
[24103] 0.087833919 0.405092657 0.507073462 0.290317059 0.446742773 0.262940139
[24109] 0.223470286 0.373715997 0.402813762 0.092489004 0.581466973 0.326043993
[24115] 0.589494646 0.321990132 0.088515222 0.094913311 0.569329083 0.335757583
[24121] 0.209463358 0.325441331 0.465095311 0.008154543 0.489611864 0.502233565
[24127] 0.117548011 0.511428118 0.371023864 0.019645214 0.638732612 0.341622114
[24133] 0.079282366 0.575633287 0.345084310 0.063376769 0.576691747 0.359931499
[24139] 0.177724674 0.521096826 0.301178515 0.077982165 0.352028012 0.569989800
[24145] 0.065369971 0.313302755 0.621327281 0.023998013 0.280312628 0.695689321
[24151] 0.038397022 0.463519037 0.498083919 0.044048406 0.555809915 0.400141686
[24157] 0.146527752 0.522491872 0.330980390 0.236250326 0.536578119 0.227171600
[24163] 0.050458647 0.352523565 0.597017765 0.072965249 0.391493976 0.535540760
[24169] 0.071803816 0.399110585 0.529085636 0.028217152 0.303173274 0.668609619
[24175] 0.058713965 0.433397740 0.507888317 0.060714122 0.402897030 0.536388814
[24181] 0.027412634 0.429529011 0.543058336 0.157554999 0.438367486 0.404077500
[24187] 0.234695137 0.456913590 0.308391333 0.079622798 0.412501991 0.507875204
[24193] 0.027140394 0.396936417 0.575923204 0.006496638 0.035101574 0.958401799
[24199] 0.077568740 0.541574419 0.380856842 0.047244009 0.264357328 0.688398659
[24205] 0.048863076 0.450657487 0.500479460 0.227648899 0.406956851 0.365394205
[24211] 0.056264795 0.455593437 0.488141835 0.105363585 0.389066219 0.505570173
[24217] 0.083344877 0.487485796 0.429169297 0.031310104 0.437240332 0.531449556
[24223] 0.007344239 0.053228997 0.939426720 0.299102932 0.427513182 0.273383886
[24229] 0.122653402 0.442265034 0.435081571 0.332055807 0.452650696 0.215293467
[24235] 0.049192317 0.370371133 0.580436587 0.129476741 0.467304528 0.403218687
[24241] 0.041066315 0.521437347 0.437496364 0.015232453 0.156248957 0.828518569
[24247] 0.378357708 0.354341060 0.267301202 0.305472463 0.471812546 0.222714990
[24253] 0.130686671 0.422522992 0.446790367 0.072210871 0.514381170 0.413407981
[24259] 0.074604876 0.385497659 0.539897442 0.205909565 0.543829679 0.250260770
[24265] 0.135289297 0.421159357 0.443551302 0.051928412 0.284437746 0.663633883
[24271] 0.075795278 0.509639621 0.414565086 0.083939955 0.476973116 0.439086974
[24277] 0.035720523 0.617771089 0.346508384 0.014454488 0.221565321 0.763980210
[24283] 0.058016241 0.407739609 0.534244180 0.101235233 0.563569963 0.335194826
[24289] 0.044799548 0.366067052 0.589133382 0.041595917 0.572877645 0.385526448
[24295] 0.014702630 0.280866116 0.704431236 0.509325564 0.312226713 0.178447723
[24301] 0.168387026 0.435664833 0.395948172 0.094674803 0.508025289 0.397299916
[24307] 0.582057357 0.328828573 0.089114077 0.044403829 0.362823874 0.592772305
[24313] 0.031590328 0.134929940 0.833479762 0.090128608 0.378589690 0.531281710
[24319] 0.056957118 0.436557204 0.506485641 0.023095639 0.311294824 0.665609539
[24325] 0.040105235 0.296555191 0.663339555 0.047958434 0.266796589 0.685244977
[24331] 0.074091598 0.401945114 0.523963273 0.014576573 0.064751945 0.920671463
[24337] 0.065730475 0.402024984 0.532244503 0.225494802 0.523430765 0.251074433
[24343] 0.101054259 0.492344171 0.406601638 0.104653209 0.444343150 0.451003671
[24349] 0.021282533 0.538535535 0.440181911 0.031023866 0.696363807 0.272612303
[24355] 0.119963586 0.390694559 0.489341885 0.022804976 0.302115053 0.675080001
[24361] 0.087228596 0.434965223 0.477806240 0.028312646 0.363577873 0.608109534
[24367] 0.008334441 0.526625097 0.465040445 0.052198730 0.325010121 0.622791171
[24373] 0.124256656 0.504688203 0.371055156 0.018406475 0.291277736 0.690315783
[24379] 0.026275001 0.296089590 0.677635431 0.103915311 0.587615728 0.308468938
[24385] 0.029398644 0.802119076 0.168482304 0.048372321 0.388456643 0.563171029
[24391] 0.142049685 0.491769612 0.366180658 0.059328131 0.420041561 0.520630300
[24397] 0.030058054 0.376327991 0.593613923 0.179286852 0.447197527 0.373515666
[24403] 0.074020669 0.555839002 0.370140344 0.076166019 0.337962925 0.585871041
[24409] 0.043421984 0.413427740 0.543150246 0.287648231 0.348030627 0.364321113
[24415] 0.018482367 0.637470543 0.344047099 0.227016523 0.539818287 0.233165190
[24421] 0.172489017 0.474327177 0.353183776 0.067804135 0.403015256 0.529180646
[24427] 0.010680148 0.338032812 0.651287079 0.188731715 0.543299079 0.267969221
[24433] 0.060318395 0.356084257 0.583597362 0.314754814 0.596635044 0.088610180
[24439] 0.101262666 0.387617409 0.511119902 0.076213054 0.349817306 0.573969603
[24445] 0.132482141 0.591711760 0.275806099 0.046754308 0.342349589 0.610896051
[24451] 0.115981199 0.430323929 0.453694850 0.029319454 0.314718902 0.655961633
[24457] 0.139960751 0.405174434 0.454864830 0.128419414 0.561498165 0.310082436
[24463] 0.084611237 0.439256221 0.476132542 0.453897029 0.435222358 0.110880651
[24469] 0.076055661 0.470208079 0.453736246 0.061824698 0.524986863 0.413188457
[24475] 0.222317740 0.530056477 0.247625738 0.217893273 0.582779944 0.199326783
[24481] 0.151654273 0.537036180 0.311309546 0.105464570 0.368257523 0.526277900
[24487] 0.009600662 0.363745540 0.626653790 0.203060642 0.377508759 0.419430554
[24493] 0.062700622 0.405683994 0.531615376 0.253671348 0.458151788 0.288176864
[24499] 0.105201840 0.333137512 0.561660707 0.030128932 0.296254039 0.673617005
[24505] 0.009074097 0.149581045 0.841344893 0.218662545 0.422482073 0.358855367
[24511] 0.036719516 0.215169713 0.748110771 0.010420473 0.042676967 0.946902573
[24517] 0.323064417 0.345827579 0.331108004 0.117842823 0.404821694 0.477335483
[24523] 0.017533831 0.291151255 0.691314936 0.068160914 0.425503850 0.506335199
[24529] 0.034033399 0.466161638 0.499805003 0.225868285 0.443129033 0.331002742
[24535] 0.165776044 0.607798815 0.226425201 0.063565142 0.343827873 0.592607021
[24541] 0.009247242 0.312970728 0.677781999 0.089516468 0.452663869 0.457819641
[24547] 0.233200014 0.455868870 0.310931087 0.051237717 0.364202619 0.584559619
[24553] 0.012800057 0.442846358 0.544353545 0.047212999 0.309932798 0.642854154
[24559] 0.045057911 0.347203016 0.607739091 0.153982863 0.457780659 0.388236523
[24565] 0.374103993 0.329373628 0.296522349 0.016781490 0.196625799 0.786592662
[24571] 0.180228293 0.582307518 0.237464219 0.142815039 0.699605465 0.157579541
[24577] 0.191874519 0.431013644 0.377111912 0.094427958 0.434485763 0.471086234
[24583] 0.604777694 0.322699249 0.072523065 0.016906952 0.337800860 0.645292163
[24589] 0.070583984 0.387116939 0.542299092 0.679362714 0.256882399 0.063754886
[24595] 0.053105276 0.118435107 0.828459561 0.123683117 0.501865208 0.374451697
[24601] 0.059097756 0.429661274 0.511240959 0.023834607 0.197319686 0.778845668
[24607] 0.102374196 0.345287979 0.552337825 0.084563836 0.387729436 0.527706742
[24613] 0.074479163 0.312485009 0.613035798 0.116441548 0.452603132 0.430955350
[24619] 0.073383026 0.347458422 0.579158545 0.052136198 0.426545888 0.521317899
[24625] 0.016202062 0.374868661 0.608929217 0.055014808 0.398111820 0.546873391
[24631] 0.012455300 0.612294555 0.375250131 0.069896199 0.527806044 0.402297795
[24637] 0.009852260 0.038866960 0.951280773 0.032058649 0.183739692 0.784201682
[24643] 0.097861893 0.518117845 0.384020239 0.021047082 0.218332320 0.760620654
[24649] 0.041531760 0.251602978 0.706865251 0.114434771 0.476859540 0.408705711
[24655] 0.108212635 0.588596940 0.303190440 0.352948189 0.496953219 0.150098637
[24661] 0.022125887 0.518822730 0.459051400 0.280056775 0.533638179 0.186305061
[24667] 0.030184608 0.300870776 0.668944597 0.508568048 0.287663221 0.203768745
[24673] 0.769927263 0.211833775 0.018238930 0.847909153 0.140305847 0.011784993
[24679] 0.097781315 0.185225308 0.716993392 0.019890128 0.272231400 0.707878530
[24685] 0.149310946 0.387643069 0.463045985 0.019068792 0.290815711 0.690115511
[24691] 0.036249645 0.536967397 0.426782966 0.304335892 0.493821502 0.201842666
[24697] 0.031217268 0.283389121 0.685393631 0.019114258 0.253166944 0.727718771
[24703] 0.039443165 0.316293031 0.644263804 0.255495608 0.571923196 0.172581181
[24709] 0.409388095 0.428324908 0.162286952 0.071705513 0.479541391 0.448753029
[24715] 0.024277924 0.291389227 0.684332848 0.302788794 0.345923096 0.351288110
[24721] 0.052320350 0.357403159 0.590276480 0.699375749 0.237033591 0.063590616
[24727] 0.604202569 0.337204963 0.058592480 0.196154550 0.423233151 0.380612254
[24733] 0.835643589 0.114406645 0.049949735 0.126108646 0.338959306 0.534932017
[24739] 0.680936217 0.228033543 0.091030225 0.547479212 0.294108719 0.158412084
[24745] 0.381782770 0.400294989 0.217922240 0.243356571 0.568272054 0.188371330
[24751] 0.362435132 0.524390697 0.113174215 0.143485993 0.496875733 0.359638244
[24757] 0.055180117 0.216067433 0.728752434 0.036259964 0.386612147 0.577127934
[24763] 0.017751474 0.207988471 0.774260044 0.101219036 0.547623038 0.351157933
[24769] 0.432640165 0.383909166 0.183450654 0.301995248 0.479366899 0.218637913
[24775] 0.526906490 0.280653507 0.192440003 0.186140895 0.276722878 0.537136257
[24781] 0.021550434 0.368219823 0.610229731 0.280775428 0.453342795 0.265881717
[24787] 0.121501163 0.560780644 0.317718208 0.376057297 0.418532640 0.205410093
[24793] 0.434712559 0.416142374 0.149145067 0.445226282 0.303284734 0.251489043
[24799] 0.089795105 0.400634855 0.509570003 0.006334758 0.041757178 0.951908052
[24805] 0.015806045 0.229641125 0.754552901 0.464983374 0.362720728 0.172295898
[24811] 0.056719575 0.336319447 0.606960952 0.007623886 0.645636857 0.346739233
[24817] 0.073757619 0.559174418 0.367067933 0.012204834 0.438947916 0.548847258
[24823] 0.025482347 0.244436324 0.730081320 0.031716336 0.261199623 0.707084060
[24829] 0.554933429 0.347670853 0.097395666 0.337845892 0.263228208 0.398925841
[24835] 0.034478106 0.287920386 0.677601457 0.029421682 0.307980865 0.662597418
[24841] 0.107767366 0.451476902 0.440755695 0.357273161 0.427060694 0.215666190
[24847] 0.076394260 0.481267005 0.442338735 0.036938850 0.402143598 0.560917556
[24853] 0.206265360 0.318394035 0.475340635 0.105491653 0.153536573 0.740971744
[24859] 0.194372535 0.175007090 0.630620360 0.156311229 0.254867435 0.588821352
[24865] 0.165071651 0.216506824 0.618421495 0.570380270 0.288175523 0.141444191
[24871] 0.195165992 0.284015447 0.520818591 0.046886522 0.113848001 0.839265466
[24877] 0.073603958 0.151274234 0.775121808 0.037397921 0.326548129 0.636053920
[24883] 0.054920051 0.401336014 0.543743968 0.025510360 0.335812837 0.638676763
[24889] 0.195268199 0.261610419 0.543121397 0.155356124 0.219703227 0.624940634
[24895] 0.299216151 0.321459472 0.379324347 0.107361473 0.459133923 0.433504641
[24901] 0.198914498 0.399845719 0.401239753 0.059160180 0.553222477 0.387617320
[24907] 0.028584342 0.441099882 0.530315757 0.010535206 0.459144205 0.530320585
[24913] 0.821468413 0.165608868 0.012922735 0.047913857 0.340340883 0.611745298
[24919] 0.086759567 0.519370973 0.393869430 0.116971627 0.426368147 0.456660181
[24925] 0.429093748 0.369405121 0.201501057 0.563996315 0.305477411 0.130526319
[24931] 0.045891199 0.285582781 0.668526053 0.012740095 0.104381934 0.882878006
[24937] 0.233249336 0.430440068 0.336310565 0.041330311 0.572491527 0.386178195
[24943] 0.019249333 0.357387662 0.623362958 0.016759291 0.163107410 0.820133328
[24949] 0.056997404 0.308885545 0.634117007 0.230344996 0.386121452 0.383533567
[24955] 0.035509370 0.407749981 0.556740642 0.084452450 0.510648906 0.404898614
[24961] 0.182987541 0.391684920 0.425327480 0.094494775 0.425142765 0.480362445
[24967] 0.018068625 0.438187957 0.543743432 0.025729038 0.348103225 0.626167715
[24973] 0.081999749 0.176993519 0.741006732 0.081208400 0.447302014 0.471489608
[24979] 0.030117081 0.274808943 0.695073962 0.031917885 0.211524859 0.756557286
[24985] 0.037656743 0.266854614 0.695488632 0.114583164 0.600120485 0.285296351
[24991] 0.019117435 0.161703944 0.819178641 0.069885939 0.719501317 0.210612774
[24997] 0.022029744 0.128824443 0.849145830 0.088989884 0.745694101 0.165316045
[25003] 0.079637296 0.425834179 0.494528502 0.199035317 0.431904227 0.369060427
[25009] 0.437985420 0.356182218 0.205832392 0.292503655 0.369218200 0.338278145
[25015] 0.060139395 0.386137426 0.553723216 0.143313944 0.456017405 0.400668651
[25021] 0.153770626 0.418260902 0.427968502 0.321118832 0.399867296 0.279013842
[25027] 0.061403498 0.139254898 0.799341619 0.851791739 0.134888887 0.013319379
[25033] 0.732284784 0.225490704 0.042224478 0.020690594 0.185809478 0.793500006
[25039] 0.140807986 0.502857566 0.356334448 0.242460087 0.246691108 0.510848761
[25045] 0.080104671 0.436755925 0.483139426 0.090150125 0.325744838 0.584105074
[25051] 0.057340976 0.402102649 0.540556371 0.319099933 0.275059581 0.405840516
[25057] 0.073545456 0.449721366 0.476733208 0.306197912 0.242976427 0.450825661
[25063] 0.131746754 0.395325214 0.472928017 0.037705511 0.312858403 0.649436116
[25069] 0.029054608 0.748394787 0.222550586 0.070552036 0.381681234 0.547766745
[25075] 0.011211619 0.057526514 0.931261897 0.046605378 0.479015648 0.474378973
[25081] 0.106467590 0.418665230 0.474867165 0.209523901 0.422005385 0.368470758
[25087] 0.052189659 0.478909194 0.468901098 0.078383595 0.470012158 0.451604247
[25093] 0.183097079 0.232654557 0.584248364 0.320021302 0.343621999 0.336356729
[25099] 0.021112058 0.388823479 0.590064466 0.079418421 0.220182791 0.700398743
[25105] 0.145754918 0.244080216 0.610164881 0.311834246 0.341471881 0.346693844
[25111] 0.653573215 0.240579829 0.105846934 0.184728786 0.173206314 0.642064929
[25117] 0.563456178 0.332646638 0.103897192 0.054692626 0.138649747 0.806657672
[25123] 0.296481103 0.197742566 0.505776346 0.187106639 0.237608790 0.575284541
[25129] 0.186790898 0.433283657 0.379925430 0.017414741 0.070920937 0.911664307
[25135] 0.131890178 0.661946654 0.206163138 0.010300554 0.188888729 0.800810754
[25141] 0.028909961 0.300398529 0.670691490 0.181959376 0.628947794 0.189092830
[25147] 0.045959871 0.282749087 0.671291053 0.031352669 0.249102503 0.719544828
[25153] 0.094557337 0.577495217 0.327947408 0.084435344 0.403167158 0.512397528
[25159] 0.295294881 0.312927037 0.391778082 0.239333987 0.316165686 0.444500357
[25165] 0.419305831 0.469946086 0.110748105 0.076135345 0.447699517 0.476165086
[25171] 0.108552210 0.438805729 0.452642113 0.051495794 0.433370620 0.515133560
[25177] 0.062990420 0.385659873 0.551349699 0.123800561 0.414306521 0.461892843
[25183] 0.041109402 0.703611672 0.255278915 0.020658210 0.225292861 0.754048944
[25189] 0.149746686 0.396831036 0.453422278 0.358466476 0.368905276 0.272628248
[25195] 0.134449229 0.269522607 0.596028149 0.158240035 0.279405624 0.562354326
[25201] 0.284370631 0.368802965 0.346826434 0.224958152 0.331626534 0.443415314
[25207] 0.206896618 0.259933531 0.533169866 0.183964953 0.241535708 0.574499369
[25213] 0.170037061 0.266130030 0.563832879 0.796195686 0.189932853 0.013871471
[25219] 0.236529842 0.448759615 0.314710528 0.692201138 0.274215519 0.033583347
[25225] 0.691398919 0.291002899 0.017598199 0.032444514 0.316257179 0.651298285
[25231] 0.918884039 0.077361979 0.003753971 0.281525671 0.496686757 0.221787557
[25237] 0.106079124 0.447618067 0.446302861 0.168309391 0.281260282 0.550430298
[25243] 0.102478780 0.197957620 0.699563563 0.304769218 0.267689228 0.427541584
[25249] 0.166628018 0.201477721 0.631894290 0.250735193 0.263359904 0.485904902
[25255] 0.264025211 0.250020981 0.485953838 0.025764531 0.271514744 0.702720702
[25261] 0.017808110 0.808398008 0.173793837 0.023013676 0.288630575 0.688355744
[25267] 0.026099645 0.447331518 0.526568830 0.052343782 0.313860148 0.633796096
[25273] 0.203436598 0.256649911 0.539913476 0.167596832 0.247574508 0.584828675
[25279] 0.124979526 0.405823141 0.469197303 0.057956405 0.309352219 0.632691383
[25285] 0.133262590 0.506566584 0.360170782 0.700471938 0.254600167 0.044927914
[25291] 0.212583229 0.385936856 0.401479959 0.190360054 0.386381030 0.423258901
[25297] 0.108582340 0.465430379 0.425987273 0.173449114 0.305180490 0.521370411
[25303] 0.104779139 0.399536192 0.495684654 0.273201764 0.432664841 0.294133335
[25309] 0.387922555 0.287472188 0.324605316 0.050614286 0.519214332 0.430171430
[25315] 0.016607715 0.309731841 0.673660457 0.210161939 0.281110227 0.508727849
[25321] 0.179267541 0.639139652 0.181592822 0.060272302 0.795773089 0.143954590
[25327] 0.069573343 0.300563723 0.629862964 0.787837744 0.191577390 0.020584811
[25333] 0.219959602 0.349140167 0.430900246 0.064284861 0.560160995 0.375554174
[25339] 0.024385827 0.236469895 0.739144325 0.126519099 0.189904660 0.683576226
[25345] 0.611133218 0.283390015 0.105476767 0.160937354 0.230074227 0.608988404
[25351] 0.060536601 0.139414892 0.800048530 0.210992709 0.402680457 0.386326820
[25357] 0.150228277 0.232517630 0.617254078 0.179291844 0.283251554 0.537456572
[25363] 0.432395309 0.307666600 0.259938091 0.018596435 0.306010664 0.675392866
[25369] 0.154863074 0.257980764 0.587156117 0.239184976 0.395218402 0.365596622
[25375] 0.022669813 0.215064690 0.762265444 0.058654815 0.607031941 0.334313273
[25381] 0.140564457 0.404310852 0.455124706 0.234212652 0.615169048 0.150618300
[25387] 0.241446957 0.580993772 0.177559212 0.031405002 0.344627619 0.623967409
[25393] 0.192350283 0.406103164 0.401546597 0.048798084 0.328268141 0.622933745
[25399] 0.017730974 0.097750932 0.884518147 0.195359036 0.521257222 0.283383697
[25405] 0.056927450 0.428127527 0.514944971 0.349564433 0.305754721 0.344680846
[25411] 0.272866875 0.375483781 0.351649374 0.883108020 0.109609917 0.007281998
[25417] 0.246225968 0.320271760 0.433502227 0.387951732 0.279478967 0.332569331
[25423] 0.180444509 0.263594598 0.555960894 0.208907411 0.312054008 0.479038626
[25429] 0.458193332 0.334686905 0.207119733 0.012095645 0.332278579 0.655625761
[25435] 0.014060684 0.186234131 0.799705207 0.156536698 0.372729659 0.470733702
[25441] 0.136894375 0.586426735 0.276678860 0.046710413 0.294842094 0.658447504
[25447] 0.049643360 0.358179033 0.592177629 0.028142763 0.425454110 0.546403170
[25453] 0.126740858 0.534872890 0.338386267 0.031324171 0.228594378 0.740081489
[25459] 0.077877812 0.431846648 0.490275502 0.448143393 0.401922971 0.149933636
[25465] 0.029759634 0.243005440 0.727234900 0.221555516 0.599663198 0.178781286
[25471] 0.108211257 0.459128231 0.432660490 0.148455575 0.591579616 0.259964854
[25477] 0.356983066 0.281706393 0.361310512 0.710898161 0.231604308 0.057497554
[25483] 0.388337165 0.346871257 0.264791548 0.083018020 0.412412107 0.504569888
[25489] 0.036662385 0.227669656 0.735667944 0.090882197 0.323633254 0.585484564
[25495] 0.120630793 0.582850754 0.296518445 0.205547810 0.377264351 0.417187810
[25501] 0.063623272 0.315740317 0.620636344 0.601475000 0.305734605 0.092790373
[25507] 0.377317429 0.451244533 0.171438068 0.323625684 0.506836653 0.169537663
[25513] 0.027786275 0.286865145 0.685348630 0.237967059 0.296305805 0.465727121
[25519] 0.288566202 0.290167004 0.421266735 0.426219910 0.191663221 0.382116854
[25525] 0.467824727 0.211073101 0.321102232 0.165662125 0.163728401 0.670609474
[25531] 0.116678677 0.278231472 0.605089903 0.127622962 0.435121953 0.437255114
[25537] 0.049152419 0.321402550 0.629445076 0.253127068 0.401161075 0.345711887
[25543] 0.070645213 0.370150119 0.559204698 0.029770004 0.141020313 0.829209685
[25549] 0.025298364 0.052558146 0.922143459 0.104971841 0.351321369 0.543706775
[25555] 0.318011701 0.483439356 0.198548898 0.214630038 0.369352132 0.416017801
[25561] 0.555594027 0.268086493 0.176319465 0.097265579 0.515106916 0.387627512
[25567] 0.023740830 0.181329846 0.794929326 0.313398689 0.296219528 0.390381783
[25573] 0.177037984 0.394440234 0.428521752 0.067105263 0.229404554 0.703490198
[25579] 0.043645855 0.229281068 0.727073073 0.559608936 0.304101914 0.136289164
[25585] 0.071931258 0.375645518 0.552423239 0.434530020 0.245272905 0.320197046
[25591] 0.064695008 0.611308575 0.323996454 0.080657825 0.292631656 0.626710534
[25597] 0.202802241 0.203515202 0.593682587 0.108553119 0.558237851 0.333209008
[25603] 0.054235797 0.356159419 0.589604795 0.030917360 0.232507944 0.736574709
[25609] 0.275283486 0.534278989 0.190437481 0.401953995 0.401103556 0.196942478
[25615] 0.010036074 0.257607698 0.732356191 0.022401921 0.251351744 0.726246357
[25621] 0.126085788 0.429104686 0.444809556 0.179916218 0.504445910 0.315637887
[25627] 0.062542379 0.409950316 0.527507305 0.470829338 0.374279529 0.154891193
[25633] 0.025438758 0.295708954 0.678852260 0.246788621 0.540837884 0.212373480
[25639] 0.009702658 0.500577450 0.489719927 0.034261454 0.256425381 0.709313154
[25645] 0.141555071 0.382846385 0.475598484 0.018757073 0.347887337 0.633355618
[25651] 0.047186345 0.413130492 0.539683163 0.028771829 0.385231405 0.585996747
[25657] 0.319463730 0.396427333 0.284108937 0.107707858 0.465398669 0.426893502
[25663] 0.098940611 0.405849248 0.495210141 0.477040321 0.391193032 0.131766617
[25669] 0.127775833 0.401660711 0.470563471 0.005770155 0.504729390 0.489500463
[25675] 0.006467720 0.350472599 0.643059671 0.264341593 0.414524168 0.321134210
[25681] 0.030267140 0.291445106 0.678287745 0.051170800 0.453609437 0.495219767
[25687] 0.086174205 0.511806369 0.402019441 0.041670568 0.344499201 0.613830268
[25693] 0.297306418 0.495687634 0.207005993 0.220607802 0.495292455 0.284099787
[25699] 0.080565721 0.492105871 0.427328408 0.280541152 0.463172466 0.256286412
[25705] 0.016030710 0.149948686 0.834020555 0.073841110 0.483473867 0.442685038
[25711] 0.130296230 0.605187297 0.264516503 0.084468335 0.464375645 0.451156020
[25717] 0.068432190 0.469819546 0.461748272 0.641394854 0.274405211 0.084199920
[25723] 0.038499057 0.306866050 0.654634893 0.258833081 0.422068805 0.319098085
[25729] 0.075855009 0.467112482 0.457032561 0.063487858 0.468707174 0.467804909
[25735] 0.034035694 0.311025262 0.654939055 0.008362431 0.540827990 0.450809598
[25741] 0.192129061 0.634655237 0.173215747 0.017548377 0.678034723 0.304416895
[25747] 0.031866953 0.341457039 0.626676023 0.052132942 0.494500458 0.453366607
[25753] 0.017635489 0.311874926 0.670489609 0.034480650 0.392421186 0.573098123
[25759] 0.010250025 0.033746853 0.956003129 0.088336594 0.506640434 0.405022949
[25765] 0.044613663 0.383251607 0.572134733 0.009521920 0.272509158 0.717968881
[25771] 0.187680259 0.524997771 0.287321925 0.082979649 0.533005416 0.384014934
[25777] 0.036819763 0.256984025 0.706196189 0.093986280 0.528660595 0.377353102
[25783] 0.014102217 0.045681357 0.940216422 0.029771730 0.340509504 0.629718721
[25789] 0.106583193 0.417781919 0.475634843 0.102625273 0.443861485 0.453513294
[25795] 0.217729792 0.589050770 0.193219438 0.088050559 0.563473403 0.348475993
[25801] 0.263655126 0.338628680 0.397716194 0.064466737 0.415930599 0.519602656
[25807] 0.281274885 0.383310586 0.335414529 0.078853868 0.429105967 0.492040187
[25813] 0.101213947 0.416922212 0.481863856 0.090457119 0.496918589 0.412624300
[25819] 0.078227907 0.447491914 0.474280179 0.093139715 0.459401190 0.447459072
[25825] 0.033660222 0.386122972 0.580216825 0.354577541 0.460509300 0.184913158
[25831] 0.090247206 0.454239786 0.455512941 0.218727976 0.503458977 0.277813077
[25837] 0.022562763 0.320956141 0.656481087 0.195212722 0.514111996 0.290675282
[25843] 0.330982983 0.454377919 0.214639097 0.153017193 0.472321630 0.374661118
[25849] 0.253496259 0.547062993 0.199440747 0.021849731 0.322605878 0.655544400
[25855] 0.027046140 0.300134331 0.672819495 0.230253518 0.391919374 0.377827048
[25861] 0.676814675 0.252285480 0.070899859 0.036497265 0.452311754 0.511190951
[25867] 0.047199149 0.315837741 0.636963129 0.831315935 0.156865180 0.011818869
[25873] 0.553506017 0.339560300 0.106933758 0.717397869 0.248964921 0.033637218
[25879] 0.390333444 0.419078052 0.190588564 0.732928991 0.244771883 0.022299122
[25885] 0.762202263 0.191583082 0.046214659 0.659922421 0.300655574 0.039421987
[25891] 0.436122268 0.377528727 0.186348930 0.658517003 0.299735039 0.041747939
[25897] 0.582079411 0.308392912 0.109527707 0.755048931 0.213783145 0.031167943
[25903] 0.912766993 0.080162883 0.007070079 0.813260019 0.169060141 0.017679801
[25909] 0.922302246 0.071836695 0.005861123 0.570459425 0.300078094 0.129462495
[25915] 0.878284872 0.112820350 0.008894763 0.657417178 0.263906628 0.078676261
[25921] 0.895098686 0.096976891 0.007924373 0.592889607 0.307577342 0.099533074
[25927] 0.718424201 0.210868672 0.070707120 0.805129886 0.173340231 0.021529907
[25933] 0.814354062 0.171440557 0.014205423 0.726880848 0.255229443 0.017889675
[25939] 0.682361782 0.291573822 0.026064387 0.671244144 0.253789544 0.074966311
[25945] 0.757456303 0.229429662 0.013114032 0.719285727 0.261544973 0.019169277
[25951] 0.891187668 0.103182636 0.005629710 0.896270156 0.096837752 0.006892070
[25957] 0.481858224 0.471372098 0.046769645 0.826768100 0.155868754 0.017363127
[25963] 0.843393087 0.149014965 0.007591956 0.711666524 0.250358164 0.037975375
[25969] 0.719170690 0.266357124 0.014472219 0.837467432 0.150453970 0.012078648
[25975] 0.621275246 0.255148053 0.123576716 0.903316021 0.090590559 0.006093401
[25981] 0.870873213 0.119316444 0.009810342 0.780317247 0.202641562 0.017041177
[25987] 0.879220188 0.112579413 0.008200397 0.501007736 0.365501285 0.133490995
[25993] 0.657070398 0.243765533 0.099164106 0.335143417 0.342615455 0.322241157
[25999] 0.742197394 0.238831699 0.018970910 0.818003595 0.147903860 0.034092553
[26005] 0.861032546 0.129966617 0.009000828 0.135232106 0.271280110 0.593487799
[26011] 0.784409583 0.198015213 0.017575193 0.897968113 0.092857741 0.009174139
[26017] 0.809252441 0.174332485 0.016415102 0.385564804 0.340033025 0.274402171
[26023] 0.710741341 0.268373370 0.020885296 0.800247788 0.185996920 0.013755276
[26029] 0.381743520 0.348572284 0.269684225 0.526708364 0.400496006 0.072795600
[26035] 0.814891875 0.170662165 0.014445902 0.870244324 0.121186301 0.008569347
[26041] 0.614610136 0.270589769 0.114800096 0.449612677 0.325708002 0.224679291
[26047] 0.626445830 0.250808269 0.122745931 0.778719425 0.204279631 0.017000921
[26053] 0.610275090 0.267655551 0.122069374 0.830447137 0.153539479 0.016013378
[26059] 0.303117186 0.350318849 0.346563935 0.861998320 0.127059758 0.010941972
[26065] 0.512934148 0.236313507 0.250752300 0.696904957 0.248177096 0.054917928
[26071] 0.760825217 0.212520525 0.026654247 0.701515138 0.274103165 0.024381684
[26077] 0.302316159 0.396140844 0.301543027 0.597013772 0.305732518 0.097253643
[26083] 0.702093124 0.253910154 0.043996755 0.789598107 0.193918914 0.016482977
[26089] 0.808883369 0.177998260 0.013118433 0.753928542 0.227348581 0.018722879
[26095] 0.476885349 0.232345000 0.290769637 0.216159716 0.257547647 0.526292622
[26101] 0.143432736 0.160850480 0.695716798 0.431834728 0.396775991 0.171389297
[26107] 0.458532482 0.399427116 0.142040417 0.636020243 0.200749785 0.163230017
[26113] 0.625242412 0.319312066 0.055445503 0.644502997 0.286084801 0.069412194
[26119] 0.678939939 0.270328403 0.050731674 0.871020257 0.117339939 0.011639809
[26125] 0.659259498 0.263253272 0.077487230 0.535202086 0.298313737 0.166484147
[26131] 0.707639217 0.252868742 0.039492056 0.781908154 0.194607049 0.023484798
[26137] 0.472276866 0.353184074 0.174539059 0.684679270 0.225412875 0.089907855
[26143] 0.365907818 0.380684108 0.253408045 0.699711025 0.256160617 0.044128411
[26149] 0.522548795 0.342252702 0.135198504 0.496626705 0.383564532 0.119808830
[26155] 0.754423261 0.200570956 0.045005772 0.740313768 0.233599678 0.026086519
[26161] 0.777190626 0.195000023 0.027809355 0.526472569 0.260696501 0.212830931
[26167] 0.739769578 0.244584322 0.015646156 0.660619438 0.299648762 0.039731808
[26173] 0.855491757 0.137816161 0.006692060 0.336508960 0.364109993 0.299381018
[26179] 0.785686493 0.201570973 0.012742586 0.728645205 0.219777033 0.051577777
[26185] 0.151578650 0.773740530 0.074680835 0.456879437 0.346399993 0.196720615
[26191] 0.840606630 0.140942693 0.018450644 0.712120593 0.256640047 0.031239370
[26197] 0.411000282 0.329272687 0.259727061 0.801002622 0.184589595 0.014407820
[26203] 0.636594474 0.241094172 0.122311376 0.843221366 0.144830763 0.011947845
[26209] 0.791904867 0.186815649 0.021279445 0.755477309 0.173763961 0.070758723
[26215] 0.455693334 0.353505522 0.190801159 0.524755836 0.352603883 0.122640304
[26221] 0.666376054 0.300916493 0.032707464 0.759460688 0.217444673 0.023094626
[26227] 0.514591515 0.285039216 0.200369313 0.803196073 0.181335524 0.015468394
[26233] 0.830239892 0.150866568 0.018893465 0.765110850 0.219060659 0.015828503
[26239] 0.783365905 0.198122650 0.018511482 0.745589495 0.217750564 0.036659967
[26245] 0.774709165 0.206900343 0.018390490 0.778948903 0.208157793 0.012893366
[26251] 0.820515931 0.160770968 0.018713087 0.754763544 0.221594334 0.023642085
[26257] 0.709466338 0.248892009 0.041641638 0.689408779 0.263898343 0.046692908
[26263] 0.903648198 0.090919219 0.005432605 0.847610831 0.141286880 0.011102252
[26269] 0.302541763 0.418586075 0.278872162 0.326172680 0.285739988 0.388087302
[26275] 0.889099181 0.103920974 0.006979844 0.397101283 0.365356714 0.237541988
[26281] 0.515410125 0.336654902 0.147934929 0.413509279 0.408561438 0.177929267
[26287] 0.872285128 0.119884849 0.007830014 0.360232323 0.395798177 0.243969545
[26293] 0.391733736 0.436536074 0.171730146 0.872122407 0.116170481 0.011707151
[26299] 0.437469721 0.412577242 0.149953052 0.733691871 0.200530425 0.065777719
[26305] 0.089040019 0.388381749 0.522578239 0.821197987 0.164298922 0.014503065
[26311] 0.557959557 0.309719712 0.132320702 0.702820599 0.264862716 0.032316744
[26317] 0.775405824 0.198039621 0.026554536 0.750484943 0.221271649 0.028243402
[26323] 0.803511679 0.178172857 0.018315468 0.794025421 0.187789485 0.018185046
[26329] 0.799520075 0.182224289 0.018255657 0.584503531 0.319651872 0.095844626
[26335] 0.768664718 0.198054403 0.033280879 0.867543638 0.121195734 0.011260645
[26341] 0.739077330 0.218828157 0.042094570 0.828496337 0.157624274 0.013879453
[26347] 0.445490092 0.276546538 0.277963340 0.078637525 0.273720831 0.647641659
[26353] 0.342425585 0.437307358 0.220267087 0.765981793 0.214777157 0.019241069
[26359] 0.362646431 0.500420630 0.136932969 0.063757397 0.304001331 0.632241249
[26365] 0.864830792 0.118517153 0.016652007 0.107508019 0.680981398 0.211510614
[26371] 0.052597187 0.621867537 0.325535297 0.899783254 0.095181875 0.005034901
[26377] 0.537348032 0.264754504 0.197897479 0.735922277 0.247163624 0.016914092
[26383] 0.088661090 0.251093417 0.660245478 0.630858183 0.261300892 0.107840881
[26389] 0.562456846 0.405761957 0.031781208 0.051159266 0.447110832 0.501729906
[26395] 0.860602915 0.129491687 0.009905384 0.712771893 0.209454060 0.077774100
[26401] 0.802195728 0.175128028 0.022676233 0.929589450 0.064238295 0.006172234
[26407] 0.054041434 0.441624850 0.504333735 0.057308797 0.622919977 0.319771200
[26413] 0.785916090 0.203334212 0.010749715 0.031043895 0.295848697 0.673107445
[26419] 0.611990809 0.293485761 0.094523422 0.934239030 0.060375035 0.005385979
[26425] 0.901180863 0.088034824 0.010784252 0.445841044 0.392262965 0.161896035
[26431] 0.940665662 0.055727158 0.003607173 0.884133637 0.110385701 0.005480642
[26437] 0.875353158 0.103078671 0.021568224 0.740891993 0.205046296 0.054061718
[26443] 0.847692072 0.146562532 0.005745362 0.859607160 0.120734207 0.019658672
[26449] 0.872729421 0.116094731 0.011175842 0.413696855 0.388087720 0.198215395
[26455] 0.198806539 0.558586717 0.242606714 0.083607331 0.390116751 0.526275933
[26461] 0.259055078 0.554671645 0.186273217 0.886934817 0.102620378 0.010444881
[26467] 0.860745013 0.128143132 0.011111843 0.839344501 0.149560317 0.011095123
[26473] 0.097938858 0.545075953 0.356985182 0.010807160 0.278684765 0.710508108
[26479] 0.811524510 0.165053502 0.023421975 0.036011256 0.371108592 0.592880189
[26485] 0.860164225 0.131308869 0.008526852 0.113287985 0.420644760 0.466067225
[26491] 0.049603049 0.392625719 0.557771206 0.030989384 0.594249785 0.374760866
[26497] 0.047827475 0.595486581 0.356685966 0.787342250 0.176592708 0.036065035
[26503] 0.094550148 0.660979033 0.244470790 0.034547988 0.661449492 0.304002523
[26509] 0.189385504 0.775320649 0.035293885 0.765457809 0.208148673 0.026393490
[26515] 0.813875139 0.136329278 0.049795594 0.023258420 0.318448007 0.658293545
[26521] 0.018523855 0.453797609 0.527678549 0.518417895 0.389577299 0.092004821
[26527] 0.046508465 0.640603006 0.312888503 0.691615641 0.173838794 0.134545580
[26533] 0.885530114 0.108406961 0.006062966 0.050081968 0.251029074 0.698889017
[26539] 0.061147489 0.518365860 0.420486659 0.027744725 0.530559957 0.441695362
[26545] 0.070208073 0.634294987 0.295496941 0.058732282 0.440890789 0.500376940
[26551] 0.710180640 0.261473686 0.028345658 0.045406051 0.344889939 0.609704018
[26557] 0.910323381 0.083423093 0.006253482 0.061038487 0.553374112 0.385587364
[26563] 0.036677592 0.513855636 0.449466765 0.769871831 0.197435707 0.032692488
[26569] 0.571328223 0.272024214 0.156647503 0.557665348 0.410318583 0.032016072
[26575] 0.865904272 0.118373841 0.015721897 0.404815376 0.448256940 0.146927640
[26581] 0.833426774 0.136100709 0.030472564 0.562805057 0.382878929 0.054316062
[26587] 0.142819390 0.413933277 0.443247318 0.535187721 0.345934659 0.118877605
[26593] 0.872784257 0.117734164 0.009481558 0.035120323 0.381344497 0.583535135
[26599] 0.768040538 0.214591578 0.017367899 0.889246464 0.090965480 0.019788075
[26605] 0.517586052 0.423644185 0.058769774 0.414789349 0.553562403 0.031648256
[26611] 0.134765983 0.848641455 0.016592581 0.633769870 0.313620448 0.052609686
[26617] 0.023774022 0.338939786 0.637286186 0.043576710 0.513253868 0.443169415
[26623] 0.142972544 0.833394289 0.023633145 0.025141690 0.439627379 0.535230875
[26629] 0.010684293 0.303207874 0.686107814 0.247464165 0.692006290 0.060529534
[26635] 0.717722714 0.197165683 0.085111625 0.598566890 0.355428278 0.046004847
[26641] 0.212973714 0.497218490 0.289807767 0.796357751 0.189887062 0.013755150
[26647] 0.015783800 0.242897943 0.741318285 0.713711143 0.239407420 0.046881460
[26653] 0.029060790 0.204822198 0.766116977 0.550347745 0.211380705 0.238271549
[26659] 0.882246971 0.096187010 0.021566015 0.007384627 0.611669362 0.380946010
[26665] 0.801264942 0.191359892 0.007375138 0.877123177 0.117657773 0.005219028
[26671] 0.870460272 0.124543905 0.004995797 0.048619576 0.593264520 0.358115882
[26677] 0.854326427 0.120647267 0.025026273 0.190744162 0.288397819 0.520858049
[26683] 0.875512302 0.098803051 0.025684662 0.450507671 0.354488224 0.195004046
[26689] 0.052012216 0.469282806 0.478704989 0.894667208 0.099646434 0.005686330
[26695] 0.881990552 0.113643371 0.004366043 0.059342261 0.322836667 0.617821038
[26701] 0.835434854 0.156698540 0.007866633 0.031588573 0.524425924 0.443985522
[26707] 0.075683817 0.545116007 0.379200190 0.022326918 0.847077370 0.130595684
[26713] 0.052502040 0.514740884 0.432757050 0.865429580 0.127262890 0.007307576
[26719] 0.922001839 0.071930468 0.006067691 0.903814137 0.087762512 0.008423316
[26725] 0.888720870 0.104472749 0.006806336 0.772384882 0.206601918 0.021013163
[26731] 0.060147963 0.636929333 0.302922696 0.069670595 0.552429795 0.377899647
[26737] 0.706161559 0.250198781 0.043639693 0.115290612 0.550069511 0.334639907
[26743] 0.006211565 0.395665020 0.598123431 0.101328634 0.652918816 0.245752573
[26749] 0.059976876 0.585956991 0.354066133 0.086602062 0.473590881 0.439807057
[26755] 0.848468065 0.142167792 0.009364157 0.606256068 0.329902977 0.063840993
[26761] 0.043196600 0.398250937 0.558552444 0.027120728 0.525238872 0.447640389
[26767] 0.726508915 0.209979668 0.063511401 0.041008148 0.343818992 0.615172863
[26773] 0.740194559 0.235750437 0.024055030 0.228694648 0.529442012 0.241863385
[26779] 0.025134234 0.331609160 0.643256545 0.057213124 0.565065742 0.377721190
[26785] 0.419337213 0.378702730 0.201960087 0.828802705 0.153676718 0.017520603
[26791] 0.866712630 0.122736722 0.010550623 0.923364937 0.070027143 0.006607933
[26797] 0.049199130 0.481395870 0.469405055 0.850839496 0.134869158 0.014291286
[26803] 0.841862559 0.132037312 0.026100149 0.653225064 0.322093070 0.024681849
[26809] 0.086135991 0.580946743 0.332917273 0.713388562 0.164490879 0.122120567
[26815] 0.730100811 0.206594899 0.063304320 0.050263338 0.426265657 0.523470998
[26821] 0.062655456 0.500306845 0.437037706 0.883914173 0.096673414 0.019412434
[26827] 0.006901313 0.691774070 0.301324636 0.776436031 0.185882241 0.037681747
[26833] 0.809384525 0.180024281 0.010591174 0.591476142 0.381630033 0.026893817
[26839] 0.868536592 0.102665536 0.028797818 0.709844649 0.246185958 0.043969404
[26845] 0.794101536 0.193115830 0.012782617 0.925071120 0.070981286 0.003947594
[26851] 0.780178368 0.208850875 0.010970761 0.701698899 0.278897315 0.019403802
[26857] 0.075461581 0.647317827 0.277220577 0.674749553 0.288755327 0.036495108
[26863] 0.861543179 0.124170192 0.014286604 0.791993499 0.189544424 0.018462131
[26869] 0.015079527 0.279772997 0.705147505 0.943917096 0.053001918 0.003080980
[26875] 0.664155424 0.323626846 0.012217697 0.070173532 0.685652912 0.244173557
[26881] 0.717719018 0.248712122 0.033568885 0.229105562 0.609896064 0.160998344
[26887] 0.571171343 0.308085531 0.120743141 0.796568334 0.187369257 0.016062405
[26893] 0.017535392 0.616623998 0.365840614 0.022644943 0.466075093 0.511280000
[26899] 0.044776391 0.356579870 0.598643720 0.012721374 0.318683952 0.668594658
[26905] 0.925324798 0.070002645 0.004672568 0.059149083 0.581678212 0.359172761
[26911] 0.353750974 0.610121250 0.036127765 0.918440640 0.073799446 0.007759907
[26917] 0.008092778 0.504146576 0.487760663 0.795740783 0.148155451 0.056103781
[26923] 0.909948707 0.083705835 0.006345487 0.855452895 0.133745328 0.010801765
[26929] 0.005208384 0.620946467 0.373845130 0.019740164 0.235478893 0.744780958
[26935] 0.104541540 0.643087924 0.252370536 0.041621625 0.714400411 0.243977979
[26941] 0.922150731 0.073283710 0.004565573 0.947865069 0.048255488 0.003879397
[26947] 0.042382266 0.449088514 0.508529246 0.735873103 0.222200766 0.041926123
[26953] 0.321466208 0.333465517 0.345068246 0.559935272 0.379736781 0.060327962
[26959] 0.928346753 0.065238826 0.006414434 0.812529802 0.172441408 0.015028770
[26965] 0.750094891 0.218051136 0.031853955 0.529844403 0.322739691 0.147415906
[26971] 0.826529980 0.161711380 0.011758612 0.868265450 0.122836754 0.008897773
[26977] 0.523673594 0.325011879 0.151314497 0.872751117 0.117857367 0.009391489
[26983] 0.050929759 0.550376177 0.398694038 0.910307944 0.085242197 0.004449804
[26989] 0.079961404 0.477643102 0.442395478 0.897139549 0.097825252 0.005035237
[26995] 0.689245224 0.293786854 0.016967954 0.853914917 0.132414252 0.013670906
[27001] 0.879873931 0.112642169 0.007483932 0.612134695 0.291868627 0.095996715
[27007] 0.824968338 0.164240897 0.010790792 0.811843991 0.179802895 0.008353124
[27013] 0.041178636 0.380758673 0.578062654 0.806433082 0.174716324 0.018850606
[27019] 0.414649040 0.466187924 0.119162984 0.474991739 0.493659049 0.031349190
[27025] 0.751017869 0.201447800 0.047534324 0.683468580 0.300333291 0.016198147
[27031] 0.036378540 0.332528025 0.631093442 0.873516500 0.120241471 0.006241955
[27037] 0.886067927 0.100359946 0.013572077 0.935172558 0.057688039 0.007139439
[27043] 0.876633167 0.114817858 0.008548971 0.940723658 0.052156668 0.007119711
[27049] 0.801964045 0.187037736 0.010998250 0.753207266 0.207314953 0.039477773
[27055] 0.776391864 0.212094933 0.011513185 0.015953971 0.396591723 0.587454319
[27061] 0.744777799 0.194814414 0.060407784 0.100238726 0.402996063 0.496765286
[27067] 0.548176229 0.439368933 0.012454825 0.020737195 0.436332315 0.542930484
[27073] 0.032999180 0.439793736 0.527207136 0.385866225 0.530505300 0.083628453
[27079] 0.793666720 0.197586566 0.008746685 0.656001985 0.277261615 0.066736400
[27085] 0.768178761 0.195222348 0.036598887 0.743002415 0.227986157 0.029011453
[27091] 0.862316251 0.122698024 0.014985730 0.827666461 0.159607694 0.012725819
[27097] 0.884746432 0.107283741 0.007969817 0.895147800 0.098579951 0.006272298
[27103] 0.029255364 0.414926112 0.555818498 0.852740884 0.138375148 0.008883971
[27109] 0.743051887 0.238999546 0.017948516 0.008148025 0.144992933 0.846859038
[27115] 0.028523970 0.242200375 0.729275703 0.037301362 0.294973999 0.667724669
[27121] 0.744145989 0.214307711 0.041546322 0.355687678 0.364945263 0.279367059
[27127] 0.619901359 0.307725668 0.072373025 0.887265205 0.091454908 0.021279899
[27133] 0.815749228 0.148498759 0.035752010 0.822099447 0.158491164 0.019409448
[27139] 0.741283178 0.209395945 0.049320921 0.901846886 0.092195727 0.005957416
[27145] 0.817794740 0.165325046 0.016880261 0.732216358 0.176533774 0.091249891
[27151] 0.716644347 0.237794399 0.045561247 0.021768028 0.417354256 0.560877740
[27157] 0.085133053 0.700226307 0.214640692 0.885047913 0.110658526 0.004293562
[27163] 0.047511060 0.490820140 0.461668760 0.086716041 0.596263468 0.317020446
[27169] 0.652641773 0.246876583 0.100481682 0.039606415 0.413438439 0.546955168
[27175] 0.866943538 0.117238931 0.015817549 0.744973242 0.245672286 0.009354431
[27181] 0.809982598 0.141901970 0.048115421 0.063436218 0.622157931 0.314405829
[27187] 0.883671522 0.105006486 0.011322013 0.889883876 0.100463569 0.009652548
[27193] 0.822768927 0.163308367 0.013922665 0.671502173 0.319210529 0.009287290
[27199] 0.582279265 0.295226455 0.122494258 0.586163402 0.226790279 0.187046334
[27205] 0.127806515 0.466549933 0.405643523 0.745992184 0.217920437 0.036087405
[27211] 0.022213640 0.413353682 0.564432681 0.890102386 0.104813047 0.005084508
[27217] 0.923291564 0.070437521 0.006270965 0.781594932 0.144135505 0.074269623
[27223] 0.811976433 0.136471182 0.051552404 0.063701302 0.606559694 0.329738975
[27229] 0.594208896 0.324674964 0.081116118 0.555457413 0.396348596 0.048194032
[27235] 0.021081019 0.370319575 0.608599424 0.517339170 0.378968030 0.103692785
[27241] 0.835567653 0.129692912 0.034739465 0.067774780 0.430388808 0.501836419
[27247] 0.594907463 0.275506735 0.129585817 0.866666555 0.122361086 0.010972343
[27253] 0.069069892 0.566212296 0.364717782 0.575737298 0.393084347 0.031178340
[27259] 0.058276191 0.594320476 0.347403288 0.062814921 0.419367343 0.517817736
[27265] 0.577439547 0.358990788 0.063569665 0.022420745 0.385148138 0.592431068
[27271] 0.458550543 0.349018633 0.192430884 0.857686341 0.123850547 0.018463140
[27277] 0.022663381 0.463922799 0.513413846 0.053466756 0.570354521 0.376178741
[27283] 0.043738838 0.377999812 0.578261375 0.841901183 0.126614824 0.031484000
[27289] 0.036254391 0.370345533 0.593400061 0.017799396 0.564846694 0.417353898
[27295] 0.782983363 0.205317199 0.011699469 0.059257522 0.633893013 0.306849420
[27301] 0.782060742 0.190231606 0.027707646 0.763648450 0.222408965 0.013942561
[27307] 0.779584527 0.183310553 0.037104931 0.548194826 0.363277555 0.088527575
[27313] 0.056491770 0.324297041 0.619211197 0.289068103 0.441996157 0.268935770
[27319] 0.871239483 0.121060468 0.007700093 0.813532114 0.152275875 0.034192007
[27325] 0.282384187 0.558456182 0.159159690 0.053740118 0.625286937 0.320972949
[27331] 0.555252314 0.389668852 0.055078849 0.074977636 0.490504205 0.434518158
[27337] 0.660589993 0.295978993 0.043430977 0.508662403 0.417397439 0.073940158
[27343] 0.734520972 0.208035707 0.057443287 0.015881924 0.205436602 0.778681517
[27349] 0.040540081 0.286283255 0.673176646 0.025424808 0.259331495 0.715243638
[27355] 0.047619879 0.552288592 0.400091529 0.030980220 0.590755820 0.378263980
[27361] 0.119014412 0.749074996 0.131910533 0.621001065 0.255710393 0.123288549
[27367] 0.724242270 0.253278077 0.022479612 0.912194908 0.083302401 0.004502683
[27373] 0.298956722 0.207363412 0.493679851 0.020041436 0.400665104 0.579293430
[27379] 0.634943664 0.348926246 0.016130120 0.047141958 0.603378057 0.349480003
[27385] 0.043982994 0.521893859 0.434123129 0.596194267 0.292269140 0.111536629
[27391] 0.021222893 0.182620764 0.796156347 0.790838540 0.146071717 0.063089699
[27397] 0.044995692 0.420261800 0.534742475 0.036243934 0.221427277 0.742328823
[27403] 0.044712882 0.465495706 0.489791453 0.428698182 0.311986238 0.259315550
[27409] 0.684092939 0.298363358 0.017543711 0.019739989 0.455489337 0.524770677
[27415] 0.041384369 0.628325880 0.330289781 0.059354078 0.588016629 0.352629274
[27421] 0.038709588 0.627407014 0.333883405 0.024658713 0.413153082 0.562188208
[27427] 0.884627640 0.108676851 0.006695502 0.784154892 0.167888016 0.047957137
[27433] 0.694255888 0.291532964 0.014211114 0.038852572 0.313118815 0.648028612
[27439] 0.076374918 0.530389130 0.393235981 0.893227041 0.093098380 0.013674553
[27445] 0.905098855 0.088170089 0.006731128 0.010103481 0.659755588 0.330140978
[27451] 0.053124167 0.436887592 0.509988189 0.835850060 0.142042339 0.022107610
[27457] 0.739264965 0.173076317 0.087658703 0.832478940 0.133112803 0.034408245
[27463] 0.056294482 0.559627771 0.384077728 0.055895712 0.521842003 0.422262311
[27469] 0.896435559 0.093305305 0.010259165 0.011443547 0.558284461 0.430272013
[27475] 0.687017679 0.232622802 0.080359533 0.856868207 0.133681476 0.009450315
[27481] 0.044044055 0.458387971 0.497568041 0.058711804 0.555768311 0.385519862
[27487] 0.037454683 0.422435850 0.540109515 0.017057886 0.363737792 0.619204283
[27493] 0.781252205 0.138503253 0.080244601 0.630514085 0.291046202 0.078439735
[27499] 0.052016366 0.386206895 0.561776757 0.030144721 0.543341577 0.426513702
[27505] 0.689516604 0.275735706 0.034747709 0.873102129 0.114441596 0.012456307
[27511] 0.064191125 0.580225885 0.355582952 0.026230622 0.481278986 0.492490351
[27517] 0.041182496 0.633974195 0.324843258 0.277733386 0.564102888 0.158163756
[27523] 0.793760061 0.186594263 0.019645656 0.008349753 0.298740804 0.692909420
[27529] 0.033519518 0.298016697 0.668463826 0.167619422 0.471460283 0.360920340
[27535] 0.076728582 0.555620670 0.367650747 0.234508440 0.325047284 0.440444320
[27541] 0.074634582 0.591516197 0.333849192 0.035500247 0.376170039 0.588329732
[27547] 0.064254284 0.466643244 0.469102532 0.140610859 0.316814989 0.542574167
[27553] 0.062555842 0.612977803 0.324466348 0.052535869 0.457426578 0.490037501
[27559] 0.232888818 0.504327893 0.262783259 0.012736867 0.088855110 0.898407996
[27565] 0.062677197 0.484923869 0.452398866 0.041962318 0.720124304 0.237913340
[27571] 0.083989799 0.300494939 0.615515232 0.255393535 0.592240930 0.152365506
[27577] 0.084050462 0.377982497 0.537967086 0.013858883 0.325099051 0.661042094
[27583] 0.042781975 0.491346717 0.465871304 0.043086965 0.460944325 0.495968729
[27589] 0.063172206 0.610415399 0.326412410 0.061035018 0.547494113 0.391470879
[27595] 0.006632887 0.434368283 0.558998883 0.043797154 0.357873678 0.598329186
[27601] 0.033954784 0.383944273 0.582100928 0.041633721 0.464005679 0.494360596
[27607] 0.021697270 0.530451238 0.447851539 0.015856791 0.429656714 0.554486454
[27613] 0.059644330 0.595836103 0.344519556 0.874530256 0.115714781 0.009754973
[27619] 0.081396744 0.326388538 0.592214763 0.022274259 0.299287736 0.678438008
[27625] 0.880652070 0.103763968 0.015584012 0.087373644 0.284316748 0.628309608
[27631] 0.659470022 0.306523323 0.034006681 0.894419074 0.097984955 0.007595984
[27637] 0.023571942 0.243380725 0.733047307 0.013710214 0.299301803 0.686987996
[27643] 0.079195358 0.512723505 0.408081144 0.007707165 0.442313015 0.549979806
[27649] 0.052022748 0.652079403 0.295897812 0.017844820 0.369151145 0.613004029
[27655] 0.690679431 0.277259290 0.032061215 0.851733327 0.141628981 0.006637719
[27661] 0.568399131 0.327801168 0.103799708 0.869253993 0.119753987 0.010992042
[27667] 0.306903332 0.529892266 0.163204372 0.088692479 0.266842067 0.644465446
[27673] 0.640023828 0.264375299 0.095600866 0.024283750 0.568000615 0.407715648
[27679] 0.042217955 0.475605428 0.482176632 0.723130226 0.215888962 0.060980812
[27685] 0.909616888 0.085561842 0.004821232 0.029280959 0.457593858 0.513125181
[27691] 0.052865874 0.571621835 0.375512302 0.450259656 0.473624706 0.076115571
[27697] 0.738150060 0.237227738 0.024622194 0.025648449 0.716505349 0.257846177
[27703] 0.392103463 0.330883175 0.277013391 0.521298289 0.227817848 0.250883847
[27709] 0.202012613 0.447170049 0.350817323 0.782025993 0.158924729 0.059049319
[27715] 0.598789096 0.299982816 0.101228118 0.050337348 0.540617108 0.409045517
[27721] 0.018479150 0.227478743 0.754042089 0.035107158 0.612138152 0.352754742
[27727] 0.007481078 0.661439896 0.331078976 0.040384557 0.459418058 0.500197411
[27733] 0.043921582 0.519343674 0.436734736 0.016969610 0.283593237 0.699437082
[27739] 0.093448542 0.540815353 0.365736097 0.037283260 0.539319456 0.423397273
[27745] 0.109982841 0.607692480 0.282324642 0.039309964 0.515002847 0.445687205
[27751] 0.109051265 0.671921670 0.219027102 0.915126443 0.070824653 0.014048875
[27757] 0.905713618 0.088312015 0.005974356 0.037903070 0.484655589 0.477441311
[27763] 0.026378894 0.305293977 0.668327093 0.032703258 0.653546274 0.313750446
[27769] 0.022303738 0.547567904 0.430128366 0.044725694 0.385254711 0.570019603
[27775] 0.042084601 0.692477822 0.265437573 0.102010325 0.481511801 0.416477919
[27781] 0.106736012 0.584454954 0.308809042 0.035939973 0.575438261 0.388621777
[27787] 0.018765669 0.434718907 0.546515405 0.336905658 0.162015051 0.501079261
[27793] 0.482225120 0.406518817 0.111256033 0.591903687 0.300082147 0.108014114
[27799] 0.160620481 0.405666560 0.433712989 0.023015652 0.838434696 0.138549611
[27805] 0.045938428 0.475020170 0.479041398 0.034109112 0.465440780 0.500450134
[27811] 0.042175390 0.436233759 0.521590829 0.173166871 0.612265348 0.214567780
[27817] 0.030381367 0.629845083 0.339773566 0.835269988 0.130412832 0.034317244
[27823] 0.863616168 0.127026662 0.009357154 0.047767300 0.521580696 0.430652022
[27829] 0.030400170 0.721027792 0.248572066 0.093378432 0.541584253 0.365037262
[27835] 0.050548989 0.521941364 0.427509636 0.055971775 0.431246847 0.512781382
[27841] 0.067906223 0.459232628 0.472861171 0.074930646 0.580822527 0.344246864
[27847] 0.061208606 0.554472506 0.384318948 0.180397943 0.543573022 0.276029050
[27853] 0.040598381 0.355344445 0.604057193 0.251346529 0.206026077 0.542627394
[27859] 0.043213788 0.456733525 0.500052691 0.034876011 0.537890315 0.427233666
[27865] 0.341045082 0.411483020 0.247471958 0.047581993 0.562448323 0.389969707
[27871] 0.042331714 0.289049923 0.668618381 0.059451479 0.320560724 0.619987786
[27877] 0.010628819 0.399814487 0.589556694 0.040731482 0.579554319 0.379714191
[27883] 0.042705320 0.467789263 0.489505470 0.055954583 0.512437761 0.431607604
[27889] 0.012588873 0.501514137 0.485897005 0.894074261 0.099152707 0.006773063
[27895] 0.036908694 0.363513112 0.599578202 0.014199909 0.307628572 0.678171515
[27901] 0.057228107 0.718838334 0.223933592 0.290617585 0.234034285 0.475348175
[27907] 0.064521112 0.385473400 0.550005496 0.345180303 0.311102629 0.343717098
[27913] 0.764771640 0.194222897 0.041005448 0.109000593 0.646008432 0.244991004
[27919] 0.043015014 0.439874589 0.517110407 0.040098477 0.424914181 0.534987330
[27925] 0.046708398 0.563250721 0.390040845 0.050812647 0.525858223 0.423329085
[27931] 0.041273911 0.612028301 0.346697778 0.142070547 0.411076903 0.446852475
[27937] 0.472204119 0.410213679 0.117582247 0.805669546 0.186316207 0.008014271
[27943] 0.055748671 0.623984218 0.320267111 0.011207969 0.204720110 0.784071922
[27949] 0.205248550 0.396650136 0.398101330 0.033604495 0.358698577 0.607696950
[27955] 0.019145772 0.136854380 0.843999803 0.616958499 0.356793523 0.026247950
[27961] 0.411875129 0.503612638 0.084512204 0.016696507 0.204357252 0.778946221
[27967] 0.757383406 0.227110729 0.015505886 0.660868227 0.320421934 0.018709837
[27973] 0.021659235 0.280774534 0.697566271 0.758991361 0.197242588 0.043766011
[27979] 0.242848039 0.558707952 0.198444009 0.802075624 0.183411822 0.014512531
[27985] 0.555697978 0.397199839 0.047102194 0.552495241 0.414398253 0.033106517
[27991] 0.647698164 0.330619752 0.021682093 0.080736116 0.498079836 0.421184033
[27997] 0.404734761 0.560987294 0.034277964 0.020173388 0.225915834 0.753910720
[28003] 0.636838913 0.322350413 0.040810686 0.800542951 0.181622252 0.017834773
[28009] 0.817424655 0.166165575 0.016409768 0.485972643 0.475296468 0.038730893
[28015] 0.718956888 0.263154238 0.017888863 0.649361074 0.216348901 0.134290054
[28021] 0.491786271 0.408463955 0.099749804 0.898412049 0.087631658 0.013956329
[28027] 0.408455014 0.475328088 0.116216876 0.952983081 0.043398924 0.003617983
[28033] 0.616319418 0.361905754 0.021774789 0.575342536 0.410061985 0.014595482
[28039] 0.870902598 0.117237419 0.011859956 0.023789728 0.284514785 0.691695452
[28045] 0.432767838 0.403567493 0.163664728 0.919341803 0.074876443 0.005781722
[28051] 0.363150865 0.590168655 0.046680484 0.043027580 0.304661930 0.652310491
[28057] 0.582265675 0.331320465 0.086413860 0.742115438 0.248843431 0.009041144
[28063] 0.882583201 0.107480556 0.009936264 0.498926222 0.448116988 0.052956749
[28069] 0.683835626 0.298584342 0.017580021 0.708908260 0.273452282 0.017639484
[28075] 0.604831278 0.352051944 0.043116812 0.772661924 0.217162609 0.010175451
[28081] 0.654516697 0.322936177 0.022547135 0.667149901 0.318359524 0.014490574
[28087] 0.777192593 0.210398480 0.012408929 0.125216439 0.440329224 0.434454322
[28093] 0.017656388 0.227511168 0.754832447 0.035024785 0.378564745 0.586410522
[28099] 0.723743677 0.265861630 0.010394680 0.325320214 0.572865009 0.101814732
[28105] 0.282361954 0.451847464 0.265790582 0.009408617 0.636992753 0.353598595
[28111] 0.104740769 0.573336780 0.321922421 0.146516532 0.612527728 0.240955755
[28117] 0.665663898 0.306956291 0.027379850 0.823181391 0.169080719 0.007737905
[28123] 0.015324336 0.353154093 0.631521583 0.672877014 0.311698884 0.015424139
[28129] 0.009234487 0.144083440 0.846682012 0.863385081 0.129523456 0.007091460
[28135] 0.883506775 0.102461360 0.014031819 0.008537235 0.088705577 0.902757108
[28141] 0.780947387 0.206466526 0.012586122 0.783719301 0.201103896 0.015176754
[28147] 0.782609224 0.206189543 0.011201221 0.602594018 0.382808596 0.014597400
[28153] 0.783215106 0.202982217 0.013802693 0.011720167 0.118289642 0.869990170
[28159] 0.013077520 0.110058807 0.876863658 0.810078919 0.174400762 0.015520331
[28165] 0.754711449 0.235095844 0.010192720 0.814135253 0.176481262 0.009383462
[28171] 0.040402308 0.298668504 0.660929143 0.592231095 0.389123380 0.018645555
[28177] 0.023837481 0.381421417 0.594741046 0.655550361 0.301319361 0.043130249
[28183] 0.766182899 0.217925087 0.015892023 0.727363169 0.263995677 0.008641194
[28189] 0.665393054 0.320080817 0.014526155 0.149869367 0.424633205 0.425497442
[28195] 0.849052548 0.143597811 0.007349633 0.518413246 0.427222878 0.054363899
[28201] 0.659232140 0.308891237 0.031876620 0.570895612 0.412634104 0.016470300
[28207] 0.710513473 0.267632395 0.021854112 0.701853812 0.286523402 0.011622809
[28213] 0.870289207 0.123378366 0.006332394 0.028036090 0.396404922 0.575559020
[28219] 0.491082251 0.474060416 0.034857344 0.732682586 0.254752547 0.012564851
[28225] 0.022558717 0.206765592 0.770675659 0.137271211 0.460074693 0.402654111
[28231] 0.049218446 0.538714707 0.412066817 0.538557351 0.424516678 0.036925998
[28237] 0.079335086 0.471705258 0.448959708 0.337703586 0.467019707 0.195276648
[28243] 0.849783242 0.141499817 0.008716974 0.685183346 0.298823625 0.015992992
[28249] 0.562110722 0.410068005 0.027821245 0.790297210 0.200998411 0.008704430
[28255] 0.603145719 0.375960946 0.020893324 0.362416863 0.546001732 0.091581404
[28261] 0.616133928 0.336850554 0.047015540 0.655743003 0.325293303 0.018963670
[28267] 0.859627843 0.124451086 0.015921067 0.511224329 0.466066927 0.022708762
[28273] 0.041283824 0.125194535 0.833521664 0.076631621 0.512734830 0.410633534
[28279] 0.856372178 0.134959027 0.008668866 0.811899662 0.180023089 0.008077288
[28285] 0.599971652 0.382637054 0.017391304 0.677441299 0.303790450 0.018768217
[28291] 0.611471295 0.363263607 0.025265129 0.046475612 0.379234910 0.574289501
[28297] 0.023762623 0.272893459 0.703343868 0.098978788 0.498649150 0.402372062
[28303] 0.896128416 0.093892761 0.009978822 0.707284033 0.278056592 0.014659381
[28309] 0.743431807 0.243516088 0.013052089 0.778059185 0.214633495 0.007307269
[28315] 0.828375816 0.159461990 0.012162176 0.493519872 0.441358864 0.065121196
[28321] 0.659804702 0.294086665 0.046108663 0.374435812 0.421463400 0.204100773
[28327] 0.546005249 0.437533885 0.016460840 0.479706496 0.484965712 0.035327829
[28333] 0.640854180 0.326535255 0.032610588 0.657815993 0.314883381 0.027300650
[28339] 0.533484936 0.343418032 0.123096995 0.646169126 0.337522149 0.016308671
[28345] 0.142454073 0.581269026 0.276276916 0.774201870 0.218556330 0.007241842
[28351] 0.035121143 0.279329002 0.685549855 0.020183224 0.225010991 0.754805803
[28357] 0.601397216 0.378841996 0.019760752 0.787945628 0.203188404 0.008865948
[28363] 0.326521903 0.284295261 0.389182836 0.674983501 0.300481975 0.024534509
[28369] 0.355068058 0.557203174 0.087728769 0.806711316 0.182785273 0.010503382
[28375] 0.486187756 0.496136129 0.017676068 0.536150575 0.373437792 0.090411641
[28381] 0.783260822 0.203659773 0.013079456 0.855329394 0.137699127 0.006971457
[28387] 0.668828130 0.300435275 0.030736648 0.528254211 0.440044701 0.031701095
[28393] 0.028088618 0.285417557 0.686493814 0.592035055 0.380013824 0.027951151
[28399] 0.808070898 0.179976657 0.011952454 0.741877258 0.251007408 0.007115341
[28405] 0.011696658 0.611943305 0.376359999 0.545889199 0.385270447 0.068840347
[28411] 0.787660122 0.202338025 0.010001868 0.858666182 0.130716428 0.010617389
[28417] 0.267599314 0.326904595 0.405496091 0.079122745 0.526793122 0.394084156
[28423] 0.667126834 0.309094906 0.023778277 0.557666361 0.343062222 0.099271394
[28429] 0.677498758 0.283721328 0.038779940 0.817771196 0.155243412 0.026985351
[28435] 0.659725964 0.318847209 0.021426890 0.946098745 0.050663043 0.003238245
[28441] 0.013917565 0.155952513 0.830129921 0.668688416 0.304371208 0.026940323
[28447] 0.619635761 0.365228087 0.015136118 0.048745640 0.321212560 0.630041838
[28453] 0.808955193 0.178784475 0.012260374 0.455560058 0.313715637 0.230724335
[28459] 0.601101935 0.364667535 0.034230504 0.809251726 0.178558081 0.012190226
[28465] 0.136501789 0.632116973 0.231381297 0.693950176 0.284863979 0.021185812
[28471] 0.536924839 0.406325489 0.056749627 0.680194855 0.308719099 0.011086020
[28477] 0.812161148 0.175387442 0.012451350 0.056885034 0.297818333 0.645296633
[28483] 0.647959828 0.323663294 0.028376894 0.757985175 0.232538894 0.009475958
[28489] 0.754934847 0.220435709 0.024629489 0.719491005 0.266686976 0.013822067
[28495] 0.754526556 0.222394437 0.023079021 0.451853573 0.503188670 0.044957805
[28501] 0.716749728 0.268691421 0.014558825 0.315263122 0.465532362 0.219204530
[28507] 0.315333694 0.541851938 0.142814368 0.532460749 0.390134394 0.077404842
[28513] 0.462550104 0.481906384 0.055543546 0.036286578 0.178019062 0.785694361
[28519] 0.013044142 0.229822963 0.757132947 0.679077089 0.246274963 0.074647956
[28525] 0.804716527 0.178571701 0.016711755 0.545591354 0.407420635 0.046988033
[28531] 0.364087254 0.521590233 0.114322558 0.499673039 0.371926874 0.128400117
[28537] 0.675654411 0.290724158 0.033621468 0.378274679 0.369385332 0.252340019
[28543] 0.420863301 0.490456909 0.088679783 0.610632420 0.348905921 0.040461637
[28549] 0.390931189 0.442113578 0.166955203 0.239439860 0.681935847 0.078624263
[28555] 0.777393699 0.206725091 0.015881255 0.529031038 0.439216673 0.031752270
[28561] 0.606852412 0.340233535 0.052913994 0.626321137 0.363283992 0.010394841
[28567] 0.629565001 0.342250049 0.028184956 0.844429135 0.149761915 0.005808920
[28573] 0.502371490 0.473358721 0.024269743 0.681218982 0.294910878 0.023870129
[28579] 0.915417433 0.076165006 0.008417520 0.813410699 0.175001681 0.011587631
[28585] 0.845331669 0.148767814 0.005900493 0.717260659 0.275750756 0.006988571
[28591] 0.582770944 0.397953957 0.019275144 0.536265969 0.446232527 0.017501531
[28597] 0.688479066 0.285528958 0.025992004 0.877968669 0.114544384 0.007486945
[28603] 0.726261497 0.260453820 0.013284702 0.799255848 0.190510184 0.010233982
[28609] 0.761740744 0.211417764 0.026841480 0.669647157 0.314499766 0.015853042
[28615] 0.630878448 0.347738653 0.021382883 0.705364406 0.273304820 0.021330813
[28621] 0.482762337 0.420421779 0.096815847 0.757014096 0.232485682 0.010500222
[28627] 0.652243376 0.328198373 0.019558234 0.781112969 0.206908539 0.011978532
[28633] 0.619070709 0.363589346 0.017339960 0.455390960 0.493339986 0.051269013
[28639] 0.049704574 0.885473728 0.064821698 0.563917339 0.372997046 0.063085616
[28645] 0.528470576 0.398795694 0.072733745 0.593340933 0.383114904 0.023544135
[28651] 0.713785529 0.255594581 0.030619891 0.510192752 0.443247437 0.046559792
[28657] 0.552935660 0.415962785 0.031101571 0.291812271 0.544501841 0.163685873
[28663] 0.683083057 0.297505081 0.019411866 0.607371151 0.364860594 0.027768241
[28669] 0.634565592 0.341477215 0.023957219 0.863776624 0.129066288 0.007157139
[28675] 0.010939145 0.156402737 0.832658052 0.040417459 0.332891434 0.626691103
[28681] 0.758047819 0.226967037 0.014985175 0.851391733 0.141063794 0.007544474
[28687] 0.771502018 0.212709412 0.015788512 0.464007616 0.436370492 0.099621929
[28693] 0.159937575 0.479891449 0.360170990 0.468331039 0.416287333 0.115381584
[28699] 0.338624507 0.586767912 0.074607596 0.582672834 0.384918690 0.032408506
[28705] 0.014205615 0.156081483 0.829712868 0.649939239 0.339898169 0.010162596
[28711] 0.051313322 0.624442875 0.324243784 0.731734633 0.242582649 0.025682751
[28717] 0.501049042 0.394752979 0.104197957 0.709562361 0.279359430 0.011078192
[28723] 0.734595776 0.254829675 0.010574558 0.744553506 0.231572643 0.023873905
[28729] 0.763142228 0.220489785 0.016367963 0.663748682 0.313862085 0.022389228
[28735] 0.521208048 0.439728051 0.039063886 0.764009416 0.224720806 0.011269811
[28741] 0.416430265 0.500094831 0.083474852 0.076364279 0.434770018 0.488865703
[28747] 0.368281186 0.517578781 0.114140041 0.796503663 0.190982461 0.012513869
[28753] 0.648647130 0.323651433 0.027701473 0.691751719 0.286867648 0.021380669
[28759] 0.686749637 0.291921735 0.021328619 0.698904693 0.278387934 0.022707393
[28765] 0.654053032 0.335290819 0.010656202 0.706274152 0.272398472 0.021327378
[28771] 0.613805234 0.297267050 0.088927709 0.015960505 0.798698545 0.185340956
[28777] 0.597111344 0.343592912 0.059295747 0.092296444 0.639815211 0.267888337
[28783] 0.055170257 0.413059890 0.531769872 0.073879227 0.378976017 0.547144771
[28789] 0.018331083 0.213986918 0.767682016 0.037710540 0.388452947 0.573836505
[28795] 0.653460205 0.333505541 0.013034227 0.554679930 0.403820783 0.041499238
[28801] 0.906060874 0.087417476 0.006521675 0.828007698 0.164968088 0.007024202
[28807] 0.068819016 0.506488442 0.424692541 0.796862543 0.196423158 0.006714314
[28813] 0.493149251 0.466232389 0.040618327 0.813500166 0.177873418 0.008626360
[28819] 0.855343163 0.134637296 0.010019505 0.693756580 0.288600653 0.017642736
[28825] 0.644138634 0.339903653 0.015957704 0.636425793 0.341561735 0.022012500
[28831] 0.819200456 0.173762500 0.007036977 0.050975367 0.252144128 0.696880460
[28837] 0.883656502 0.112260252 0.004083246 0.708064973 0.273565203 0.018369840
[28843] 0.611934841 0.365267724 0.022797516 0.819943070 0.173732534 0.006324383
[28849] 0.886020958 0.107421026 0.006558015 0.063983329 0.335023165 0.600993514
[28855] 0.112826467 0.562088728 0.325084776 0.865424156 0.128269896 0.006306021
[28861] 0.788425267 0.193604738 0.017970039 0.681102514 0.307745546 0.011151884
[28867] 0.039991669 0.384411901 0.575596392 0.654107332 0.315512866 0.030379780
[28873] 0.671728551 0.290054411 0.038217023 0.516953707 0.465986907 0.017059382
[28879] 0.075281709 0.434651256 0.490067035 0.008188182 0.649470448 0.342341363
[28885] 0.064187676 0.498289317 0.437522978 0.821460247 0.163035974 0.015503771
[28891] 0.883186340 0.110159002 0.006654647 0.711205244 0.276241034 0.012553726
[28897] 0.620640159 0.348600417 0.030759417 0.041450322 0.424997687 0.533551991
[28903] 0.820821583 0.172205403 0.006973032 0.720880032 0.263463497 0.015656453
[28909] 0.020101892 0.163934752 0.815963387 0.758183360 0.220860824 0.020955874
[28915] 0.697528243 0.232755125 0.069716662 0.828727782 0.159513414 0.011758764
[28921] 0.582697511 0.401876450 0.015426045 0.025315955 0.257891208 0.716792822
[28927] 0.834920824 0.159081966 0.005997220 0.804853261 0.178518623 0.016628088
[28933] 0.726342976 0.250214815 0.023442205 0.665955067 0.312456042 0.021588903
[28939] 0.782685041 0.205753371 0.011561556 0.011712096 0.222064987 0.766222894
[28945] 0.810665667 0.177533686 0.011800651 0.211861491 0.418890625 0.369247854
[28951] 0.716038704 0.268846542 0.015114827 0.396930575 0.522277355 0.080792107
[28957] 0.685244441 0.282230198 0.032525416 0.882849395 0.105306491 0.011844119
[28963] 0.618511200 0.347602546 0.033886299 0.530945063 0.450727761 0.018327178
[28969] 0.800795496 0.185067073 0.014137501 0.715609789 0.271355212 0.013035013
[28975] 0.890282452 0.103613637 0.006103936 0.840769529 0.151063412 0.008167028
[28981] 0.446046144 0.394750386 0.159203425 0.695710003 0.275357455 0.028932553
[28987] 0.753066421 0.237881422 0.009052107 0.474958152 0.479806393 0.045235403
[28993] 0.884757996 0.105998561 0.009243489 0.708090544 0.274166286 0.017743170
[28999] 0.762127221 0.228285924 0.009586870 0.652142942 0.332781047 0.015076051
[29005] 0.011899514 0.610824883 0.377275616 0.467719257 0.487188309 0.045092393
[29011] 0.623793960 0.339616686 0.036589418 0.522523165 0.152274519 0.325202316
[29017] 0.722163916 0.265320182 0.012515844 0.035923310 0.376463652 0.587613046
[29023] 0.049895599 0.544905126 0.405199319 0.761688352 0.222387299 0.015924372
[29029] 0.516440272 0.363479584 0.120080136 0.832958877 0.161437720 0.005603432
[29035] 0.449918121 0.490792453 0.059289459 0.402961046 0.323003173 0.274035752
[29041] 0.536389530 0.416642249 0.046968162 0.641308486 0.307203501 0.051487993
[29047] 0.030084552 0.323715508 0.646199942 0.016399883 0.205198154 0.778402030
[29053] 0.411084205 0.406411409 0.182504401 0.571862400 0.415140659 0.012996951
[29059] 0.833024204 0.157336280 0.009639530 0.024650915 0.124503061 0.850845993
[29065] 0.113944262 0.410154670 0.475901097 0.754526496 0.234585524 0.010888042
[29071] 0.612344563 0.329691678 0.057963744 0.743837237 0.241038173 0.015124636
[29077] 0.691649854 0.286372572 0.021977557 0.814090252 0.173929453 0.011980344
[29083] 0.476764530 0.478774160 0.044461284 0.802952647 0.190112680 0.006934663
[29089] 0.638933122 0.326289862 0.034776997 0.614288867 0.360236526 0.025474571
[29095] 0.018352235 0.398041338 0.583606482 0.627654552 0.330508977 0.041836485
[29101] 0.612355232 0.340261072 0.047383677 0.721912920 0.232344359 0.045742694
[29107] 0.581279278 0.379813284 0.038907431 0.585268617 0.382673770 0.032057658
[29113] 0.819172502 0.167977884 0.012849623 0.812948704 0.174706310 0.012344981
[29119] 0.664767981 0.322687328 0.012544736 0.638449311 0.309746176 0.051804505
[29125] 0.036326185 0.262815624 0.700858235 0.686983824 0.283444256 0.029571895
[29131] 0.588638783 0.381283283 0.030077960 0.639316976 0.318071812 0.042611230
[29137] 0.705029726 0.275144249 0.019826055 0.072753787 0.113641210 0.813604951
[29143] 0.860438287 0.114329219 0.025232513 0.928687572 0.065559037 0.005753372
[29149] 0.009118639 0.018211251 0.972670138 0.402460009 0.440398306 0.157141745
[29155] 0.058982704 0.528990567 0.412026763 0.268704474 0.385827005 0.345468551
[29161] 0.371478140 0.230314344 0.398207545 0.025383282 0.260834545 0.713782191
[29167] 0.871006906 0.125190243 0.003802909 0.243290216 0.672236979 0.084472820
[29173] 0.036193319 0.248594612 0.715212047 0.655000687 0.311977476 0.033021864
[29179] 0.828168213 0.160212621 0.011619164 0.009403046 0.110610180 0.879986823
[29185] 0.093216158 0.563074708 0.343709141 0.211294577 0.546684206 0.242021248
[29191] 0.074400216 0.618473172 0.307126582 0.069784239 0.449199617 0.481016099
[29197] 0.026267869 0.190165073 0.783567071 0.759193420 0.226684913 0.014121689
[29203] 0.061456919 0.616778672 0.321764439 0.025386825 0.326425374 0.648187816
[29209] 0.018639741 0.257687271 0.723673046 0.153776631 0.430412143 0.415811211
[29215] 0.036345467 0.351255834 0.612398684 0.054329213 0.408793062 0.536877692
[29221] 0.784125149 0.205302164 0.010572629 0.020887127 0.296513259 0.682599604
[29227] 0.031326011 0.351810873 0.616863132 0.281109720 0.655589342 0.063300915
[29233] 0.023694525 0.245652810 0.730652690 0.033282399 0.268560022 0.698157549
[29239] 0.032321930 0.512040079 0.455637991 0.054981887 0.325041145 0.619976938
[29245] 0.037699621 0.402677178 0.559623182 0.049527884 0.246344730 0.704127371
[29251] 0.049417887 0.384750813 0.565831304 0.024429563 0.180117220 0.795453250
[29257] 0.012228655 0.123576723 0.864194691 0.015135265 0.246872291 0.737992465
[29263] 0.086800352 0.603823543 0.309376121 0.075225599 0.391408712 0.533365667
[29269] 0.060470290 0.446907908 0.492621779 0.081787102 0.617702425 0.300510496
[29275] 0.122791491 0.409005523 0.468202949 0.092651159 0.293070674 0.614278138
[29281] 0.149507359 0.442706764 0.407785833 0.712978601 0.271750331 0.015271097
[29287] 0.088596851 0.640198767 0.271204412 0.029578025 0.257159710 0.713262260
[29293] 0.417634040 0.361265898 0.221100107 0.038790308 0.153471425 0.807738304
[29299] 0.062392972 0.190836668 0.746770322 0.059635129 0.402418315 0.537946522
[29305] 0.070437208 0.467674851 0.461887926 0.024725495 0.290705085 0.684569478
[29311] 0.068177141 0.358603209 0.573219657 0.530149937 0.428092033 0.041758019
[29317] 0.027909435 0.356904835 0.615185738 0.076078288 0.236768618 0.687153101
[29323] 0.047948152 0.453855336 0.498196453 0.220898703 0.378346413 0.400754869
[29329] 0.146729410 0.425347209 0.427923352 0.050639309 0.490649313 0.458711386
[29335] 0.017002732 0.239841163 0.743156135 0.142540067 0.490596652 0.366863251
[29341] 0.057919648 0.197890267 0.744190097 0.116117410 0.599768460 0.284114122
[29347] 0.012940614 0.244302332 0.742757022 0.026474969 0.303877026 0.669647992
[29353] 0.003918087 0.194326326 0.801755548 0.106396519 0.452611536 0.440991998
[29359] 0.236343756 0.385523975 0.378132254 0.023075944 0.321126699 0.655797362
[29365] 0.144566372 0.389780194 0.465653390 0.375469804 0.468020588 0.156509593
[29371] 0.013791490 0.156354949 0.829853594 0.876576126 0.114240177 0.009183705
[29377] 0.027452452 0.232680783 0.739866793 0.078789353 0.586593151 0.334617466
[29383] 0.034131631 0.306776077 0.659092307 0.024899345 0.399512112 0.575588524
[29389] 0.074519202 0.502478600 0.423002183 0.051839288 0.474287540 0.473873228
[29395] 0.067738354 0.469359338 0.462902337 0.118606195 0.660171270 0.221222565
[29401] 0.141103894 0.530517459 0.328378677 0.074255161 0.324426830 0.601318002
[29407] 0.092379056 0.493943453 0.413677454 0.084736466 0.355424553 0.559838951
[29413] 0.175450906 0.723420143 0.101128966 0.317485869 0.513851404 0.168662742
[29419] 0.090700977 0.210352406 0.698946655 0.012928501 0.172814101 0.814257383
[29425] 0.018798063 0.204864278 0.776337683 0.072395742 0.571020246 0.356584042
[29431] 0.707685590 0.221989289 0.070325077 0.035374515 0.334893674 0.629731834
[29437] 0.057933547 0.107430525 0.834635973 0.172876671 0.505588114 0.321535230
[29443] 0.081026331 0.259133458 0.659840226 0.142549664 0.353850067 0.503600240
[29449] 0.036384217 0.134545684 0.829070151 0.325679243 0.379968941 0.294351816
[29455] 0.391232580 0.277187854 0.331579566 0.028977904 0.231280640 0.739741445
[29461] 0.162598997 0.483733982 0.353667051 0.057890907 0.431003332 0.511105776
[29467] 0.845873594 0.128763765 0.025362585 0.083878838 0.219847962 0.696273208
[29473] 0.430125356 0.469491482 0.100383185 0.097373351 0.782804072 0.119822651
[29479] 0.034897972 0.808169842 0.156932220 0.286999851 0.643280923 0.069719203
[29485] 0.448107541 0.491971493 0.059920907 0.139907047 0.701494217 0.158598766
[29491] 0.450422168 0.511485279 0.038092569 0.034658704 0.242764011 0.722577274
[29497] 0.840202093 0.143764913 0.016032996 0.681475163 0.301132560 0.017392313
[29503] 0.647331417 0.305854023 0.046814561 0.401475906 0.564827800 0.033696301
[29509] 0.315620035 0.463113695 0.221266225 0.554750800 0.409293503 0.035955664
[29515] 0.416320682 0.528817415 0.054861952 0.587073505 0.370673507 0.042252939
[29521] 0.046624854 0.457236469 0.496138692 0.526085377 0.420072168 0.053842448
[29527] 0.349544585 0.436750710 0.213704661 0.463521510 0.488002509 0.048475929
[29533] 0.410938889 0.556356549 0.032704577 0.053458083 0.398638129 0.547903776
[29539] 0.500919104 0.464491963 0.034588970 0.543350697 0.427526236 0.029123100
[29545] 0.016864220 0.544017076 0.439118743 0.489796817 0.448021710 0.062181514
[29551] 0.496691614 0.460923791 0.042384550 0.560214818 0.419273317 0.020511856
[29557] 0.486920387 0.448975027 0.064104646 0.460972697 0.491378605 0.047648735
[29563] 0.566090703 0.402370304 0.031539015 0.021720709 0.159441322 0.818837941
[29569] 0.037912719 0.398572773 0.563514471 0.057103373 0.185651690 0.757244945
[29575] 0.457199067 0.489089280 0.053711634 0.463213354 0.498764604 0.038022015
[29581] 0.696106553 0.272289783 0.031603664 0.423803031 0.515600324 0.060596675
[29587] 0.414681494 0.514483690 0.070834838 0.020480148 0.339922786 0.639597058
[29593] 0.037444718 0.405560672 0.556994617 0.041987203 0.345146805 0.612865984
[29599] 0.048425492 0.258819848 0.692754686 0.104820266 0.618766725 0.276413023
[29605] 0.296067327 0.565682292 0.138250366 0.004461254 0.297780961 0.697757840
[29611] 0.608833075 0.367829949 0.023336997 0.312200069 0.511499941 0.176300019
[29617] 0.341713011 0.559618652 0.098668337 0.495366335 0.467090011 0.037543610
[29623] 0.352047831 0.588681996 0.059270158 0.776874065 0.210660219 0.012465674
[29629] 0.605571806 0.355642915 0.038785283 0.828895092 0.162024081 0.009080818
[29635] 0.551127613 0.410773039 0.038099352 0.434661299 0.521098197 0.044240486
[29641] 0.535908759 0.443104982 0.020986237 0.647893906 0.335419506 0.016686615
[29647] 0.036276020 0.342550337 0.621173620 0.464686364 0.505683899 0.029629720
[29653] 0.563977957 0.419700921 0.016321076 0.036548659 0.195118949 0.768332422
[29659] 0.538861394 0.440725088 0.020413512 0.032912198 0.349185497 0.617902279
[29665] 0.484543234 0.405691862 0.109764919 0.314707428 0.635841131 0.049451429
[29671] 0.599755168 0.341392398 0.058852419 0.524865091 0.426033795 0.049101099
[29677] 0.457466006 0.514922142 0.027611861 0.037989866 0.429290116 0.532720029
[29683] 0.305102944 0.625615716 0.069281347 0.289480984 0.493222982 0.217296034
[29689] 0.370032489 0.594016790 0.035950683 0.659057200 0.313028961 0.027913824
[29695] 0.442972481 0.511821330 0.045206185 0.695871949 0.282437831 0.021690251
[29701] 0.788352132 0.195234686 0.016413199 0.236691400 0.671115756 0.092192866
[29707] 0.008940801 0.068598785 0.922460437 0.044647299 0.264322042 0.691030681
[29713] 0.442105234 0.524908662 0.032986116 0.545936525 0.382497698 0.071565799
[29719] 0.355957359 0.598060668 0.045982026 0.286965609 0.565319657 0.147714689
[29725] 0.661752462 0.310132563 0.028114973 0.006113986 0.294981331 0.698904693
[29731] 0.532645881 0.431621313 0.035732839 0.216435656 0.608622611 0.174941674
[29737] 0.764537573 0.223110110 0.012352291 0.037252575 0.297341794 0.665405571
[29743] 0.470463037 0.477222353 0.052314594 0.173726618 0.637746334 0.188527033
[29749] 0.272905499 0.465902179 0.261192381 0.480148613 0.469264507 0.050586864
[29755] 0.471582919 0.473050684 0.055366378 0.067842640 0.429854482 0.502302825
[29761] 0.030830819 0.179640904 0.789528310 0.721627593 0.268237561 0.010134836
[29767] 0.627083361 0.342029035 0.030887648 0.748030305 0.235363141 0.016606512
[29773] 0.630068064 0.344735295 0.025196617 0.447971106 0.468494087 0.083534747
[29779] 0.082763165 0.181486234 0.735750556 0.587372780 0.396519154 0.016108032
[29785] 0.006498378 0.366080374 0.627421200 0.325158834 0.618930221 0.055910941
[29791] 0.732848108 0.242763981 0.024387965 0.407767236 0.381389111 0.210843638
[29797] 0.661357462 0.312704593 0.025937937 0.055665288 0.418601245 0.525733471
[29803] 0.512009799 0.406665176 0.081324987 0.464069903 0.475247711 0.060682386
[29809] 0.226377144 0.427946240 0.345676631 0.038085934 0.455942214 0.505971849
[29815] 0.022516415 0.308489621 0.668994009 0.051252019 0.318524003 0.630223989
[29821] 0.414040923 0.541105807 0.044853278 0.222691789 0.632850409 0.144457772
[29827] 0.041570801 0.396181703 0.562247515 0.739176214 0.233917519 0.026906217
[29833] 0.592923045 0.371435195 0.035641737 0.361882389 0.480221063 0.157896519
[29839] 0.059914380 0.506660521 0.433425099 0.840749800 0.147469312 0.011780859
[29845] 0.009248032 0.168771252 0.821980774 0.041864749 0.182402387 0.775732815
[29851] 0.067943476 0.318954468 0.613102078 0.620946169 0.359441370 0.019612463
[29857] 0.353608072 0.472692490 0.173699439 0.745641410 0.235753015 0.018605610
[29863] 0.022812000 0.233429074 0.743758917 0.308236033 0.598610580 0.093153387
[29869] 0.330216467 0.536365688 0.133417845 0.482183784 0.388945132 0.128871083
[29875] 0.041888144 0.315190941 0.642920911 0.049395666 0.288975567 0.661628783
[29881] 0.070411414 0.261004746 0.668583810 0.585425675 0.387638807 0.026935488
[29887] 0.438067466 0.524484932 0.037447624 0.732699275 0.249227047 0.018073671
[29893] 0.540855467 0.440535367 0.018609140 0.288956404 0.618394494 0.092649110
[29899] 0.767952085 0.204161406 0.027886519 0.807040334 0.164927587 0.028032085
[29905] 0.054558743 0.362977743 0.582463503 0.307540298 0.609533668 0.082926065
[29911] 0.679986179 0.297739685 0.022274105 0.451383442 0.478238910 0.070377603
[29917] 0.019172119 0.301030338 0.679797530 0.018726168 0.263692290 0.717581511
[29923] 0.018376965 0.205968067 0.775654912 0.333362490 0.629162192 0.037475307
[29929] 0.426570684 0.545382082 0.028047262 0.791804731 0.194143131 0.014052189
[29935] 0.017193446 0.173358157 0.809448361 0.494256943 0.465397328 0.040345702
[29941] 0.263748229 0.529058158 0.207193628 0.413531005 0.465836614 0.120632336
[29947] 0.334276110 0.610797405 0.054926462 0.443660021 0.522377670 0.033962242
[29953] 0.575166643 0.373968035 0.050865296 0.316551000 0.428680032 0.254768938
[29959] 0.403849751 0.360696137 0.235454082 0.499528915 0.462347746 0.038123302
[29965] 0.038937114 0.194004476 0.767058432 0.439142704 0.533042967 0.027814345
[29971] 0.458216935 0.489973843 0.051809251 0.410539120 0.514503717 0.074957147
[29977] 0.044178016 0.906398177 0.049423866 0.375732094 0.572505355 0.051762518
[29983] 0.742342889 0.215699777 0.041957345 0.566717684 0.316820741 0.116461612
[29989] 0.290284246 0.641304731 0.068410985 0.446618050 0.463641495 0.089740492
[29995] 0.016434405 0.122838594 0.860727072 0.456716865 0.461433172 0.081849888
[30001] 0.383692205 0.586457491 0.029850328 0.310580105 0.617505550 0.071914382
[30007] 0.400629491 0.501865864 0.097504631 0.081125289 0.243925259 0.674949467
[30013] 0.179166660 0.641333997 0.179499298 0.304077953 0.481524736 0.214397296
[30019] 0.322136521 0.477500677 0.200362802 0.063996583 0.821925223 0.114078201
[30025] 0.566202998 0.406142205 0.027654754 0.538507819 0.303701133 0.157791063
[30031] 0.289348125 0.649228334 0.061423574 0.381399989 0.482963353 0.135636717
[30037] 0.423912823 0.485108614 0.090978555 0.525739670 0.440147251 0.034113038
[30043] 0.258315921 0.662705600 0.078978471 0.468415320 0.484666556 0.046918161
[30049] 0.570968866 0.399743766 0.029287389 0.622275591 0.354910463 0.022813927
[30055] 0.613974094 0.353241146 0.032784794 0.014812208 0.172272950 0.812914848
[30061] 0.426864922 0.478156656 0.094978489 0.682938814 0.298122197 0.018938947
[30067] 0.338038146 0.628029644 0.033932216 0.201371834 0.722117901 0.076510310
[30073] 0.032788705 0.264801741 0.702409565 0.640614867 0.343463778 0.015921406
[30079] 0.387075573 0.488974005 0.123950399 0.632062852 0.349300444 0.018636703
[30085] 0.795492530 0.184569001 0.019938473 0.337906301 0.585905135 0.076188602
[30091] 0.527670085 0.415720761 0.056609146 0.332168728 0.635513306 0.032317940
[30097] 0.392016470 0.577217638 0.030765874 0.052146640 0.184375361 0.763477981
[30103] 0.386033773 0.551352501 0.062613718 0.040251117 0.427859962 0.531888902
[30109] 0.022751031 0.221020788 0.756228209 0.334091276 0.513709307 0.152199447
[30115] 0.153651208 0.567579746 0.278769046 0.041847493 0.490321815 0.467830628
[30121] 0.783299267 0.197828650 0.018872049 0.034087274 0.285936594 0.679976106
[30127] 0.048029661 0.278840154 0.673130214 0.619302094 0.351862729 0.028835151
[30133] 0.619947731 0.361321092 0.018731140 0.562075138 0.418636203 0.019288663
[30139] 0.368183255 0.555716157 0.076100588 0.463345855 0.419557393 0.117096782
[30145] 0.335449874 0.589799941 0.074750163 0.019070841 0.448223531 0.532705665
[30151] 0.567752361 0.397174209 0.035073373 0.030912170 0.429967403 0.539120436
[30157] 0.217859939 0.487310499 0.294829577 0.410523295 0.554545999 0.034930710
[30163] 0.193899035 0.465345114 0.340755880 0.243836328 0.460773945 0.295389712
[30169] 0.044491280 0.745015919 0.210492775 0.256520808 0.690030396 0.053448807
[30175] 0.324672610 0.608985662 0.066341728 0.611724019 0.299506307 0.088769674
[30181] 0.430989087 0.524399161 0.044611767 0.532845080 0.429269314 0.037885610
[30187] 0.478703231 0.413099408 0.108197317 0.179933965 0.552133381 0.267932594
[30193] 0.250973076 0.628609717 0.120417185 0.336624682 0.506687820 0.156687468
[30199] 0.090274818 0.230391100 0.679334104 0.026884735 0.322512686 0.650602579
[30205] 0.240644053 0.536118209 0.223237723 0.253446102 0.497281939 0.249271944
[30211] 0.390568316 0.565831780 0.043599881 0.469999105 0.500466168 0.029534679
[30217] 0.625542462 0.358702183 0.015755311 0.052780073 0.833729506 0.113490365
[30223] 0.641330421 0.333756417 0.024913142 0.443501115 0.500580192 0.055918671
[30229] 0.567918301 0.400972009 0.031109624 0.033484269 0.357381552 0.609134138
[30235] 0.723477125 0.259112209 0.017410699 0.033241540 0.282186240 0.684572220
[30241] 0.033926018 0.407711029 0.558362961 0.703817725 0.265182555 0.030999715
[30247] 0.642681599 0.284726560 0.072591878 0.649130046 0.304658383 0.046211559
[30253] 0.693812251 0.280342609 0.025845146 0.125566840 0.631532192 0.242900938
[30259] 0.789413273 0.199611694 0.010975005 0.043415301 0.383767426 0.572817326
[30265] 0.673649192 0.305892199 0.020458616 0.644511938 0.310289145 0.045198921
[30271] 0.360297889 0.606595039 0.033107053 0.452091277 0.387415498 0.160493270
[30277] 0.566178679 0.396820158 0.037001170 0.604856372 0.362440705 0.032702919
[30283] 0.421968132 0.557147563 0.020884302 0.251007646 0.570285380 0.178706974
[30289] 0.418347210 0.543237925 0.038414836 0.527399838 0.455377370 0.017222784
[30295] 0.721756279 0.251435608 0.026808066 0.033577096 0.339070499 0.627352417
[30301] 0.313227743 0.596924067 0.089848176 0.412501991 0.544838667 0.042659357
[30307] 0.419887394 0.324900776 0.255211860 0.242435560 0.660469174 0.097095273
[30313] 0.460330129 0.503116250 0.036553610 0.384608954 0.552420318 0.062970743
[30319] 0.480025113 0.462523431 0.057451468 0.045741253 0.344462484 0.609796286
[30325] 0.493944734 0.449329346 0.056725889 0.583692610 0.395202875 0.021104481
[30331] 0.451235741 0.304156423 0.244607881 0.031892162 0.262193501 0.705914319
[30337] 0.020400859 0.142500058 0.837099135 0.029825307 0.424378693 0.545795977
[30343] 0.240651459 0.685345650 0.074002914 0.458787471 0.503235996 0.037976518
[30349] 0.089407578 0.783387363 0.127205074 0.522950768 0.441984057 0.035065167
[30355] 0.139379382 0.401908189 0.458712429 0.010217704 0.151194766 0.838587523
[30361] 0.394078106 0.537011385 0.068910472 0.447593689 0.515999854 0.036406465
[30367] 0.301630676 0.509072840 0.189296529 0.692675650 0.283012301 0.024312105
[30373] 0.477847815 0.400658071 0.121494085 0.066504262 0.538512051 0.394983679
[30379] 0.405807197 0.479971141 0.114221632 0.482123733 0.482654959 0.035221327
[30385] 0.103706129 0.788049638 0.108244225 0.036813986 0.281564116 0.681621850
[30391] 0.231713742 0.674593270 0.093693003 0.477906376 0.500592649 0.021500966
[30397] 0.399092555 0.539780855 0.061126608 0.379663616 0.588391483 0.031944908
[30403] 0.262690544 0.576710105 0.160599366 0.379219741 0.601295054 0.019485179
[30409] 0.448496640 0.538871229 0.012632185 0.288805902 0.653961062 0.057233028
[30415] 0.254377961 0.596748769 0.148873270 0.307009757 0.637930512 0.055059742
[30421] 0.327300906 0.615096807 0.057602230 0.418345332 0.517216146 0.064438544
[30427] 0.463294297 0.473295510 0.063410200 0.019682754 0.348833442 0.631483793
[30433] 0.134607494 0.688368976 0.177023545 0.451940626 0.478946596 0.069112815
[30439] 0.747562230 0.237346575 0.015091172 0.016175436 0.259499460 0.724325120
[30445] 0.031341963 0.286598742 0.682059348 0.391511410 0.552618682 0.055869862
[30451] 0.031406805 0.295405388 0.673187792 0.570893228 0.399837077 0.029269690
[30457] 0.704621851 0.279187858 0.016190220 0.072573617 0.276750803 0.650675595
[30463] 0.404889852 0.538850069 0.056260046 0.461688280 0.513731480 0.024580272
[30469] 0.031410106 0.770084679 0.198505163 0.178808108 0.601788044 0.219403878
[30475] 0.326145411 0.623062313 0.050792303 0.431373954 0.544173658 0.024452379
[30481] 0.456057012 0.525670528 0.018272448 0.495565176 0.402669370 0.101765484
[30487] 0.497310579 0.476283461 0.026405940 0.302800298 0.593169808 0.104029886
[30493] 0.038037226 0.318076968 0.643885851 0.042928260 0.276976943 0.680094779
[30499] 0.508210003 0.459739834 0.032050125 0.334223896 0.641056359 0.024719803
[30505] 0.602413237 0.353330642 0.044256106 0.006739954 0.165871322 0.827388704
[30511] 0.591943085 0.355977774 0.052079163 0.299670219 0.609250247 0.091079518
[30517] 0.403490186 0.524034321 0.072475478 0.161571696 0.618874013 0.219554275
[30523] 0.607730031 0.364814311 0.027455596 0.246201992 0.422409356 0.331388623
[30529] 0.519518197 0.440318674 0.040163174 0.502827585 0.476300508 0.020871878
[30535] 0.410833865 0.512143910 0.077022232 0.016666723 0.143402696 0.839930594
[30541] 0.060377885 0.410996884 0.528625190 0.033966988 0.394201726 0.571831286
[30547] 0.015455847 0.190835759 0.793708384 0.216612950 0.252016068 0.531370997
[30553] 0.708797932 0.253081739 0.038120285 0.071619138 0.459385693 0.468995124
[30559] 0.581712008 0.389722049 0.028565940 0.556539893 0.417923421 0.025536738
[30565] 0.039794438 0.365197659 0.595007956 0.640737712 0.343487442 0.015774837
[30571] 0.799143314 0.184373960 0.016482731 0.044345614 0.396311671 0.559342682
[30577] 0.208239287 0.644453108 0.147307575 0.534643471 0.357467651 0.107888915
[30583] 0.300499439 0.579376519 0.120124049 0.607441008 0.375079989 0.017479025
[30589] 0.639903307 0.325310230 0.034786507 0.528433621 0.442539334 0.029027050
[30595] 0.422715962 0.517255008 0.060029015 0.329407811 0.484251201 0.186341017
[30601] 0.442941636 0.509929836 0.047128536 0.372079045 0.576814353 0.051106632
[30607] 0.356686294 0.506078839 0.137234896 0.444874942 0.463247865 0.091877244
[30613] 0.051251944 0.306884170 0.641863883 0.664772153 0.308101445 0.027126424
[30619] 0.469784141 0.500449717 0.029766154 0.415379018 0.500159204 0.084461801
[30625] 0.177809730 0.555316925 0.266873330 0.296321303 0.603677809 0.100000866
[30631] 0.702021778 0.284780115 0.013198107 0.614861906 0.362368882 0.022769211
[30637] 0.013754060 0.170794770 0.815451145 0.382785320 0.594242215 0.022972485
[30643] 0.399087906 0.560206056 0.040706076 0.030421756 0.287454516 0.682123721
[30649] 0.589092910 0.381333143 0.029573945 0.377047002 0.576102138 0.046850864
[30655] 0.632453918 0.329730541 0.037815597 0.677107275 0.302029729 0.020863025
[30661] 0.769618571 0.211272284 0.019109095 0.030158900 0.350871891 0.618969202
[30667] 0.270263821 0.492641449 0.237094760 0.574126422 0.381422579 0.044451043
[30673] 0.582614541 0.313576519 0.103808925 0.016706606 0.305027306 0.678266048
[30679] 0.241787001 0.679358840 0.078854159 0.530287147 0.419392735 0.050320063
[30685] 0.030764112 0.258795768 0.710440159 0.036658362 0.193204105 0.770137548
[30691] 0.301962644 0.630420268 0.067617096 0.259065479 0.315987349 0.424947143
[30697] 0.045524921 0.333765894 0.620709181 0.231905878 0.482821137 0.285272926
[30703] 0.030313021 0.220774770 0.748912156 0.279175997 0.628852904 0.091971047
[30709] 0.193542138 0.735778153 0.070679739 0.414223373 0.544484735 0.041291844
[30715] 0.320647359 0.531354010 0.147998661 0.032165110 0.307590902 0.660243928
[30721] 0.301498353 0.673639715 0.024861868 0.403859913 0.502787113 0.093352988
[30727] 0.303462327 0.547060370 0.149477318 0.334461361 0.598745406 0.066793270
[30733] 0.343961626 0.616630852 0.039407488 0.531419873 0.453938425 0.014641683
[30739] 0.424270123 0.492529154 0.083200678 0.405088276 0.546640813 0.048270907
[30745] 0.580810666 0.397256315 0.021933027 0.336286634 0.589259326 0.074454024
[30751] 0.672926843 0.305302501 0.021770665 0.286320150 0.544520676 0.169159219
[30757] 0.027382411 0.197668165 0.774949431 0.007703572 0.360122293 0.632174134
[30763] 0.058053266 0.336633921 0.605312824 0.014043268 0.125538886 0.860417783
[30769] 0.035987552 0.182464376 0.781548083 0.020534210 0.240587518 0.738878310
[30775] 0.024593921 0.167468816 0.807937264 0.021276414 0.251193434 0.727530181
[30781] 0.021302467 0.155369371 0.823328137 0.034523245 0.245614350 0.719862401
[30787] 0.015936440 0.205548763 0.778514743 0.029781181 0.323013246 0.647205591
[30793] 0.014471851 0.153068423 0.832459688 0.012783774 0.109112881 0.878103316
[30799] 0.019366737 0.226575911 0.754057407 0.023311380 0.241732225 0.734956384
[30805] 0.162900209 0.623951852 0.213147968 0.576120496 0.406805724 0.017073777
[30811] 0.204287410 0.648664594 0.147048056 0.421362370 0.531935871 0.046701781
[30817] 0.581385851 0.317715436 0.100898668 0.190676525 0.573652983 0.235670507
[30823] 0.004643328 0.287249207 0.708107471 0.027404930 0.289962381 0.682632744
[30829] 0.025746580 0.251345485 0.722907901 0.562272549 0.416649342 0.021078104
[30835] 0.024060003 0.154115900 0.821824133 0.544259906 0.432474315 0.023265779
[30841] 0.454633772 0.499997914 0.045368321 0.036437206 0.272401035 0.691161811
[30847] 0.666782022 0.302391440 0.030826498 0.718240619 0.262926966 0.018832454
[30853] 0.743228912 0.228863120 0.027907949 0.220847115 0.686652601 0.092500329
[30859] 0.501463413 0.459413320 0.039123289 0.594037175 0.317158133 0.088804699
[30865] 0.521507859 0.445360661 0.033131454 0.417392194 0.486178815 0.096428946
[30871] 0.519663632 0.463011116 0.017325226 0.256305009 0.522338629 0.221356377
[30877] 0.715554655 0.266845703 0.017599620 0.567091227 0.406004101 0.026904661
[30883] 0.035289988 0.305532604 0.659177423 0.034400191 0.264010578 0.701589227
[30889] 0.017811863 0.589857459 0.392330736 0.012122056 0.129612491 0.858265400
[30895] 0.040279415 0.408357054 0.551363528 0.043784600 0.324270874 0.631944537
[30901] 0.014537918 0.183172151 0.802289963 0.014648309 0.132840961 0.852510691
[30907] 0.011345522 0.164914772 0.823739648 0.173255116 0.201896489 0.624848425
[30913] 0.010867978 0.137516692 0.851615369 0.757085145 0.227600843 0.015313969
[30919] 0.029731514 0.541277409 0.428991050 0.028704297 0.208251536 0.763044178
[30925] 0.095470980 0.381262928 0.523266077 0.035692520 0.321714580 0.642592907
[30931] 0.515169382 0.427037448 0.057793155 0.232624546 0.698909104 0.068466380
[30937] 0.579781771 0.381214678 0.039003529 0.353927016 0.547487617 0.098585390
[30943] 0.200603455 0.671769798 0.127626717 0.895799398 0.093804851 0.010395726
[30949] 0.213291228 0.567734897 0.218973860 0.023978483 0.232828900 0.743192613
[30955] 0.013435142 0.161867499 0.824697375 0.648910642 0.317451984 0.033637382
[30961] 0.375398278 0.544082284 0.080519460 0.349729568 0.588344872 0.061925549
[30967] 0.914678395 0.075711980 0.009609636 0.023502061 0.347845793 0.628652155
[30973] 0.675430238 0.304195672 0.020374078 0.447358578 0.518460810 0.034180634
[30979] 0.075937249 0.272925228 0.651137471 0.032726020 0.361824363 0.605449617
[30985] 0.830970168 0.154343352 0.014686467 0.031276338 0.240934089 0.727789581
[30991] 0.022877915 0.328672081 0.648450017 0.458649307 0.462850094 0.078500643
[30997] 0.416972816 0.493782312 0.089244880 0.777284324 0.206589833 0.016125808
[31003] 0.610455751 0.352321476 0.037222758 0.704401672 0.278147578 0.017450733
[31009] 0.180955753 0.554305911 0.264738321 0.370578378 0.454637378 0.174784198
[31015] 0.019831842 0.257054746 0.723113418 0.623762965 0.360932738 0.015304289
[31021] 0.667207956 0.320703804 0.012088212 0.262246311 0.593721628 0.144032046
[31027] 0.272323042 0.603975534 0.123701371 0.434813261 0.528701007 0.036485676
[31033] 0.071215622 0.188761741 0.740022659 0.563616216 0.409136176 0.027247615
[31039] 0.036320496 0.314165294 0.649514198 0.155538067 0.792550802 0.051911149
[31045] 0.819319725 0.173656806 0.007023515 0.408322871 0.386276752 0.205400437
[31051] 0.452987731 0.515881002 0.031131325 0.699216187 0.281088471 0.019695325
[31057] 0.656303048 0.327919543 0.015777431 0.490793079 0.471626997 0.037579924
[31063] 0.307069987 0.640957057 0.051972978 0.493180931 0.452252179 0.054566860
[31069] 0.695844233 0.289159447 0.014996329 0.411142021 0.535558045 0.053299934
[31075] 0.741044343 0.241315618 0.017640030 0.353971809 0.580545127 0.065483056
[31081] 0.324906349 0.505242467 0.169851184 0.571687102 0.360971421 0.067341529
[31087] 0.491309077 0.452286094 0.056404844 0.020863429 0.205190182 0.773946404
[31093] 0.021478929 0.296768814 0.681752205 0.314470172 0.655833125 0.029696682
[31099] 0.395376742 0.512803018 0.091820233 0.523819745 0.453241497 0.022938756
[31105] 0.522092879 0.434511811 0.043395355 0.425747216 0.491289318 0.082963467
[31111] 0.574505150 0.345137239 0.080357596 0.405721188 0.522454619 0.071824215
[31117] 0.362632066 0.594272912 0.043095030 0.030545257 0.180044413 0.789410293
[31123] 0.019319605 0.210216001 0.770464361 0.013392142 0.179221317 0.807386518
[31129] 0.024986545 0.252936125 0.722077370 0.034283187 0.217749968 0.747966826
[31135] 0.279701799 0.509414971 0.210883245 0.371671081 0.427694738 0.200634226
[31141] 0.388048977 0.514609754 0.097341336 0.033748314 0.245773211 0.720478475
[31147] 0.042832833 0.238683090 0.718484044 0.564716876 0.325614929 0.109668180
[31153] 0.254408360 0.523588002 0.222003639 0.328760326 0.615895510 0.055344101
[31159] 0.031547930 0.297178596 0.671273470 0.028017309 0.199896649 0.772086024
[31165] 0.032704771 0.282004476 0.685290694 0.360725552 0.512991905 0.126282558
[31171] 0.402819335 0.501123428 0.096057221 0.113062136 0.337951839 0.548985958
[31177] 0.192453772 0.728354812 0.079191387 0.303389132 0.539748967 0.156861916
[31183] 0.745510817 0.238998339 0.015490804 0.327363819 0.489962906 0.182673231
[31189] 0.039099526 0.292905688 0.667994738 0.640771031 0.345765948 0.013463023
[31195] 0.367602617 0.575360656 0.057036672 0.047452506 0.385163188 0.567384303
[31201] 0.718279839 0.201635286 0.080084890 0.521827817 0.439692825 0.038479354
[31207] 0.021299589 0.256625444 0.722074926 0.039850894 0.339118630 0.621030509
[31213] 0.579310000 0.393816262 0.026873725 0.598632574 0.370324552 0.031042835
[31219] 0.623818517 0.349575788 0.026605722 0.042221159 0.159962609 0.797816217
[31225] 0.614954889 0.372460961 0.012584207 0.052705437 0.317327797 0.629966795
[31231] 0.520459354 0.427262783 0.052277870 0.535092771 0.429654300 0.035252914
[31237] 0.396255374 0.542013586 0.061731026 0.338392854 0.580935955 0.080671184
[31243] 0.694531083 0.267402977 0.038065944 0.029227663 0.292261422 0.678510904
[31249] 0.021134717 0.169496119 0.809369147 0.270117730 0.636539936 0.093342341
[31255] 0.475350827 0.396322697 0.128326446 0.388145566 0.495981514 0.115872897
[31261] 0.034003280 0.878866374 0.087130398 0.409320265 0.538346887 0.052332878
[31267] 0.593076706 0.392161667 0.014761593 0.426075429 0.542566776 0.031357739
[31273] 0.024459107 0.263536274 0.712004662 0.404439807 0.379449904 0.216110274
[31279] 0.526557744 0.426606774 0.046835478 0.605054796 0.372581244 0.022363929
[31285] 0.007903908 0.060510438 0.931585610 0.723181725 0.257450014 0.019368218
[31291] 0.548559487 0.417192489 0.034248073 0.057063166 0.276858628 0.666078210
[31297] 0.656118810 0.299971104 0.043910101 0.530506194 0.427825511 0.041668251
[31303] 0.456299067 0.495886832 0.047814064 0.887650609 0.096485138 0.015864290
[31309] 0.032251868 0.393530965 0.574217200 0.466936111 0.430098534 0.102965407
[31315] 0.513411403 0.443855107 0.042733494 0.653512418 0.328419805 0.018067779
[31321] 0.004944901 0.293181002 0.701874077 0.005945862 0.077714026 0.916340113
[31327] 0.212297827 0.630291522 0.157410666 0.756111085 0.227944329 0.015944587
[31333] 0.395443141 0.534805834 0.069750965 0.048428304 0.398321331 0.553250372
[31339] 0.628100574 0.271576822 0.100322597 0.415529847 0.544524908 0.039945260
[31345] 0.215532050 0.580872238 0.203595743 0.402103364 0.554989696 0.042906910
[31351] 0.414573669 0.447414666 0.138011634 0.027486730 0.710684240 0.261829108
[31357] 0.524257541 0.443957895 0.031784575 0.016364556 0.286097199 0.697538257
[31363] 0.652113199 0.324495524 0.023391275 0.057472609 0.426814348 0.515713036
[31369] 0.021246968 0.286830425 0.691922605 0.719434857 0.265642554 0.014922589
[31375] 0.551357031 0.435629100 0.013013882 0.417415172 0.539554060 0.043030765
[31381] 0.396893710 0.525696218 0.077410080 0.258148789 0.624574542 0.117276683
[31387] 0.465630889 0.484127402 0.050241668 0.426115662 0.517619789 0.056264602
[31393] 0.530746281 0.445560366 0.023693336 0.411112309 0.553295255 0.035592437
[31399] 0.497374803 0.481202036 0.021423182 0.193199456 0.448697776 0.358102798
[31405] 0.530368388 0.389522135 0.080109455 0.434262395 0.505480587 0.060257014
[31411] 0.327800393 0.512088239 0.160111338 0.733798802 0.248247758 0.017953476
[31417] 0.576163113 0.383515030 0.040321834 0.524073243 0.368056059 0.107870713
[31423] 0.547313869 0.397317231 0.055368938 0.297885984 0.523480892 0.178633094
[31429] 0.049572591 0.182086408 0.768341005 0.371914476 0.583712995 0.044372495
[31435] 0.029689543 0.469858557 0.500451922 0.274869353 0.673274577 0.051856078
[31441] 0.780808270 0.203021139 0.016170589 0.452316284 0.506598830 0.041084860
[31447] 0.040422745 0.318804145 0.640773118 0.704784334 0.270961583 0.024254149
[31453] 0.489745736 0.491912186 0.018342024 0.544738352 0.419494033 0.035767596
[31459] 0.380473256 0.564419627 0.055107098 0.411674201 0.509572327 0.078753471
[31465] 0.437081307 0.527582288 0.035336405 0.393725455 0.551547229 0.054727282
[31471] 0.350982487 0.564013958 0.085003547 0.584843278 0.370623708 0.044533033
[31477] 0.496130884 0.448100895 0.055768169 0.342413485 0.553928316 0.103658207
[31483] 0.495817184 0.398058683 0.106124192 0.256111026 0.659990191 0.083898813
[31489] 0.487496167 0.480458647 0.032045137 0.097058341 0.816531360 0.086410329
[31495] 0.540874720 0.351968288 0.107156992 0.275422633 0.487139583 0.237437755
[31501] 0.032164611 0.376495421 0.591339946 0.064419702 0.436131030 0.499449313
[31507] 0.882536650 0.098210350 0.019253021 0.056482673 0.340362161 0.603155196
[31513] 0.277960151 0.540291071 0.181748793 0.706257403 0.260367244 0.033375397
[31519] 0.052958958 0.526995957 0.420045108 0.508472562 0.414369643 0.077157766
[31525] 0.379288316 0.496552795 0.124158889 0.345250517 0.616222858 0.038526583
[31531] 0.494798452 0.419083208 0.086118400 0.023260385 0.265102476 0.711637139
[31537] 0.641850352 0.296281815 0.061867852 0.044223901 0.362800866 0.592975199
[31543] 0.312422842 0.488129616 0.199447498 0.318202436 0.594742060 0.087055549
[31549] 0.309031487 0.601459563 0.089508928 0.235761642 0.693491518 0.070746839
[31555] 0.464316070 0.351405293 0.184278607 0.590349913 0.384214967 0.025435131
[31561] 0.486913532 0.495347202 0.017739242 0.023463296 0.165511832 0.811024904
[31567] 0.247889563 0.577983201 0.174127251 0.030474236 0.339878082 0.629647672
[31573] 0.364269048 0.599571884 0.036159053 0.558096409 0.425147712 0.016755862
[31579] 0.574332356 0.304204732 0.121462934 0.563334525 0.395870537 0.040794957
[31585] 0.412861943 0.501780748 0.085357301 0.427966714 0.498273879 0.073759407
[31591] 0.149074003 0.745903254 0.105022714 0.657414317 0.244762555 0.097823091
[31597] 0.634718239 0.274637878 0.090643913 0.366125166 0.548142016 0.085732833
[31603] 0.373950481 0.556610644 0.069438823 0.775034249 0.213138670 0.011827106
[31609] 0.006124970 0.031474881 0.962400138 0.615605056 0.336540192 0.047854751
[31615] 0.515410483 0.457776487 0.026813017 0.527333319 0.396368980 0.076297723
[31621] 0.331425130 0.571610212 0.096964657 0.314704746 0.602988362 0.082306892
[31627] 0.713633835 0.272985935 0.013380264 0.612140477 0.365775734 0.022083741
[31633] 0.412863374 0.541069567 0.046067048 0.678826034 0.301716626 0.019457281
[31639] 0.040790468 0.547243714 0.411965817 0.713856101 0.266144961 0.019998915
[31645] 0.586377442 0.377103955 0.036518656 0.043398611 0.284965575 0.671635807
[31651] 0.639436662 0.343654454 0.016908828 0.398197740 0.556307256 0.045495000
[31657] 0.309117049 0.576019108 0.114863865 0.526244700 0.403223932 0.070531376
[31663] 0.538170695 0.408264160 0.053565133 0.061291490 0.679679334 0.259029120
[31669] 0.397612721 0.537794292 0.064593002 0.234544948 0.677211702 0.088243343
[31675] 0.026668973 0.177722931 0.795608044 0.672073066 0.307157636 0.020769356
[31681] 0.402544141 0.489542663 0.107913256 0.038326900 0.486699015 0.474974126
[31687] 0.597611725 0.363423347 0.038964886 0.589767158 0.330836445 0.079396382
[31693] 0.285259515 0.680016220 0.034724243 0.422519892 0.543500662 0.033979408
[31699] 0.380895317 0.514291406 0.104813233 0.028627306 0.318638384 0.652734280
[31705] 0.063080788 0.503992081 0.432927102 0.262343585 0.625975370 0.111681066
[31711] 0.473674893 0.430009127 0.096316017 0.502644122 0.433306694 0.064049207
[31717] 0.375650793 0.511241734 0.113107458 0.028399544 0.028479921 0.943120480
[31723] 0.546642840 0.403267652 0.050089493 0.220888302 0.533461154 0.245650575
[31729] 0.351264566 0.564828515 0.083906904 0.434599668 0.528631747 0.036768574
[31735] 0.369054019 0.590815902 0.040130060 0.061651856 0.268236786 0.670111358
[31741] 0.621183693 0.336410940 0.042405397 0.477615744 0.485004783 0.037379514
[31747] 0.438416034 0.466963977 0.094620042 0.549193203 0.425884306 0.024922542
[31753] 0.579264462 0.386891544 0.033843987 0.019331533 0.387532741 0.593135715
[31759] 0.726961970 0.254164964 0.018873084 0.241758198 0.722040832 0.036200952
[31765] 0.388373971 0.495350212 0.116275802 0.277908355 0.574974298 0.147117361
[31771] 0.421255022 0.491671771 0.087073214 0.322892636 0.423070252 0.254037082
[31777] 0.013288477 0.175671890 0.811039627 0.013999021 0.170005769 0.815995216
[31783] 0.729059994 0.247888446 0.023051586 0.024003670 0.235717028 0.740279317
[31789] 0.475537091 0.493755043 0.030707853 0.019766524 0.142063931 0.838169575
[31795] 0.046223119 0.326615274 0.627161622 0.009213637 0.208084613 0.782701790
[31801] 0.390338331 0.571260512 0.038401145 0.576414585 0.400077432 0.023507936
[31807] 0.467595637 0.490816534 0.041587777 0.545610487 0.331486762 0.122902729
[31813] 0.507670522 0.447102606 0.045226868 0.807990015 0.180644423 0.011365529
[31819] 0.150889546 0.281731158 0.567379296 0.014179398 0.148557186 0.837263405
[31825] 0.076893419 0.310235500 0.612871110 0.026127469 0.317679435 0.656193078
[31831] 0.035442699 0.285411656 0.679145634 0.489399046 0.390394449 0.120206453
[31837] 0.032099158 0.394462228 0.573438585 0.383636475 0.471949458 0.144414127
[31843] 0.027564956 0.353373438 0.619061589 0.019055123 0.197137833 0.783807039
[31849] 0.289005756 0.631725371 0.079268880 0.045488615 0.358999789 0.595511615
[31855] 0.055631619 0.398984998 0.545383394 0.060886700 0.332564801 0.606548488
[31861] 0.059029575 0.327141643 0.613828778 0.060349766 0.320057362 0.619592905
[31867] 0.675262272 0.301592022 0.023145724 0.162011534 0.333397955 0.504590511
[31873] 0.119045250 0.239320084 0.641634703 0.006937176 0.216192186 0.776870668
[31879] 0.331398547 0.611538410 0.057063024 0.284920007 0.680095851 0.034984186
[31885] 0.027647309 0.228874907 0.743477821 0.061077252 0.594964862 0.343957871
[31891] 0.028051814 0.297649890 0.674298286 0.255551487 0.272001088 0.472447395
[31897] 0.028883401 0.174168468 0.796948075 0.046293311 0.372190684 0.581516027
[31903] 0.046896238 0.322950780 0.630152941 0.621045232 0.319538087 0.059416682
[31909] 0.722895861 0.251615644 0.025488485 0.018989073 0.166125402 0.814885497
[31915] 0.554409683 0.378103256 0.067487083 0.539207399 0.401988029 0.058804560
[31921] 0.557119071 0.381087393 0.061793543 0.078478530 0.316494465 0.605027020
[31927] 0.026100982 0.196784481 0.777114570 0.027643895 0.399575233 0.572780907
[31933] 0.392971188 0.510963976 0.096064806 0.496459335 0.466843635 0.036696952
[31939] 0.688669741 0.289617747 0.021712525 0.257778108 0.480695516 0.261526406
[31945] 0.029881189 0.447384924 0.522733867 0.082827248 0.239753366 0.677419364
[31951] 0.080252245 0.606870055 0.312877685 0.042151596 0.156698823 0.801149547
[31957] 0.036295552 0.138436884 0.825267553 0.619272470 0.338029861 0.042697679
[31963] 0.373021364 0.559493303 0.067485295 0.067506291 0.260581791 0.671911895
[31969] 0.108093373 0.496538401 0.395368189 0.304557413 0.598835051 0.096607514
[31975] 0.132054895 0.263082594 0.604862511 0.139865443 0.556327462 0.303807080
[31981] 0.046060439 0.301184833 0.652754664 0.040308021 0.157551631 0.802140355
[31987] 0.072764300 0.129689902 0.797545791 0.019842759 0.334389299 0.645767987
[31993] 0.258471221 0.267686635 0.473842174 0.123623215 0.305948526 0.570428252
[31999] 0.468990773 0.465900511 0.065108754 0.028712418 0.100613698 0.870673835
[32005] 0.022024833 0.191000134 0.786975086 0.715637684 0.268295228 0.016067142
[32011] 0.130466789 0.209829703 0.659703493 0.073208630 0.590062141 0.336729228
[32017] 0.370000422 0.585772812 0.044226699 0.409544945 0.521678686 0.068776421
[32023] 0.377153188 0.559112132 0.063734703 0.376385897 0.595485389 0.028128712
[32029] 0.631165564 0.352738410 0.016096067 0.684170067 0.264558792 0.051271103
[32035] 0.532228947 0.435277432 0.032493602 0.023391906 0.225655422 0.750952721
[32041] 0.032292027 0.219323203 0.748384833 0.004876793 0.413895160 0.581228018
[32047] 0.757068753 0.230758548 0.012172726 0.695522487 0.290404350 0.014073136
[32053] 0.324166119 0.539787889 0.136046007 0.536690354 0.454497963 0.008811686
[32059] 0.021800779 0.137115762 0.841083467 0.848839164 0.143832609 0.007328268
[32065] 0.583074987 0.379680753 0.037244245 0.491823345 0.497136563 0.011040119
[32071] 0.739822507 0.244437844 0.015739605 0.516890287 0.457608998 0.025500748
[32077] 0.511128008 0.471069187 0.017802797 0.429830074 0.508789778 0.061380170
[32083] 0.557565033 0.362111032 0.080323972 0.298657954 0.648966670 0.052375421
[32089] 0.258605093 0.472840250 0.268554717 0.748723984 0.241682157 0.009593821
[32095] 0.296442568 0.444296896 0.259260535 0.010283804 0.174489409 0.815226793
[32101] 0.014224323 0.223003611 0.762772083 0.004661891 0.080820538 0.914517581
[32107] 0.006909978 0.108190171 0.884899855 0.013155106 0.187967002 0.798877835
[32113] 0.800679564 0.185175985 0.014144463 0.643175542 0.331560165 0.025264302
[32119] 0.723064363 0.266035527 0.010900103 0.273527116 0.633720398 0.092752464
[32125] 0.641627312 0.311125576 0.047247067 0.311936289 0.598433852 0.089629896
[32131] 0.728457212 0.263519347 0.008023420 0.666858137 0.322425187 0.010716629
[32137] 0.178007141 0.775209665 0.046783190 0.921352208 0.072346427 0.006301324
[32143] 0.307714462 0.644310653 0.047974914 0.684434950 0.300483137 0.015081918
[32149] 0.614685655 0.375475705 0.009838647 0.442535639 0.525451541 0.032012839
[32155] 0.809375823 0.172554880 0.018069288 0.132918745 0.340083987 0.526997268
[32161] 0.318296134 0.624386191 0.057317693 0.830569744 0.155401900 0.014028328
[32167] 0.441760212 0.513795972 0.044443756 0.225082800 0.459850430 0.315066844
[32173] 0.171618536 0.710287929 0.118093506 0.212431550 0.703277171 0.084291264
[32179] 0.700176477 0.289592773 0.010230760 0.457984626 0.532083571 0.009931766
[32185] 0.349729896 0.582435310 0.067834780 0.478181779 0.497320533 0.024497667
[32191] 0.401623100 0.559827805 0.038549121 0.203130007 0.723273814 0.073596172
[32197] 0.278741479 0.651649773 0.069608770 0.020073058 0.165843099 0.814083815
[32203] 0.032285478 0.304750144 0.662964404 0.006207037 0.080449112 0.913343906
[32209] 0.011141063 0.142933637 0.845925272 0.011072496 0.159311533 0.829615951
[32215] 0.007080310 0.100897752 0.892021894 0.010388415 0.124756902 0.864854693
[32221] 0.004973816 0.085049622 0.909976542 0.010356414 0.147565380 0.842078209
[32227] 0.637448609 0.314774483 0.047776945 0.451706946 0.439700782 0.108592264
[32233] 0.529840231 0.345313132 0.124846630 0.586080074 0.396758199 0.017161733
[32239] 0.540741563 0.448939025 0.010319448 0.478727669 0.439237773 0.082034603
[32245] 0.118166767 0.459593445 0.422239780 0.004822557 0.021704599 0.973472834
[32251] 0.007517343 0.346723586 0.645759106 0.531361938 0.415990084 0.052647959
[32257] 0.289017946 0.467318267 0.243663803 0.536083817 0.415388286 0.048527878
[32263] 0.005300093 0.238027140 0.756672740 0.273848474 0.634861469 0.091290034
[32269] 0.582268715 0.404708594 0.013022709 0.900416434 0.093141519 0.006442084
[32275] 0.021937212 0.155236796 0.822825968 0.633802652 0.347177446 0.019019932
[32281] 0.498926342 0.470133543 0.030940199 0.568143785 0.422695518 0.009160675
[32287] 0.475840867 0.468385279 0.055773892 0.571422637 0.405402690 0.023174673
[32293] 0.404974639 0.562026620 0.032998744 0.228030682 0.507657409 0.264311939
[32299] 0.291919857 0.643359542 0.064720616 0.276375979 0.651057124 0.072566897
[32305] 0.015436577 0.187864542 0.796698868 0.011092160 0.116465598 0.872442245
[32311] 0.031071818 0.250612259 0.718315959 0.004722775 0.237082526 0.758194745
[32317] 0.304461807 0.612435877 0.083102316 0.648981214 0.337902337 0.013116446
[32323] 0.611876786 0.371086866 0.017036304 0.232240200 0.365848273 0.401911527
[32329] 0.169639692 0.365779430 0.464580864 0.004477101 0.214872360 0.780650556
[32335] 0.004475260 0.203544140 0.791980624 0.437810451 0.446935803 0.115253784
[32341] 0.563432336 0.361519635 0.075047992 0.581675828 0.403267801 0.015056360
[32347] 0.556700468 0.350359172 0.092940353 0.224356800 0.469104797 0.306538373
[32353] 0.441902608 0.500585139 0.057512250 0.088073239 0.782243729 0.129683033
[32359] 0.315895855 0.622204363 0.061899800 0.029936930 0.246523693 0.723539412
[32365] 0.621706188 0.355921268 0.022372512 0.005621627 0.140455961 0.853922367
[32371] 0.247594476 0.696200907 0.056204651 0.496140003 0.437047631 0.066812359
[32377] 0.917645454 0.075404629 0.006949903 0.369488955 0.509903431 0.120607629
[32383] 0.209623158 0.746247470 0.044129394 0.294732869 0.574983180 0.130283952
[32389] 0.041911516 0.393520653 0.564567804 0.019768367 0.140786037 0.839445531
[32395] 0.506522000 0.388793498 0.104684502 0.237306401 0.721854210 0.040839370
[32401] 0.472494662 0.404183239 0.123322129 0.010226524 0.133744419 0.856029034
[32407] 0.430425286 0.559246659 0.010328099 0.312398076 0.478788316 0.208813578
[32413] 0.009454630 0.136346653 0.854198694 0.399310023 0.535098016 0.065591969
[32419] 0.156493470 0.786542416 0.056964066 0.184818164 0.797980189 0.017201656
[32425] 0.378664404 0.487835586 0.133499965 0.423049718 0.461277097 0.115673222
[32431] 0.803586781 0.182295099 0.014118062 0.331757158 0.631540835 0.036701988
[32437] 0.391937792 0.569840491 0.038221739 0.515973032 0.470829457 0.013197510
[32443] 0.344252259 0.614374518 0.041373260 0.002629377 0.157561108 0.839809537
[32449] 0.401053518 0.426184386 0.172762051 0.409959108 0.570999444 0.019041475
[32455] 0.035824891 0.365315586 0.598859549 0.015043198 0.163301304 0.821655512
[32461] 0.328031361 0.451691180 0.220277503 0.268868655 0.716449201 0.014682109
[32467] 0.474290699 0.500877917 0.024831399 0.781464338 0.202555537 0.015980076
[32473] 0.450921625 0.467084676 0.081993677 0.520643353 0.405304492 0.074052170
[32479] 0.241420329 0.427092522 0.331487119 0.534392238 0.427006781 0.038600963
[32485] 0.667487144 0.311207741 0.021305107 0.358905286 0.550539613 0.090555131
[32491] 0.340823025 0.590679944 0.068497024 0.004963008 0.119638272 0.875398695
[32497] 0.723133981 0.240259826 0.036606215 0.381525159 0.550398052 0.068076856
[32503] 0.383818835 0.474627435 0.141553730 0.266383171 0.678522885 0.055094000
[32509] 0.664571226 0.325954586 0.009474172 0.265462905 0.628373682 0.106163450
[32515] 0.562953651 0.417031646 0.020014696 0.558038652 0.430495143 0.011466261
[32521] 0.010072718 0.129182354 0.860744894 0.552179694 0.419052154 0.028768148
[32527] 0.020842453 0.180608183 0.798549414 0.490375370 0.435238957 0.074385732
[32533] 0.257657528 0.565436959 0.176905483 0.865841985 0.126441970 0.007716006
[32539] 0.004139071 0.237610653 0.758250296 0.013722471 0.237264618 0.749012947
[32545] 0.448500276 0.487158358 0.064341374 0.002279586 0.104828902 0.892891526
[32551] 0.454928368 0.509157836 0.035913777 0.008063241 0.125329465 0.866607308
[32557] 0.005168933 0.052787978 0.942043066 0.012891802 0.162295237 0.824813008
[32563] 0.005143894 0.050877400 0.943978667 0.006370939 0.102848649 0.890780389
[32569] 0.575053155 0.337039560 0.087907255 0.007825319 0.153919384 0.838255346
[32575] 0.025757605 0.088666521 0.885575891 0.016475251 0.139730856 0.843793869
[32581] 0.038129907 0.146572784 0.815297306 0.019294987 0.184616879 0.796088159
[32587] 0.004907270 0.070800148 0.924292624 0.006318982 0.067628942 0.926052153
[32593] 0.015620151 0.172812358 0.811567545 0.661763906 0.317244053 0.020991998
[32599] 0.013237244 0.203256145 0.783506632 0.828325152 0.166118339 0.005556526
[32605] 0.693405271 0.296609074 0.009985654 0.645085514 0.346175998 0.008738546
[32611] 0.695236146 0.297382087 0.007381771 0.559075534 0.432410300 0.008514130
[32617] 0.480443329 0.500677884 0.018878795 0.037802681 0.215689883 0.746507466
[32623] 0.790428638 0.195043415 0.014527957 0.054204077 0.357723683 0.588072240
[32629] 0.060076542 0.237268448 0.702655077 0.515974641 0.471900702 0.012124704
[32635] 0.049992703 0.482280463 0.467726797 0.813926458 0.174445018 0.011628455
[32641] 0.672076941 0.317042977 0.010880074 0.771243930 0.215822577 0.012933555
[32647] 0.625359416 0.352044374 0.022596244 0.793493807 0.198725745 0.007780442
[32653] 0.730135024 0.261483878 0.008381115 0.038148619 0.294700682 0.667150736
[32659] 0.629245877 0.362468809 0.008285352 0.448475212 0.543447733 0.008077078
[32665] 0.786557913 0.205980241 0.007461817 0.720933974 0.269691855 0.009374189
[32671] 0.656562328 0.285636067 0.057801612 0.046166047 0.232984707 0.720849276
[32677] 0.474479377 0.512902081 0.012618545 0.789332867 0.193499833 0.017167322
[32683] 0.743764102 0.247855693 0.008380227 0.020043571 0.271684140 0.708272338
[32689] 0.003289021 0.293078840 0.703632116 0.808140993 0.180976838 0.010882137
[32695] 0.891527414 0.096921630 0.011550901 0.778444350 0.210932240 0.010623413
[32701] 0.039260186 0.337694138 0.623045623 0.756228685 0.234876722 0.008894598
[32707] 0.371972591 0.622870207 0.005157223 0.427165627 0.551726341 0.021108050
[32713] 0.041847873 0.500887394 0.457264692 0.015430445 0.260145605 0.724424005
[32719] 0.763223708 0.230819002 0.005957263 0.893245161 0.098084211 0.008670642
[32725] 0.859907627 0.125722721 0.014369668 0.624463558 0.311282098 0.064254351
[32731] 0.916476071 0.075336054 0.008187890 0.010957395 0.221984193 0.767058432
[32737] 0.043876618 0.230212271 0.725911140 0.692056656 0.296657830 0.011285539
[32743] 0.761198938 0.229540661 0.009260433 0.753150344 0.235173449 0.011676228
[32749] 0.270424694 0.481758028 0.247817308 0.660490334 0.303371310 0.036138397
[32755] 0.021249134 0.173704669 0.805046201 0.852543294 0.138180643 0.009276037
[32761] 0.680621088 0.309382856 0.009996080 0.544074953 0.442379057 0.013546002
[32767] 0.089761540 0.867250323 0.042988144 0.609151065 0.373018712 0.017830256
[32773] 0.560366988 0.364824146 0.074808873 0.392980665 0.596526563 0.010492756
[32779] 0.683737099 0.301654786 0.014608087 0.420441419 0.553882957 0.025675606
[32785] 0.692440510 0.284994245 0.022565223 0.003625101 0.313080430 0.683294475
[32791] 0.628350616 0.195706233 0.175943106 0.615787745 0.376994610 0.007217674
[32797] 0.474023581 0.519652605 0.006323819 0.921355963 0.071281947 0.007362044
[32803] 0.019145107 0.173675314 0.807179570 0.767561197 0.223529115 0.008909658
[32809] 0.806186378 0.182330608 0.011483017 0.014594787 0.195561320 0.789843857
[32815] 0.475157112 0.452080756 0.072762080 0.598007619 0.368931204 0.033061165
[32821] 0.793254614 0.192053795 0.014691640 0.004842081 0.232600093 0.762557805
[32827] 0.659760118 0.324288875 0.015950998 0.771823823 0.216753617 0.011422523
[32833] 0.670038164 0.306366563 0.023595231 0.608081579 0.377454877 0.014463542
[32839] 0.613247097 0.377972752 0.008780150 0.706675529 0.280011564 0.013312889
[32845] 0.741526723 0.237560883 0.020912355 0.712444365 0.246206433 0.041349184
[32851] 0.020272695 0.146861583 0.832865775 0.018486146 0.185119867 0.796393991
[32857] 0.676199317 0.283316404 0.040484298 0.684325218 0.302913755 0.012760999
[32863] 0.493728429 0.487415224 0.018856356 0.502829492 0.487049162 0.010121354
[32869] 0.339570999 0.354852796 0.305576175 0.044381969 0.392624229 0.562993765
[32875] 0.698710918 0.291707486 0.009581568 0.040426105 0.504165649 0.455408186
[32881] 0.052882910 0.326607257 0.620509863 0.014101041 0.121023968 0.864875019
[32887] 0.850397110 0.137424812 0.012178076 0.038928900 0.310717583 0.650353551
[32893] 0.019596191 0.154702350 0.825701535 0.374166757 0.587579072 0.038254157
[32899] 0.348195106 0.566581309 0.085223608 0.692894757 0.298402101 0.008703171
[32905] 0.486621141 0.484430701 0.028948097 0.423571140 0.481791794 0.094637044
[32911] 0.679898024 0.286538839 0.033563171 0.749696195 0.233340934 0.016962886
[32917] 0.511155546 0.482293040 0.006551379 0.041960731 0.244480267 0.713558972
[32923] 0.031345464 0.245769814 0.722884715 0.689837337 0.233579889 0.076582812
[32929] 0.437915862 0.523864985 0.038219176 0.431725651 0.528287888 0.039986487
[32935] 0.760441780 0.224989593 0.014568643 0.882576883 0.106467716 0.010955454
[32941] 0.033868533 0.200388849 0.765742660 0.898416758 0.094449095 0.007134108
[32947] 0.467057675 0.514993608 0.017948696 0.596790791 0.390817106 0.012392100
[32953] 0.008037761 0.128941938 0.863020301 0.025607113 0.184643954 0.789748907
[32959] 0.875540435 0.117397673 0.007061938 0.005421523 0.502660930 0.491917521
[32965] 0.456083745 0.283918917 0.259997278 0.525523305 0.279865056 0.194611654
[32971] 0.645414293 0.341077447 0.013508280 0.409895122 0.582074523 0.008030383
[32977] 0.672498345 0.301490724 0.026010903 0.644669771 0.323457897 0.031872362
[32983] 0.628096998 0.352338314 0.019564671 0.846811414 0.145797908 0.007390681
[32989] 0.244028538 0.709052503 0.046918992 0.447632730 0.488989383 0.063377887
[32995] 0.563062310 0.370980203 0.065957457 0.610986531 0.378588825 0.010424678
[33001] 0.863604069 0.128763601 0.007632335 0.571210206 0.419612050 0.009177780
[33007] 0.005700439 0.175909773 0.818389773 0.697572291 0.291273743 0.011153973
[33013] 0.032202274 0.297645360 0.670152366 0.799498975 0.187675759 0.012825257
[33019] 0.644467175 0.348002970 0.007529815 0.553767622 0.422657311 0.023575030
[33025] 0.432084680 0.551254570 0.016660770 0.039421998 0.220045596 0.740532398
[33031] 0.882542610 0.107982516 0.009474893 0.700272322 0.288429826 0.011297841
[33037] 0.879695654 0.111578941 0.008725431 0.057178598 0.312228680 0.630592704
[33043] 0.295922697 0.691085756 0.012991566 0.753150046 0.237615854 0.009234121
[33049] 0.004798111 0.197412685 0.797789156 0.004543660 0.200111568 0.795344770
[33055] 0.028415242 0.210860357 0.760724366 0.004203480 0.147777304 0.848019242
[33061] 0.384961337 0.603532672 0.011506027 0.029853504 0.189687967 0.780458570
[33067] 0.781092465 0.211350247 0.007557345 0.021156242 0.216511965 0.762331843
[33073] 0.036409784 0.179293945 0.784296274 0.511199296 0.473748147 0.015052591
[33079] 0.765509307 0.216665134 0.017825585 0.054863174 0.254036427 0.691100419
[33085] 0.015437515 0.177418247 0.807144225 0.034247056 0.373512179 0.592240810
[33091] 0.005861106 0.183222443 0.810916483 0.681537271 0.285131097 0.033331644
[33097] 0.508133948 0.465420991 0.026445063 0.003886096 0.483427495 0.512686431
[33103] 0.030171648 0.158700883 0.811127484 0.021809066 0.095986873 0.882203996
[33109] 0.052114956 0.182995319 0.764889777 0.054857895 0.124972858 0.820169210
[33115] 0.170006752 0.703305662 0.126687616 0.057178598 0.312228680 0.630592704
[33121] 0.044022296 0.122441135 0.833536565 0.017723972 0.148440272 0.833835781
[33127] 0.010320403 0.258166075 0.731513560 0.311939716 0.640714228 0.047346026
[33133] 0.142867774 0.709282577 0.147849634 0.036434110 0.172893107 0.790672779
[33139] 0.691867054 0.298725277 0.009407628 0.037702866 0.500803411 0.461493731
[33145] 0.060716417 0.242852613 0.696430922 0.800095201 0.192371100 0.007533680
[33151] 0.007873503 0.155745104 0.836381435 0.031837959 0.252140015 0.716022015
[33157] 0.714331448 0.209181949 0.076486565 0.072511330 0.304725021 0.622763634
[33163] 0.031877376 0.202537507 0.765585124 0.015307521 0.159871981 0.824820459
[33169] 0.661894739 0.325715244 0.012390037 0.652781129 0.330543667 0.016675184
[33175] 0.885746479 0.108541563 0.005712001 0.004686689 0.189030737 0.806282580
[33181] 0.789558828 0.196150914 0.014290213 0.031354189 0.236229718 0.732416153
[33187] 0.009513279 0.579306066 0.411180675 0.664490342 0.262624294 0.072885357
[33193] 0.006482726 0.374468148 0.619049072 0.808297217 0.186147094 0.005555668
[33199] 0.767647088 0.222932905 0.009420032 0.005338517 0.229620427 0.765041053
[33205] 0.005490947 0.016468553 0.978040457 0.022558656 0.168481544 0.808959782
[33211] 0.011042026 0.242001951 0.746955991 0.624909878 0.302780658 0.072309434
[33217] 0.062287893 0.327746034 0.609966099 0.813355029 0.176036105 0.010608827
[33223] 0.006628074 0.083319634 0.910052299 0.726426005 0.246902213 0.026671765
[33229] 0.588865578 0.359474242 0.051660199 0.904533088 0.084194697 0.011272285
[33235] 0.016965155 0.485264003 0.497770816 0.579793572 0.285960108 0.134246320
[33241] 0.029890118 0.444800705 0.525309205 0.025328390 0.170189783 0.804481804
[33247] 0.675741434 0.289876372 0.034382191 0.045110643 0.282629848 0.672259510
[33253] 0.030853070 0.220849797 0.748297095 0.020152986 0.084871657 0.894975305
[33259] 0.075806320 0.296271145 0.627922535 0.048755728 0.267526329 0.683717966
[33265] 0.009261206 0.322837561 0.667901218 0.903750837 0.089391604 0.006857594
[33271] 0.710294247 0.261820227 0.027885497 0.754606128 0.197708696 0.047685135
[33277] 0.737227261 0.240400091 0.022372715 0.547587335 0.416158617 0.036254019
[33283] 0.663997293 0.300095320 0.035907354 0.863102436 0.127627328 0.009270268
[33289] 0.737900019 0.146954700 0.115145326 0.756156445 0.219398871 0.024444675
[33295] 0.771194100 0.199712381 0.029093567 0.031591248 0.201359451 0.767049313
[33301] 0.489460111 0.385232717 0.125307187 0.428972214 0.280367911 0.290659875
[33307] 0.569317520 0.368877620 0.061804853 0.018828711 0.181165159 0.800006151
[33313] 0.449479252 0.454356819 0.096163921 0.751740396 0.231161326 0.017098287
[33319] 0.654065132 0.310196012 0.035738871 0.660954356 0.308820933 0.030224686
[33325] 0.465566754 0.323856711 0.210576564 0.058080122 0.828367352 0.113552473
[33331] 0.753656268 0.211795747 0.034547966 0.859001994 0.128498703 0.012499292
[33337] 0.718883872 0.208717719 0.072398424 0.814473331 0.169249013 0.016277669
[33343] 0.656507611 0.326811790 0.016680567 0.703465998 0.278690547 0.017843524
[33349] 0.547750413 0.214450285 0.237799287 0.735451818 0.218945026 0.045603223
[33355] 0.732168734 0.202031985 0.065799326 0.707840383 0.277800411 0.014359174
[33361] 0.732211888 0.229666680 0.038121436 0.651422024 0.299876988 0.048700977
[33367] 0.026752649 0.201209292 0.772038043 0.027743675 0.241837084 0.730419278
[33373] 0.832407176 0.158136070 0.009456790 0.783352137 0.194207475 0.022440359
[33379] 0.240214765 0.394259781 0.365525454 0.465390921 0.343536466 0.191072613
[33385] 0.842234313 0.144270539 0.013495141 0.044809740 0.230523750 0.724666536
[33391] 0.594883800 0.325615019 0.079501197 0.829776347 0.140124053 0.030099638
[33397] 0.736615360 0.224784568 0.038600061 0.675513089 0.290203333 0.034283601
[33403] 0.650378704 0.209250391 0.140370950 0.772180200 0.099054627 0.128765166
[33409] 0.015760496 0.164307430 0.819932103 0.772702098 0.208624333 0.018673586
[33415] 0.716790915 0.240322188 0.042886876 0.811138749 0.176121652 0.012739632
[33421] 0.737714708 0.238802001 0.023483291 0.626403511 0.326216847 0.047379673
[33427] 0.094599508 0.311219662 0.594180822 0.768457353 0.202621579 0.028921118
[33433] 0.588175952 0.221974477 0.189849585 0.749537110 0.211112559 0.039350349
[33439] 0.749409914 0.227222517 0.023367584 0.751834035 0.223456442 0.024709508
[33445] 0.691760719 0.272737324 0.035501972 0.678785801 0.284276843 0.036937363
[33451] 0.014833339 0.189921796 0.795244873 0.720697641 0.233777076 0.045525260
[33457] 0.729369521 0.243453994 0.027176473 0.616092026 0.341901809 0.042006169
[33463] 0.460531712 0.287991554 0.251476705 0.463426501 0.337953955 0.198619515
[33469] 0.806211472 0.175944716 0.017843826 0.687813282 0.289699703 0.022487005
[33475] 0.782526612 0.197874516 0.019598845 0.039467521 0.241419554 0.719112873
[33481] 0.833395064 0.151100203 0.015504763 0.714484096 0.264662772 0.020853141
[33487] 0.676961422 0.285095751 0.037942853 0.102437221 0.773227096 0.124335676
[33493] 0.696772873 0.280633509 0.022593608 0.808226109 0.180155843 0.011618072
[33499] 0.798601151 0.188584372 0.012814490 0.016617583 0.247881815 0.735500634
[33505] 0.779128551 0.191888213 0.028983273 0.585283339 0.377528191 0.037188504
[33511] 0.752860963 0.216999009 0.030140007 0.246759236 0.452683926 0.300556809
[33517] 0.669421017 0.267313987 0.063264981 0.035553440 0.272022605 0.692423940
[33523] 0.081226096 0.198114917 0.720659018 0.779711068 0.205336452 0.014952461
[33529] 0.697809815 0.265010566 0.037179638 0.049906965 0.194035053 0.756057978
[33535] 0.736602068 0.213747278 0.049650609 0.692085683 0.292458922 0.015455366
[33541] 0.525952399 0.231106937 0.242940664 0.255087048 0.305155158 0.439757764
[33547] 0.664583564 0.277778924 0.057637446 0.230123669 0.515044570 0.254831761
[33553] 0.414711326 0.355428100 0.229860649 0.558984816 0.341883153 0.099132039
[33559] 0.353381485 0.481316417 0.165302068 0.519228876 0.291991889 0.188779250
[33565] 0.664338470 0.265723586 0.069937892 0.691420019 0.246480092 0.062099896
[33571] 0.728326201 0.193395704 0.078278065 0.770226717 0.203579739 0.026193513
[33577] 0.561211646 0.309221923 0.129566371 0.660074115 0.283521384 0.056404505
[33583] 0.759008765 0.222887784 0.018103475 0.812115550 0.180802271 0.007082202
[33589] 0.546898186 0.333958715 0.119143113 0.856341481 0.131988898 0.011669679
[33595] 0.766096354 0.218190014 0.015713664 0.025397683 0.280915618 0.693686724
[33601] 0.007927050 0.439230829 0.552842140 0.049496695 0.263587832 0.686915457
[33607] 0.026627697 0.228055984 0.745316327 0.722736061 0.264105916 0.013158029
[33613] 0.076340564 0.309038043 0.614621401 0.051950835 0.255484730 0.692564368
[33619] 0.005148159 0.288921088 0.705930710 0.761414111 0.218825743 0.019760184
[33625] 0.806766272 0.180023238 0.013210514 0.798845053 0.162119240 0.039035674
[33631] 0.059531517 0.260211974 0.680256546 0.025189543 0.217276692 0.757533729
[33637] 0.015130272 0.190909117 0.793960631 0.040797710 0.199946567 0.759255707
[33643] 0.009869003 0.105589777 0.884541273 0.702490330 0.276829064 0.020680569
[33649] 0.530921280 0.418122083 0.050956592 0.237156853 0.348316938 0.414526194
[33655] 0.614706516 0.329619616 0.055673864 0.778856874 0.207936764 0.013206327
[33661] 0.436041951 0.320174694 0.243783370 0.088882484 0.410096258 0.501021206
[33667] 0.296950191 0.284177572 0.418872297 0.867638648 0.124651454 0.007709898
[33673] 0.627005517 0.289737642 0.083256863 0.830938160 0.158749893 0.010311982
[33679] 0.274732202 0.322617143 0.402650625 0.617134571 0.283142626 0.099722862
[33685] 0.377763718 0.394298732 0.227937505 0.496064484 0.363262355 0.140673146
[33691] 0.857479692 0.130946785 0.011573508 0.484098494 0.287399441 0.228502005
[33697] 0.710446060 0.269428730 0.020125233 0.040515747 0.332229227 0.627255023
[33703] 0.024877848 0.209820762 0.765301406 0.015871461 0.145797178 0.838331401
[33709] 0.761795521 0.224905223 0.013299291 0.018545311 0.165915266 0.815539420
[33715] 0.155636251 0.281787962 0.562575758 0.844742417 0.146459773 0.008797843
[33721] 0.044152681 0.255587220 0.700260162 0.036040846 0.213212997 0.750746191
[33727] 0.026262837 0.242690042 0.731047153 0.029324455 0.281021804 0.689653754
[33733] 0.015477019 0.135726854 0.848796129 0.045264430 0.321196824 0.633538723
[33739] 0.770780742 0.211595744 0.017623469 0.543890476 0.342951387 0.113158077
[33745] 0.402309597 0.402942240 0.194748148 0.693571806 0.275691003 0.030737212
[33751] 0.722801983 0.245770216 0.031427749 0.776105523 0.205353811 0.018540705
[33757] 0.675811887 0.304674238 0.019513933 0.802805543 0.183701545 0.013492937
[33763] 0.617029786 0.251428545 0.131541684 0.787794709 0.192916870 0.019288408
[33769] 0.028800489 0.249663964 0.721535504 0.030782251 0.252119005 0.717098773
[33775] 0.277887106 0.352983624 0.369129241 0.735910535 0.242761523 0.021327917
[33781] 0.425943553 0.343912631 0.230143800 0.640568793 0.323915988 0.035515226
[33787] 0.191763029 0.236204520 0.572032452 0.607879817 0.219712973 0.172407210
[33793] 0.656994164 0.300900459 0.042105317 0.728128850 0.255862921 0.016008202
[33799] 0.646352053 0.247976348 0.105671592 0.673531651 0.298256904 0.028211406
[33805] 0.834774733 0.153828993 0.011396271 0.792632341 0.182472423 0.024895245
[33811] 0.789410233 0.171010226 0.039579485 0.879015267 0.109761231 0.011223482
[33817] 0.762960494 0.216931999 0.020107515 0.781533837 0.146220163 0.072246067
[33823] 0.813288748 0.170198500 0.016512778 0.102926835 0.177832156 0.719240963
[33829] 0.014491325 0.204285488 0.781223178 0.696741343 0.251209706 0.052048992
[33835] 0.867052674 0.119552284 0.013395061 0.015044753 0.237122327 0.747832954
[33841] 0.661086142 0.238061607 0.100852229 0.825457275 0.157397076 0.017145697
[33847] 0.054091830 0.355829835 0.590078354 0.026870415 0.307331264 0.665798306
[33853] 0.846455395 0.138360813 0.015183788 0.676324487 0.215435833 0.108239710
[33859] 0.061394587 0.397749305 0.540856063 0.724816680 0.164326519 0.110856749
[33865] 0.019259132 0.292482108 0.688258767 0.613148689 0.285753995 0.101097323
[33871] 0.698017299 0.274631381 0.027351335 0.021167047 0.259186268 0.719646633
[33877] 0.774988770 0.203006148 0.022005050 0.663092852 0.281192213 0.055714928
[33883] 0.016141405 0.177338049 0.806520522 0.047730349 0.188277751 0.763991892
[33889] 0.755838871 0.203422979 0.040738154 0.629431963 0.331843436 0.038724571
[33895] 0.623258948 0.271766692 0.104974329 0.748239875 0.230822906 0.020937234
[33901] 0.751078367 0.220887437 0.028034180 0.235601917 0.311468244 0.452929854
[33907] 0.042382102 0.307881206 0.649736702 0.079706594 0.332611918 0.587681472
[33913] 0.654865861 0.308662087 0.036472034 0.536863565 0.356926739 0.106209740
[33919] 0.674311161 0.288704246 0.036984611 0.110397398 0.174408317 0.715194285
[33925] 0.573595464 0.386834055 0.039570499 0.499068618 0.366288245 0.134643123
[33931] 0.826139927 0.160784990 0.013075066 0.863561213 0.129312843 0.007125920
[33937] 0.831830919 0.148726106 0.019442962 0.678356230 0.287347555 0.034296241
[33943] 0.786961496 0.183458313 0.029580230 0.839899421 0.145180374 0.014920227
[33949] 0.609802663 0.196126863 0.194070488 0.783881962 0.206250235 0.009867816
[33955] 0.701618493 0.289962143 0.008419417 0.312442422 0.336452782 0.351104766
[33961] 0.474614799 0.408808380 0.116576821 0.856503308 0.134747371 0.008749360
[33967] 0.273510456 0.255932868 0.470556676 0.779743016 0.211484000 0.008773012
[33973] 0.039651722 0.234042391 0.726305902 0.789535046 0.195161790 0.015303098
[33979] 0.018789308 0.185065717 0.796145022 0.650006890 0.312974781 0.037018336
[33985] 0.402515322 0.426203936 0.171280757 0.891933799 0.093733892 0.014332322
[33991] 0.671401083 0.253662050 0.074936889 0.696231961 0.278954148 0.024813861
[33997] 0.766863465 0.215325624 0.017810946 0.792468309 0.173586175 0.033945560
[34003] 0.011097915 0.164763510 0.824138582 0.024442337 0.194419637 0.781138062
[34009] 0.781786859 0.204126447 0.014086730 0.682308376 0.293543428 0.024148177
[34015] 0.849187672 0.141804248 0.009008057 0.832288384 0.154690415 0.013021216
[34021] 0.081501111 0.355451226 0.563047647 0.666966259 0.299874425 0.033159293
[34027] 0.681547523 0.273577422 0.044875037 0.050655559 0.282090902 0.667253554
[34033] 0.745431125 0.188619554 0.065949336 0.448693067 0.462051809 0.089255102
[34039] 0.779805005 0.178749681 0.041445307 0.736483991 0.213513359 0.050002638
[34045] 0.047796108 0.684974492 0.267229408 0.692395806 0.267440528 0.040163688
[34051] 0.192575812 0.210647330 0.596776903 0.738188267 0.245655119 0.016156675
[34057] 0.713486135 0.257083565 0.029430237 0.013291482 0.201140866 0.785567641
[34063] 0.660217583 0.312306792 0.027475592 0.690928221 0.249578848 0.059492905
[34069] 0.039422218 0.219728038 0.740849793 0.370240927 0.311295420 0.318463624
[34075] 0.787124574 0.194669053 0.018206345 0.847253978 0.142709658 0.010036410
[34081] 0.547928452 0.313995868 0.138075709 0.718373954 0.259493828 0.022132223
[34087] 0.658186436 0.307467133 0.034346443 0.531605482 0.300005674 0.168388814
[34093] 0.756998777 0.226164982 0.016836269 0.570821822 0.351349145 0.077828996
[34099] 0.679474950 0.254416972 0.066108115 0.589679122 0.341153294 0.069167607
[34105] 0.789050102 0.196694985 0.014254901 0.057520945 0.250201851 0.692277193
[34111] 0.685000956 0.281282455 0.033716604 0.830430925 0.152261227 0.017307794
[34117] 0.017349394 0.124593325 0.858057261 0.329870880 0.273281753 0.396847397
[34123] 0.733993232 0.218497083 0.047509715 0.630647779 0.293872327 0.075479880
[34129] 0.797650754 0.185932562 0.016416663 0.835122705 0.153924450 0.010952880
[34135] 0.736090243 0.247189596 0.016720200 0.019929633 0.200898752 0.779171646
[34141] 0.742531538 0.239961699 0.017506814 0.582130849 0.310899615 0.106969565
[34147] 0.088189811 0.294726759 0.617083430 0.040040269 0.179642171 0.780317545
[34153] 0.043002367 0.142546475 0.814451218 0.370871514 0.364783913 0.264344573
[34159] 0.730928540 0.247943461 0.021128001 0.041306525 0.235922411 0.722771049
[34165] 0.598540664 0.352459073 0.049000226 0.532227516 0.415224612 0.052547906
[34171] 0.361669719 0.381162345 0.257167935 0.027645281 0.158827350 0.813527405
[34177] 0.813774168 0.178644702 0.007581163 0.572140574 0.343320698 0.084538750
[34183] 0.759781957 0.228210449 0.012007574 0.573326588 0.268831432 0.157842010
[34189] 0.608116210 0.289542377 0.102341391 0.665527940 0.286489993 0.047982108
[34195] 0.784761369 0.188660026 0.026578547 0.830782950 0.161567882 0.007649222
[34201] 0.391484946 0.351139903 0.257375091 0.832363844 0.153130442 0.014505700
[34207] 0.791068077 0.192801371 0.016130559 0.564719141 0.308710486 0.126570374
[34213] 0.728171766 0.231027722 0.040800519 0.757603049 0.235702246 0.006694710
[34219] 0.727096558 0.257220566 0.015682872 0.853043437 0.132925063 0.014031545
[34225] 0.885227859 0.102884427 0.011887688 0.043383889 0.192265615 0.764350474
[34231] 0.461044520 0.420300364 0.118655160 0.027156942 0.263104051 0.709739029
[34237] 0.384982824 0.286180943 0.328836262 0.025992241 0.053212985 0.920794785
[34243] 0.025833543 0.179949537 0.794216931 0.280881584 0.312354386 0.406764060
[34249] 0.672970235 0.245093167 0.081936650 0.780464470 0.208151281 0.011384208
[34255] 0.030209815 0.088057846 0.881732285 0.565663993 0.316122741 0.118213266
[34261] 0.020483119 0.252023846 0.727493048 0.093086250 0.266118497 0.640795290
[34267] 0.705346465 0.272092372 0.022561127 0.018707389 0.172308668 0.808983922
[34273] 0.769524395 0.198888198 0.031587355 0.059505872 0.290298849 0.650195241
[34279] 0.745860159 0.226859048 0.027280744 0.647037625 0.312129468 0.040832929
[34285] 0.877057195 0.059061494 0.063881367 0.810276985 0.172907144 0.016815852
[34291] 0.004055759 0.141208887 0.854735374 0.119942814 0.457789510 0.422267705
[34297] 0.579807341 0.343104452 0.077088214 0.013335110 0.192120925 0.794543982
[34303] 0.006822235 0.075624444 0.917553306 0.009998632 0.087907210 0.902094185
[34309] 0.028102797 0.221176192 0.750721037 0.679800749 0.282835603 0.037363652
[34315] 0.613667548 0.307388276 0.078944199 0.853637159 0.137860641 0.008502231
[34321] 0.088532105 0.731962681 0.179505229 0.169583008 0.241271049 0.589145958
[34327] 0.042720083 0.241438523 0.715841353 0.603620768 0.299014837 0.097364388
[34333] 0.016980240 0.121406794 0.861612976 0.047880467 0.324432671 0.627686858
[34339] 0.057970513 0.359561116 0.582468390 0.032705933 0.208302468 0.758991599
[34345] 0.070172437 0.282684922 0.647142589 0.754991472 0.231195271 0.013813269
[34351] 0.687774897 0.209143251 0.103081897 0.089302734 0.416672200 0.494025081
[34357] 0.814647853 0.171629757 0.013722387 0.742573321 0.230724633 0.026702043
[34363] 0.066170812 0.345072567 0.588756561 0.013429628 0.206658974 0.779911339
[34369] 0.043969586 0.273539305 0.682491124 0.016991448 0.170410082 0.812598526
[34375] 0.031632084 0.241031155 0.727336824 0.009631940 0.040589087 0.949778914
[34381] 0.025227327 0.485374302 0.489398420 0.021818083 0.267361850 0.710820079
[34387] 0.026140615 0.195324704 0.778534710 0.721779585 0.262135446 0.016084986
[34393] 0.677114844 0.262235403 0.060649764 0.017979531 0.232326537 0.749693930
[34399] 0.005118046 0.207261667 0.787620246 0.009120123 0.162865371 0.828014493
[34405] 0.024783636 0.212246910 0.762969434 0.004698243 0.271909416 0.723392308
[34411] 0.178613007 0.108031124 0.713355899 0.347990841 0.408736080 0.243273154
[34417] 0.785349131 0.119986519 0.094664335 0.657963336 0.292667389 0.049369276
[34423] 0.627728105 0.349013299 0.023258580 0.009617885 0.076559857 0.913822293
[34429] 0.047740880 0.211071357 0.741187811 0.010812950 0.126279220 0.862907767
[34435] 0.028477952 0.104471564 0.867050529 0.045690097 0.259006351 0.695303559
[34441] 0.014602176 0.179864928 0.805532932 0.012203562 0.129418239 0.858378172
[34447] 0.115155488 0.411972255 0.472872257 0.019426614 0.218891621 0.761681736
[34453] 0.579616547 0.348965704 0.071417749 0.023535302 0.648221135 0.328243554
[34459] 0.579953909 0.303558439 0.116487637 0.657314241 0.149543181 0.193142608
[34465] 0.645041049 0.200096503 0.154862449 0.008691063 0.077154756 0.914154172
[34471] 0.029170688 0.224888921 0.745940328 0.056310568 0.142987460 0.800701976
[34477] 0.051790636 0.279462099 0.668747246 0.093176663 0.296104729 0.610718668
[34483] 0.048845179 0.385807574 0.565347254 0.021563547 0.211969420 0.766466975
[34489] 0.028450176 0.193949759 0.777600050 0.014110285 0.121727780 0.864161909
[34495] 0.005139519 0.116232462 0.878628016 0.015151395 0.179073960 0.805774629
[34501] 0.035877172 0.192804918 0.771317899 0.033625785 0.224232659 0.742141545
[34507] 0.040612821 0.227544442 0.731842697 0.038128864 0.124241531 0.837629557
[34513] 0.055155493 0.377725780 0.567118764 0.051551633 0.148036420 0.800411999
[34519] 0.078828998 0.790138125 0.131032884 0.044483699 0.118836604 0.836679757
[34525] 0.036770962 0.180938810 0.782290161 0.005015988 0.206031755 0.788952231
[34531] 0.064431049 0.185095251 0.750473738 0.040967204 0.144514531 0.814518273
[34537] 0.016662512 0.082172476 0.901165009 0.557411015 0.333116293 0.109472685
[34543] 0.023413671 0.275051266 0.701535046 0.020715401 0.347301990 0.631982625
[34549] 0.023361569 0.239655852 0.736982524 0.023570003 0.191011176 0.785418808
[34555] 0.032309573 0.564226210 0.403464168 0.027646324 0.116243236 0.856110513
[34561] 0.056701925 0.195253462 0.748044610 0.699322879 0.143539324 0.157137766
[34567] 0.020559127 0.114830874 0.864610016 0.013035185 0.174786523 0.812178314
[34573] 0.023787415 0.098843224 0.877369344 0.113101833 0.415578574 0.471319616
[34579] 0.012483888 0.114837922 0.872678220 0.786682308 0.191584781 0.021732964
[34585] 0.230809361 0.216300398 0.552890241 0.003513623 0.013397053 0.983089328
[34591] 0.004936408 0.116313376 0.878750265 0.035229187 0.182422295 0.782348573
[34597] 0.030339805 0.204763219 0.764896929 0.533470809 0.228791758 0.237737432
[34603] 0.036506146 0.396262556 0.567231297 0.012577833 0.162456408 0.824965715
[34609] 0.017271139 0.122390650 0.860338211 0.719238281 0.247287229 0.033474475
[34615] 0.029319873 0.172244370 0.798435748 0.005499311 0.263290584 0.731210053
[34621] 0.026428841 0.174864873 0.798706234 0.036976870 0.200964004 0.762059093
[34627] 0.030498598 0.209294096 0.760207295 0.018143984 0.145304531 0.836551487
[34633] 0.059391476 0.282743186 0.657865345 0.018289581 0.183021531 0.798688889
[34639] 0.046731692 0.247167304 0.706101000 0.019026799 0.234324127 0.746649086
[34645] 0.070846818 0.312930644 0.616222560 0.026076775 0.162478104 0.811445177
[34651] 0.008245492 0.120484747 0.871269763 0.005672005 0.066662244 0.927665770
[34657] 0.092812411 0.615636945 0.291550636 0.095824160 0.850031912 0.054143973
[34663] 0.156300232 0.588850379 0.254849434 0.210948899 0.723787665 0.065263391
[34669] 0.009449154 0.141696006 0.848854899 0.005229359 0.084681809 0.910088837
[34675] 0.003734499 0.084740661 0.911524832 0.011286798 0.399223447 0.589489758
[34681] 0.067491718 0.397165745 0.535342515 0.071353763 0.471834511 0.456811726
[34687] 0.036737226 0.058941487 0.904321253 0.008181420 0.367785454 0.624033153
[34693] 0.003602521 0.061107278 0.935290277 0.005277473 0.171573117 0.823149443
[34699] 0.025844317 0.198609233 0.775546432 0.007853419 0.245798156 0.746348381
[34705] 0.010039429 0.362852097 0.627108455 0.013761263 0.359638125 0.626600623
[34711] 0.018492330 0.230956212 0.750551462 0.095963463 0.426253617 0.477782875
[34717] 0.066283911 0.863279283 0.070436843 0.064778879 0.279647380 0.655573726
[34723] 0.116371177 0.595801413 0.287827432 0.021238070 0.182847947 0.795913994
[34729] 0.012580259 0.379419208 0.608000576 0.011905305 0.294728458 0.693366230
[34735] 0.008301860 0.174883932 0.816814184 0.015801996 0.173747376 0.810450613
[34741] 0.104008079 0.774980426 0.121011488 0.132294804 0.434408098 0.433297127
[34747] 0.072824761 0.534018815 0.393156409 0.061173543 0.774484932 0.164341524
[34753] 0.006506269 0.067760430 0.925733268 0.005014389 0.052598082 0.942387521
[34759] 0.019876353 0.242208689 0.737914979 0.072712444 0.494367570 0.432919979
[34765] 0.071123399 0.630852580 0.298024058 0.006869464 0.083687797 0.909442723
[34771] 0.006543685 0.112126283 0.881330073 0.009967533 0.191485256 0.798547208
[34777] 0.018305149 0.479592234 0.502102613 0.016113235 0.328066051 0.655820668
[34783] 0.016338767 0.300147086 0.683514178 0.108018249 0.826075613 0.065906070
[34789] 0.171291694 0.789665282 0.039043017 0.206422687 0.706573129 0.087004185
[34795] 0.010520880 0.397034705 0.592444420 0.094166920 0.349334687 0.556498408
[34801] 0.198907718 0.589697361 0.211394936 0.008099897 0.294399351 0.697500765
[34807] 0.040896498 0.348904371 0.610199094 0.467034429 0.404367566 0.128598005
[34813] 0.007008610 0.103572793 0.889418662 0.121905521 0.785724699 0.092369772
[34819] 0.108660534 0.751904905 0.139434561 0.070933633 0.839826584 0.089239784
[34825] 0.232288405 0.565435469 0.202276170 0.028045790 0.224443242 0.747510910
[34831] 0.131644621 0.800027668 0.068327658 0.119138129 0.610679865 0.270182014
[34837] 0.077467263 0.693654537 0.228878170 0.038319230 0.856126010 0.105554730
[34843] 0.030147659 0.322281182 0.647571206 0.011650371 0.211281791 0.777067840
[34849] 0.009091681 0.248882160 0.742026150 0.109721355 0.839606345 0.050672289
[34855] 0.415284902 0.568359911 0.016355203 0.072588012 0.643248260 0.284163684
[34861] 0.027078606 0.240846634 0.732074738 0.083222017 0.582661808 0.334116191
[34867] 0.071714349 0.530532420 0.397753239 0.155678049 0.782661915 0.061660010
[34873] 0.072283998 0.766613066 0.161102936 0.188347325 0.721633852 0.090018839
[34879] 0.012248094 0.379503876 0.608248055 0.024724429 0.753777921 0.221497700
[34885] 0.007921981 0.105741583 0.886336446 0.016340161 0.211796716 0.771863103
[34891] 0.155676514 0.675993800 0.168329641 0.173709109 0.361916006 0.464374810
[34897] 0.166031286 0.731902719 0.102066025 0.077404439 0.877858698 0.044736858
[34903] 0.036939748 0.143277287 0.819782972 0.007303442 0.079431824 0.913264751
[34909] 0.119608209 0.566436708 0.313955098 0.159486368 0.758353651 0.082159966
[34915] 0.221437246 0.727998912 0.050563790 0.011192221 0.226309881 0.762497842
[34921] 0.011329181 0.303879529 0.684791267 0.079737134 0.767612934 0.152649924
[34927] 0.003917926 0.030134309 0.965947747 0.068035021 0.304953605 0.627011359
[34933] 0.009615440 0.359761775 0.630622745 0.013623673 0.317822039 0.668554306
[34939] 0.207487211 0.753584564 0.038928233 0.096115753 0.834983408 0.068900816
[34945] 0.004395740 0.112196892 0.883407414 0.131096154 0.837572336 0.031331439
[34951] 0.020964833 0.383912086 0.595123112 0.019377446 0.264710516 0.715911984
[34957] 0.007068511 0.407091975 0.585839510 0.003382662 0.032702602 0.963914752
[34963] 0.170276105 0.786122024 0.043601904 0.154393673 0.795747995 0.049858313
[34969] 0.244891033 0.535478830 0.219630167 0.013657610 0.383943200 0.602399170
[34975] 0.176342353 0.780523479 0.043134205 0.097601824 0.833960950 0.068437181
[34981] 0.093396887 0.807189643 0.099413410 0.162428945 0.717847526 0.119723514
[34987] 0.138522089 0.829799056 0.031678863 0.004660039 0.076341391 0.918998599
[34993] 0.014451837 0.126159176 0.859389007 0.013700685 0.132975802 0.853323519
[34999] 0.013963958 0.349996835 0.636039197 0.043127075 0.614654601 0.342218339
[35005] 0.037359547 0.289685607 0.672954798 0.034857597 0.267766118 0.697376251
[35011] 0.029335758 0.303565919 0.667098343 0.012151336 0.149648622 0.838200033
[35017] 0.013413370 0.290472478 0.696114182 0.024497192 0.145745203 0.829757631
[35023] 0.032090597 0.292041928 0.675867438 0.323228747 0.618298650 0.058472607
[35029] 0.182795897 0.692659616 0.124544457 0.003699969 0.267006457 0.729293585
[35035] 0.034393858 0.619048417 0.346557736 0.014123810 0.179435462 0.806440771
[35041] 0.022521326 0.198798284 0.778680384 0.033318479 0.122409031 0.844272494
[35047] 0.009226067 0.307252347 0.683521569 0.012884397 0.086901248 0.900214374
[35053] 0.004790154 0.266992897 0.728216946 0.026904751 0.339964271 0.633131027
[35059] 0.027755937 0.317329168 0.654914916 0.005957897 0.097283147 0.896758974
[35065] 0.089317568 0.795823038 0.114859410 0.099487618 0.855493367 0.045019016
[35071] 0.048288871 0.551927388 0.399783760 0.028107990 0.201401398 0.770490646
[35077] 0.024531119 0.272557408 0.702911496 0.009035284 0.177284569 0.813680172
[35083] 0.371228516 0.517717838 0.111053683 0.185646266 0.691325426 0.123028249
[35089] 0.011266774 0.345267534 0.643465638 0.023120549 0.170996547 0.805882871
[35095] 0.144254699 0.777051747 0.078693546 0.223427609 0.755736947 0.020835454
A saída da função predict são as probabilidades de cada uma das 3 classes para cada uma das novas observações. Mas essa apresentação é bem confusa e desorganizada. Segue uma sugestão para uma saída mais amigável.
pred = predict(XGB_CLASS_3,newdata=M_X)
y_ = matrix(pred,byrow = TRUE,ncol=3,dimnames = list(NULL,c("baixa","media","alta")))
y_ baixa media alta
[1,] 0.005048582 0.120415643 0.874535799
[2,] 0.018599473 0.343623400 0.637777150
[3,] 0.140126988 0.298844337 0.561028659
[4,] 0.215170622 0.553240538 0.231588826
[5,] 0.032674577 0.371185720 0.596139729
[6,] 0.721569836 0.262757033 0.015673090
[7,] 0.375060320 0.250211477 0.374728233
[8,] 0.388041288 0.553800166 0.058158521
[9,] 0.320265979 0.665694296 0.014039733
[10,] 0.197767615 0.719515383 0.082716979
[11,] 0.021728016 0.145924851 0.832347095
[12,] 0.802626371 0.154699773 0.042673837
[13,] 0.699973345 0.274620771 0.025405882
[14,] 0.313374877 0.345659316 0.340965778
[15,] 0.321086347 0.319072366 0.359841287
[16,] 0.734190345 0.239601716 0.026207903
[17,] 0.911634862 0.078250386 0.010114753
[18,] 0.662990510 0.301211685 0.035797834
[19,] 0.355923951 0.278810591 0.365265429
[20,] 0.248273090 0.404241353 0.347485512
[21,] 0.327105284 0.627952456 0.044942267
[22,] 0.769827724 0.208441064 0.021731181
[23,] 0.794421554 0.180789858 0.024788555
[24,] 0.167649403 0.570021451 0.262329161
[25,] 0.332307607 0.624118030 0.043574385
[26,] 0.023168048 0.161093011 0.815738916
[27,] 0.832803249 0.149446636 0.017750086
[28,] 0.568659484 0.386870623 0.044469889
[29,] 0.347372919 0.533573210 0.119053863
[30,] 0.270322412 0.475254178 0.254423410
[31,] 0.862651408 0.125325024 0.012023501
[32,] 0.748043180 0.239529178 0.012427661
[33,] 0.291402549 0.509013772 0.199583679
[34,] 0.004128671 0.148118481 0.847752869
[35,] 0.484937727 0.426000237 0.089062072
[36,] 0.743378103 0.231093943 0.025527943
[37,] 0.569291472 0.368311018 0.062397480
[38,] 0.489817679 0.412629873 0.097552419
[39,] 0.006538462 0.030589182 0.962872386
[40,] 0.639962852 0.331126988 0.028910158
[41,] 0.646180928 0.316683501 0.037135564
[42,] 0.016607089 0.428875625 0.554517329
[43,] 0.807471395 0.155606598 0.036922034
[44,] 0.438383043 0.543733776 0.017883129
[45,] 0.618114233 0.325802535 0.056083225
[46,] 0.382960558 0.572057128 0.044982273
[47,] 0.753856361 0.225958079 0.020185547
[48,] 0.720805407 0.241498172 0.037696406
[49,] 0.015131713 0.384917080 0.599951208
[50,] 0.043187801 0.336710930 0.620101273
[51,] 0.535952210 0.431373328 0.032674484
[52,] 0.774423301 0.210520133 0.015056553
[53,] 0.280310422 0.675244331 0.044445295
[54,] 0.711810410 0.265240788 0.022948777
[55,] 0.448237360 0.419493228 0.132269457
[56,] 0.143654421 0.596844494 0.259501040
[57,] 0.541225433 0.430244744 0.028529771
[58,] 0.579648912 0.394560456 0.025790649
[59,] 0.005349430 0.246938258 0.747712255
[60,] 0.358727932 0.461943328 0.179328769
[61,] 0.622036994 0.350659460 0.027303532
[62,] 0.757287502 0.218673736 0.024038712
[63,] 0.572234869 0.399734914 0.028030232
[64,] 0.242614478 0.715465367 0.041920140
[65,] 0.161807388 0.751230657 0.086962007
[66,] 0.373218119 0.560712516 0.066069372
[67,] 0.329180330 0.533602417 0.137217268
[68,] 0.220009580 0.610086620 0.169903845
[69,] 0.854251266 0.125635952 0.020112839
[70,] 0.931945443 0.058504932 0.009549570
[71,] 0.259849668 0.463352829 0.276797473
[72,] 0.551916659 0.210204616 0.237878680
[73,] 0.824051440 0.149307683 0.026640860
[74,] 0.419182450 0.535733938 0.045083642
[75,] 0.818775892 0.164357111 0.016866937
[76,] 0.056341778 0.277714103 0.665944159
[77,] 0.832213819 0.155576304 0.012209883
[78,] 0.029741233 0.278806269 0.691452444
[79,] 0.095005669 0.160155728 0.744838655
[80,] 0.488700479 0.262884796 0.248414695
[81,] 0.389343262 0.592207968 0.018448779
[82,] 0.207489267 0.598897815 0.193612933
[83,] 0.734648764 0.247296527 0.018054776
[84,] 0.666169524 0.319824308 0.014006120
[85,] 0.471006364 0.455032080 0.073961601
[86,] 0.309552968 0.497767508 0.192679524
[87,] 0.507426262 0.455436796 0.037136916
[88,] 0.380156606 0.413549721 0.206293732
[89,] 0.638087153 0.335497856 0.026414948
[90,] 0.303062141 0.292437255 0.404500574
[91,] 0.267522961 0.351613939 0.380863070
[92,] 0.443945408 0.430817306 0.125237301
[93,] 0.799869120 0.183662429 0.016468491
[94,] 0.022679286 0.179081172 0.798239529
[95,] 0.032980628 0.915383697 0.051635716
[96,] 0.724490345 0.255827188 0.019682413
[97,] 0.018990336 0.164852440 0.816157281
[98,] 0.773329437 0.203311428 0.023359157
[99,] 0.447030187 0.444364190 0.108605638
[100,] 0.857139468 0.124715365 0.018145131
[101,] 0.359671921 0.498355806 0.141972303
[102,] 0.410920978 0.551161051 0.037917972
[103,] 0.704941392 0.269702822 0.025355740
[104,] 0.023586618 0.150614455 0.825798869
[105,] 0.014954914 0.465854168 0.519190907
[106,] 0.818586051 0.170792446 0.010621478
[107,] 0.026588153 0.288021833 0.685389996
[108,] 0.007872860 0.515076458 0.477050662
[109,] 0.420639992 0.325103104 0.254256845
[110,] 0.022333356 0.455977023 0.521689653
[111,] 0.014739284 0.189358816 0.795901895
[112,] 0.035354391 0.310037673 0.654607952
[113,] 0.547886550 0.429327101 0.022786360
[114,] 0.411636174 0.497165322 0.091198526
[115,] 0.890082777 0.099482916 0.010434324
[116,] 0.213874772 0.532996356 0.253128827
[117,] 0.109898932 0.638070166 0.252030849
[118,] 0.010487719 0.047701310 0.941811025
[119,] 0.396000564 0.568795025 0.035204414
[120,] 0.032674327 0.126442343 0.840883315
[121,] 0.762464046 0.187443107 0.050092902
[122,] 0.035424247 0.328027129 0.636548579
[123,] 0.058012992 0.341710180 0.600276887
[124,] 0.053749029 0.386659890 0.559591115
[125,] 0.071095616 0.360996783 0.567907572
[126,] 0.333661556 0.342693627 0.323644847
[127,] 0.705722988 0.261391640 0.032885335
[128,] 0.860211074 0.132869393 0.006919519
[129,] 0.669799984 0.298089325 0.032110654
[130,] 0.737307310 0.225644752 0.037047949
[131,] 0.527289927 0.437921256 0.034788806
[132,] 0.779195547 0.208949089 0.011855404
[133,] 0.702336013 0.287977844 0.009686110
[134,] 0.018051723 0.161907524 0.820040762
[135,] 0.010864941 0.183822095 0.805312991
[136,] 0.629828691 0.345112801 0.025058547
[137,] 0.812625051 0.178369597 0.009005376
[138,] 0.649366438 0.330176890 0.020456696
[139,] 0.305189133 0.483436853 0.211374030
[140,] 0.736417353 0.246920452 0.016662247
[141,] 0.662550032 0.313912302 0.023537660
[142,] 0.657930434 0.319125801 0.022943767
[143,] 0.108126730 0.224387288 0.667485952
[144,] 0.735857010 0.252052844 0.012090165
[145,] 0.434836656 0.392583996 0.172579378
[146,] 0.520707369 0.436954051 0.042338539
[147,] 0.570548117 0.391504109 0.037947770
[148,] 0.788673341 0.197788402 0.013538277
[149,] 0.036753997 0.291252911 0.671993077
[150,] 0.640234649 0.330624461 0.029140899
[151,] 0.584413946 0.371556580 0.044029482
[152,] 0.034293793 0.240887865 0.724818349
[153,] 0.017189700 0.216243252 0.766566992
[154,] 0.020286454 0.135344893 0.844368637
[155,] 0.724228263 0.252475530 0.023296194
[156,] 0.621499658 0.325891942 0.052608389
[157,] 0.534556448 0.437993139 0.027450452
[158,] 0.008089072 0.172724649 0.819186211
[159,] 0.741913795 0.219138980 0.038947236
[160,] 0.085618563 0.231850430 0.682530999
[161,] 0.039232917 0.063177079 0.897590041
[162,] 0.628475070 0.351195306 0.020329630
[163,] 0.768564224 0.221767142 0.009668593
[164,] 0.745780945 0.243583903 0.010635164
[165,] 0.754072845 0.164537951 0.081389181
[166,] 0.663173139 0.312321097 0.024505772
[167,] 0.748645186 0.218931496 0.032423347
[168,] 0.701604187 0.249722883 0.048672877
[169,] 0.350999117 0.290035993 0.358964920
[170,] 0.615867019 0.301779240 0.082353748
[171,] 0.320568383 0.400038987 0.279392600
[172,] 0.846631587 0.131062835 0.022305578
[173,] 0.512308836 0.431617379 0.056073777
[174,] 0.805973470 0.187954068 0.006072477
[175,] 0.821450889 0.164832100 0.013717031
[176,] 0.835181236 0.150528595 0.014290160
[177,] 0.846693814 0.135091454 0.018214740
[178,] 0.764062464 0.219565272 0.016372293
[179,] 0.041831795 0.196792901 0.761375308
[180,] 0.027387924 0.349306852 0.623305261
[181,] 0.065615878 0.437835485 0.496548682
[182,] 0.034880709 0.200775817 0.764343500
[183,] 0.012946476 0.063971706 0.923081875
[184,] 0.041515637 0.268148363 0.690336049
[185,] 0.052696895 0.279059947 0.668243170
[186,] 0.093669713 0.356168896 0.550161362
[187,] 0.072241679 0.347561270 0.580197036
[188,] 0.026825905 0.058489263 0.914684772
[189,] 0.023759278 0.262429714 0.713810980
[190,] 0.351480991 0.385732293 0.262786746
[191,] 0.029091990 0.202640980 0.768267035
[192,] 0.040961191 0.211983725 0.747055113
[193,] 0.025246289 0.175428927 0.799324751
[194,] 0.195646599 0.336914122 0.467439324
[195,] 0.026270697 0.161518872 0.812210441
[196,] 0.020423580 0.186556548 0.793019891
[197,] 0.243974999 0.336591035 0.419433922
[198,] 0.031260651 0.160205632 0.808533669
[199,] 0.675448477 0.296964645 0.027586903
[200,] 0.606008828 0.349457264 0.044533879
[201,] 0.791327119 0.198836133 0.009836792
[202,] 0.605835378 0.353854686 0.040309966
[203,] 0.801686585 0.189011768 0.009301683
[204,] 0.534209907 0.370602995 0.095187098
[205,] 0.698022068 0.285290778 0.016687173
[206,] 0.763805032 0.211356252 0.024838667
[207,] 0.417333007 0.537126124 0.045540858
[208,] 0.550870061 0.415707290 0.033422634
[209,] 0.123803928 0.183126330 0.693069696
[210,] 0.443794608 0.463946581 0.092258848
[211,] 0.416240454 0.339234322 0.244525254
[212,] 0.051927824 0.312543213 0.635528982
[213,] 0.813450933 0.171704918 0.014844151
[214,] 0.168225423 0.272870839 0.558903754
[215,] 0.369850248 0.532238901 0.097910874
[216,] 0.315956593 0.603764176 0.080279171
[217,] 0.789114118 0.200358033 0.010527884
[218,] 0.873065114 0.114749305 0.012185531
[219,] 0.644691467 0.315912545 0.039396018
[220,] 0.616314292 0.331068993 0.052616753
[221,] 0.722946346 0.247290552 0.029763136
[222,] 0.470794320 0.481067628 0.048138060
[223,] 0.200648069 0.400790721 0.398561209
[224,] 0.058753144 0.260805100 0.680441737
[225,] 0.044510696 0.239031598 0.716457725
[226,] 0.076385014 0.188759059 0.734855890
[227,] 0.162023723 0.308159798 0.529816508
[228,] 0.022933336 0.092197061 0.884869576
[229,] 0.033943411 0.209109530 0.756947041
[230,] 0.033546839 0.450668752 0.515784383
[231,] 0.821339965 0.159895390 0.018764626
[232,] 0.273658752 0.327841818 0.398499459
[233,] 0.757301450 0.215867415 0.026831146
[234,] 0.764406025 0.225642040 0.009951951
[235,] 0.779841959 0.203218013 0.016940065
[236,] 0.360508531 0.287587345 0.351904124
[237,] 0.825953066 0.165856034 0.008190902
[238,] 0.260724664 0.437056959 0.302218348
[239,] 0.605524421 0.351189345 0.043286212
[240,] 0.042655185 0.480620623 0.476724148
[241,] 0.647900760 0.229610309 0.122488908
[242,] 0.555341244 0.430204362 0.014454396
[243,] 0.018584123 0.109496199 0.871919632
[244,] 0.911412120 0.079855740 0.008732117
[245,] 0.515370786 0.441528022 0.043101192
[246,] 0.667679310 0.312588692 0.019731989
[247,] 0.899205029 0.094181649 0.006613302
[248,] 0.788108826 0.203279465 0.008611700
[249,] 0.030737637 0.134391412 0.834870934
[250,] 0.806281805 0.176880300 0.016837930
[251,] 0.185030699 0.323823869 0.491145492
[252,] 0.212628707 0.678393841 0.108977422
[253,] 0.635855556 0.307814807 0.056329701
[254,] 0.834717274 0.150001779 0.015280982
[255,] 0.797009587 0.191534773 0.011455597
[256,] 0.686912894 0.280124396 0.032962691
[257,] 0.132025912 0.253923327 0.614050746
[258,] 0.751893699 0.238033175 0.010073099
[259,] 0.150771260 0.772864163 0.076364584
[260,] 0.048210267 0.196541250 0.755248547
[261,] 0.783646464 0.206800058 0.009553434
[262,] 0.501498997 0.475007266 0.023493739
[263,] 0.179978833 0.680840671 0.139180511
[264,] 0.091312245 0.286642283 0.622045457
[265,] 0.651518464 0.326957941 0.021523530
[266,] 0.867118895 0.116162561 0.016718553
[267,] 0.125439703 0.209767118 0.664793134
[268,] 0.071102999 0.274637699 0.654259324
[269,] 0.051075999 0.260873348 0.688050628
[270,] 0.830099940 0.156911105 0.012988935
[271,] 0.044076324 0.286357343 0.669566333
[272,] 0.080426738 0.177309066 0.742264152
[273,] 0.094208553 0.202426076 0.703365326
[274,] 0.014509827 0.130972385 0.854517758
[275,] 0.091556847 0.194401458 0.714041650
[276,] 0.081345119 0.302428395 0.616226494
[277,] 0.027637472 0.107687280 0.864675224
[278,] 0.863329709 0.127899647 0.008770590
[279,] 0.223677188 0.380725801 0.395596951
[280,] 0.102054916 0.237995863 0.659949243
[281,] 0.323751032 0.302132249 0.374116719
[282,] 0.855373085 0.133632004 0.010994924
[283,] 0.636602759 0.314356506 0.049040727
[284,] 0.318989277 0.465497464 0.215513259
[285,] 0.094322421 0.238647535 0.667029977
[286,] 0.643043041 0.322695792 0.034261115
[287,] 0.195317611 0.228213772 0.576468647
[288,] 0.424793214 0.446972668 0.128234163
[289,] 0.484252602 0.482960850 0.032786597
[290,] 0.479277223 0.474862546 0.045860227
[291,] 0.533483922 0.357634604 0.108881451
[292,] 0.631468296 0.331028730 0.037502956
[293,] 0.837194383 0.149889901 0.012915766
[294,] 0.090555944 0.246979088 0.662464976
[295,] 0.832509160 0.156289801 0.011201053
[296,] 0.038443521 0.297773629 0.663782835
[297,] 0.057079960 0.209687576 0.733232498
[298,] 0.682598472 0.288404405 0.028997155
[299,] 0.033310700 0.147534385 0.819154859
[300,] 0.813224137 0.175380096 0.011395742
[301,] 0.402423382 0.437674880 0.159901768
[302,] 0.805357575 0.186165735 0.008476648
[303,] 0.818674207 0.172341093 0.008984699
[304,] 0.489379227 0.419859082 0.090761706
[305,] 0.377050936 0.588967443 0.033981632
[306,] 0.809668541 0.182089090 0.008242358
[307,] 0.868773162 0.122883514 0.008343253
[308,] 0.741966724 0.240315661 0.017717624
[309,] 0.847396135 0.141743794 0.010860099
[310,] 0.052383579 0.214666128 0.732950270
[311,] 0.151345715 0.407699704 0.440954536
[312,] 0.019874493 0.217627466 0.762498081
[313,] 0.840492845 0.147763610 0.011743490
[314,] 0.814277887 0.172171518 0.013550573
[315,] 0.700438857 0.285324246 0.014236872
[316,] 0.052651037 0.117272779 0.830076158
[317,] 0.022265702 0.176219210 0.801515102
[318,] 0.756630719 0.210243911 0.033125348
[319,] 0.018993240 0.177276880 0.803729951
[320,] 0.871574044 0.113709345 0.014716659
[321,] 0.038348734 0.293610692 0.668040633
[322,] 0.014230589 0.078492649 0.907276750
[323,] 0.014708574 0.115580708 0.869710743
[324,] 0.289739907 0.271812409 0.438447714
[325,] 0.246554986 0.234964550 0.518480480
[326,] 0.563270748 0.385904849 0.050824370
[327,] 0.620537579 0.367676824 0.011785623
[328,] 0.862531483 0.127676025 0.009792445
[329,] 0.811682343 0.178554431 0.009763218
[330,] 0.869715452 0.121331558 0.008952977
[331,] 0.763379574 0.218763903 0.017856522
[332,] 0.784512877 0.202303946 0.013183189
[333,] 0.298076451 0.256013244 0.445910305
[334,] 0.032661241 0.198907077 0.768431664
[335,] 0.816064298 0.165899724 0.018035984
[336,] 0.845762670 0.139979348 0.014258035
[337,] 0.867853999 0.123394951 0.008751070
[338,] 0.819301665 0.168854222 0.011844119
[339,] 0.851309299 0.140664250 0.008026406
[340,] 0.373844326 0.465277493 0.160878152
[341,] 0.716000259 0.272635430 0.011364310
[342,] 0.815618992 0.174773321 0.009607636
[343,] 0.789198875 0.197254464 0.013546646
[344,] 0.647987008 0.343300045 0.008712959
[345,] 0.547347248 0.432524770 0.020127941
[346,] 0.831281900 0.160793886 0.007924144
[347,] 0.907625496 0.081519850 0.010854601
[348,] 0.587705374 0.382056028 0.030238634
[349,] 0.810457826 0.183184713 0.006357484
[350,] 0.871761501 0.116245620 0.011992844
[351,] 0.552204609 0.421451956 0.026343435
[352,] 0.535765648 0.454899549 0.009334837
[353,] 0.796281159 0.195181698 0.008537148
[354,] 0.842383325 0.147908077 0.009708595
[355,] 0.019797556 0.130957946 0.849244535
[356,] 0.020693621 0.133513346 0.845793068
[357,] 0.026123656 0.206217900 0.767658472
[358,] 0.299299687 0.654256284 0.046444047
[359,] 0.054365680 0.418344647 0.527289689
[360,] 0.003291681 0.128694683 0.868013620
[361,] 0.011361974 0.083411567 0.905226469
[362,] 0.635538518 0.349791259 0.014670226
[363,] 0.012896546 0.109465294 0.877638161
[364,] 0.037288610 0.282455921 0.680255413
[365,] 0.094521806 0.271676421 0.633801758
[366,] 0.562907398 0.361684054 0.075408511
[367,] 0.929604709 0.062853925 0.007541390
[368,] 0.028653273 0.124361567 0.846985161
[369,] 0.716597140 0.269074172 0.014328642
[370,] 0.022102408 0.259671628 0.718225956
[371,] 0.776498139 0.215197921 0.008303917
[372,] 0.714615166 0.273964584 0.011420236
[373,] 0.616274178 0.365857691 0.017868146
[374,] 0.933181167 0.059404500 0.007414321
[375,] 0.634544730 0.352332264 0.013123030
[376,] 0.724315643 0.259187967 0.016496362
[377,] 0.862995863 0.117156431 0.019847739
[378,] 0.836706340 0.135046095 0.028247541
[379,] 0.849107981 0.139273942 0.011618100
[380,] 0.921579242 0.069546938 0.008873837
[381,] 0.803402603 0.185527056 0.011070272
[382,] 0.801363707 0.189064354 0.009571915
[383,] 0.608545780 0.349802971 0.041651182
[384,] 0.952171385 0.042111509 0.005717118
[385,] 0.690843523 0.282018960 0.027137531
[386,] 0.788656116 0.199867889 0.011476028
[387,] 0.931774974 0.061963148 0.006261869
[388,] 0.833610117 0.157698050 0.008691791
[389,] 0.443488955 0.433026224 0.123484753
[390,] 0.011090402 0.087692261 0.901217401
[391,] 0.014380182 0.109144159 0.876475632
[392,] 0.611607134 0.363889307 0.024503609
[393,] 0.018371716 0.109811530 0.871816754
[394,] 0.069544718 0.366316229 0.564139068
[395,] 0.030837512 0.266591758 0.702570736
[396,] 0.912082791 0.080295555 0.007621627
[397,] 0.748001993 0.243447036 0.008551021
[398,] 0.699446619 0.290797710 0.009755660
[399,] 0.927489460 0.060479216 0.012031335
[400,] 0.824511826 0.166859001 0.008629222
[401,] 0.502415776 0.475564718 0.022019502
[402,] 0.117357463 0.353882819 0.528759658
[403,] 0.732239306 0.223909557 0.043851160
[404,] 0.545194089 0.381171256 0.073634647
[405,] 0.718231976 0.225988775 0.055779263
[406,] 0.621194482 0.327709436 0.051096078
[407,] 0.951848745 0.043898609 0.004252668
[408,] 0.866105556 0.125368446 0.008526046
[409,] 0.871824861 0.121645011 0.006530192
[410,] 0.020192400 0.166491076 0.813316584
[411,] 0.018620182 0.141159847 0.840219915
[412,] 0.882102430 0.111348264 0.006549351
[413,] 0.751009941 0.214123547 0.034866534
[414,] 0.738446951 0.240137368 0.021415697
[415,] 0.443139046 0.425753981 0.131106898
[416,] 0.841507077 0.147479266 0.011013687
[417,] 0.035178006 0.293862551 0.670959473
[418,] 0.396146894 0.553395331 0.050457750
[419,] 0.926638484 0.065182857 0.008178639
[420,] 0.100211889 0.421661049 0.478127092
[421,] 0.903519750 0.088595130 0.007885071
[422,] 0.799506128 0.189222589 0.011271295
[423,] 0.730558693 0.201068446 0.068372883
[424,] 0.881758451 0.109460928 0.008780678
[425,] 0.623057961 0.334019005 0.042923074
[426,] 0.827444077 0.164643288 0.007912671
[427,] 0.033449605 0.144593686 0.821956694
[428,] 0.773703992 0.215491205 0.010804781
[429,] 0.019237379 0.138630822 0.842131793
[430,] 0.036197238 0.369533122 0.594269633
[431,] 0.155555099 0.236999959 0.607444942
[432,] 0.028329384 0.221368030 0.750302613
[433,] 0.510083139 0.469763726 0.020153170
[434,] 0.418827832 0.219647869 0.361524314
[435,] 0.921157479 0.072381385 0.006461126
[436,] 0.021091463 0.179905623 0.799002886
[437,] 0.847386539 0.136249423 0.016364103
[438,] 0.649369478 0.310933053 0.039697465
[439,] 0.020730950 0.091781989 0.887487113
[440,] 0.040707085 0.301486969 0.657805979
[441,] 0.025042359 0.137377411 0.837580204
[442,] 0.783626199 0.200668707 0.015705129
[443,] 0.545195043 0.430031031 0.024773914
[444,] 0.025117876 0.186571836 0.788310230
[445,] 0.955206931 0.040003702 0.004789401
[446,] 0.900068223 0.091188632 0.008743166
[447,] 0.024211161 0.143616170 0.832172632
[448,] 0.046680834 0.170768335 0.782550871
[449,] 0.934423327 0.058202919 0.007373787
[450,] 0.016671820 0.103696398 0.879631817
[451,] 0.596284866 0.356812656 0.046902508
[452,] 0.047923733 0.261487007 0.690589249
[453,] 0.029944928 0.139402509 0.830652535
[454,] 0.090293400 0.406920016 0.502786577
[455,] 0.038307533 0.224911198 0.736781299
[456,] 0.015301875 0.102486417 0.882211685
[457,] 0.006263492 0.643201113 0.350535393
[458,] 0.029708099 0.207932740 0.762359142
[459,] 0.053836316 0.310490876 0.635672808
[460,] 0.025023153 0.140824378 0.834152400
[461,] 0.027311606 0.204279065 0.768409371
[462,] 0.003376225 0.244561329 0.752062440
[463,] 0.042338122 0.221833557 0.735828340
[464,] 0.069455780 0.277597129 0.652947128
[465,] 0.038304333 0.210983917 0.750711679
[466,] 0.064005218 0.267702430 0.668292344
[467,] 0.028435383 0.151596725 0.819967866
[468,] 0.017311888 0.048154064 0.934534013
[469,] 0.040362574 0.158089131 0.801548243
[470,] 0.026357740 0.113186203 0.860456109
[471,] 0.014963389 0.057359099 0.927677453
[472,] 0.013038542 0.156086475 0.830875039
[473,] 0.029642453 0.133897185 0.836460352
[474,] 0.057241645 0.194033280 0.748725057
[475,] 0.032565232 0.137233585 0.830201209
[476,] 0.046387091 0.144950360 0.808662593
[477,] 0.027476115 0.080091819 0.892432094
[478,] 0.034476299 0.116041094 0.849482536
[479,] 0.010762442 0.072596453 0.916641116
[480,] 0.055791851 0.139985412 0.804222763
[481,] 0.025411149 0.184207991 0.790380895
[482,] 0.081151225 0.312568873 0.606279910
[483,] 0.380123228 0.436577827 0.183298945
[484,] 0.919365585 0.071891129 0.008743230
[485,] 0.847988188 0.132150888 0.019860854
[486,] 0.020006534 0.120182037 0.859811366
[487,] 0.004023374 0.046842381 0.949134231
[488,] 0.026054110 0.147010297 0.826935589
[489,] 0.020455133 0.139439374 0.840105474
[490,] 0.026032085 0.132194281 0.841773570
[491,] 0.033775624 0.242383868 0.723840535
[492,] 0.029726297 0.209163666 0.761110067
[493,] 0.863144934 0.123966523 0.012888521
[494,] 0.946711719 0.046974026 0.006314234
[495,] 0.023819024 0.148659721 0.827521265
[496,] 0.648791492 0.325482100 0.025726393
[497,] 0.016786637 0.138410807 0.844802558
[498,] 0.877711296 0.116605021 0.005683733
[499,] 0.952268243 0.042177539 0.005554171
[500,] 0.023334296 0.170605645 0.806060016
[501,] 0.028916378 0.192373693 0.778709948
[502,] 0.927329540 0.065656029 0.007014478
[503,] 0.047045190 0.315292954 0.637661874
[504,] 0.140902147 0.578748882 0.280348986
[505,] 0.936870158 0.056423459 0.006706379
[506,] 0.098499812 0.551741183 0.349759042
[507,] 0.430237919 0.424216241 0.145545810
[508,] 0.025358321 0.150788009 0.823853672
[509,] 0.458087802 0.482299477 0.059612662
[510,] 0.030057605 0.216204032 0.753738344
[511,] 0.014266416 0.099614680 0.886118948
[512,] 0.013448196 0.099538095 0.887013674
[513,] 0.654877424 0.264690191 0.080432393
[514,] 0.094474800 0.263978779 0.641546428
[515,] 0.014695367 0.118784294 0.866520405
[516,] 0.799689889 0.188636467 0.011673620
[517,] 0.474794894 0.495333642 0.029871399
[518,] 0.017108422 0.156554163 0.826337397
[519,] 0.022269817 0.173128381 0.804601848
[520,] 0.058611628 0.351922423 0.589465976
[521,] 0.023292277 0.162802652 0.813905060
[522,] 0.023613978 0.178525403 0.797860682
[523,] 0.009285584 0.084708571 0.906005800
[524,] 0.018984113 0.201700211 0.779315650
[525,] 0.032972667 0.228986129 0.738041222
[526,] 0.839183629 0.150145292 0.010671042
[527,] 0.924499094 0.067102700 0.008398166
[528,] 0.012358502 0.118048295 0.869593203
[529,] 0.021345373 0.111329898 0.867324769
[530,] 0.024046995 0.184394717 0.791558325
[531,] 0.794855595 0.195299968 0.009844470
[532,] 0.800108731 0.185500816 0.014390493
[533,] 0.010064329 0.183538288 0.806397438
[534,] 0.935787857 0.056802519 0.007409690
[535,] 0.940683246 0.053115517 0.006201175
[536,] 0.919832468 0.074364103 0.005803474
[537,] 0.888840973 0.103830121 0.007328918
[538,] 0.028840397 0.138430744 0.832728863
[539,] 0.020264316 0.163182929 0.816552758
[540,] 0.583669424 0.396525532 0.019805053
[541,] 0.014381645 0.100956112 0.884662271
[542,] 0.010131441 0.543276012 0.446592540
[543,] 0.732982099 0.226859957 0.040157892
[544,] 0.008524030 0.073978625 0.917497396
[545,] 0.907686114 0.084780671 0.007533199
[546,] 0.017319564 0.194036245 0.788644195
[547,] 0.957815647 0.036064979 0.006119343
[548,] 0.905191600 0.087298378 0.007510022
[549,] 0.904501200 0.086273931 0.009224881
[550,] 0.666263878 0.310317814 0.023418268
[551,] 0.775567949 0.209548920 0.014883123
[552,] 0.066242032 0.327058256 0.606699705
[553,] 0.025679393 0.188688979 0.785631657
[554,] 0.027313149 0.220520735 0.752166152
[555,] 0.032942399 0.203407854 0.763649762
[556,] 0.047791768 0.275486439 0.676721752
[557,] 0.055625170 0.282957584 0.661417246
[558,] 0.833636463 0.150200710 0.016162837
[559,] 0.014912320 0.116348200 0.868739426
[560,] 0.116331376 0.513218164 0.370450467
[561,] 0.105791479 0.514783800 0.379424721
[562,] 0.366791546 0.313991755 0.319216639
[563,] 0.099029504 0.357498854 0.543471575
[564,] 0.015781336 0.120378278 0.863840401
[565,] 0.833185732 0.147198468 0.019615773
[566,] 0.505107760 0.356420100 0.138472125
[567,] 0.023668425 0.201704741 0.774626851
[568,] 0.033957765 0.252014965 0.714027286
[569,] 0.941758692 0.050907712 0.007333637
[570,] 0.051571801 0.241774008 0.706654131
[571,] 0.031625025 0.184068099 0.784306824
[572,] 0.223043516 0.760096669 0.016859766
[573,] 0.314101219 0.647912621 0.037986148
[574,] 0.696336567 0.292480081 0.011183375
[575,] 0.225082919 0.719381392 0.055535674
[576,] 0.004298332 0.073674925 0.922026813
[577,] 0.153329849 0.807269931 0.039400190
[578,] 0.235518441 0.665910602 0.098570950
[579,] 0.173652261 0.793779850 0.032567911
[580,] 0.484516263 0.500272274 0.015211469
[581,] 0.544631362 0.426247269 0.029121408
[582,] 0.437057167 0.542163014 0.020779843
[583,] 0.221626714 0.488916188 0.289457083
[584,] 0.501918733 0.465635806 0.032445449
[585,] 0.324841619 0.650965750 0.024192607
[586,] 0.548754752 0.426925302 0.024319977
[587,] 0.004548352 0.069367364 0.926084220
[588,] 0.426225871 0.557422996 0.016351089
[589,] 0.581604004 0.376915216 0.041480776
[590,] 0.017205697 0.083036035 0.899758220
[591,] 0.491345882 0.493299723 0.015354374
[592,] 0.451073438 0.483918548 0.065008029
[593,] 0.416836590 0.534693182 0.048470210
[594,] 0.611058176 0.378051877 0.010889960
[595,] 0.624530375 0.342676610 0.032793060
[596,] 0.298826277 0.666741550 0.034432214
[597,] 0.033523627 0.355379015 0.611097336
[598,] 0.421520978 0.524272323 0.054206725
[599,] 0.030927615 0.324994326 0.644078076
[600,] 0.405082792 0.577170193 0.017746983
[601,] 0.486832112 0.476234823 0.036933109
[602,] 0.021691490 0.240102574 0.738205910
[603,] 0.012512659 0.225360155 0.762127161
[604,] 0.026739324 0.208682790 0.764577866
[605,] 0.694249094 0.296188742 0.009562148
[606,] 0.543384135 0.428025901 0.028589970
[607,] 0.404792160 0.581812263 0.013395580
[608,] 0.010428165 0.109159835 0.880412042
[609,] 0.512085497 0.472914219 0.015000287
[610,] 0.369354278 0.587532163 0.043113541
[611,] 0.529032588 0.330224812 0.140742600
[612,] 0.482413232 0.496722907 0.020863790
[613,] 0.488264710 0.491015047 0.020720290
[614,] 0.637012482 0.349620879 0.013366582
[615,] 0.646181226 0.313577473 0.040241316
[616,] 0.724152029 0.244479179 0.031368852
[617,] 0.718178630 0.219348952 0.062472399
[618,] 0.653576732 0.331733078 0.014690221
[619,] 0.697819412 0.287359864 0.014820737
[620,] 0.137313277 0.313724130 0.548962593
[621,] 0.698265970 0.208727553 0.093006440
[622,] 0.747098505 0.222474754 0.030426739
[623,] 0.786896765 0.202794537 0.010308691
[624,] 0.476297408 0.310379863 0.213322774
[625,] 0.808991849 0.183863625 0.007144568
[626,] 0.725177109 0.250209123 0.024613807
[627,] 0.596890211 0.362705946 0.040403809
[628,] 0.790840089 0.198393688 0.010766200
[629,] 0.475153774 0.434093595 0.090752661
[630,] 0.672297657 0.280214101 0.047488242
[631,] 0.859405339 0.128502101 0.012092628
[632,] 0.087570019 0.315062791 0.597367227
[633,] 0.745701551 0.239602029 0.014696395
[634,] 0.705282748 0.265899301 0.028818002
[635,] 0.718976974 0.256852299 0.024170686
[636,] 0.676223695 0.300562888 0.023213442
[637,] 0.615195811 0.202331156 0.182473004
[638,] 0.669385731 0.254149020 0.076465294
[639,] 0.087090887 0.349854350 0.563054740
[640,] 0.642137170 0.283500791 0.074362092
[641,] 0.648265958 0.322752267 0.028981768
[642,] 0.412350148 0.256861210 0.330788642
[643,] 0.011670334 0.378661096 0.609668553
[644,] 0.778352618 0.202466846 0.019180546
[645,] 0.783851743 0.199247509 0.016900742
[646,] 0.492400110 0.400559694 0.107040159
[647,] 0.559220612 0.421954125 0.018825289
[648,] 0.630053103 0.347442240 0.022504659
[649,] 0.758305669 0.225550160 0.016144151
[650,] 0.033141021 0.181200966 0.785658002
[651,] 0.734044373 0.247396469 0.018559106
[652,] 0.721794605 0.264498919 0.013706440
[653,] 0.553894639 0.416084021 0.030021377
[654,] 0.704575062 0.280670762 0.014754188
[655,] 0.784605265 0.202701330 0.012693409
[656,] 0.364058197 0.242194057 0.393747807
[657,] 0.502647519 0.334605515 0.162746951
[658,] 0.569404185 0.380258024 0.050337788
[659,] 0.697757065 0.265312910 0.036930025
[660,] 0.547018111 0.229316875 0.223664999
[661,] 0.642048895 0.341428965 0.016522126
[662,] 0.719700396 0.253463775 0.026835863
[663,] 0.701393843 0.242855445 0.055750675
[664,] 0.769265771 0.213955358 0.016778814
[665,] 0.689460635 0.243378252 0.067161143
[666,] 0.851526499 0.133115768 0.015357792
[667,] 0.374183774 0.326841265 0.298974991
[668,] 0.688225508 0.294388175 0.017386310
[669,] 0.697292805 0.290245801 0.012461459
[670,] 0.712878227 0.256413788 0.030707981
[671,] 0.551790059 0.311600029 0.136609957
[672,] 0.761020362 0.216008246 0.022971401
[673,] 0.029637817 0.185390055 0.784972131
[674,] 0.591847301 0.373991072 0.034161657
[675,] 0.017979980 0.132802248 0.849217772
[676,] 0.718392730 0.231942534 0.049664702
[677,] 0.625083208 0.335215837 0.039700944
[678,] 0.005359347 0.061528239 0.933112442
[679,] 0.690653384 0.277063817 0.032282811
[680,] 0.679824829 0.267588049 0.052587099
[681,] 0.483124286 0.254323125 0.262552559
[682,] 0.606088638 0.380489945 0.013421422
[683,] 0.041287418 0.184351146 0.774361432
[684,] 0.734554648 0.241034150 0.024411196
[685,] 0.576634109 0.283820003 0.139545918
[686,] 0.517869115 0.457021803 0.025109112
[687,] 0.630589247 0.356545538 0.012865280
[688,] 0.573441625 0.198487729 0.228070661
[689,] 0.034592502 0.271100819 0.694306672
[690,] 0.229134277 0.282665551 0.488200247
[691,] 0.505351424 0.450729698 0.043918863
[692,] 0.656518161 0.301593244 0.041888531
[693,] 0.019458406 0.151604787 0.828936756
[694,] 0.614280343 0.354140639 0.031579021
[695,] 0.743561745 0.243615493 0.012822746
[696,] 0.530840099 0.453619450 0.015540477
[697,] 0.717552125 0.269667983 0.012779842
[698,] 0.528729022 0.458300710 0.012970277
[699,] 0.616581976 0.368080765 0.015337215
[700,] 0.763525188 0.203247458 0.033227362
[701,] 0.811458290 0.170570150 0.017971629
[702,] 0.736379683 0.243084565 0.020535793
[703,] 0.825493038 0.125058562 0.049448375
[704,] 0.636283398 0.332514673 0.031201920
[705,] 0.512157261 0.204436362 0.283406407
[706,] 0.741540372 0.226436496 0.032023143
[707,] 0.578290462 0.306084692 0.115624838
[708,] 0.695204556 0.272724688 0.032070804
[709,] 0.626609921 0.335278332 0.038111776
[710,] 0.481193244 0.351400495 0.167406276
[711,] 0.726115227 0.241697654 0.032187138
[712,] 0.784214020 0.187912703 0.027873253
[713,] 0.665576100 0.282750040 0.051673822
[714,] 0.407209069 0.399129063 0.193661898
[715,] 0.015025835 0.070884906 0.914089262
[716,] 0.062102497 0.176420286 0.761477232
[717,] 0.661046863 0.256363273 0.082589827
[718,] 0.812895536 0.161520049 0.025584443
[719,] 0.607525945 0.258000225 0.134473860
[720,] 0.088982813 0.320891559 0.590125620
[721,] 0.017146416 0.158441424 0.824412167
[722,] 0.796938777 0.191717178 0.011344074
[723,] 0.012640306 0.158670694 0.828688979
[724,] 0.105497487 0.144024864 0.750477672
[725,] 0.016324239 0.070329331 0.913346410
[726,] 0.785071373 0.178307533 0.036621060
[727,] 0.613692224 0.371078789 0.015228983
[728,] 0.721346021 0.253216565 0.025437428
[729,] 0.811574161 0.177132040 0.011293851
[730,] 0.650646091 0.314582229 0.034771714
[731,] 0.023436179 0.141944855 0.834618926
[732,] 0.063084349 0.321298003 0.615617633
[733,] 0.724969923 0.246814176 0.028215948
[734,] 0.253377289 0.176884145 0.569738507
[735,] 0.014454653 0.190135151 0.795410156
[736,] 0.716775179 0.251904219 0.031320583
[737,] 0.026170861 0.199228898 0.774600267
[738,] 0.021635287 0.066741616 0.911623120
[739,] 0.086301155 0.712955892 0.200742930
[740,] 0.017414348 0.115553193 0.867032528
[741,] 0.003551108 0.054295041 0.942153811
[742,] 0.011328262 0.091074482 0.897597253
[743,] 0.015558311 0.062192008 0.922249675
[744,] 0.028062606 0.141001686 0.830935657
[745,] 0.104890585 0.207834870 0.687274575
[746,] 0.740673482 0.224181086 0.035145443
[747,] 0.662953019 0.301784784 0.035262179
[748,] 0.701759160 0.262632728 0.035608090
[749,] 0.636939108 0.311908603 0.051152270
[750,] 0.907426953 0.085449658 0.007123331
[751,] 0.586903393 0.380435497 0.032661077
[752,] 0.048292458 0.251611233 0.700096309
[753,] 0.709898233 0.268744677 0.021357145
[754,] 0.681872070 0.278054923 0.040072959
[755,] 0.414913267 0.442489028 0.142597690
[756,] 0.582370996 0.341755837 0.075873211
[757,] 0.096357450 0.641212761 0.262429804
[758,] 0.617137372 0.322962552 0.059900083
[759,] 0.526890814 0.441258252 0.031850923
[760,] 0.296753168 0.655598640 0.047648214
[761,] 0.468253851 0.507787406 0.023958750
[762,] 0.003981981 0.053523038 0.942494988
[763,] 0.009133286 0.116706267 0.874160469
[764,] 0.431412190 0.526800990 0.041786790
[765,] 0.016267065 0.182926521 0.800806403
[766,] 0.011688456 0.153223664 0.835087895
[767,] 0.008352617 0.125425845 0.866221547
[768,] 0.009732574 0.132312104 0.857955277
[769,] 0.052354198 0.288671494 0.658974290
[770,] 0.219787270 0.730775416 0.049437329
[771,] 0.085213952 0.457141310 0.457644731
[772,] 0.018889783 0.172269627 0.808840573
[773,] 0.012524263 0.114488460 0.872987270
[774,] 0.549087226 0.378525019 0.072387747
[775,] 0.015517309 0.120231740 0.864250958
[776,] 0.244174883 0.371791959 0.384033173
[777,] 0.404637426 0.375482768 0.219879776
[778,] 0.697876394 0.260121882 0.042001773
[779,] 0.316024423 0.611568928 0.072406672
[780,] 0.714035869 0.276300311 0.009663889
[781,] 0.490677178 0.457610339 0.051712491
[782,] 0.228726938 0.478479028 0.292794108
[783,] 0.742719471 0.240201697 0.017078793
[784,] 0.009069383 0.125173151 0.865757465
[785,] 0.048352249 0.161103398 0.790544331
[786,] 0.015241093 0.040956721 0.943802178
[787,] 0.108127184 0.309209704 0.582663119
[788,] 0.056696225 0.512837350 0.430466413
[789,] 0.741909266 0.238123015 0.019967716
[790,] 0.277737319 0.522316337 0.199946359
[791,] 0.546965659 0.286999315 0.166035041
[792,] 0.582987964 0.399499834 0.017512238
[793,] 0.387568533 0.460340381 0.152091086
[794,] 0.806124330 0.183468878 0.010406788
[795,] 0.901607454 0.090106890 0.008285668
[796,] 0.545957029 0.372419327 0.081623606
[797,] 0.660033941 0.265745610 0.074220434
[798,] 0.240016654 0.366417170 0.393566161
[799,] 0.486998022 0.483074486 0.029927462
[800,] 0.784200668 0.202943057 0.012856266
[801,] 0.302528143 0.526563168 0.170908704
[802,] 0.782958567 0.203774840 0.013266605
[803,] 0.399390250 0.326705694 0.273904055
[804,] 0.008072992 0.067782402 0.924144685
[805,] 0.665593684 0.300296813 0.034109477
[806,] 0.819078028 0.171493351 0.009428653
[807,] 0.663441241 0.302863091 0.033695649
[808,] 0.738659680 0.242808536 0.018531732
[809,] 0.778854132 0.205092460 0.016053408
[810,] 0.834333181 0.154416263 0.011250518
[811,] 0.006842377 0.393771857 0.599385738
[812,] 0.697039843 0.291773140 0.011187001
[813,] 0.038783316 0.234850436 0.726366222
[814,] 0.765747368 0.218865439 0.015387150
[815,] 0.719089448 0.242046565 0.038863987
[816,] 0.399751991 0.484386384 0.115861639
[817,] 0.067980729 0.213048249 0.718971014
[818,] 0.672125041 0.305166662 0.022708315
[819,] 0.026808139 0.382368505 0.590823412
[820,] 0.762373149 0.220371827 0.017255075
[821,] 0.606857598 0.308439255 0.084703185
[822,] 0.506623387 0.343122751 0.150253922
[823,] 0.865714729 0.128527224 0.005757984
[824,] 0.754984319 0.234633952 0.010381723
[825,] 0.051504537 0.401025146 0.547470331
[826,] 0.606042385 0.340995848 0.052961782
[827,] 0.811354041 0.170437366 0.018208576
[828,] 0.316831797 0.309156924 0.374011278
[829,] 0.052038942 0.211435646 0.736525357
[830,] 0.059453975 0.293986261 0.646559775
[831,] 0.673472226 0.296368331 0.030159444
[832,] 0.779806018 0.202588648 0.017605305
[833,] 0.780097902 0.195587099 0.024315003
[834,] 0.047144596 0.233447105 0.719408274
[835,] 0.021748448 0.256097376 0.722154200
[836,] 0.039771423 0.229440466 0.730788112
[837,] 0.804702997 0.174497351 0.020799669
[838,] 0.823116422 0.160797164 0.016086392
[839,] 0.520647645 0.447730899 0.031621445
[840,] 0.833656430 0.158182532 0.008161014
[841,] 0.758349597 0.225730225 0.015920183
[842,] 0.621626258 0.357363939 0.021009769
[843,] 0.015911600 0.138426304 0.845662117
[844,] 0.383665740 0.566456079 0.049878221
[845,] 0.735361159 0.181534439 0.083104424
[846,] 0.664736390 0.313579172 0.021684486
[847,] 0.821814179 0.168417022 0.009768847
[848,] 0.736860275 0.249245644 0.013894134
[849,] 0.752317727 0.226985633 0.020696610
[850,] 0.531995714 0.384248346 0.083755895
[851,] 0.033954948 0.303342253 0.662702799
[852,] 0.829240024 0.156840488 0.013919509
[853,] 0.652971208 0.317670017 0.029358774
[854,] 0.566061556 0.267849207 0.166089207
[855,] 0.691170692 0.242308035 0.066521302
[856,] 0.741466880 0.235249460 0.023283634
[857,] 0.790603757 0.181120381 0.028275849
[858,] 0.084290326 0.318223178 0.597486496
[859,] 0.061207078 0.300653398 0.638139486
[860,] 0.042305630 0.218677804 0.739016533
[861,] 0.764521122 0.207675233 0.027803645
[862,] 0.857192397 0.129711196 0.013096456
[863,] 0.833825231 0.146968722 0.019206010
[864,] 0.838390052 0.149323300 0.012286605
[865,] 0.843835533 0.148924306 0.007240133
[866,] 0.056413107 0.238121703 0.705465198
[867,] 0.871076882 0.121573254 0.007349879
[868,] 0.822578132 0.166763559 0.010658319
[869,] 0.785861909 0.192233145 0.021905014
[870,] 0.008724355 0.026434552 0.964841068
[871,] 0.839410365 0.150934249 0.009655373
[872,] 0.597812116 0.322602957 0.079584956
[873,] 0.020949598 0.625166953 0.353883415
[874,] 0.660167575 0.317615628 0.022216778
[875,] 0.665248990 0.304262251 0.030488789
[876,] 0.749100864 0.219520539 0.031378672
[877,] 0.017309073 0.693213642 0.289477289
[878,] 0.025647543 0.237348348 0.737004101
[879,] 0.058569446 0.291133821 0.650296748
[880,] 0.149662256 0.355469495 0.494868219
[881,] 0.036283720 0.257547021 0.706169248
[882,] 0.412798673 0.450941086 0.136260241
[883,] 0.376405567 0.445025086 0.178569332
[884,] 0.381422967 0.515009344 0.103567682
[885,] 0.642960191 0.320721000 0.036318790
[886,] 0.429343343 0.532441437 0.038215294
[887,] 0.013661083 0.182435274 0.803903639
[888,] 0.062226616 0.370358020 0.567415357
[889,] 0.334494591 0.435549468 0.229956001
[890,] 0.494482279 0.464895010 0.040622685
[891,] 0.758038878 0.228332311 0.013628865
[892,] 0.798002720 0.191139534 0.010857748
[893,] 0.819336414 0.166248187 0.014415392
[894,] 0.402325720 0.551396489 0.046277765
[895,] 0.397307694 0.522367358 0.080324896
[896,] 0.630640447 0.332501113 0.036858410
[897,] 0.678322613 0.304569662 0.017107783
[898,] 0.769652188 0.211485267 0.018862549
[899,] 0.621092975 0.332652152 0.046254858
[900,] 0.075043656 0.216944814 0.708011508
[901,] 0.834044635 0.151520267 0.014435110
[902,] 0.681164980 0.276486874 0.042348132
[903,] 0.713643730 0.255166680 0.031189535
[904,] 0.640946388 0.334386855 0.024666727
[905,] 0.792447627 0.197303712 0.010248683
[906,] 0.820053101 0.165971473 0.013975372
[907,] 0.080250405 0.332333058 0.587416530
[908,] 0.006690641 0.515438557 0.477870792
[909,] 0.682287097 0.254693687 0.063019246
[910,] 0.811391652 0.169580132 0.019028248
[911,] 0.554551780 0.344799370 0.100648910
[912,] 0.751246989 0.212047622 0.036705412
[913,] 0.853521287 0.132888183 0.013590476
[914,] 0.005302475 0.065780386 0.928917110
[915,] 0.020323232 0.156127274 0.823549509
[916,] 0.012053826 0.221969500 0.765976667
[917,] 0.038802698 0.283204824 0.677992523
[918,] 0.464076817 0.403550625 0.132372528
[919,] 0.519212663 0.457464188 0.023323150
[920,] 0.088588730 0.417326212 0.494085073
[921,] 0.006641549 0.029397994 0.963960409
[922,] 0.378879368 0.363145560 0.257975072
[923,] 0.009353563 0.129851028 0.860795438
[924,] 0.056819472 0.227178112 0.716002464
[925,] 0.110809669 0.415678352 0.473511964
[926,] 0.032292277 0.246493012 0.721214652
[927,] 0.033090115 0.154548779 0.812361121
[928,] 0.010763329 0.099253036 0.889983594
[929,] 0.087815553 0.724184096 0.188000381
[930,] 0.664703250 0.281216770 0.054079946
[931,] 0.040987201 0.225705832 0.733307004
[932,] 0.595027924 0.355952859 0.049019203
[933,] 0.007895261 0.299610108 0.692494571
[934,] 0.705748975 0.209517911 0.084733091
[935,] 0.527987421 0.427402973 0.044609647
[936,] 0.521897793 0.443986923 0.034115300
[937,] 0.025025889 0.253630966 0.721343160
[938,] 0.052491017 0.451980650 0.495528340
[939,] 0.747829616 0.237765267 0.014405104
[940,] 0.031121174 0.359371871 0.609506965
[941,] 0.767607272 0.222367778 0.010024961
[942,] 0.047296014 0.216710091 0.735993862
[943,] 0.116640575 0.387175590 0.496183902
[944,] 0.741523266 0.226828218 0.031648476
[945,] 0.678192377 0.290569365 0.031238280
[946,] 0.710656822 0.243099794 0.046243411
[947,] 0.674408972 0.295957983 0.029633036
[948,] 0.053242799 0.251941115 0.694816113
[949,] 0.062997885 0.261824995 0.675177097
[950,] 0.864149809 0.075237341 0.060612809
[951,] 0.030155072 0.195603684 0.774241209
[952,] 0.030030627 0.193759248 0.776210189
[953,] 0.780095816 0.210613042 0.009291126
[954,] 0.574744523 0.284397721 0.140857786
[955,] 0.446179450 0.483434081 0.070386454
[956,] 0.042250428 0.181987375 0.775762260
[957,] 0.780425012 0.209406391 0.010168604
[958,] 0.008315480 0.136966452 0.854718029
[959,] 0.035646152 0.175206035 0.789147794
[960,] 0.052373525 0.337469429 0.610157013
[961,] 0.010167506 0.312194914 0.677637517
[962,] 0.503752232 0.424205095 0.072042644
[963,] 0.005107950 0.343574047 0.651318014
[964,] 0.048350185 0.248676464 0.702973306
[965,] 0.017623158 0.158988252 0.823388577
[966,] 0.712919116 0.239632472 0.047448393
[967,] 0.032781005 0.393243432 0.573975623
[968,] 0.069777504 0.486080319 0.444142163
[969,] 0.160720259 0.266962737 0.572317004
[970,] 0.003687713 0.215282291 0.781029999
[971,] 0.048487570 0.252211511 0.699300885
[972,] 0.059670929 0.420857608 0.519471467
[973,] 0.046221327 0.554995120 0.398783565
[974,] 0.030781215 0.121113934 0.848104775
[975,] 0.095984921 0.679882526 0.224132538
[976,] 0.053006031 0.471695095 0.475298882
[977,] 0.741906941 0.237720400 0.020372711
[978,] 0.630778909 0.243559361 0.125661746
[979,] 0.635750890 0.311198145 0.053050984
[980,] 0.089623235 0.349758297 0.560618520
[981,] 0.489892304 0.181114167 0.328993529
[982,] 0.160276324 0.520897985 0.318825722
[983,] 0.044517700 0.295632720 0.659849584
[984,] 0.081799850 0.140560403 0.777639687
[985,] 0.250482529 0.585067213 0.164450273
[986,] 0.028016176 0.193763331 0.778220475
[987,] 0.011098658 0.443802714 0.545098662
[988,] 0.014902527 0.176738471 0.808358967
[989,] 0.018482914 0.146490589 0.835026503
[990,] 0.771605432 0.193215162 0.035179432
[991,] 0.082916901 0.282854080 0.634229004
[992,] 0.070157155 0.174859077 0.754983783
[993,] 0.066881798 0.375990242 0.557127953
[994,] 0.468726456 0.460719168 0.070554391
[995,] 0.075051866 0.241681844 0.683266222
[996,] 0.885539830 0.107472286 0.006987905
[997,] 0.770649135 0.175067216 0.054283686
[998,] 0.638957083 0.328816861 0.032226048
[999,] 0.793376327 0.186073199 0.020550510
[1000,] 0.683820605 0.273054272 0.043125086
[1001,] 0.075747140 0.135222733 0.789030135
[1002,] 0.033204392 0.176235050 0.790560544
[1003,] 0.705810606 0.258288980 0.035900362
[1004,] 0.721265912 0.244558930 0.034175165
[1005,] 0.467285484 0.495345294 0.037369277
[1006,] 0.023715017 0.159071311 0.817213655
[1007,] 0.025879547 0.146693900 0.827426493
[1008,] 0.208130449 0.419160008 0.372709602
[1009,] 0.004474657 0.140405908 0.855119467
[1010,] 0.845923066 0.144716099 0.009360814
[1011,] 0.854556799 0.132893771 0.012549466
[1012,] 0.857011080 0.135159150 0.007829768
[1013,] 0.765419066 0.220139071 0.014441815
[1014,] 0.447153598 0.304295480 0.248550907
[1015,] 0.810410082 0.175759211 0.013830720
[1016,] 0.294865102 0.518378675 0.186756268
[1017,] 0.662799060 0.317873538 0.019327451
[1018,] 0.823953927 0.162191764 0.013854281
[1019,] 0.321085870 0.634402871 0.044511244
[1020,] 0.173536524 0.416085213 0.410378277
[1021,] 0.410304785 0.472986937 0.116708301
[1022,] 0.014095875 0.097467721 0.888436437
[1023,] 0.008825653 0.108371615 0.882802725
[1024,] 0.011094628 0.125243679 0.863661706
[1025,] 0.009848093 0.071998551 0.918153346
[1026,] 0.009324365 0.058383614 0.932292044
[1027,] 0.006915289 0.065766014 0.927318633
[1028,] 0.011704464 0.129107371 0.859188139
[1029,] 0.191471845 0.489617676 0.318910420
[1030,] 0.437329233 0.515689790 0.046980985
[1031,] 0.155909061 0.495252281 0.348838687
[1032,] 0.014158934 0.172512084 0.813329041
[1033,] 0.016945846 0.156059116 0.826995015
[1034,] 0.012943578 0.107907422 0.879149020
[1035,] 0.003425312 0.037315357 0.959259331
[1036,] 0.123322539 0.534880936 0.341796517
[1037,] 0.018149626 0.121930197 0.859920144
[1038,] 0.029133441 0.232953012 0.737913549
[1039,] 0.509424388 0.464987695 0.025587942
[1040,] 0.847399890 0.142716214 0.009883864
[1041,] 0.009216975 0.110424049 0.880358994
[1042,] 0.627851784 0.352682054 0.019466195
[1043,] 0.661112845 0.319194287 0.019692820
[1044,] 0.651131749 0.337833941 0.011034310
[1045,] 0.606443703 0.331950247 0.061606087
[1046,] 0.901437700 0.088982619 0.009579639
[1047,] 0.165792584 0.265988737 0.568218708
[1048,] 0.350496501 0.595707595 0.053795885
[1049,] 0.451283932 0.486888409 0.061827682
[1050,] 0.404297203 0.551849067 0.043853737
[1051,] 0.422101855 0.555410147 0.022488007
[1052,] 0.368496597 0.617059350 0.014444062
[1053,] 0.749138415 0.223020911 0.027840612
[1054,] 0.495985121 0.477385700 0.026629228
[1055,] 0.148565769 0.384742022 0.466692239
[1056,] 0.705219924 0.277716815 0.017063238
[1057,] 0.873998344 0.116958246 0.009043397
[1058,] 0.648769796 0.323172569 0.028057624
[1059,] 0.716428339 0.272221953 0.011349691
[1060,] 0.744376838 0.243740767 0.011882431
[1061,] 0.710265398 0.272037357 0.017697278
[1062,] 0.462801933 0.395749182 0.141448930
[1063,] 0.011305247 0.083548017 0.905146778
[1064,] 0.837005556 0.143742293 0.019252136
[1065,] 0.023754250 0.186261132 0.789984584
[1066,] 0.350668639 0.497043908 0.152287513
[1067,] 0.132117853 0.408446610 0.459435523
[1068,] 0.062667392 0.328768283 0.608564317
[1069,] 0.699588239 0.238029614 0.062382165
[1070,] 0.767206609 0.218507051 0.014286306
[1071,] 0.790168881 0.194717839 0.015113261
[1072,] 0.724053562 0.253390074 0.022556363
[1073,] 0.161875993 0.133297369 0.704826653
[1074,] 0.884258330 0.099349365 0.016392278
[1075,] 0.618946075 0.359517872 0.021536041
[1076,] 0.414838076 0.445502937 0.139658943
[1077,] 0.576803327 0.383495331 0.039701376
[1078,] 0.862563729 0.119935386 0.017500913
[1079,] 0.782965839 0.206418812 0.010615411
[1080,] 0.866265297 0.126788184 0.006946558
[1081,] 0.762917042 0.217767209 0.019315768
[1082,] 0.264079720 0.299606979 0.436313361
[1083,] 0.577363610 0.360030204 0.062606171
[1084,] 0.658824265 0.315252960 0.025922740
[1085,] 0.407850891 0.510694504 0.081454560
[1086,] 0.915010929 0.077468239 0.007520798
[1087,] 0.709141672 0.261965275 0.028893031
[1088,] 0.836461484 0.149317235 0.014221261
[1089,] 0.650770366 0.329695106 0.019534504
[1090,] 0.729382932 0.246694863 0.023922274
[1091,] 0.709064305 0.277904272 0.013031431
[1092,] 0.457779557 0.439090192 0.103130214
[1093,] 0.693325877 0.271344960 0.035329144
[1094,] 0.624092519 0.328709245 0.047198195
[1095,] 0.948709726 0.044155654 0.007134610
[1096,] 0.692150176 0.253633112 0.054216702
[1097,] 0.891404152 0.094055802 0.014540043
[1098,] 0.521345794 0.454268217 0.024385998
[1099,] 0.614050329 0.311371446 0.074578233
[1100,] 0.312456489 0.526498139 0.161045387
[1101,] 0.029529696 0.173922792 0.796547532
[1102,] 0.029033868 0.126339361 0.844626784
[1103,] 0.474796832 0.348304898 0.176898226
[1104,] 0.023109138 0.142292038 0.834598839
[1105,] 0.924488723 0.067173757 0.008337519
[1106,] 0.842259586 0.146854326 0.010886143
[1107,] 0.875726521 0.118556209 0.005717219
[1108,] 0.583904088 0.381918520 0.034177423
[1109,] 0.622680962 0.333428323 0.043890700
[1110,] 0.751523852 0.235621005 0.012855101
[1111,] 0.687879443 0.245809227 0.066311292
[1112,] 0.595959067 0.340209812 0.063831128
[1113,] 0.903584063 0.087067567 0.009348380
[1114,] 0.807685971 0.180639595 0.011674445
[1115,] 0.595219135 0.375748336 0.029032545
[1116,] 0.526074409 0.410020411 0.063905180
[1117,] 0.762462378 0.197535977 0.040001694
[1118,] 0.009494097 0.297148436 0.693357468
[1119,] 0.794024169 0.184892133 0.021083750
[1120,] 0.288474977 0.416628629 0.294896424
[1121,] 0.636263609 0.316341341 0.047395103
[1122,] 0.030853575 0.163496211 0.805650234
[1123,] 0.301415265 0.362258196 0.336326569
[1124,] 0.512188554 0.437773108 0.050038330
[1125,] 0.609929442 0.341258347 0.048812177
[1126,] 0.764739692 0.220197886 0.015062388
[1127,] 0.716484845 0.266752779 0.016762361
[1128,] 0.076436765 0.108063743 0.815499485
[1129,] 0.744881749 0.237989321 0.017128905
[1130,] 0.629457355 0.338160962 0.032381698
[1131,] 0.643865347 0.319136024 0.036998641
[1132,] 0.416920483 0.535184443 0.047895063
[1133,] 0.026498232 0.136318669 0.837183058
[1134,] 0.723133504 0.267444670 0.009421801
[1135,] 0.397025883 0.478129774 0.124844342
[1136,] 0.899013042 0.087277129 0.013709853
[1137,] 0.657513797 0.286601484 0.055884689
[1138,] 0.509506881 0.432277828 0.058215301
[1139,] 0.731372237 0.247423157 0.021204544
[1140,] 0.790783763 0.186662063 0.022554213
[1141,] 0.764000177 0.190558061 0.045441765
[1142,] 0.633131921 0.311699480 0.055168606
[1143,] 0.760603786 0.205223620 0.034172580
[1144,] 0.533130229 0.429701000 0.037168760
[1145,] 0.671892941 0.306310833 0.021796241
[1146,] 0.678772151 0.297341794 0.023886051
[1147,] 0.790891111 0.189333230 0.019775681
[1148,] 0.813379407 0.177444473 0.009176088
[1149,] 0.622629642 0.327997863 0.049372520
[1150,] 0.762727976 0.219711512 0.017560503
[1151,] 0.076731488 0.275786459 0.647482038
[1152,] 0.013659447 0.164937317 0.821403265
[1153,] 0.011114846 0.065945700 0.922939479
[1154,] 0.621272862 0.332733780 0.045993403
[1155,] 0.812854230 0.172944322 0.014201382
[1156,] 0.791622221 0.188394770 0.019982997
[1157,] 0.039305847 0.170131505 0.790562630
[1158,] 0.020256929 0.100694500 0.879048645
[1159,] 0.009183059 0.165461615 0.825355351
[1160,] 0.606466770 0.353571117 0.039962098
[1161,] 0.270282477 0.639129817 0.090587758
[1162,] 0.020572565 0.352221251 0.627206206
[1163,] 0.565793872 0.385477304 0.048728801
[1164,] 0.610840917 0.340073228 0.049085841
[1165,] 0.005303119 0.025504127 0.969192803
[1166,] 0.644659996 0.293141872 0.062198125
[1167,] 0.050423808 0.307581097 0.641995072
[1168,] 0.698069811 0.293180615 0.008749555
[1169,] 0.531202316 0.453209102 0.015588569
[1170,] 0.631494343 0.323697954 0.044807669
[1171,] 0.011896643 0.221497029 0.766606331
[1172,] 0.028502895 0.168173537 0.803323627
[1173,] 0.036312811 0.197571278 0.766115963
[1174,] 0.238364980 0.394613832 0.367021233
[1175,] 0.112753443 0.575356841 0.311889768
[1176,] 0.160078496 0.323924512 0.515996993
[1177,] 0.008219237 0.074798197 0.916982591
[1178,] 0.102024496 0.315189779 0.582785726
[1179,] 0.078852050 0.782535553 0.138612449
[1180,] 0.499624163 0.385612488 0.114763319
[1181,] 0.198580578 0.408642828 0.392776549
[1182,] 0.008349566 0.084733404 0.906917036
[1183,] 0.026813978 0.111633159 0.861552894
[1184,] 0.686077595 0.229543865 0.084378555
[1185,] 0.762653470 0.223747909 0.013598620
[1186,] 0.565591931 0.384176999 0.050231099
[1187,] 0.750431478 0.204896301 0.044672243
[1188,] 0.042952880 0.195057884 0.761989236
[1189,] 0.579215884 0.394578099 0.026205987
[1190,] 0.585337281 0.381652087 0.033010598
[1191,] 0.008177211 0.036754571 0.955068231
[1192,] 0.701463461 0.286055356 0.012481145
[1193,] 0.150967747 0.331424385 0.517607868
[1194,] 0.453155369 0.353894562 0.192950040
[1195,] 0.765083730 0.220541760 0.014374530
[1196,] 0.814858019 0.173952162 0.011189839
[1197,] 0.839789629 0.139455467 0.020754933
[1198,] 0.807367206 0.175731584 0.016901206
[1199,] 0.674161136 0.285455972 0.040382888
[1200,] 0.041874807 0.876139879 0.081985347
[1201,] 0.791340947 0.195170447 0.013488598
[1202,] 0.698644161 0.250077844 0.051278036
[1203,] 0.893629074 0.097774737 0.008596197
[1204,] 0.639261425 0.340448171 0.020290444
[1205,] 0.876137733 0.116173759 0.007688472
[1206,] 0.911177695 0.066748105 0.022074182
[1207,] 0.014181243 0.130333170 0.855485618
[1208,] 0.646388233 0.327261448 0.026350312
[1209,] 0.859702766 0.125393182 0.014904109
[1210,] 0.752650261 0.210778952 0.036570746
[1211,] 0.079928108 0.175437540 0.744634390
[1212,] 0.823441744 0.134682819 0.041875429
[1213,] 0.005097319 0.189879999 0.805022717
[1214,] 0.749551475 0.240972981 0.009475569
[1215,] 0.014842089 0.111901782 0.873256207
[1216,] 0.077893794 0.351291537 0.570814610
[1217,] 0.037886888 0.235136211 0.726976931
[1218,] 0.834496558 0.140687987 0.024815448
[1219,] 0.006931722 0.082650609 0.910417616
[1220,] 0.040701210 0.247830167 0.711468637
[1221,] 0.023833269 0.206068054 0.770098686
[1222,] 0.588744402 0.334078133 0.077177458
[1223,] 0.038959049 0.111784957 0.849255919
[1224,] 0.030950796 0.181511059 0.787538171
[1225,] 0.022112830 0.187415913 0.790471256
[1226,] 0.033384413 0.138505355 0.828110278
[1227,] 0.015448547 0.064221494 0.920329988
[1228,] 0.019862887 0.121276416 0.858860672
[1229,] 0.049721356 0.116943032 0.833335638
[1230,] 0.021505302 0.126151636 0.852343082
[1231,] 0.039654162 0.218744725 0.741601050
[1232,] 0.885929346 0.106036603 0.008034095
[1233,] 0.680744827 0.265941888 0.053313319
[1234,] 0.767603755 0.195879459 0.036516801
[1235,] 0.015705958 0.141409010 0.842885077
[1236,] 0.041453786 0.223188609 0.735357583
[1237,] 0.019334203 0.151316971 0.829348862
[1238,] 0.078339227 0.250120670 0.671540082
[1239,] 0.678461134 0.254392445 0.067146391
[1240,] 0.012347992 0.085606478 0.902045488
[1241,] 0.227963015 0.256874323 0.515162647
[1242,] 0.504468262 0.417403221 0.078128517
[1243,] 0.020527722 0.183226511 0.796245754
[1244,] 0.054660752 0.288164794 0.657174408
[1245,] 0.028997233 0.191148371 0.779854417
[1246,] 0.110183343 0.674440563 0.215376079
[1247,] 0.033714563 0.263423264 0.702862144
[1248,] 0.200252593 0.673151195 0.126596242
[1249,] 0.054607630 0.695264935 0.250127405
[1250,] 0.003940074 0.041068599 0.954991281
[1251,] 0.278002053 0.608598232 0.113399737
[1252,] 0.004659801 0.135110468 0.860229790
[1253,] 0.089564137 0.809399605 0.101036273
[1254,] 0.075718842 0.672988534 0.251292646
[1255,] 0.018033022 0.219773442 0.762193561
[1256,] 0.047885060 0.662465274 0.289649725
[1257,] 0.493731737 0.460298985 0.045969252
[1258,] 0.025023019 0.194599971 0.780377030
[1259,] 0.081724264 0.393518269 0.524757445
[1260,] 0.057435032 0.839374304 0.103190638
[1261,] 0.034833234 0.238693506 0.726473272
[1262,] 0.030792005 0.299130678 0.670077324
[1263,] 0.007968295 0.080639750 0.911391914
[1264,] 0.004725884 0.020746417 0.974527717
[1265,] 0.055494372 0.575104356 0.369401276
[1266,] 0.043384384 0.457314670 0.499300987
[1267,] 0.261228532 0.676703036 0.062068440
[1268,] 0.085241489 0.450438648 0.464319825
[1269,] 0.012329390 0.093817204 0.893853426
[1270,] 0.117448986 0.540971756 0.341579258
[1271,] 0.140192434 0.801619112 0.058188487
[1272,] 0.086804762 0.757004380 0.156190842
[1273,] 0.030358264 0.418341160 0.551300585
[1274,] 0.045447499 0.291722327 0.662830174
[1275,] 0.092401698 0.446484089 0.461114258
[1276,] 0.056006912 0.519755244 0.424237847
[1277,] 0.109335817 0.571708560 0.318955660
[1278,] 0.028968340 0.317482680 0.653549016
[1279,] 0.132284254 0.604836524 0.262879193
[1280,] 0.048513334 0.275206268 0.676280379
[1281,] 0.029305935 0.226908982 0.743785083
[1282,] 0.084648147 0.768235862 0.147115961
[1283,] 0.404274076 0.470304519 0.125421375
[1284,] 0.058956120 0.474675685 0.466368258
[1285,] 0.041787118 0.430924684 0.527288198
[1286,] 0.642705798 0.310680509 0.046613712
[1287,] 0.067202747 0.587877870 0.344919413
[1288,] 0.019652316 0.214341998 0.766005695
[1289,] 0.066267796 0.292905569 0.640826643
[1290,] 0.074198395 0.768623471 0.157178164
[1291,] 0.012824317 0.141831905 0.845343769
[1292,] 0.041341584 0.547840595 0.410817802
[1293,] 0.002533095 0.251177907 0.746288955
[1294,] 0.007461114 0.146664053 0.845874906
[1295,] 0.110218726 0.759576917 0.130204394
[1296,] 0.064716041 0.635164559 0.300119400
[1297,] 0.044259071 0.462895185 0.492845803
[1298,] 0.027566612 0.393570006 0.578863442
[1299,] 0.068683818 0.549498081 0.381818056
[1300,] 0.137791991 0.788428009 0.073780045
[1301,] 0.220800579 0.684408069 0.094791360
[1302,] 0.046592701 0.489583731 0.463823587
[1303,] 0.016701769 0.119578645 0.863719583
[1304,] 0.047606692 0.523900390 0.428492904
[1305,] 0.106312677 0.789934635 0.103752680
[1306,] 0.091389090 0.684661508 0.223949403
[1307,] 0.025181735 0.215518996 0.759299278
[1308,] 0.015085860 0.084790431 0.900123656
[1309,] 0.095274590 0.740332186 0.164393231
[1310,] 0.039639637 0.330599517 0.629760802
[1311,] 0.036241312 0.680155933 0.283602774
[1312,] 0.040406663 0.354675710 0.604917645
[1313,] 0.045095947 0.563736320 0.391167730
[1314,] 0.174724162 0.763205051 0.062070768
[1315,] 0.371633440 0.587849140 0.040517464
[1316,] 0.138345599 0.784023404 0.077630974
[1317,] 0.069251470 0.721814394 0.208934113
[1318,] 0.054912813 0.375247896 0.569839299
[1319,] 0.009397729 0.092777833 0.897824407
[1320,] 0.120777071 0.557368755 0.321854174
[1321,] 0.103679098 0.844801962 0.051518977
[1322,] 0.096616745 0.614505291 0.288877994
[1323,] 0.067782551 0.542931139 0.389286280
[1324,] 0.050858818 0.664351106 0.284790069
[1325,] 0.048278600 0.507906616 0.443814784
[1326,] 0.033829086 0.502612412 0.463558525
[1327,] 0.120353900 0.516137660 0.363508463
[1328,] 0.446441412 0.275765687 0.277792901
[1329,] 0.045253843 0.659855187 0.294890970
[1330,] 0.135492459 0.756967604 0.107539982
[1331,] 0.077033773 0.604181767 0.318784475
[1332,] 0.007501379 0.054462120 0.938036501
[1333,] 0.053672370 0.743361056 0.202966586
[1334,] 0.083124772 0.667897701 0.248977572
[1335,] 0.037252907 0.438082576 0.524664521
[1336,] 0.109229378 0.398865521 0.491905153
[1337,] 0.162743032 0.549675405 0.287581593
[1338,] 0.109591790 0.683415234 0.206992969
[1339,] 0.336389631 0.354731530 0.308878869
[1340,] 0.047809754 0.589866996 0.362323284
[1341,] 0.140838280 0.486806512 0.372355253
[1342,] 0.108276188 0.694365740 0.197358117
[1343,] 0.077730745 0.609048009 0.313221186
[1344,] 0.259602338 0.579042852 0.161354780
[1345,] 0.053380322 0.478854537 0.467765182
[1346,] 0.065705843 0.548787594 0.385506600
[1347,] 0.046977092 0.387534142 0.565488815
[1348,] 0.107490368 0.752882123 0.139627546
[1349,] 0.013381178 0.148194388 0.838424385
[1350,] 0.121447496 0.462836504 0.415716052
[1351,] 0.004604685 0.021141492 0.974253833
[1352,] 0.749591470 0.219673350 0.030735137
[1353,] 0.367358059 0.570570827 0.062071089
[1354,] 0.055503424 0.613979161 0.330517411
[1355,] 0.023669105 0.168991387 0.807339549
[1356,] 0.027662231 0.348962426 0.623375356
[1357,] 0.104335740 0.746674478 0.148989752
[1358,] 0.799753249 0.171502873 0.028743831
[1359,] 0.595887959 0.381722152 0.022389879
[1360,] 0.230336443 0.703223467 0.066440105
[1361,] 0.178734273 0.772599995 0.048665736
[1362,] 0.037525326 0.287347883 0.675126791
[1363,] 0.014494497 0.144107625 0.841397882
[1364,] 0.169723213 0.793165743 0.037111055
[1365,] 0.054244578 0.580832541 0.364922881
[1366,] 0.033935767 0.327466995 0.638597250
[1367,] 0.011055548 0.094466224 0.894478202
[1368,] 0.891857088 0.098796852 0.009346029
[1369,] 0.011844151 0.208421633 0.779734254
[1370,] 0.013030191 0.183837757 0.803132117
[1371,] 0.011106759 0.140766770 0.848126471
[1372,] 0.033046298 0.281882256 0.685071468
[1373,] 0.102104910 0.587601900 0.310293168
[1374,] 0.509963036 0.465242714 0.024794256
[1375,] 0.090071134 0.525908589 0.384020269
[1376,] 0.244747236 0.652530253 0.102722496
[1377,] 0.250407606 0.579616547 0.169975862
[1378,] 0.422631651 0.548702180 0.028666167
[1379,] 0.052143801 0.520945072 0.426911116
[1380,] 0.042898763 0.232781246 0.724319935
[1381,] 0.013114567 0.139643624 0.847241819
[1382,] 0.006046931 0.228188828 0.765764236
[1383,] 0.005957672 0.028934283 0.965108037
[1384,] 0.033738360 0.177785367 0.788476288
[1385,] 0.006620579 0.098005347 0.895374060
[1386,] 0.007330225 0.382376671 0.610293090
[1387,] 0.193243951 0.664395332 0.142360657
[1388,] 0.391762108 0.568976581 0.039261293
[1389,] 0.032278914 0.348055750 0.619665325
[1390,] 0.007795620 0.098159708 0.894044638
[1391,] 0.118625648 0.666704297 0.214670092
[1392,] 0.058146894 0.497184962 0.444668114
[1393,] 0.270431429 0.696793556 0.032775007
[1394,] 0.150908574 0.579077184 0.270014226
[1395,] 0.125081852 0.777324080 0.097594097
[1396,] 0.039949231 0.286679953 0.673370838
[1397,] 0.411745489 0.564377904 0.023876611
[1398,] 0.764449716 0.220184550 0.015365734
[1399,] 0.171695769 0.740810096 0.087494195
[1400,] 0.098102085 0.673660219 0.228237748
[1401,] 0.190332606 0.747442603 0.062224835
[1402,] 0.491418660 0.481584340 0.026997037
[1403,] 0.149403945 0.815209031 0.035386961
[1404,] 0.509497464 0.464485705 0.026016833
[1405,] 0.167585015 0.781779349 0.050635677
[1406,] 0.147614256 0.748386800 0.103998959
[1407,] 0.174277082 0.431648791 0.394074112
[1408,] 0.369557500 0.465649664 0.164792880
[1409,] 0.331039757 0.640570164 0.028390091
[1410,] 0.293375820 0.676002264 0.030621907
[1411,] 0.336212128 0.540613413 0.123174474
[1412,] 0.390456438 0.576195300 0.033348277
[1413,] 0.087659232 0.406216800 0.506123960
[1414,] 0.463394523 0.518799305 0.017806137
[1415,] 0.335840464 0.640512586 0.023646940
[1416,] 0.074503779 0.427000046 0.498496175
[1417,] 0.824689269 0.152268946 0.023041809
[1418,] 0.483542085 0.449185073 0.067272887
[1419,] 0.191995367 0.784739614 0.023265004
[1420,] 0.010544044 0.179263920 0.810191989
[1421,] 0.006457062 0.077505730 0.916037202
[1422,] 0.285799712 0.688153028 0.026047291
[1423,] 0.322055310 0.579979718 0.097964980
[1424,] 0.004000179 0.051487409 0.944512427
[1425,] 0.003895722 0.014083184 0.982021093
[1426,] 0.239781275 0.647435963 0.112782806
[1427,] 0.376549929 0.509537697 0.113912366
[1428,] 0.258463711 0.582160890 0.159375414
[1429,] 0.538341343 0.439574629 0.022084009
[1430,] 0.095874391 0.380373985 0.523751616
[1431,] 0.422915757 0.527773142 0.049311113
[1432,] 0.006771035 0.121283948 0.871945024
[1433,] 0.066212319 0.350215554 0.583572090
[1434,] 0.150844499 0.772937477 0.076218016
[1435,] 0.009845016 0.137366831 0.852788210
[1436,] 0.364364892 0.438373476 0.197261587
[1437,] 0.572082937 0.336787850 0.091129169
[1438,] 0.374422520 0.550088286 0.075489134
[1439,] 0.516907334 0.464320481 0.018772194
[1440,] 0.150474563 0.758018732 0.091506757
[1441,] 0.004491609 0.063620120 0.931888342
[1442,] 0.078520738 0.671876907 0.249602392
[1443,] 0.074304707 0.544478238 0.381217033
[1444,] 0.442016125 0.491220385 0.066763520
[1445,] 0.012667763 0.228732809 0.758599401
[1446,] 0.019436294 0.354152322 0.626411378
[1447,] 0.008172711 0.615269065 0.376558244
[1448,] 0.328676403 0.649457693 0.021865906
[1449,] 0.003563414 0.050633922 0.945802689
[1450,] 0.063018084 0.412832379 0.524149537
[1451,] 0.026882814 0.190662488 0.782454729
[1452,] 0.008756864 0.132834211 0.858408928
[1453,] 0.865364552 0.123896487 0.010738970
[1454,] 0.012204195 0.114642046 0.873153746
[1455,] 0.012429526 0.090764485 0.896805942
[1456,] 0.504600406 0.477838844 0.017560797
[1457,] 0.121695563 0.790403008 0.087901421
[1458,] 0.013720375 0.108921856 0.877357781
[1459,] 0.165993661 0.752777874 0.081228472
[1460,] 0.014447577 0.155503303 0.830049157
[1461,] 0.009056293 0.076578654 0.914365053
[1462,] 0.006821659 0.044259761 0.948918581
[1463,] 0.016350057 0.092892870 0.890757084
[1464,] 0.020689704 0.210122243 0.769188046
[1465,] 0.156864017 0.807817042 0.035318960
[1466,] 0.268633842 0.697274625 0.034091547
[1467,] 0.009303796 0.084483765 0.906212389
[1468,] 0.015578078 0.152430266 0.831991613
[1469,] 0.008139219 0.128190771 0.863669991
[1470,] 0.355049968 0.579673290 0.065276742
[1471,] 0.119902276 0.613257587 0.266840160
[1472,] 0.005415562 0.095413134 0.899171293
[1473,] 0.420897663 0.550270617 0.028831745
[1474,] 0.146316856 0.464522779 0.389160395
[1475,] 0.476337522 0.477794468 0.045868039
[1476,] 0.015914313 0.141743049 0.842342615
[1477,] 0.075448051 0.518611193 0.405940741
[1478,] 0.126146317 0.787026107 0.086827613
[1479,] 0.036155894 0.447315454 0.516528666
[1480,] 0.017514223 0.202961534 0.779524267
[1481,] 0.308774859 0.625946164 0.065278962
[1482,] 0.237204686 0.649924695 0.112870581
[1483,] 0.043885790 0.323233336 0.632880926
[1484,] 0.023242969 0.535121322 0.441635698
[1485,] 0.219339833 0.751747549 0.028912604
[1486,] 0.011623455 0.107743762 0.880632818
[1487,] 0.004068418 0.081501544 0.914430022
[1488,] 0.325616628 0.632061243 0.042322155
[1489,] 0.005311225 0.302319229 0.692369580
[1490,] 0.009381661 0.125761122 0.864857197
[1491,] 0.004978184 0.559470534 0.435551226
[1492,] 0.005507347 0.090167344 0.904325366
[1493,] 0.292391896 0.686714292 0.020893829
[1494,] 0.023409408 0.176027089 0.800563514
[1495,] 0.220528767 0.482793808 0.296677470
[1496,] 0.020936724 0.293231517 0.685831785
[1497,] 0.077989638 0.368623078 0.553387284
[1498,] 0.024405925 0.291001350 0.684592724
[1499,] 0.110305242 0.755569339 0.134125412
[1500,] 0.214270666 0.444143951 0.341585338
[1501,] 0.012315159 0.190827549 0.796857238
[1502,] 0.545393944 0.426556587 0.028049445
[1503,] 0.335359037 0.632859349 0.031781662
[1504,] 0.542943656 0.407336146 0.049720187
[1505,] 0.006944065 0.061353583 0.931702316
[1506,] 0.452532321 0.509521544 0.037946142
[1507,] 0.486498982 0.488540620 0.024960393
[1508,] 0.443085790 0.522206247 0.034707922
[1509,] 0.268677562 0.698780656 0.032541752
[1510,] 0.858662844 0.128871679 0.012465425
[1511,] 0.005871352 0.058309026 0.935819566
[1512,] 0.096326239 0.789057851 0.114615925
[1513,] 0.008800886 0.116338104 0.874861002
[1514,] 0.019631388 0.336758137 0.643610477
[1515,] 0.416113704 0.445697963 0.138188288
[1516,] 0.439652830 0.532817841 0.027529350
[1517,] 0.029455235 0.372733772 0.597810984
[1518,] 0.024052601 0.069501504 0.906445861
[1519,] 0.062398188 0.781402171 0.156199604
[1520,] 0.012918028 0.174622744 0.812459230
[1521,] 0.010925880 0.123017460 0.866056621
[1522,] 0.246239141 0.705085695 0.048675217
[1523,] 0.173684537 0.647166193 0.179149315
[1524,] 0.654546797 0.320583582 0.024869667
[1525,] 0.265224338 0.692956805 0.041818827
[1526,] 0.041127812 0.446032137 0.512840033
[1527,] 0.170232728 0.760249972 0.069517344
[1528,] 0.190515921 0.554675698 0.254808366
[1529,] 0.299521029 0.621712089 0.078766920
[1530,] 0.026060492 0.084842473 0.889096975
[1531,] 0.060859978 0.796913207 0.142226785
[1532,] 0.005938067 0.039923683 0.954138279
[1533,] 0.026016206 0.386600912 0.587382853
[1534,] 0.086907849 0.505444169 0.407647938
[1535,] 0.117200583 0.547147572 0.335651904
[1536,] 0.051160406 0.364710510 0.584129095
[1537,] 0.266273975 0.683580518 0.050145563
[1538,] 0.063367844 0.549495280 0.387136877
[1539,] 0.021599175 0.268923223 0.709477544
[1540,] 0.070275448 0.656845391 0.272879153
[1541,] 0.196022049 0.638723969 0.165253982
[1542,] 0.251884282 0.717510760 0.030604983
[1543,] 0.097079724 0.791428208 0.111492090
[1544,] 0.107491806 0.713106155 0.179402024
[1545,] 0.043693114 0.455458403 0.500848472
[1546,] 0.561222494 0.389817387 0.048960116
[1547,] 0.022636747 0.212207049 0.765156209
[1548,] 0.452770442 0.494525641 0.052703869
[1549,] 0.625931501 0.350594282 0.023474256
[1550,] 0.476048023 0.414494693 0.109457321
[1551,] 0.096597113 0.327789694 0.575613201
[1552,] 0.050739300 0.238549307 0.710711420
[1553,] 0.040759832 0.384084553 0.575155616
[1554,] 0.046038907 0.596955955 0.357005119
[1555,] 0.011739200 0.121777326 0.866483450
[1556,] 0.015207543 0.089020453 0.895771980
[1557,] 0.009255027 0.063946471 0.926798522
[1558,] 0.081408530 0.254043430 0.664547980
[1559,] 0.078643925 0.417572141 0.503783941
[1560,] 0.152471662 0.709623933 0.137904361
[1561,] 0.007787506 0.079202175 0.913010299
[1562,] 0.053302154 0.526384413 0.420313448
[1563,] 0.086498156 0.423992038 0.489509791
[1564,] 0.210267588 0.681052268 0.108680122
[1565,] 0.041452050 0.108511873 0.850036025
[1566,] 0.058132593 0.424661547 0.517205834
[1567,] 0.017741226 0.150613576 0.831645191
[1568,] 0.250227600 0.694376707 0.055395748
[1569,] 0.251488775 0.683447182 0.065064028
[1570,] 0.073996142 0.388017654 0.537986219
[1571,] 0.136509210 0.807396710 0.056094125
[1572,] 0.169151217 0.777053952 0.053794868
[1573,] 0.034615580 0.421961755 0.543422699
[1574,] 0.131006107 0.682459295 0.186534628
[1575,] 0.057868108 0.509797692 0.432334214
[1576,] 0.448887855 0.498907685 0.052204460
[1577,] 0.007532431 0.049961362 0.942506254
[1578,] 0.007586694 0.093982510 0.898430824
[1579,] 0.054723479 0.536414683 0.408861846
[1580,] 0.081727743 0.814975560 0.103296652
[1581,] 0.012134058 0.120451823 0.867414057
[1582,] 0.020846739 0.301119775 0.678033471
[1583,] 0.089170650 0.705587983 0.205241352
[1584,] 0.070347227 0.835722327 0.093930483
[1585,] 0.027386330 0.237370983 0.735242665
[1586,] 0.273168623 0.653409481 0.073421866
[1587,] 0.032772943 0.204884380 0.762342632
[1588,] 0.040819310 0.440033674 0.519147038
[1589,] 0.005770677 0.173399270 0.820830047
[1590,] 0.014162022 0.146517023 0.839320898
[1591,] 0.028396897 0.330519080 0.641084015
[1592,] 0.272600412 0.698387384 0.029012188
[1593,] 0.240594015 0.596210659 0.163195312
[1594,] 0.007420936 0.077629544 0.914949536
[1595,] 0.418539584 0.546009481 0.035450976
[1596,] 0.053297088 0.402654618 0.544048309
[1597,] 0.044423461 0.353780329 0.601796210
[1598,] 0.043048181 0.295016021 0.661935747
[1599,] 0.013088494 0.121724866 0.865186632
[1600,] 0.128732845 0.689016044 0.182251126
[1601,] 0.029313682 0.400445074 0.570241272
[1602,] 0.052476164 0.544298112 0.403225750
[1603,] 0.033572108 0.361230254 0.605197668
[1604,] 0.432654172 0.427985549 0.139360234
[1605,] 0.066340789 0.508548200 0.425110996
[1606,] 0.007620957 0.075497091 0.916881979
[1607,] 0.076558992 0.425675780 0.497765273
[1608,] 0.169536725 0.764200330 0.066262953
[1609,] 0.221055046 0.738559902 0.040385049
[1610,] 0.166399643 0.585762978 0.247837394
[1611,] 0.005569338 0.056793954 0.937636673
[1612,] 0.628414512 0.324326515 0.047258925
[1613,] 0.014449443 0.192362964 0.793187618
[1614,] 0.014562467 0.148495212 0.836942255
[1615,] 0.073272355 0.560149372 0.366578251
[1616,] 0.208454058 0.480112761 0.311433196
[1617,] 0.068579860 0.511855304 0.419564813
[1618,] 0.286144584 0.648159564 0.065695882
[1619,] 0.067590669 0.499043345 0.433366030
[1620,] 0.324576557 0.591714859 0.083708555
[1621,] 0.032897394 0.305758715 0.661343873
[1622,] 0.071008563 0.698817849 0.230173603
[1623,] 0.271727979 0.474433988 0.253838003
[1624,] 0.175635010 0.761456609 0.062908344
[1625,] 0.061893567 0.658291996 0.279814422
[1626,] 0.164949566 0.727624893 0.107425541
[1627,] 0.239031479 0.661725879 0.099242628
[1628,] 0.064599335 0.456284344 0.479116380
[1629,] 0.214332581 0.488674492 0.296992958
[1630,] 0.078649722 0.483770013 0.437580287
[1631,] 0.150848433 0.518315077 0.330836445
[1632,] 0.060646389 0.472722858 0.466630727
[1633,] 0.134283334 0.771858990 0.093857720
[1634,] 0.124371007 0.715426385 0.160202637
[1635,] 0.021118874 0.189666003 0.789215147
[1636,] 0.015667917 0.158989429 0.825342655
[1637,] 0.270904273 0.669056296 0.060039401
[1638,] 0.055484906 0.494712591 0.449802458
[1639,] 0.418894112 0.557767570 0.023338363
[1640,] 0.019960465 0.179786563 0.800252914
[1641,] 0.152080238 0.771284282 0.076635472
[1642,] 0.598167121 0.377039105 0.024793738
[1643,] 0.126936734 0.799496531 0.073566757
[1644,] 0.006001060 0.065236039 0.928762913
[1645,] 0.056140814 0.867496848 0.076362297
[1646,] 0.088069029 0.491585910 0.420345098
[1647,] 0.081269845 0.508868992 0.409861177
[1648,] 0.005617425 0.639260650 0.355121881
[1649,] 0.375466138 0.561998546 0.062535301
[1650,] 0.015864348 0.204678193 0.779457510
[1651,] 0.024478273 0.154421762 0.821099937
[1652,] 0.488397509 0.460318536 0.051283963
[1653,] 0.342640936 0.362566888 0.294792145
[1654,] 0.008336363 0.113714613 0.877948999
[1655,] 0.065858975 0.545784950 0.388356030
[1656,] 0.055393629 0.496165395 0.448440939
[1657,] 0.120818689 0.771411359 0.107769936
[1658,] 0.086747438 0.813829064 0.099423490
[1659,] 0.209519804 0.734366477 0.056113761
[1660,] 0.173750997 0.543823063 0.282425970
[1661,] 0.010656640 0.094114482 0.895228863
[1662,] 0.415754110 0.450278819 0.133967131
[1663,] 0.038546041 0.311529845 0.649924099
[1664,] 0.073408484 0.578735411 0.347856104
[1665,] 0.407610565 0.518625796 0.073763639
[1666,] 0.066927440 0.572536886 0.360535681
[1667,] 0.540327251 0.388804585 0.070868164
[1668,] 0.012208360 0.166820973 0.820970714
[1669,] 0.221245393 0.707090676 0.071663924
[1670,] 0.029415606 0.283413112 0.687171280
[1671,] 0.187746093 0.608796358 0.203457564
[1672,] 0.026904840 0.289342314 0.683752835
[1673,] 0.339701384 0.630865633 0.029432962
[1674,] 0.263240397 0.712523818 0.024235725
[1675,] 0.009694538 0.125256613 0.865048885
[1676,] 0.089879796 0.304053456 0.606066704
[1677,] 0.608658910 0.375253350 0.016087769
[1678,] 0.005767151 0.063060090 0.931172788
[1679,] 0.027102828 0.270375431 0.702521682
[1680,] 0.413681477 0.551949143 0.034369394
[1681,] 0.429472536 0.527668715 0.042858727
[1682,] 0.260941237 0.582385540 0.156673267
[1683,] 0.031114664 0.247559547 0.721325755
[1684,] 0.020807886 0.153787628 0.825404465
[1685,] 0.019093225 0.296396554 0.684510171
[1686,] 0.006899412 0.061387971 0.931712568
[1687,] 0.019987229 0.266288310 0.713724494
[1688,] 0.405748874 0.526245296 0.068005838
[1689,] 0.124977924 0.790241420 0.084780686
[1690,] 0.007783435 0.083876386 0.908340216
[1691,] 0.034321893 0.508940935 0.456737220
[1692,] 0.081788465 0.210023344 0.708188176
[1693,] 0.108731225 0.533768058 0.357500762
[1694,] 0.369188040 0.563674331 0.067137577
[1695,] 0.006152387 0.113721237 0.880126417
[1696,] 0.195307896 0.508670986 0.296021104
[1697,] 0.171427563 0.765867710 0.062704705
[1698,] 0.282555163 0.684805989 0.032638844
[1699,] 0.434139043 0.536424458 0.029436471
[1700,] 0.254565090 0.716893852 0.028541056
[1701,] 0.525549531 0.393123358 0.081327103
[1702,] 0.451801568 0.524391830 0.023806604
[1703,] 0.471674204 0.496838421 0.031487428
[1704,] 0.706371844 0.275577813 0.018050304
[1705,] 0.017167311 0.223307684 0.759525001
[1706,] 0.060782123 0.846978486 0.092239410
[1707,] 0.122215346 0.602783382 0.275001258
[1708,] 0.004443679 0.301308215 0.694248080
[1709,] 0.079480335 0.717858553 0.202661097
[1710,] 0.018675916 0.197907731 0.783416331
[1711,] 0.017689109 0.275154710 0.707156181
[1712,] 0.031009976 0.294371217 0.674618781
[1713,] 0.006117423 0.053662330 0.940220177
[1714,] 0.762194991 0.218437806 0.019367203
[1715,] 0.455358863 0.520011663 0.024629483
[1716,] 0.029603669 0.320056081 0.650340259
[1717,] 0.075154558 0.514781415 0.410064012
[1718,] 0.019678410 0.269560933 0.710760713
[1719,] 0.019910634 0.242902637 0.737186730
[1720,] 0.021018462 0.077919185 0.901062310
[1721,] 0.005625254 0.049877338 0.944497466
[1722,] 0.036787413 0.329555541 0.633657038
[1723,] 0.008770611 0.074514762 0.916714609
[1724,] 0.010673783 0.107057817 0.882268429
[1725,] 0.006381728 0.059316032 0.934302211
[1726,] 0.009456478 0.052899659 0.937643826
[1727,] 0.148640290 0.782881141 0.068478554
[1728,] 0.070008360 0.558749974 0.371241719
[1729,] 0.005844504 0.056866575 0.937288880
[1730,] 0.102408469 0.685301244 0.212290272
[1731,] 0.600403130 0.350813985 0.048782878
[1732,] 0.072877228 0.344867975 0.582254767
[1733,] 0.103486985 0.542690217 0.353822798
[1734,] 0.055392165 0.321928203 0.622679651
[1735,] 0.094544895 0.348922372 0.556532681
[1736,] 0.027653323 0.291619897 0.680726826
[1737,] 0.006126903 0.081884921 0.911988199
[1738,] 0.010890390 0.098089606 0.891020060
[1739,] 0.029810745 0.339141756 0.631047487
[1740,] 0.162063614 0.774833322 0.063103050
[1741,] 0.053931750 0.574705541 0.371362686
[1742,] 0.017272502 0.176005781 0.806721747
[1743,] 0.005642097 0.064608783 0.929749191
[1744,] 0.010043243 0.081388839 0.908567965
[1745,] 0.017815316 0.109013662 0.873171031
[1746,] 0.043606035 0.351650000 0.604743958
[1747,] 0.127476573 0.704802871 0.167720601
[1748,] 0.011496682 0.157971501 0.830531836
[1749,] 0.009571889 0.155744910 0.834683239
[1750,] 0.013927120 0.134502962 0.851569891
[1751,] 0.027382441 0.172070205 0.800547302
[1752,] 0.004232844 0.209059715 0.786707461
[1753,] 0.007161489 0.063970596 0.928867936
[1754,] 0.008642673 0.076555192 0.914802074
[1755,] 0.021882094 0.115237154 0.862880707
[1756,] 0.027491467 0.150813743 0.821694791
[1757,] 0.011059072 0.087548062 0.901392877
[1758,] 0.089231335 0.815258980 0.095509700
[1759,] 0.044461500 0.476089329 0.479449183
[1760,] 0.166457608 0.795747876 0.037794497
[1761,] 0.047567125 0.458783805 0.493649125
[1762,] 0.031787880 0.218640670 0.749571443
[1763,] 0.118850939 0.721676171 0.159472913
[1764,] 0.139132246 0.657914340 0.202953398
[1765,] 0.005366823 0.317532122 0.677101076
[1766,] 0.110965468 0.283077449 0.605957091
[1767,] 0.003772086 0.070766099 0.925461829
[1768,] 0.009760309 0.148209408 0.842030287
[1769,] 0.003840953 0.102982566 0.893176496
[1770,] 0.017179932 0.177646384 0.805173695
[1771,] 0.026871871 0.171653420 0.801474750
[1772,] 0.216689736 0.739393234 0.043917019
[1773,] 0.599448323 0.369101077 0.031450611
[1774,] 0.015651224 0.070397317 0.913951397
[1775,] 0.023828026 0.154107198 0.822064757
[1776,] 0.009510525 0.121661432 0.868828058
[1777,] 0.012449351 0.192587212 0.794963479
[1778,] 0.003654138 0.313894093 0.682451785
[1779,] 0.048998754 0.377768755 0.573232472
[1780,] 0.076246768 0.478147477 0.445605695
[1781,] 0.066732958 0.503067195 0.430199802
[1782,] 0.025929607 0.161678970 0.812391460
[1783,] 0.011203538 0.066938981 0.921857476
[1784,] 0.582244098 0.364577472 0.053178407
[1785,] 0.028341709 0.271544456 0.700113833
[1786,] 0.044887867 0.574577987 0.380534142
[1787,] 0.092591852 0.675213277 0.232194856
[1788,] 0.150376529 0.770173073 0.079450428
[1789,] 0.210494980 0.582662582 0.206842437
[1790,] 0.099432252 0.503561258 0.397006482
[1791,] 0.125760317 0.504421353 0.369818330
[1792,] 0.036045294 0.505552649 0.458402067
[1793,] 0.017542390 0.043755773 0.938701868
[1794,] 0.055138007 0.559707463 0.385154516
[1795,] 0.305141747 0.666870534 0.027987702
[1796,] 0.005931167 0.054323673 0.939745188
[1797,] 0.665902257 0.124490544 0.209607199
[1798,] 0.006869483 0.060148269 0.932982266
[1799,] 0.005641119 0.088396288 0.905962527
[1800,] 0.051889587 0.307005018 0.641105413
[1801,] 0.004229462 0.037240110 0.958530426
[1802,] 0.365860581 0.488666236 0.145473123
[1803,] 0.069894090 0.722788036 0.207317814
[1804,] 0.198927313 0.730436206 0.070636451
[1805,] 0.187803850 0.658785462 0.153410673
[1806,] 0.189340755 0.584445179 0.226214021
[1807,] 0.207010910 0.750712752 0.042276323
[1808,] 0.057629306 0.416131198 0.526239514
[1809,] 0.014505065 0.124505900 0.860988975
[1810,] 0.034589026 0.196351230 0.769059718
[1811,] 0.020432353 0.285138220 0.694429398
[1812,] 0.011563811 0.162001565 0.826434612
[1813,] 0.004975476 0.124770693 0.870253801
[1814,] 0.016617352 0.197918206 0.785464466
[1815,] 0.011393275 0.124610133 0.863996625
[1816,] 0.005357023 0.131431192 0.863211751
[1817,] 0.041591294 0.271626264 0.686782420
[1818,] 0.003553116 0.650039017 0.346407861
[1819,] 0.301325381 0.675155580 0.023519093
[1820,] 0.005413517 0.048477437 0.946109056
[1821,] 0.008037807 0.086000994 0.905961156
[1822,] 0.005058437 0.076933995 0.918007553
[1823,] 0.002728095 0.103074923 0.894197047
[1824,] 0.012422101 0.766079724 0.221498206
[1825,] 0.025317973 0.224606425 0.750075638
[1826,] 0.003605978 0.076735348 0.919658720
[1827,] 0.033078771 0.186302751 0.780618489
[1828,] 0.007695421 0.070130549 0.922174037
[1829,] 0.005147722 0.075899571 0.918952644
[1830,] 0.008535707 0.106384680 0.885079682
[1831,] 0.006003321 0.034677017 0.959319711
[1832,] 0.005596610 0.067728497 0.926674902
[1833,] 0.008943851 0.086317271 0.904738903
[1834,] 0.029469365 0.339568913 0.630961716
[1835,] 0.004915264 0.070390463 0.924694240
[1836,] 0.043123890 0.289353102 0.667523026
[1837,] 0.032693677 0.379014254 0.588292062
[1838,] 0.208130136 0.605768263 0.186101601
[1839,] 0.574737251 0.399259865 0.026002897
[1840,] 0.013454357 0.193584844 0.792960823
[1841,] 0.006112917 0.074716955 0.919170141
[1842,] 0.005210694 0.087482013 0.907307267
[1843,] 0.014778021 0.165157512 0.820064485
[1844,] 0.015743792 0.140182436 0.844073772
[1845,] 0.006249683 0.151944995 0.841805339
[1846,] 0.028966432 0.406868339 0.564165235
[1847,] 0.011791182 0.083623983 0.904584885
[1848,] 0.049547903 0.492534906 0.457917184
[1849,] 0.279029727 0.577974558 0.142995730
[1850,] 0.057902806 0.232006177 0.710091054
[1851,] 0.445737243 0.493125826 0.061136954
[1852,] 0.059210412 0.254922032 0.685867548
[1853,] 0.205062091 0.713139296 0.081798606
[1854,] 0.219901398 0.682944417 0.097154118
[1855,] 0.054832108 0.540496945 0.404670954
[1856,] 0.062219076 0.430378258 0.507402658
[1857,] 0.005142325 0.044485055 0.950372577
[1858,] 0.238562480 0.728512228 0.032925297
[1859,] 0.177647620 0.717460573 0.104891829
[1860,] 0.003690185 0.031915717 0.964394152
[1861,] 0.133901536 0.400093198 0.466005236
[1862,] 0.198418409 0.728591740 0.072989866
[1863,] 0.008101020 0.111552283 0.880346715
[1864,] 0.016017411 0.105266899 0.878715634
[1865,] 0.110961564 0.615437686 0.273600787
[1866,] 0.006646120 0.048470985 0.944882870
[1867,] 0.005154769 0.051742692 0.943102598
[1868,] 0.007646106 0.069483727 0.922870100
[1869,] 0.004449073 0.046699427 0.948851466
[1870,] 0.011493372 0.086127609 0.902378976
[1871,] 0.018527437 0.094690271 0.886782348
[1872,] 0.007674900 0.083972111 0.908352971
[1873,] 0.006051415 0.051127896 0.942820609
[1874,] 0.028988397 0.237036914 0.733974636
[1875,] 0.010694462 0.063536040 0.925769567
[1876,] 0.090865411 0.611453056 0.297681540
[1877,] 0.010571396 0.072354391 0.917074203
[1878,] 0.785175622 0.203930408 0.010893969
[1879,] 0.816690028 0.174432769 0.008877239
[1880,] 0.019323915 0.210358351 0.770317674
[1881,] 0.916658700 0.076758943 0.006582323
[1882,] 0.918768466 0.074564189 0.006667286
[1883,] 0.578575253 0.359396338 0.062028449
[1884,] 0.457356662 0.375005215 0.167638123
[1885,] 0.015054412 0.160124972 0.824820638
[1886,] 0.021661283 0.189302415 0.789036334
[1887,] 0.812765002 0.176226661 0.011008335
[1888,] 0.008428824 0.560364604 0.431206584
[1889,] 0.688432813 0.294822633 0.016744558
[1890,] 0.869402826 0.121813804 0.008783408
[1891,] 0.547948599 0.420328140 0.031723265
[1892,] 0.649145782 0.327128112 0.023726095
[1893,] 0.730272353 0.261895508 0.007832116
[1894,] 0.754911125 0.231994003 0.013094857
[1895,] 0.008410793 0.096685842 0.894903421
[1896,] 0.036068887 0.244167551 0.719763517
[1897,] 0.013304818 0.192650005 0.794045210
[1898,] 0.058392782 0.350605339 0.591001868
[1899,] 0.033982303 0.261321366 0.704696357
[1900,] 0.626460612 0.353652716 0.019886721
[1901,] 0.026304860 0.297690272 0.676004887
[1902,] 0.640760422 0.338671237 0.020568360
[1903,] 0.568512976 0.305300325 0.126186684
[1904,] 0.003893433 0.362607211 0.633499324
[1905,] 0.474893779 0.470597655 0.054508571
[1906,] 0.744255364 0.229660690 0.026083944
[1907,] 0.519861758 0.469743758 0.010394459
[1908,] 0.775764883 0.214877456 0.009357622
[1909,] 0.022890273 0.141776994 0.835332751
[1910,] 0.063775778 0.226022959 0.710201263
[1911,] 0.739215612 0.250086933 0.010697465
[1912,] 0.796826839 0.190021783 0.013151386
[1913,] 0.632796824 0.345205873 0.021997277
[1914,] 0.492955267 0.475001067 0.032043677
[1915,] 0.704239905 0.274949312 0.020810751
[1916,] 0.596457005 0.392644078 0.010898979
[1917,] 0.668104291 0.310276419 0.021619251
[1918,] 0.735049248 0.252034098 0.012916587
[1919,] 0.479143232 0.489267737 0.031588972
[1920,] 0.741419435 0.242098376 0.016482148
[1921,] 0.034545567 0.211647242 0.753807127
[1922,] 0.795516729 0.195478559 0.009004676
[1923,] 0.491160572 0.388139099 0.120700300
[1924,] 0.560047865 0.415833384 0.024118757
[1925,] 0.543849289 0.439330876 0.016819838
[1926,] 0.773535371 0.200824752 0.025639897
[1927,] 0.756557047 0.225224152 0.018218793
[1928,] 0.359327883 0.629226983 0.011445127
[1929,] 0.764613509 0.224061877 0.011324604
[1930,] 0.638082623 0.296237051 0.065680310
[1931,] 0.843134046 0.142375648 0.014490282
[1932,] 0.490246028 0.494266212 0.015487761
[1933,] 0.450122923 0.435264617 0.114612430
[1934,] 0.707493484 0.280202091 0.012304457
[1935,] 0.476815194 0.430378318 0.092806429
[1936,] 0.816633105 0.168684304 0.014682597
[1937,] 0.915298283 0.076750346 0.007951410
[1938,] 0.751779139 0.239112318 0.009108564
[1939,] 0.614379346 0.364192843 0.021427749
[1940,] 0.742399216 0.245948091 0.011652633
[1941,] 0.016327281 0.207375184 0.776297569
[1942,] 0.021048442 0.221476838 0.757474780
[1943,] 0.914729774 0.079146877 0.006123400
[1944,] 0.706692934 0.274999470 0.018307604
[1945,] 0.476119459 0.473771006 0.050109584
[1946,] 0.278666079 0.411652803 0.309681088
[1947,] 0.452266902 0.523552477 0.024180647
[1948,] 0.279566914 0.454720736 0.265712380
[1949,] 0.786238194 0.203198299 0.010563537
[1950,] 0.785673380 0.204992861 0.009333804
[1951,] 0.043110684 0.349702746 0.607186556
[1952,] 0.015176826 0.174941689 0.809881449
[1953,] 0.396355063 0.578884661 0.024760323
[1954,] 0.757258177 0.222162127 0.020579711
[1955,] 0.034167174 0.198838770 0.766994059
[1956,] 0.727568269 0.261654437 0.010777324
[1957,] 0.579686403 0.377855152 0.042458404
[1958,] 0.628940105 0.338570297 0.032489639
[1959,] 0.666753471 0.169347197 0.163899347
[1960,] 0.638925195 0.338113219 0.022961572
[1961,] 0.417439491 0.427371740 0.155188754
[1962,] 0.659024596 0.320666015 0.020309392
[1963,] 0.765207529 0.219826102 0.014966404
[1964,] 0.720627308 0.262755573 0.016617065
[1965,] 0.847891927 0.145435914 0.006672166
[1966,] 0.027522678 0.307074457 0.665402830
[1967,] 0.662348688 0.326203376 0.011447949
[1968,] 0.836140394 0.156828105 0.007031469
[1969,] 0.538005888 0.321671575 0.140322581
[1970,] 0.838231683 0.154396981 0.007371277
[1971,] 0.052011117 0.264199734 0.683789194
[1972,] 0.688197553 0.296660721 0.015141764
[1973,] 0.740871847 0.249643654 0.009484556
[1974,] 0.882892609 0.110306434 0.006800923
[1975,] 0.399558216 0.398775131 0.201666698
[1976,] 0.779253066 0.203735545 0.017011367
[1977,] 0.621287644 0.355895370 0.022816988
[1978,] 0.033901572 0.278536499 0.687561929
[1979,] 0.756666183 0.222137094 0.021196723
[1980,] 0.067393690 0.236355364 0.696250975
[1981,] 0.668275654 0.296292692 0.035431702
[1982,] 0.763251543 0.217256695 0.019491751
[1983,] 0.547466815 0.392104119 0.060429074
[1984,] 0.766812742 0.227194339 0.005992859
[1985,] 0.014128095 0.133162886 0.852709055
[1986,] 0.017718475 0.122137249 0.860144317
[1987,] 0.495884478 0.434103668 0.070011906
[1988,] 0.026074817 0.173192292 0.800732851
[1989,] 0.015249687 0.142643139 0.842107117
[1990,] 0.018820025 0.149592817 0.831587136
[1991,] 0.008110508 0.230402708 0.761486828
[1992,] 0.005154565 0.031336520 0.963508904
[1993,] 0.513202667 0.460324436 0.026472850
[1994,] 0.644204557 0.342302352 0.013493137
[1995,] 0.865692139 0.126508161 0.007799707
[1996,] 0.534279943 0.399539530 0.066180512
[1997,] 0.875273407 0.117123127 0.007603510
[1998,] 0.635853291 0.343002677 0.021143980
[1999,] 0.779055178 0.207857475 0.013087350
[2000,] 0.123500809 0.683010638 0.193488523
[2001,] 0.602736592 0.364685148 0.032578241
[2002,] 0.761447549 0.224536523 0.014015898
[2003,] 0.610204816 0.369421422 0.020373804
[2004,] 0.293992996 0.565822542 0.140184447
[2005,] 0.016952928 0.199558556 0.783488512
[2006,] 0.022153519 0.174837351 0.803009093
[2007,] 0.011622559 0.097126655 0.891250730
[2008,] 0.014641381 0.158196986 0.827161610
[2009,] 0.023618363 0.265562773 0.710818887
[2010,] 0.034685679 0.230971992 0.734342337
[2011,] 0.040000193 0.323807806 0.636191964
[2012,] 0.715689600 0.239441976 0.044868387
[2013,] 0.606735706 0.377205908 0.016058423
[2014,] 0.780798733 0.206965610 0.012235682
[2015,] 0.871633947 0.119783163 0.008582898
[2016,] 0.032692455 0.196518987 0.770788550
[2017,] 0.024756603 0.225405917 0.749837458
[2018,] 0.601811707 0.383851737 0.014336609
[2019,] 0.565779567 0.400372803 0.033847671
[2020,] 0.722512245 0.264903098 0.012584600
[2021,] 0.027526822 0.200045735 0.772427499
[2022,] 0.018195512 0.100185774 0.881618679
[2023,] 0.015298801 0.237304911 0.747396290
[2024,] 0.004293004 0.632853210 0.362853795
[2025,] 0.026517430 0.180477098 0.793005466
[2026,] 0.020263406 0.405370742 0.574365854
[2027,] 0.596040666 0.393430173 0.010529168
[2028,] 0.047141444 0.313693672 0.639164865
[2029,] 0.642059565 0.334972501 0.022967899
[2030,] 0.027126810 0.212690070 0.760183156
[2031,] 0.847879291 0.144459218 0.007661528
[2032,] 0.793577015 0.196584687 0.009838293
[2033,] 0.029413564 0.296588689 0.673997700
[2034,] 0.059270330 0.377294421 0.563435256
[2035,] 0.013916828 0.152750060 0.833333135
[2036,] 0.007286211 0.414905697 0.577808082
[2037,] 0.067110740 0.373822123 0.559067130
[2038,] 0.420772314 0.367859840 0.211367846
[2039,] 0.018415965 0.193697318 0.787886739
[2040,] 0.042929512 0.399427593 0.557642937
[2041,] 0.039093379 0.225473195 0.735433400
[2042,] 0.026263986 0.225454241 0.748281837
[2043,] 0.014696887 0.159552291 0.825750828
[2044,] 0.012606154 0.143315196 0.844078660
[2045,] 0.850401521 0.141378462 0.008220076
[2046,] 0.436048716 0.502910614 0.061040651
[2047,] 0.069192283 0.459333986 0.471473753
[2048,] 0.046897072 0.343088806 0.610014141
[2049,] 0.007768104 0.347899526 0.644332409
[2050,] 0.005413617 0.279043734 0.715542674
[2051,] 0.029920474 0.197181180 0.772898316
[2052,] 0.014068432 0.135238037 0.850693524
[2053,] 0.023895752 0.191587612 0.784516633
[2054,] 0.066869512 0.340825886 0.592304647
[2055,] 0.039314460 0.307911634 0.652773917
[2056,] 0.028732385 0.418764204 0.552503407
[2057,] 0.023655392 0.522998691 0.453345925
[2058,] 0.026005153 0.121296898 0.852697968
[2059,] 0.012577527 0.141712084 0.845710397
[2060,] 0.020398112 0.142782226 0.836819649
[2061,] 0.023987480 0.123421595 0.852590919
[2062,] 0.024335628 0.190741643 0.784922719
[2063,] 0.092482664 0.391070843 0.516446471
[2064,] 0.041855607 0.199439362 0.758704960
[2065,] 0.033379082 0.238354906 0.728266001
[2066,] 0.026799016 0.115742050 0.857458889
[2067,] 0.055848781 0.366826177 0.577325046
[2068,] 0.006114439 0.085228987 0.908656538
[2069,] 0.021275114 0.163875833 0.814849079
[2070,] 0.004758708 0.050544880 0.944696367
[2071,] 0.014868161 0.179035291 0.806096494
[2072,] 0.025005508 0.191804469 0.783190012
[2073,] 0.031301953 0.245824128 0.722873867
[2074,] 0.064958587 0.401757300 0.533284128
[2075,] 0.040916923 0.265909135 0.693173945
[2076,] 0.130209044 0.291759610 0.578031301
[2077,] 0.055871256 0.345581621 0.598547101
[2078,] 0.479925662 0.503703654 0.016370660
[2079,] 0.573003352 0.408669382 0.018327251
[2080,] 0.675863564 0.301992714 0.022143705
[2081,] 0.165161222 0.464772373 0.370066404
[2082,] 0.079017885 0.352860719 0.568121374
[2083,] 0.025739770 0.193705559 0.780554712
[2084,] 0.712014675 0.263220429 0.024764923
[2085,] 0.820601702 0.167016566 0.012381749
[2086,] 0.662088156 0.253874600 0.084037259
[2087,] 0.537399471 0.435645550 0.026954997
[2088,] 0.579393387 0.396667302 0.023939315
[2089,] 0.673624754 0.286539972 0.039835304
[2090,] 0.591753900 0.389224708 0.019021407
[2091,] 0.632930219 0.333845168 0.033224642
[2092,] 0.269323111 0.587252438 0.143424422
[2093,] 0.629415333 0.350728035 0.019856682
[2094,] 0.855426669 0.125500575 0.019072773
[2095,] 0.025687719 0.194852501 0.779459834
[2096,] 0.038675532 0.242045045 0.719279468
[2097,] 0.658689141 0.328302860 0.013007967
[2098,] 0.455415040 0.520251989 0.024332961
[2099,] 0.536937118 0.438399345 0.024663551
[2100,] 0.032203611 0.156262815 0.811533570
[2101,] 0.639331043 0.337643266 0.023025740
[2102,] 0.325144738 0.529747963 0.145107239
[2103,] 0.637473583 0.345387042 0.017139396
[2104,] 0.711935520 0.269468606 0.018595882
[2105,] 0.796800315 0.173279345 0.029920327
[2106,] 0.441127330 0.412854671 0.146017984
[2107,] 0.394972861 0.484478354 0.120548740
[2108,] 0.481511325 0.462188989 0.056299675
[2109,] 0.402142346 0.486046314 0.111811303
[2110,] 0.629899085 0.327415645 0.042685285
[2111,] 0.447334617 0.493495822 0.059169568
[2112,] 0.386646360 0.367542833 0.245810807
[2113,] 0.401256233 0.528996408 0.069747359
[2114,] 0.630999506 0.324175358 0.044825159
[2115,] 0.017187091 0.080402911 0.902409971
[2116,] 0.513653338 0.429727286 0.056619372
[2117,] 0.662222207 0.288829952 0.048947848
[2118,] 0.249279946 0.640959322 0.109760746
[2119,] 0.423471421 0.465750754 0.110777788
[2120,] 0.485492200 0.452328205 0.062179603
[2121,] 0.046322197 0.188337088 0.765340745
[2122,] 0.484723240 0.429325193 0.085951552
[2123,] 0.660884678 0.258121759 0.080993555
[2124,] 0.721711695 0.234820098 0.043468252
[2125,] 0.007747868 0.108964086 0.883288085
[2126,] 0.110889949 0.523584306 0.365525723
[2127,] 0.014732349 0.185478225 0.799789429
[2128,] 0.701239526 0.275274158 0.023486309
[2129,] 0.017137555 0.071638465 0.911224008
[2130,] 0.609228492 0.356112272 0.034659255
[2131,] 0.576027751 0.371748418 0.052223820
[2132,] 0.765615880 0.194729313 0.039654847
[2133,] 0.518500984 0.424085915 0.057413083
[2134,] 0.569537222 0.261710405 0.168752328
[2135,] 0.057756521 0.189097524 0.753145933
[2136,] 0.445977867 0.392330617 0.161691517
[2137,] 0.847790778 0.134553418 0.017655833
[2138,] 0.696420372 0.250205636 0.053374019
[2139,] 0.426840514 0.351675928 0.221483588
[2140,] 0.594252646 0.382054508 0.023692859
[2141,] 0.547247946 0.414681166 0.038070906
[2142,] 0.632877052 0.290302426 0.076820493
[2143,] 0.737304330 0.226350293 0.036345351
[2144,] 0.663720608 0.284545511 0.051733896
[2145,] 0.664091825 0.290506452 0.045401722
[2146,] 0.687820196 0.294881463 0.017298343
[2147,] 0.754318058 0.225985005 0.019696929
[2148,] 0.432967037 0.416298866 0.150734112
[2149,] 0.180487111 0.714512110 0.105000734
[2150,] 0.750535667 0.230126724 0.019337619
[2151,] 0.722071528 0.260273367 0.017655099
[2152,] 0.646238565 0.299726039 0.054035407
[2153,] 0.572147071 0.395651698 0.032201234
[2154,] 0.626534045 0.337217808 0.036248144
[2155,] 0.657755852 0.294704974 0.047539171
[2156,] 0.179043978 0.272323638 0.548632383
[2157,] 0.579173386 0.392177403 0.028649200
[2158,] 0.024017947 0.170556203 0.805425882
[2159,] 0.671727300 0.288141489 0.040131234
[2160,] 0.472375661 0.480974823 0.046649523
[2161,] 0.597036839 0.351568013 0.051395103
[2162,] 0.343136907 0.618728817 0.038134266
[2163,] 0.020779571 0.116780609 0.862439811
[2164,] 0.614313960 0.255642295 0.130043820
[2165,] 0.047415141 0.411864072 0.540720761
[2166,] 0.410157621 0.537989855 0.051852539
[2167,] 0.648252487 0.299235493 0.052512020
[2168,] 0.638610184 0.252189875 0.109199911
[2169,] 0.309840858 0.582443714 0.107715458
[2170,] 0.511586547 0.407376587 0.081036858
[2171,] 0.592353642 0.317122996 0.090523355
[2172,] 0.639412761 0.316843390 0.043743875
[2173,] 0.590012074 0.332130492 0.077857383
[2174,] 0.459359676 0.460976064 0.079664297
[2175,] 0.530519962 0.439439535 0.030040532
[2176,] 0.524070442 0.338746578 0.137183025
[2177,] 0.349441677 0.429253161 0.221305117
[2178,] 0.678456724 0.280039847 0.041503396
[2179,] 0.734905779 0.237236783 0.027857451
[2180,] 0.629588962 0.188750580 0.181660414
[2181,] 0.439627081 0.500475168 0.059897788
[2182,] 0.455642819 0.511536956 0.032820258
[2183,] 0.729614735 0.233200312 0.037184939
[2184,] 0.858221173 0.117366828 0.024411993
[2185,] 0.720389068 0.223106474 0.056504469
[2186,] 0.720128894 0.264383554 0.015487519
[2187,] 0.689076245 0.283515483 0.027408257
[2188,] 0.804307997 0.161584020 0.034107979
[2189,] 0.669229627 0.316236943 0.014533403
[2190,] 0.520237684 0.359076142 0.120686226
[2191,] 0.638655961 0.345990270 0.015353747
[2192,] 0.252372712 0.694757521 0.052869763
[2193,] 0.514393628 0.459593147 0.026013223
[2194,] 0.410786062 0.546840727 0.042373259
[2195,] 0.511392415 0.452405542 0.036202017
[2196,] 0.011868545 0.104623221 0.883508265
[2197,] 0.533711016 0.396983713 0.069305263
[2198,] 0.017718436 0.140340149 0.841941357
[2199,] 0.401352644 0.569193721 0.029453611
[2200,] 0.466873318 0.450632066 0.082494654
[2201,] 0.161484823 0.476422369 0.362092763
[2202,] 0.452013195 0.527375877 0.020610936
[2203,] 0.605209291 0.346542150 0.048248567
[2204,] 0.691061556 0.263548523 0.045389935
[2205,] 0.685544074 0.283641189 0.030814683
[2206,] 0.586051345 0.373055935 0.040892694
[2207,] 0.701922238 0.257955134 0.040122684
[2208,] 0.864619255 0.125895664 0.009485024
[2209,] 0.612839699 0.342625320 0.044534955
[2210,] 0.014395761 0.113725655 0.871878564
[2211,] 0.566687286 0.411229819 0.022082899
[2212,] 0.427445054 0.553888917 0.018666066
[2213,] 0.784142852 0.192353711 0.023503419
[2214,] 0.490695536 0.342711717 0.166592732
[2215,] 0.076197252 0.245451659 0.678351104
[2216,] 0.008411071 0.077704079 0.913884819
[2217,] 0.023444997 0.158764869 0.817790091
[2218,] 0.047150888 0.261062771 0.691786349
[2219,] 0.621476352 0.352000266 0.026523354
[2220,] 0.256632358 0.681803167 0.061564524
[2221,] 0.509850621 0.475352943 0.014796478
[2222,] 0.366754383 0.575465381 0.057780214
[2223,] 0.336270362 0.633216560 0.030513091
[2224,] 0.322934121 0.401256531 0.275809348
[2225,] 0.253503948 0.413575172 0.332920879
[2226,] 0.746637344 0.235491410 0.017871203
[2227,] 0.319323331 0.655508578 0.025168106
[2228,] 0.363223881 0.565280080 0.071496010
[2229,] 0.467157394 0.502584696 0.030257935
[2230,] 0.239799500 0.489992499 0.270208031
[2231,] 0.725357413 0.251444161 0.023198456
[2232,] 0.014130989 0.119454324 0.866414666
[2233,] 0.545257330 0.409157455 0.045585182
[2234,] 0.311193079 0.651361585 0.037445344
[2235,] 0.611164272 0.368133992 0.020701760
[2236,] 0.602391899 0.365173250 0.032434881
[2237,] 0.435702413 0.510456622 0.053841025
[2238,] 0.003851038 0.078061976 0.918087006
[2239,] 0.637716234 0.321788222 0.040495522
[2240,] 0.597132325 0.341429353 0.061438311
[2241,] 0.017605627 0.234867737 0.747526646
[2242,] 0.062007613 0.305013925 0.632978499
[2243,] 0.612814069 0.351291716 0.035894286
[2244,] 0.462173700 0.454490423 0.083335862
[2245,] 0.591293395 0.391837567 0.016869044
[2246,] 0.809449375 0.173868448 0.016682217
[2247,] 0.562514424 0.412324756 0.025160810
[2248,] 0.844033182 0.138071716 0.017895106
[2249,] 0.775691032 0.207801655 0.016507341
[2250,] 0.022139648 0.145777822 0.832082570
[2251,] 0.842316329 0.144696951 0.012986751
[2252,] 0.685188711 0.273370057 0.041441210
[2253,] 0.568614185 0.386402339 0.044983447
[2254,] 0.414363086 0.479055732 0.106581129
[2255,] 0.628712475 0.328695327 0.042592205
[2256,] 0.632571220 0.341644883 0.025783883
[2257,] 0.023034154 0.236144945 0.740820944
[2258,] 0.019997442 0.174387991 0.805614531
[2259,] 0.652307332 0.319986850 0.027705815
[2260,] 0.900256038 0.089512646 0.010231323
[2261,] 0.421438038 0.460550904 0.118011065
[2262,] 0.093685851 0.364023089 0.542291105
[2263,] 0.087251253 0.416723281 0.496025473
[2264,] 0.527771175 0.451598108 0.020630706
[2265,] 0.621751308 0.358229250 0.020019433
[2266,] 0.017015781 0.171850592 0.811133683
[2267,] 0.283792973 0.266688675 0.449518263
[2268,] 0.018712828 0.120110378 0.861176848
[2269,] 0.007033353 0.107334957 0.885631740
[2270,] 0.004181688 0.049966048 0.945852280
[2271,] 0.020637598 0.156825989 0.822536409
[2272,] 0.011116886 0.122372225 0.866510928
[2273,] 0.014876870 0.068364523 0.916758597
[2274,] 0.337005824 0.549254596 0.113739572
[2275,] 0.514105320 0.466944247 0.018950462
[2276,] 0.066884883 0.726458013 0.206657127
[2277,] 0.787110507 0.184450373 0.028439175
[2278,] 0.472256601 0.509228528 0.018514853
[2279,] 0.540070772 0.430287838 0.029641354
[2280,] 0.488015682 0.419622660 0.092361674
[2281,] 0.070084296 0.156731308 0.773184359
[2282,] 0.556495547 0.410183072 0.033321347
[2283,] 0.417893738 0.554609239 0.027497031
[2284,] 0.542362928 0.423350304 0.034286775
[2285,] 0.386658758 0.580273092 0.033068150
[2286,] 0.485171080 0.441597760 0.073231153
[2287,] 0.515779853 0.430994958 0.053225253
[2288,] 0.100804426 0.798503757 0.100691743
[2289,] 0.482858598 0.503047347 0.014094096
[2290,] 0.009809545 0.429378629 0.560811877
[2291,] 0.037204459 0.424696416 0.538099110
[2292,] 0.003050657 0.041558780 0.955390573
[2293,] 0.002021384 0.127736166 0.870242417
[2294,] 0.009927512 0.085840113 0.904232383
[2295,] 0.012492569 0.139749140 0.847758293
[2296,] 0.007340993 0.090177491 0.902481496
[2297,] 0.008141491 0.107746035 0.884112537
[2298,] 0.123887904 0.207766384 0.668345749
[2299,] 0.046343852 0.277400523 0.676255643
[2300,] 0.052025136 0.502633631 0.445341229
[2301,] 0.025990494 0.230585009 0.743424475
[2302,] 0.013912850 0.124818429 0.861268699
[2303,] 0.009634398 0.720596910 0.269768625
[2304,] 0.648572206 0.281927884 0.069499947
[2305,] 0.007216946 0.024862265 0.967920721
[2306,] 0.648472965 0.328088850 0.023438172
[2307,] 0.035654601 0.199761391 0.764584064
[2308,] 0.013179041 0.139368385 0.847452641
[2309,] 0.133587837 0.475519449 0.390892744
[2310,] 0.047038920 0.290094346 0.662866771
[2311,] 0.009404801 0.109627485 0.880967736
[2312,] 0.013128430 0.136036515 0.850835025
[2313,] 0.023457967 0.146516323 0.830025733
[2314,] 0.052860197 0.256519794 0.690620065
[2315,] 0.305123955 0.470841110 0.224034935
[2316,] 0.310606688 0.582793713 0.106599621
[2317,] 0.007615601 0.706195414 0.286188990
[2318,] 0.041616898 0.305016875 0.653366268
[2319,] 0.028742636 0.254277766 0.716979563
[2320,] 0.019476639 0.123467796 0.857055604
[2321,] 0.063655175 0.440184981 0.496159822
[2322,] 0.006078936 0.055229306 0.938691795
[2323,] 0.007335769 0.081248328 0.911415875
[2324,] 0.578629076 0.403739929 0.017630953
[2325,] 0.097005844 0.416224241 0.486769974
[2326,] 0.020396490 0.206684649 0.772918940
[2327,] 0.559225857 0.403030008 0.037744127
[2328,] 0.621411324 0.341270059 0.037318639
[2329,] 0.024925672 0.237509683 0.737564623
[2330,] 0.027595339 0.119751438 0.852653205
[2331,] 0.457176298 0.504823565 0.038000148
[2332,] 0.053914331 0.303649962 0.642435670
[2333,] 0.776533484 0.203166708 0.020299772
[2334,] 0.018198606 0.140081048 0.841720402
[2335,] 0.017733457 0.166875631 0.815390885
[2336,] 0.045745455 0.425727963 0.528526604
[2337,] 0.766132832 0.193212688 0.040654484
[2338,] 0.009495518 0.091611549 0.898892939
[2339,] 0.002376112 0.030712649 0.966911256
[2340,] 0.020904256 0.150217548 0.828878224
[2341,] 0.061872952 0.419597268 0.518529773
[2342,] 0.006802651 0.316001624 0.677195728
[2343,] 0.011169523 0.166604206 0.822226286
[2344,] 0.013594522 0.168543369 0.817862093
[2345,] 0.010940986 0.124507323 0.864551723
[2346,] 0.019767793 0.341400802 0.638831437
[2347,] 0.020487644 0.089676648 0.889835775
[2348,] 0.015485358 0.092593312 0.891921401
[2349,] 0.031196699 0.292978466 0.675824821
[2350,] 0.017483938 0.153433681 0.829082370
[2351,] 0.009709161 0.109844178 0.880446672
[2352,] 0.056497276 0.713938534 0.229564175
[2353,] 0.658628523 0.316490710 0.024880795
[2354,] 0.784203291 0.193923488 0.021873178
[2355,] 0.012990530 0.151659206 0.835350215
[2356,] 0.007043619 0.069772661 0.923183739
[2357,] 0.006297925 0.394678771 0.599023283
[2358,] 0.006937810 0.097841054 0.895221174
[2359,] 0.072846897 0.285997540 0.641155541
[2360,] 0.057116099 0.238649443 0.704234481
[2361,] 0.020504193 0.157540247 0.821955562
[2362,] 0.057542872 0.332744956 0.609712183
[2363,] 0.005143829 0.087577201 0.907278955
[2364,] 0.051991943 0.362049043 0.585959017
[2365,] 0.508540154 0.187208340 0.304251462
[2366,] 0.270698220 0.220779702 0.508522093
[2367,] 0.620973706 0.322823614 0.056202672
[2368,] 0.283229947 0.384406924 0.332363099
[2369,] 0.566311181 0.342597961 0.091090888
[2370,] 0.340047747 0.336266845 0.323685378
[2371,] 0.679478705 0.293460727 0.027060507
[2372,] 0.681406856 0.261758775 0.056834344
[2373,] 0.423493534 0.389533311 0.186973199
[2374,] 0.285912514 0.398303747 0.315783739
[2375,] 0.460985631 0.370856673 0.168157712
[2376,] 0.639664114 0.290175587 0.070160307
[2377,] 0.117617816 0.193523213 0.688858986
[2378,] 0.389910042 0.394776553 0.215313435
[2379,] 0.058705114 0.311677903 0.629616976
[2380,] 0.249183476 0.219908431 0.530908108
[2381,] 0.723629355 0.227033854 0.049336806
[2382,] 0.312224656 0.193716720 0.494058639
[2383,] 0.005712750 0.228731945 0.765555382
[2384,] 0.209034443 0.229445457 0.561520100
[2385,] 0.502010107 0.332078934 0.165910974
[2386,] 0.564041674 0.400210112 0.035748243
[2387,] 0.507817030 0.375908434 0.116274521
[2388,] 0.496164888 0.273691654 0.230143517
[2389,] 0.047514610 0.318194956 0.634290457
[2390,] 0.324613363 0.304906517 0.370480090
[2391,] 0.653882146 0.297842830 0.048275091
[2392,] 0.619609296 0.291354775 0.089035869
[2393,] 0.731808245 0.230632737 0.037559036
[2394,] 0.752718687 0.216254771 0.031026509
[2395,] 0.513414085 0.434617281 0.051968630
[2396,] 0.541160285 0.313132405 0.145707294
[2397,] 0.099770352 0.319441766 0.580787897
[2398,] 0.633039832 0.301988572 0.064971589
[2399,] 0.240763769 0.408011258 0.351224959
[2400,] 0.463225871 0.306972712 0.229801446
[2401,] 0.523508430 0.387784243 0.088707373
[2402,] 0.020923557 0.164911523 0.814164877
[2403,] 0.013371440 0.145303428 0.841325104
[2404,] 0.058391899 0.267288327 0.674319744
[2405,] 0.335103214 0.278113753 0.386782974
[2406,] 0.661047697 0.282322586 0.056629717
[2407,] 0.601637721 0.355926454 0.042435814
[2408,] 0.427738875 0.459284246 0.112976931
[2409,] 0.642682016 0.294591218 0.062726751
[2410,] 0.695075452 0.272392839 0.032531660
[2411,] 0.792219222 0.192313731 0.015467071
[2412,] 0.107371710 0.198493302 0.694135010
[2413,] 0.688125730 0.250181049 0.061693221
[2414,] 0.194628432 0.448195100 0.357176393
[2415,] 0.689439237 0.279012412 0.031548359
[2416,] 0.219354242 0.277914315 0.502731383
[2417,] 0.864601970 0.129147500 0.006250527
[2418,] 0.642515421 0.277250469 0.080234140
[2419,] 0.594596505 0.269773185 0.135630324
[2420,] 0.778110504 0.202834576 0.019054938
[2421,] 0.716868699 0.226582050 0.056549311
[2422,] 0.115785234 0.489608705 0.394606024
[2423,] 0.033846557 0.219607115 0.746546328
[2424,] 0.684133768 0.268205166 0.047661074
[2425,] 0.378304809 0.360235274 0.261459857
[2426,] 0.246838391 0.222257972 0.530903637
[2427,] 0.515533388 0.357078969 0.127387598
[2428,] 0.719695687 0.263538897 0.016765412
[2429,] 0.135203660 0.250247806 0.614548504
[2430,] 0.167506397 0.235275343 0.597218215
[2431,] 0.145822853 0.208809018 0.645368159
[2432,] 0.182149813 0.325642407 0.492207736
[2433,] 0.422560006 0.294184506 0.283255458
[2434,] 0.514587641 0.330195695 0.155216649
[2435,] 0.260114849 0.267598242 0.472286910
[2436,] 0.188180178 0.231309697 0.580510139
[2437,] 0.049822181 0.283448637 0.666729152
[2438,] 0.111078650 0.293411881 0.595509470
[2439,] 0.064256601 0.314872026 0.620871425
[2440,] 0.016542027 0.429749459 0.553708494
[2441,] 0.031654935 0.178487867 0.789857209
[2442,] 0.703171670 0.276825517 0.020002827
[2443,] 0.032042779 0.248738542 0.719218612
[2444,] 0.017947199 0.191124469 0.790928304
[2445,] 0.678649366 0.261978209 0.059372462
[2446,] 0.032064579 0.196796045 0.771139324
[2447,] 0.046023592 0.445190579 0.508785844
[2448,] 0.263993800 0.313739389 0.422266841
[2449,] 0.421079993 0.257267624 0.321652412
[2450,] 0.321898609 0.296826661 0.381274760
[2451,] 0.196458682 0.387612253 0.415929019
[2452,] 0.036171783 0.323198855 0.640629351
[2453,] 0.079077959 0.385370940 0.535551071
[2454,] 0.072085544 0.386644036 0.541270375
[2455,] 0.189986348 0.290043950 0.519969702
[2456,] 0.525910676 0.406341732 0.067747563
[2457,] 0.020456957 0.196135938 0.783407092
[2458,] 0.092989832 0.082180008 0.824830115
[2459,] 0.097744957 0.263216168 0.639038861
[2460,] 0.344181359 0.234348089 0.421470582
[2461,] 0.159127921 0.313703656 0.527168393
[2462,] 0.467433989 0.345807880 0.186758131
[2463,] 0.428775877 0.305341512 0.265882641
[2464,] 0.136637911 0.201746374 0.661615670
[2465,] 0.502786934 0.321769446 0.175443605
[2466,] 0.033590045 0.214314058 0.752095878
[2467,] 0.061304614 0.305869579 0.632825792
[2468,] 0.476908237 0.292635977 0.230455726
[2469,] 0.038345888 0.265454739 0.696199358
[2470,] 0.037418861 0.301972687 0.660608411
[2471,] 0.329073757 0.300417662 0.370508581
[2472,] 0.565420389 0.267094880 0.167484745
[2473,] 0.175325617 0.212968782 0.611705601
[2474,] 0.419008374 0.420398712 0.160592884
[2475,] 0.656326771 0.246051863 0.097621359
[2476,] 0.354490250 0.389129937 0.256379873
[2477,] 0.393852293 0.444811016 0.161336720
[2478,] 0.236492395 0.222785816 0.540721834
[2479,] 0.145969644 0.265337497 0.588692904
[2480,] 0.404450983 0.353177667 0.242371380
[2481,] 0.121418074 0.162358403 0.716223538
[2482,] 0.449902177 0.314491510 0.235606343
[2483,] 0.082218304 0.381110042 0.536671638
[2484,] 0.228817940 0.299093515 0.472088575
[2485,] 0.286082238 0.444763541 0.269154161
[2486,] 0.099287182 0.388887584 0.511825264
[2487,] 0.296071619 0.306975096 0.396953255
[2488,] 0.175708324 0.216416523 0.607875168
[2489,] 0.173632607 0.237149760 0.589217603
[2490,] 0.580146372 0.293702811 0.126150832
[2491,] 0.010116062 0.282467753 0.707416236
[2492,] 0.145437911 0.227471486 0.627090633
[2493,] 0.220281824 0.391636282 0.388081878
[2494,] 0.570104301 0.376169175 0.053726487
[2495,] 0.298777282 0.266935319 0.434287459
[2496,] 0.490748703 0.348700941 0.160550311
[2497,] 0.252746820 0.317454159 0.429799050
[2498,] 0.576435268 0.360308766 0.063255966
[2499,] 0.054504588 0.229262009 0.716233432
[2500,] 0.047389168 0.219043076 0.733567715
[2501,] 0.023665160 0.174132884 0.802201927
[2502,] 0.524156928 0.412757218 0.063085824
[2503,] 0.382256836 0.325811058 0.291932136
[2504,] 0.278583765 0.471439928 0.249976367
[2505,] 0.622775793 0.262108088 0.115116134
[2506,] 0.774961770 0.210787818 0.014250394
[2507,] 0.521879077 0.394681454 0.083439492
[2508,] 0.755693913 0.211013868 0.033292256
[2509,] 0.319034070 0.295240760 0.385725170
[2510,] 0.339372396 0.322965980 0.337661684
[2511,] 0.523075461 0.372267187 0.104657359
[2512,] 0.623870730 0.344360292 0.031768966
[2513,] 0.147864848 0.285911262 0.566223860
[2514,] 0.431000441 0.341814607 0.227185011
[2515,] 0.152954414 0.261235923 0.585809648
[2516,] 0.418900371 0.490262508 0.090837084
[2517,] 0.606283367 0.332025617 0.061691072
[2518,] 0.551796198 0.379908413 0.068295427
[2519,] 0.707109153 0.264043152 0.028847659
[2520,] 0.038546450 0.282636076 0.678817511
[2521,] 0.260029942 0.226481125 0.513488889
[2522,] 0.670207322 0.274157494 0.055635192
[2523,] 0.162936553 0.344269842 0.492793679
[2524,] 0.702881932 0.212456957 0.084661111
[2525,] 0.547631681 0.351590425 0.100777864
[2526,] 0.048484895 0.292339027 0.659176052
[2527,] 0.173813000 0.318535239 0.507651746
[2528,] 0.291847467 0.205403641 0.502748907
[2529,] 0.018795883 0.196691573 0.784512579
[2530,] 0.037359241 0.228417143 0.734223604
[2531,] 0.372052044 0.293764621 0.334183395
[2532,] 0.126290500 0.176016003 0.697693467
[2533,] 0.047618203 0.662458420 0.289923429
[2534,] 0.256190002 0.318575531 0.425234497
[2535,] 0.293522924 0.298033625 0.408443421
[2536,] 0.033762831 0.231599659 0.734637499
[2537,] 0.072920769 0.342043310 0.585035920
[2538,] 0.301997066 0.361802340 0.336200625
[2539,] 0.275217772 0.429271400 0.295510858
[2540,] 0.515732288 0.331175208 0.153092504
[2541,] 0.263763309 0.427089006 0.309147656
[2542,] 0.400298983 0.344231993 0.255469054
[2543,] 0.054211985 0.297221869 0.648566186
[2544,] 0.161519945 0.351820797 0.486659199
[2545,] 0.640325725 0.331296980 0.028377283
[2546,] 0.122783318 0.211864620 0.665352106
[2547,] 0.363204837 0.392326325 0.244468853
[2548,] 0.425989062 0.347807765 0.226203173
[2549,] 0.048852522 0.347074032 0.604073405
[2550,] 0.088697389 0.433388919 0.477913648
[2551,] 0.094026625 0.360789597 0.545183778
[2552,] 0.233546779 0.287414402 0.479038835
[2553,] 0.199355006 0.417184204 0.383460850
[2554,] 0.006129769 0.204484522 0.789385736
[2555,] 0.283373237 0.412181199 0.304445535
[2556,] 0.554724038 0.304639727 0.140636265
[2557,] 0.363936543 0.424805731 0.211257771
[2558,] 0.652193785 0.303631932 0.044174220
[2559,] 0.275507361 0.384477466 0.340015143
[2560,] 0.466348767 0.311168402 0.222482800
[2561,] 0.018261634 0.756927669 0.224810630
[2562,] 0.498952091 0.328560054 0.172487915
[2563,] 0.663156629 0.288158387 0.048684981
[2564,] 0.298275203 0.391240150 0.310484678
[2565,] 0.559311867 0.314799994 0.125888154
[2566,] 0.092633627 0.256672174 0.650694191
[2567,] 0.038282607 0.240293220 0.721424222
[2568,] 0.570100248 0.298509359 0.131390423
[2569,] 0.436380178 0.404039294 0.159580544
[2570,] 0.581748605 0.348184466 0.070066944
[2571,] 0.562444925 0.377293169 0.060261913
[2572,] 0.347961217 0.451011598 0.201027200
[2573,] 0.248408139 0.503043354 0.248548537
[2574,] 0.584316492 0.310775995 0.104907542
[2575,] 0.259896666 0.378575593 0.361527681
[2576,] 0.692427635 0.278347671 0.029224638
[2577,] 0.068339132 0.331255317 0.600405574
[2578,] 0.010139287 0.533470213 0.456390500
[2579,] 0.053703502 0.287170321 0.659126163
[2580,] 0.437743664 0.353097975 0.209158361
[2581,] 0.372013867 0.430546254 0.197439939
[2582,] 0.490882516 0.325182468 0.183935001
[2583,] 0.343897074 0.591536880 0.064566098
[2584,] 0.665881574 0.202450067 0.131668359
[2585,] 0.055109587 0.408084929 0.536805451
[2586,] 0.167043388 0.245529175 0.587427437
[2587,] 0.050880514 0.332039475 0.617080033
[2588,] 0.011488565 0.177007124 0.811504245
[2589,] 0.031256393 0.242114916 0.726628661
[2590,] 0.023990817 0.171742678 0.804266512
[2591,] 0.042023025 0.356033385 0.601943552
[2592,] 0.022268243 0.293641537 0.684090197
[2593,] 0.682164311 0.286163032 0.031672604
[2594,] 0.563188612 0.329965979 0.106845364
[2595,] 0.039362304 0.246379867 0.714257836
[2596,] 0.098981649 0.367157131 0.533861220
[2597,] 0.187735364 0.259059161 0.553205431
[2598,] 0.138187602 0.234339565 0.627472878
[2599,] 0.352745563 0.315883219 0.331371188
[2600,] 0.116007544 0.312825114 0.571167350
[2601,] 0.629669845 0.309329152 0.061000951
[2602,] 0.183994934 0.607335329 0.208669707
[2603,] 0.416072160 0.358114004 0.225813821
[2604,] 0.013541071 0.177124619 0.809334278
[2605,] 0.571028531 0.275221616 0.153749868
[2606,] 0.024342803 0.216815427 0.758841753
[2607,] 0.057368811 0.343684345 0.598946869
[2608,] 0.015625611 0.161879569 0.822494805
[2609,] 0.180170089 0.276071727 0.543758154
[2610,] 0.054589659 0.287890673 0.657519698
[2611,] 0.694181621 0.278516442 0.027301950
[2612,] 0.436951131 0.319467366 0.243581504
[2613,] 0.475057065 0.321117312 0.203825623
[2614,] 0.778573096 0.200693876 0.020733019
[2615,] 0.617251098 0.315813720 0.066935211
[2616,] 0.062428810 0.261014193 0.676557004
[2617,] 0.311582088 0.434180468 0.254237413
[2618,] 0.563475549 0.324739188 0.111785248
[2619,] 0.624842942 0.318603873 0.056553151
[2620,] 0.448693663 0.304663479 0.246642798
[2621,] 0.726419032 0.251472801 0.022108158
[2622,] 0.054299586 0.222731918 0.722968519
[2623,] 0.011178670 0.385965317 0.602855980
[2624,] 0.343893170 0.348484099 0.307622761
[2625,] 0.693203747 0.281838030 0.024958236
[2626,] 0.274545908 0.307040304 0.418413818
[2627,] 0.135866314 0.259466529 0.604667187
[2628,] 0.480105847 0.276933104 0.242961049
[2629,] 0.035176918 0.258090854 0.706732273
[2630,] 0.281003147 0.382153481 0.336843401
[2631,] 0.043470465 0.299755663 0.656773925
[2632,] 0.397548527 0.363577724 0.238873690
[2633,] 0.386496067 0.396715939 0.216787994
[2634,] 0.036368437 0.247919574 0.715712011
[2635,] 0.313427061 0.311858177 0.374714792
[2636,] 0.033584110 0.237622768 0.728793085
[2637,] 0.081348516 0.340693474 0.577957988
[2638,] 0.036713790 0.232108444 0.731177747
[2639,] 0.138301626 0.338775128 0.522923231
[2640,] 0.036278900 0.263023436 0.700697660
[2641,] 0.030357052 0.468111515 0.501531422
[2642,] 0.009977579 0.100861892 0.889160514
[2643,] 0.029453145 0.212558106 0.757988751
[2644,] 0.329814136 0.306779414 0.363406450
[2645,] 0.095768735 0.239926636 0.664304614
[2646,] 0.045847639 0.310353220 0.643799186
[2647,] 0.059234265 0.340932697 0.599833071
[2648,] 0.026937602 0.213736802 0.759325624
[2649,] 0.556913614 0.291418433 0.151667997
[2650,] 0.249238506 0.379842728 0.370918721
[2651,] 0.042825073 0.239131093 0.718043864
[2652,] 0.073401324 0.266741991 0.659856677
[2653,] 0.075318456 0.311552405 0.613129079
[2654,] 0.019188249 0.163467392 0.817344368
[2655,] 0.034460463 0.224924907 0.740614653
[2656,] 0.351876050 0.392302364 0.255821526
[2657,] 0.552476406 0.260939986 0.186583579
[2658,] 0.434198439 0.468168110 0.097633414
[2659,] 0.426290661 0.279957026 0.293752342
[2660,] 0.454478413 0.378716171 0.166805431
[2661,] 0.005956823 0.075448833 0.918594301
[2662,] 0.029405095 0.198197618 0.772397280
[2663,] 0.351476282 0.407257855 0.241265804
[2664,] 0.004132567 0.056677148 0.939190269
[2665,] 0.468033493 0.503717303 0.028249195
[2666,] 0.632710576 0.337549388 0.029740065
[2667,] 0.022311786 0.180381402 0.797306776
[2668,] 0.550021708 0.324809194 0.125169143
[2669,] 0.150574952 0.404521227 0.444903851
[2670,] 0.390955865 0.268522292 0.340521842
[2671,] 0.281733721 0.357804418 0.360461861
[2672,] 0.402888983 0.286106825 0.311004132
[2673,] 0.162538528 0.510096192 0.327365279
[2674,] 0.348185271 0.399873883 0.251940817
[2675,] 0.598925829 0.270057201 0.131016999
[2676,] 0.701894403 0.271039635 0.027065976
[2677,] 0.577850580 0.322048515 0.100100882
[2678,] 0.282971263 0.388805777 0.328222990
[2679,] 0.255355626 0.399606824 0.345037580
[2680,] 0.526787996 0.292305440 0.180906564
[2681,] 0.015539817 0.191878960 0.792581260
[2682,] 0.282064736 0.371546119 0.346389174
[2683,] 0.014977240 0.079593338 0.905429423
[2684,] 0.303745449 0.388580054 0.307674497
[2685,] 0.630857944 0.312367409 0.056774616
[2686,] 0.437284738 0.286663145 0.276052058
[2687,] 0.484287977 0.248466700 0.267245352
[2688,] 0.665456653 0.293702573 0.040840756
[2689,] 0.228135377 0.377986610 0.393877953
[2690,] 0.608820796 0.322016507 0.069162689
[2691,] 0.593845069 0.289305180 0.116849735
[2692,] 0.570631385 0.309754193 0.119614363
[2693,] 0.053744331 0.319144040 0.627111614
[2694,] 0.310062557 0.374078929 0.315858483
[2695,] 0.492499858 0.411790192 0.095710032
[2696,] 0.454136252 0.338784695 0.207078993
[2697,] 0.234925434 0.278660566 0.486414045
[2698,] 0.646380544 0.250650764 0.102968670
[2699,] 0.471620649 0.379467547 0.148911789
[2700,] 0.020510053 0.176365137 0.803124785
[2701,] 0.156067669 0.284270078 0.559662223
[2702,] 0.376915634 0.447812766 0.175271615
[2703,] 0.707700491 0.261172801 0.031126678
[2704,] 0.131525531 0.524813592 0.343660831
[2705,] 0.573582768 0.385736763 0.040680476
[2706,] 0.106636830 0.331208944 0.562154233
[2707,] 0.268785685 0.319048971 0.412165314
[2708,] 0.557085812 0.392554224 0.050359976
[2709,] 0.059022158 0.282726228 0.658251584
[2710,] 0.531840384 0.309713036 0.158446580
[2711,] 0.178063363 0.465466529 0.356470078
[2712,] 0.420343667 0.304333717 0.275322556
[2713,] 0.486565769 0.283736140 0.229698047
[2714,] 0.133676007 0.156342864 0.709981143
[2715,] 0.253219068 0.294106722 0.452674210
[2716,] 0.116451778 0.409231752 0.474316508
[2717,] 0.250765175 0.455400079 0.293834686
[2718,] 0.498313129 0.355838954 0.145847887
[2719,] 0.381639093 0.308566898 0.309794039
[2720,] 0.217316151 0.316203594 0.466480255
[2721,] 0.523755968 0.429609179 0.046634823
[2722,] 0.046777382 0.666431785 0.286790848
[2723,] 0.195278510 0.164568201 0.640153289
[2724,] 0.500156343 0.234329715 0.265513927
[2725,] 0.066122971 0.302632719 0.631244302
[2726,] 0.112146504 0.286112696 0.601740837
[2727,] 0.010660533 0.117369860 0.871969640
[2728,] 0.026932437 0.196706980 0.776360571
[2729,] 0.454401106 0.381752044 0.163846850
[2730,] 0.286138773 0.375642836 0.338218391
[2731,] 0.296447963 0.419407457 0.284144610
[2732,] 0.600240946 0.346577644 0.053181417
[2733,] 0.140426606 0.274097145 0.585476279
[2734,] 0.008669145 0.076644838 0.914685965
[2735,] 0.064075366 0.316597521 0.619327068
[2736,] 0.015593215 0.125209689 0.859197021
[2737,] 0.201717451 0.279067159 0.519215405
[2738,] 0.270487487 0.361273915 0.368238598
[2739,] 0.015443467 0.134600267 0.849956274
[2740,] 0.064538933 0.281796426 0.653664589
[2741,] 0.017100316 0.158206493 0.824693203
[2742,] 0.156943232 0.507193744 0.335863024
[2743,] 0.058875885 0.318159044 0.622965097
[2744,] 0.096738420 0.323271930 0.579989672
[2745,] 0.048762318 0.246358752 0.704878926
[2746,] 0.065538257 0.363502324 0.570959449
[2747,] 0.101668164 0.368976980 0.529354870
[2748,] 0.106031865 0.390076011 0.503892124
[2749,] 0.103607871 0.534936726 0.361455411
[2750,] 0.346127152 0.548137903 0.105734967
[2751,] 0.042983923 0.573415458 0.383600652
[2752,] 0.111812524 0.423593104 0.464594424
[2753,] 0.092499591 0.577023089 0.330477327
[2754,] 0.173740625 0.395888358 0.430371046
[2755,] 0.058511600 0.322143078 0.619345307
[2756,] 0.035885077 0.187075138 0.777039766
[2757,] 0.017448673 0.143704832 0.838846564
[2758,] 0.047266278 0.192232281 0.760501385
[2759,] 0.083659999 0.440101475 0.476238519
[2760,] 0.013619914 0.140321642 0.846058488
[2761,] 0.665201247 0.249958843 0.084839948
[2762,] 0.098569185 0.435095161 0.466335654
[2763,] 0.221245676 0.339939624 0.438814729
[2764,] 0.388098389 0.515160978 0.096740626
[2765,] 0.008605606 0.106819548 0.884574831
[2766,] 0.186865136 0.436368555 0.376766264
[2767,] 0.385909170 0.391169876 0.222920954
[2768,] 0.017433584 0.173322588 0.809243858
[2769,] 0.022470484 0.202746093 0.774783432
[2770,] 0.086100295 0.279411376 0.634488285
[2771,] 0.058363378 0.331761777 0.609874845
[2772,] 0.091722742 0.467233539 0.441043794
[2773,] 0.005404390 0.048156653 0.946438909
[2774,] 0.010588426 0.118530229 0.870881379
[2775,] 0.009859695 0.111841962 0.878298342
[2776,] 0.067648478 0.391278774 0.541072726
[2777,] 0.072868526 0.353689611 0.573441863
[2778,] 0.075837441 0.313751131 0.610411406
[2779,] 0.089661963 0.246836275 0.663501799
[2780,] 0.025514049 0.250857800 0.723628163
[2781,] 0.033600405 0.270994246 0.695405364
[2782,] 0.073476240 0.243945241 0.682578504
[2783,] 0.100815527 0.380773485 0.518410981
[2784,] 0.237251073 0.484051079 0.278697848
[2785,] 0.205647603 0.365132809 0.429219574
[2786,] 0.021145707 0.172786221 0.806068122
[2787,] 0.007222278 0.099597581 0.893180192
[2788,] 0.031266816 0.207602307 0.761130869
[2789,] 0.229451776 0.506220877 0.264327377
[2790,] 0.028293323 0.201979667 0.769726992
[2791,] 0.083606049 0.432228506 0.484165519
[2792,] 0.406157196 0.313649118 0.280193657
[2793,] 0.046082210 0.250407428 0.703510344
[2794,] 0.121146247 0.322860301 0.555993438
[2795,] 0.017536191 0.226905048 0.755558789
[2796,] 0.047703151 0.348254174 0.604042709
[2797,] 0.435328066 0.346270442 0.218401566
[2798,] 0.258888811 0.378422529 0.362688631
[2799,] 0.122243613 0.140532896 0.737223506
[2800,] 0.254768342 0.340775847 0.404455781
[2801,] 0.141465187 0.404750049 0.453784764
[2802,] 0.314457119 0.371717215 0.313825697
[2803,] 0.185641408 0.484011680 0.330346912
[2804,] 0.154773772 0.220751137 0.624475121
[2805,] 0.594833374 0.248282775 0.156883851
[2806,] 0.236839086 0.279896379 0.483264565
[2807,] 0.203263357 0.397071570 0.399665058
[2808,] 0.237833336 0.230331674 0.531834960
[2809,] 0.109742261 0.191670328 0.698587358
[2810,] 0.280571163 0.288100481 0.431328326
[2811,] 0.187750682 0.267171025 0.545078278
[2812,] 0.008113362 0.101518661 0.890367985
[2813,] 0.086505808 0.685296595 0.228197575
[2814,] 0.024362750 0.088945448 0.886691809
[2815,] 0.350097209 0.228017882 0.421884894
[2816,] 0.200501993 0.236237571 0.563260436
[2817,] 0.166397691 0.287214249 0.546388090
[2818,] 0.142207354 0.201544479 0.656248152
[2819,] 0.006250056 0.075468071 0.918281913
[2820,] 0.028486446 0.224043056 0.747470498
[2821,] 0.160920441 0.223401025 0.615678549
[2822,] 0.051207650 0.340264440 0.608527899
[2823,] 0.145072296 0.483266205 0.371661514
[2824,] 0.041722048 0.276565880 0.681712031
[2825,] 0.050447218 0.131140932 0.818411827
[2826,] 0.062049933 0.151454866 0.786495149
[2827,] 0.093627110 0.298813164 0.607559741
[2828,] 0.071980193 0.234527752 0.693492115
[2829,] 0.088441424 0.431993932 0.479564637
[2830,] 0.042232469 0.491543412 0.466224104
[2831,] 0.024793260 0.174979642 0.800227106
[2832,] 0.132519677 0.625834286 0.241646037
[2833,] 0.484338045 0.466785669 0.048876245
[2834,] 0.029591065 0.398277700 0.572131217
[2835,] 0.034471963 0.195717514 0.769810498
[2836,] 0.053599618 0.450628877 0.495771468
[2837,] 0.038114149 0.175782189 0.786103666
[2838,] 0.469733596 0.323279113 0.206987321
[2839,] 0.268785805 0.320320666 0.410893500
[2840,] 0.117937103 0.174546123 0.707516789
[2841,] 0.147495016 0.161144361 0.691360593
[2842,] 0.250283778 0.338731080 0.410985202
[2843,] 0.536140263 0.202443883 0.261415839
[2844,] 0.027348906 0.175689906 0.796961188
[2845,] 0.004579690 0.069126733 0.926293552
[2846,] 0.421513528 0.332573324 0.245913133
[2847,] 0.277664304 0.512318552 0.210017160
[2848,] 0.162369266 0.515700519 0.321930230
[2849,] 0.784087718 0.206003457 0.009908796
[2850,] 0.672069311 0.311343759 0.016586954
[2851,] 0.113275632 0.154440671 0.732283711
[2852,] 0.866525233 0.126156181 0.007318603
[2853,] 0.692855299 0.295029640 0.012115013
[2854,] 0.727608621 0.261910707 0.010480692
[2855,] 0.057333909 0.296426922 0.646239221
[2856,] 0.066027939 0.353066474 0.580905616
[2857,] 0.030877478 0.284994930 0.684127569
[2858,] 0.788480461 0.198664486 0.012855071
[2859,] 0.057529535 0.424251258 0.518219173
[2860,] 0.766984105 0.224485457 0.008530449
[2861,] 0.595058203 0.341654390 0.063287400
[2862,] 0.781652212 0.209693640 0.008654098
[2863,] 0.790757000 0.174379110 0.034863923
[2864,] 0.633018315 0.327761918 0.039219730
[2865,] 0.162204608 0.274131507 0.563663900
[2866,] 0.780982673 0.208186120 0.010831206
[2867,] 0.052006315 0.333293647 0.614700019
[2868,] 0.103178807 0.341948152 0.554872990
[2869,] 0.031952232 0.155558318 0.812489450
[2870,] 0.443554133 0.533269644 0.023176197
[2871,] 0.602524936 0.386992782 0.010482248
[2872,] 0.948133349 0.046790998 0.005075660
[2873,] 0.019649332 0.124476470 0.855874181
[2874,] 0.684036791 0.302808225 0.013155007
[2875,] 0.808601260 0.182701111 0.008697639
[2876,] 0.295171678 0.645756662 0.059071701
[2877,] 0.042907692 0.310198188 0.646894097
[2878,] 0.748559117 0.239558831 0.011882012
[2879,] 0.776272953 0.207206920 0.016520161
[2880,] 0.804163814 0.184537008 0.011299190
[2881,] 0.129854009 0.527405798 0.342740238
[2882,] 0.848329008 0.140935630 0.010735394
[2883,] 0.490648806 0.443183631 0.066167518
[2884,] 0.853068054 0.138930947 0.008000984
[2885,] 0.845231235 0.144984052 0.009784676
[2886,] 0.044967566 0.247706622 0.707325816
[2887,] 0.894535124 0.098493315 0.006971552
[2888,] 0.787507117 0.204142600 0.008350231
[2889,] 0.422954977 0.489814788 0.087230265
[2890,] 0.011261940 0.167852953 0.820885122
[2891,] 0.025908701 0.351123840 0.622967482
[2892,] 0.014063896 0.145314366 0.840621710
[2893,] 0.007795721 0.081605345 0.910598993
[2894,] 0.013659256 0.300207436 0.686133265
[2895,] 0.033531416 0.256842077 0.709626496
[2896,] 0.406352490 0.574049652 0.019597815
[2897,] 0.026561873 0.094385237 0.879052877
[2898,] 0.425787568 0.560712457 0.013500012
[2899,] 0.739796937 0.249859884 0.010343192
[2900,] 0.044109620 0.634454906 0.321435452
[2901,] 0.887906790 0.104139112 0.007954102
[2902,] 0.842605650 0.143610165 0.013784213
[2903,] 0.887673497 0.089994900 0.022331575
[2904,] 0.079052329 0.636902511 0.284045130
[2905,] 0.475433201 0.508288443 0.016278371
[2906,] 0.696014464 0.284034848 0.019950679
[2907,] 0.559521317 0.348902106 0.091576591
[2908,] 0.456115276 0.501959741 0.041924953
[2909,] 0.658956885 0.333470076 0.007573029
[2910,] 0.149871960 0.470224202 0.379903823
[2911,] 0.061059855 0.458279580 0.480660588
[2912,] 0.029862814 0.203309596 0.766827524
[2913,] 0.061547071 0.340672225 0.597780704
[2914,] 0.010981201 0.137677372 0.851341367
[2915,] 0.572327852 0.301741362 0.125930801
[2916,] 0.790841937 0.192209184 0.016948914
[2917,] 0.378091753 0.495023400 0.126884907
[2918,] 0.928991437 0.063360319 0.007648192
[2919,] 0.457415134 0.520306706 0.022278180
[2920,] 0.595904827 0.388502270 0.015592908
[2921,] 0.033669528 0.175917745 0.790412664
[2922,] 0.879024386 0.113227032 0.007748579
[2923,] 0.433830410 0.526194811 0.039974786
[2924,] 0.718177378 0.267634362 0.014188249
[2925,] 0.007489888 0.776834607 0.215675503
[2926,] 0.618732870 0.357321352 0.023945766
[2927,] 0.034929771 0.160727769 0.804342449
[2928,] 0.941575468 0.051575188 0.006849290
[2929,] 0.095639378 0.547275960 0.357084692
[2930,] 0.027004808 0.199950501 0.773044705
[2931,] 0.833003044 0.155453801 0.011543158
[2932,] 0.052394558 0.266118437 0.681487024
[2933,] 0.081058502 0.464390963 0.454550564
[2934,] 0.052849289 0.419873327 0.527277350
[2935,] 0.221974656 0.150417030 0.627608299
[2936,] 0.052345160 0.569241524 0.378413349
[2937,] 0.082285553 0.691895664 0.225818768
[2938,] 0.076576911 0.564351499 0.359071583
[2939,] 0.065354228 0.623382330 0.311263442
[2940,] 0.094935410 0.699525952 0.205538645
[2941,] 0.053354416 0.245204329 0.701441228
[2942,] 0.097356401 0.781278253 0.121365324
[2943,] 0.015249367 0.153647304 0.831103384
[2944,] 0.030030940 0.218109891 0.751859188
[2945,] 0.060014348 0.494224906 0.445760787
[2946,] 0.043481126 0.149102777 0.807416081
[2947,] 0.043638870 0.299789160 0.656571984
[2948,] 0.340676397 0.408841521 0.250482053
[2949,] 0.047421552 0.415626019 0.536952436
[2950,] 0.025201775 0.190833211 0.783964992
[2951,] 0.052026231 0.216600895 0.731372893
[2952,] 0.058049202 0.611678481 0.330272317
[2953,] 0.061625633 0.416178763 0.522195578
[2954,] 0.037198968 0.195073754 0.767727256
[2955,] 0.054281857 0.412498504 0.533219635
[2956,] 0.053788181 0.470904648 0.475307226
[2957,] 0.029566141 0.273501366 0.696932495
[2958,] 0.050422054 0.298616976 0.650960982
[2959,] 0.187935382 0.252954632 0.559109986
[2960,] 0.250681609 0.624396920 0.124921434
[2961,] 0.275507390 0.301735282 0.422757328
[2962,] 0.478968084 0.494431168 0.026600791
[2963,] 0.010247477 0.096978128 0.892774343
[2964,] 0.015154728 0.338689536 0.646155715
[2965,] 0.146782905 0.293735027 0.559482038
[2966,] 0.092612378 0.338989526 0.568398118
[2967,] 0.407146037 0.300254017 0.292599946
[2968,] 0.025743350 0.624520421 0.349736214
[2969,] 0.009147654 0.098322406 0.892529964
[2970,] 0.043962937 0.278559417 0.677477658
[2971,] 0.036154687 0.252545267 0.711300075
[2972,] 0.089243554 0.709830642 0.200925812
[2973,] 0.008288889 0.550890148 0.440820962
[2974,] 0.043437198 0.245792925 0.710769832
[2975,] 0.088112779 0.274947226 0.636940002
[2976,] 0.047183104 0.372470260 0.580346644
[2977,] 0.030189091 0.167145327 0.802665532
[2978,] 0.926607072 0.065883651 0.007509261
[2979,] 0.018732090 0.170550063 0.810717881
[2980,] 0.051834226 0.488846093 0.459319621
[2981,] 0.033720240 0.401950985 0.564328730
[2982,] 0.061279412 0.545028329 0.393692255
[2983,] 0.008830148 0.079424158 0.911745667
[2984,] 0.641502738 0.337190092 0.021307137
[2985,] 0.778105199 0.214132488 0.007762325
[2986,] 0.013690976 0.169329822 0.816979229
[2987,] 0.278103024 0.651324570 0.070572421
[2988,] 0.143063113 0.534044683 0.322892189
[2989,] 0.117423490 0.163539946 0.719036520
[2990,] 0.029084602 0.259856462 0.711058915
[2991,] 0.057057902 0.396225333 0.546716809
[2992,] 0.039724752 0.275946617 0.684328616
[2993,] 0.070195056 0.319452792 0.610352099
[2994,] 0.055628892 0.319448054 0.624923050
[2995,] 0.153813675 0.321683764 0.524502575
[2996,] 0.028865645 0.198996857 0.772137463
[2997,] 0.537575006 0.453419834 0.009005198
[2998,] 0.062850930 0.430673718 0.506475329
[2999,] 0.224883243 0.302716672 0.472400099
[3000,] 0.083999403 0.324937433 0.591063201
[3001,] 0.050074399 0.266112000 0.683813632
[3002,] 0.058173150 0.575727224 0.366099626
[3003,] 0.037180897 0.126936853 0.835882246
[3004,] 0.047465961 0.541336715 0.411197305
[3005,] 0.004859949 0.220924184 0.774215877
[3006,] 0.106612474 0.285946727 0.607440770
[3007,] 0.070424318 0.493844301 0.435731351
[3008,] 0.060617067 0.761137843 0.178245142
[3009,] 0.786312044 0.202149630 0.011538368
[3010,] 0.922503650 0.070203841 0.007292484
[3011,] 0.774001479 0.214873180 0.011125310
[3012,] 0.580742717 0.402871907 0.016385382
[3013,] 0.401465982 0.430092931 0.168441132
[3014,] 0.489590555 0.495415956 0.014993503
[3015,] 0.521233201 0.450958967 0.027807787
[3016,] 0.823148549 0.162771478 0.014079981
[3017,] 0.611051977 0.352282703 0.036665313
[3018,] 0.900674939 0.088706985 0.010618080
[3019,] 0.369014353 0.583170891 0.047814764
[3020,] 0.601361513 0.355339855 0.043298665
[3021,] 0.892609358 0.098532528 0.008858125
[3022,] 0.655769408 0.327807456 0.016423149
[3023,] 0.852130592 0.132326409 0.015543000
[3024,] 0.821749687 0.159404531 0.018845763
[3025,] 0.477827787 0.475224078 0.046948090
[3026,] 0.018087385 0.197136730 0.784775913
[3027,] 0.842539132 0.141900480 0.015560344
[3028,] 0.018990209 0.218029931 0.762979865
[3029,] 0.389102191 0.444823325 0.166074485
[3030,] 0.686441541 0.298137397 0.015421047
[3031,] 0.493662596 0.390003294 0.116334088
[3032,] 0.582118809 0.353516161 0.064365000
[3033,] 0.034861330 0.339787632 0.625351071
[3034,] 0.517843366 0.428614318 0.053542338
[3035,] 0.035927527 0.316954404 0.647118092
[3036,] 0.571384251 0.385353327 0.043262437
[3037,] 0.569652557 0.368153155 0.062194318
[3038,] 0.742513061 0.208504915 0.048982080
[3039,] 0.427860677 0.362320334 0.209818959
[3040,] 0.022638869 0.338174939 0.639186203
[3041,] 0.618883312 0.340694994 0.040421672
[3042,] 0.631790161 0.309885412 0.058324505
[3043,] 0.050518587 0.444189280 0.505292118
[3044,] 0.562066197 0.377841145 0.060092676
[3045,] 0.552250028 0.364984453 0.082765497
[3046,] 0.048827622 0.359738201 0.591434121
[3047,] 0.458439410 0.461421043 0.080139518
[3048,] 0.507292449 0.473650962 0.019056587
[3049,] 0.021110503 0.206427991 0.772461534
[3050,] 0.057767417 0.252036631 0.690195918
[3051,] 0.206084222 0.516779542 0.277136266
[3052,] 0.334353894 0.493084043 0.172562018
[3053,] 0.240140066 0.707669258 0.052190658
[3054,] 0.674061298 0.294314235 0.031624448
[3055,] 0.023964699 0.222131282 0.753904045
[3056,] 0.042771008 0.345950454 0.611278534
[3057,] 0.028661614 0.255858451 0.715479910
[3058,] 0.011977988 0.159868509 0.828153491
[3059,] 0.010853453 0.155429721 0.833716869
[3060,] 0.006011034 0.057283677 0.936705291
[3061,] 0.152253404 0.369402915 0.478343636
[3062,] 0.543444395 0.304309219 0.152246341
[3063,] 0.424843699 0.468485683 0.106670678
[3064,] 0.013069655 0.187838346 0.799091995
[3065,] 0.007420199 0.108237177 0.884342611
[3066,] 0.046221957 0.237869263 0.715908766
[3067,] 0.036693826 0.427423447 0.535882711
[3068,] 0.018866953 0.156902969 0.824230075
[3069,] 0.004076473 0.066343240 0.929580331
[3070,] 0.828873634 0.155958742 0.015167660
[3071,] 0.778621376 0.208299294 0.013079344
[3072,] 0.672492564 0.312873155 0.014634245
[3073,] 0.565115094 0.415856659 0.019028209
[3074,] 0.178734630 0.201214150 0.620051205
[3075,] 0.389875561 0.471818000 0.138306469
[3076,] 0.277870715 0.414984763 0.307144552
[3077,] 0.513479710 0.438813388 0.047706895
[3078,] 0.417552829 0.348894387 0.233552739
[3079,] 0.384435594 0.557794333 0.057770059
[3080,] 0.532042921 0.412440568 0.055516489
[3081,] 0.014880630 0.255597681 0.729521692
[3082,] 0.008089132 0.109420978 0.882489860
[3083,] 0.030410357 0.339039296 0.630550385
[3084,] 0.900071025 0.093724258 0.006204667
[3085,] 0.648397923 0.325832754 0.025769318
[3086,] 0.666336775 0.322571874 0.011091355
[3087,] 0.543808520 0.405371189 0.050820280
[3088,] 0.147745505 0.794981301 0.057273202
[3089,] 0.035572257 0.301109880 0.663317859
[3090,] 0.856383979 0.134542629 0.009073369
[3091,] 0.759442985 0.225745752 0.014811235
[3092,] 0.291177452 0.511909008 0.196913585
[3093,] 0.650881767 0.321776211 0.027342008
[3094,] 0.297584742 0.650236905 0.052178338
[3095,] 0.023774389 0.173594564 0.802631021
[3096,] 0.033193175 0.206257463 0.760549366
[3097,] 0.817856431 0.170956969 0.011186541
[3098,] 0.031846263 0.227579176 0.740574539
[3099,] 0.823526382 0.165973857 0.010499720
[3100,] 0.899572134 0.093416981 0.007010860
[3101,] 0.564327061 0.418140948 0.017532015
[3102,] 0.174872309 0.460649341 0.364478320
[3103,] 0.601183355 0.365228295 0.033588316
[3104,] 0.818574131 0.172982171 0.008443643
[3105,] 0.670441329 0.315418601 0.014140105
[3106,] 0.031438984 0.361521333 0.607039750
[3107,] 0.026928034 0.227644622 0.745427370
[3108,] 0.005293855 0.057986770 0.936719418
[3109,] 0.018217172 0.206350520 0.775432289
[3110,] 0.041986708 0.210340783 0.747672498
[3111,] 0.619860470 0.339517772 0.040621795
[3112,] 0.003428053 0.058528710 0.938043177
[3113,] 0.033169627 0.263429910 0.703400433
[3114,] 0.701784134 0.277028352 0.021187589
[3115,] 0.674722195 0.309805542 0.015472273
[3116,] 0.032863002 0.183860496 0.783276498
[3117,] 0.009406754 0.106424123 0.884169161
[3118,] 0.009645093 0.110650346 0.879704595
[3119,] 0.780462265 0.204310358 0.015227365
[3120,] 0.016248656 0.195891932 0.787859440
[3121,] 0.043617569 0.384333909 0.572048545
[3122,] 0.005080766 0.027271714 0.967647552
[3123,] 0.024891540 0.298853606 0.676254869
[3124,] 0.066495843 0.569368899 0.364135236
[3125,] 0.011707493 0.152787641 0.835504830
[3126,] 0.039012663 0.486468017 0.474519253
[3127,] 0.050400496 0.272780716 0.676818788
[3128,] 0.034654148 0.256546676 0.708799183
[3129,] 0.079297282 0.332912594 0.587790132
[3130,] 0.036066636 0.358630687 0.605302632
[3131,] 0.016162235 0.181661233 0.802176535
[3132,] 0.019092010 0.136571333 0.844336689
[3133,] 0.034528509 0.250325710 0.715145826
[3134,] 0.016976429 0.179678768 0.803344846
[3135,] 0.011502769 0.144234374 0.844262838
[3136,] 0.014136413 0.120752968 0.865110576
[3137,] 0.833250999 0.152606666 0.014142320
[3138,] 0.819664717 0.166332111 0.014003132
[3139,] 0.738338053 0.187785491 0.073876470
[3140,] 0.838988662 0.145377576 0.015633764
[3141,] 0.787408888 0.186906382 0.025684679
[3142,] 0.813476741 0.119815283 0.066707946
[3143,] 0.883471429 0.100090183 0.016438358
[3144,] 0.004077314 0.239207506 0.756715119
[3145,] 0.080933236 0.177897915 0.741168797
[3146,] 0.617996037 0.345304877 0.036699109
[3147,] 0.207710132 0.324550867 0.467738956
[3148,] 0.671334445 0.258134454 0.070531070
[3149,] 0.058650412 0.244487986 0.696861565
[3150,] 0.881910563 0.100473404 0.017616088
[3151,] 0.793522120 0.186843842 0.019633997
[3152,] 0.908651710 0.081782475 0.009565854
[3153,] 0.057998437 0.387903005 0.554098547
[3154,] 0.763399601 0.151011929 0.085588433
[3155,] 0.012290830 0.243110761 0.744598389
[3156,] 0.766779423 0.192790702 0.040429886
[3157,] 0.030055741 0.373581409 0.596362829
[3158,] 0.736027658 0.219573632 0.044398706
[3159,] 0.039858941 0.180811808 0.779329240
[3160,] 0.880886376 0.099877186 0.019236457
[3161,] 0.637644172 0.215122163 0.147233695
[3162,] 0.692060590 0.274572104 0.033367321
[3163,] 0.033545569 0.280804932 0.685649455
[3164,] 0.052925624 0.175067604 0.772006810
[3165,] 0.869968235 0.118851550 0.011180247
[3166,] 0.028083779 0.178623915 0.793292284
[3167,] 0.072910897 0.192140028 0.734949052
[3168,] 0.732464015 0.237276375 0.030259589
[3169,] 0.060148306 0.206102684 0.733748972
[3170,] 0.740824401 0.192424327 0.066751309
[3171,] 0.048527140 0.207864404 0.743608415
[3172,] 0.038973972 0.255081177 0.705944836
[3173,] 0.719895959 0.264399678 0.015704386
[3174,] 0.138474658 0.161770269 0.699755073
[3175,] 0.009202328 0.197780460 0.793017209
[3176,] 0.906628966 0.080649838 0.012721214
[3177,] 0.878587246 0.109040797 0.012371953
[3178,] 0.706712186 0.233596802 0.059691001
[3179,] 0.664389849 0.319598109 0.016012026
[3180,] 0.826900899 0.158152550 0.014946575
[3181,] 0.017122550 0.173277095 0.809600294
[3182,] 0.426666975 0.498960644 0.074372388
[3183,] 0.030503668 0.091599382 0.877896905
[3184,] 0.110543557 0.526327729 0.363128692
[3185,] 0.013702525 0.095621645 0.890675783
[3186,] 0.706642389 0.178352267 0.115005396
[3187,] 0.017926499 0.172825038 0.809248447
[3188,] 0.850279629 0.139798328 0.009922056
[3189,] 0.487948358 0.476599455 0.035452150
[3190,] 0.894231439 0.096407853 0.009360728
[3191,] 0.758052647 0.154169992 0.087777413
[3192,] 0.654513419 0.284619004 0.060867567
[3193,] 0.390476346 0.324937880 0.284585804
[3194,] 0.620206118 0.332474440 0.047319509
[3195,] 0.721561074 0.250901937 0.027536977
[3196,] 0.499045581 0.486455649 0.014498740
[3197,] 0.515281558 0.450479835 0.034238596
[3198,] 0.069762260 0.327730358 0.602507412
[3199,] 0.652724922 0.258393019 0.088882022
[3200,] 0.838250637 0.140479028 0.021270309
[3201,] 0.275397211 0.705399692 0.019203078
[3202,] 0.671602249 0.215293825 0.113103971
[3203,] 0.870568633 0.097698525 0.031732794
[3204,] 0.889654815 0.091916434 0.018428689
[3205,] 0.893253624 0.084974363 0.021772031
[3206,] 0.594973803 0.266066045 0.138960093
[3207,] 0.644785047 0.212349847 0.142865092
[3208,] 0.715401769 0.188582420 0.096015848
[3209,] 0.734632909 0.242213681 0.023153404
[3210,] 0.085326083 0.362153172 0.552520752
[3211,] 0.792418659 0.173643261 0.033938061
[3212,] 0.888789833 0.097979791 0.013230394
[3213,] 0.006327784 0.085786976 0.907885253
[3214,] 0.763784409 0.190969661 0.045245953
[3215,] 0.701384068 0.266932577 0.031683378
[3216,] 0.797304392 0.185401097 0.017294513
[3217,] 0.038474958 0.207758501 0.753766537
[3218,] 0.783508360 0.181697607 0.034794003
[3219,] 0.823715448 0.146187201 0.030097324
[3220,] 0.783477306 0.157266736 0.059255905
[3221,] 0.002609488 0.038688816 0.958701670
[3222,] 0.736535430 0.190124646 0.073339984
[3223,] 0.041527867 0.243322209 0.715149939
[3224,] 0.854795396 0.132201925 0.013002698
[3225,] 0.045679286 0.205675125 0.748645604
[3226,] 0.015692398 0.125043795 0.859263837
[3227,] 0.043765787 0.195174977 0.761059225
[3228,] 0.125513613 0.356957465 0.517528951
[3229,] 0.444707155 0.292179048 0.263113797
[3230,] 0.009022843 0.235256568 0.755720556
[3231,] 0.731285930 0.234926105 0.033787988
[3232,] 0.803850293 0.186103344 0.010046365
[3233,] 0.812030494 0.145674929 0.042294584
[3234,] 0.010746254 0.065603808 0.923649907
[3235,] 0.027227959 0.241547197 0.731224775
[3236,] 0.025154587 0.138321549 0.836523890
[3237,] 0.034513634 0.168621749 0.796864629
[3238,] 0.020158516 0.179626182 0.800215304
[3239,] 0.846982777 0.108006544 0.045010701
[3240,] 0.869343936 0.110572301 0.020083759
[3241,] 0.077152744 0.295206755 0.627640486
[3242,] 0.066572554 0.211969092 0.721458316
[3243,] 0.395632178 0.578290641 0.026077211
[3244,] 0.069662899 0.208508566 0.721828520
[3245,] 0.013877437 0.096947461 0.889175117
[3246,] 0.568188846 0.367486060 0.064325050
[3247,] 0.572725713 0.249146834 0.178127483
[3248,] 0.017144291 0.114042699 0.868813038
[3249,] 0.871738434 0.109601624 0.018659957
[3250,] 0.022095699 0.108085841 0.869818509
[3251,] 0.022391759 0.133427233 0.844181001
[3252,] 0.030565038 0.118484929 0.850950003
[3253,] 0.035862938 0.217428371 0.746708691
[3254,] 0.045817081 0.207541659 0.746641278
[3255,] 0.051441200 0.182548583 0.766010165
[3256,] 0.545021772 0.343744069 0.111234143
[3257,] 0.848018110 0.142360002 0.009621885
[3258,] 0.281513572 0.235958338 0.482528090
[3259,] 0.874430418 0.114781789 0.010787749
[3260,] 0.782577932 0.197048575 0.020373458
[3261,] 0.481589615 0.477631122 0.040779244
[3262,] 0.518623531 0.447817594 0.033558860
[3263,] 0.669113576 0.298558235 0.032328181
[3264,] 0.025161743 0.159155235 0.815683007
[3265,] 0.011806326 0.087765709 0.900427997
[3266,] 0.007828243 0.038122125 0.954049587
[3267,] 0.004159684 0.023107810 0.972732544
[3268,] 0.043915842 0.252282977 0.703801155
[3269,] 0.065019652 0.221856445 0.713123918
[3270,] 0.706059456 0.214492321 0.079448171
[3271,] 0.361024022 0.601603866 0.037372123
[3272,] 0.815752745 0.163289264 0.020957965
[3273,] 0.592166007 0.365302444 0.042531580
[3274,] 0.877277672 0.114272714 0.008449592
[3275,] 0.721601367 0.205106854 0.073291734
[3276,] 0.890208781 0.098070160 0.011721117
[3277,] 0.445702851 0.517554641 0.036742527
[3278,] 0.443997592 0.489714354 0.066288091
[3279,] 0.604165196 0.355890900 0.039943889
[3280,] 0.003147440 0.132722840 0.864129663
[3281,] 0.007867064 0.053763386 0.938369513
[3282,] 0.006915863 0.066383451 0.926700711
[3283,] 0.013701018 0.111208215 0.875090778
[3284,] 0.028652512 0.168288857 0.803058624
[3285,] 0.021477034 0.133863226 0.844659746
[3286,] 0.185823292 0.798766255 0.015410437
[3287,] 0.009043867 0.073805042 0.917151093
[3288,] 0.133010492 0.340032190 0.526957273
[3289,] 0.008720401 0.060463730 0.930815935
[3290,] 0.010818276 0.071332015 0.917849779
[3291,] 0.635535479 0.333196878 0.031267624
[3292,] 0.911653876 0.080257758 0.008088329
[3293,] 0.301989317 0.674196959 0.023813741
[3294,] 0.726026952 0.233880356 0.040092736
[3295,] 0.038254954 0.136842251 0.824902773
[3296,] 0.020344624 0.150659561 0.828995824
[3297,] 0.677394152 0.283713788 0.038892083
[3298,] 0.679170251 0.273671806 0.047157880
[3299,] 0.762199819 0.218832389 0.018967750
[3300,] 0.047802173 0.244586274 0.707611501
[3301,] 0.699553847 0.274152547 0.026293604
[3302,] 0.014593714 0.079823025 0.905583262
[3303,] 0.698837221 0.259029835 0.042132959
[3304,] 0.508246303 0.472973436 0.018780220
[3305,] 0.035098776 0.240591779 0.724309444
[3306,] 0.935153544 0.059285294 0.005561194
[3307,] 0.738238871 0.171509773 0.090251416
[3308,] 0.916879475 0.072001643 0.011118857
[3309,] 0.613719523 0.358186603 0.028093880
[3310,] 0.462380767 0.360845447 0.176773757
[3311,] 0.619488358 0.264286816 0.116224788
[3312,] 0.034801096 0.191163674 0.774035215
[3313,] 0.687326908 0.296793550 0.015879493
[3314,] 0.040695831 0.300097644 0.659206510
[3315,] 0.649370909 0.245082796 0.105546266
[3316,] 0.608971417 0.325425327 0.065603249
[3317,] 0.306779653 0.294266135 0.398954183
[3318,] 0.726783156 0.231859326 0.041357532
[3319,] 0.725954890 0.188350841 0.085694261
[3320,] 0.647448182 0.325424522 0.027127326
[3321,] 0.572525561 0.384512663 0.042961750
[3322,] 0.916753590 0.075311624 0.007934771
[3323,] 0.030740255 0.241318122 0.727941632
[3324,] 0.733323753 0.212875143 0.053801108
[3325,] 0.154162467 0.161530077 0.684307456
[3326,] 0.614530742 0.253333926 0.132135376
[3327,] 0.023624498 0.124782406 0.851593077
[3328,] 0.637890160 0.319727182 0.042382654
[3329,] 0.605063796 0.297296047 0.097640142
[3330,] 0.041400678 0.411232501 0.547366858
[3331,] 0.029763494 0.191240922 0.778995633
[3332,] 0.027400019 0.202263370 0.770336688
[3333,] 0.006679675 0.039440632 0.953879714
[3334,] 0.028758870 0.158216208 0.813024879
[3335,] 0.616328955 0.325999975 0.057671096
[3336,] 0.062142234 0.244590476 0.693267286
[3337,] 0.807742000 0.167730808 0.024527242
[3338,] 0.010413837 0.131581500 0.858004689
[3339,] 0.040348463 0.593910098 0.365741402
[3340,] 0.043149557 0.222186282 0.734664202
[3341,] 0.757091999 0.183560565 0.059347410
[3342,] 0.824781060 0.144843355 0.030375589
[3343,] 0.832556784 0.113377340 0.054065850
[3344,] 0.005383805 0.035131048 0.959485173
[3345,] 0.005739326 0.227069736 0.767190874
[3346,] 0.276616633 0.694730222 0.028653167
[3347,] 0.140888005 0.164959744 0.694152236
[3348,] 0.657909036 0.266336650 0.075754300
[3349,] 0.610458910 0.343466759 0.046074327
[3350,] 0.838205636 0.132234380 0.029559955
[3351,] 0.046010379 0.296234101 0.657755494
[3352,] 0.825824976 0.159629226 0.014545813
[3353,] 0.747452140 0.228440031 0.024107836
[3354,] 0.297273755 0.618145585 0.084580638
[3355,] 0.673726439 0.284917653 0.041355912
[3356,] 0.653404295 0.278198302 0.068397418
[3357,] 0.357973337 0.560990989 0.081035689
[3358,] 0.516815543 0.255335510 0.227848932
[3359,] 0.469436914 0.492016852 0.038546231
[3360,] 0.650192738 0.217759356 0.132047907
[3361,] 0.750758410 0.134987608 0.114254005
[3362,] 0.715320230 0.214815348 0.069864422
[3363,] 0.137767002 0.224280193 0.637952745
[3364,] 0.042466246 0.143767118 0.813766599
[3365,] 0.884799063 0.101193108 0.014007880
[3366,] 0.451872349 0.504180372 0.043947320
[3367,] 0.762071967 0.184184581 0.053743474
[3368,] 0.620144844 0.353039235 0.026815945
[3369,] 0.599836826 0.341412693 0.058750495
[3370,] 0.855592132 0.115048766 0.029359046
[3371,] 0.714736402 0.256129205 0.029134417
[3372,] 0.551640272 0.427117020 0.021242704
[3373,] 0.715162814 0.217366859 0.067470372
[3374,] 0.049691595 0.179622933 0.770685494
[3375,] 0.118182391 0.165691838 0.716125786
[3376,] 0.073601529 0.238788962 0.687609494
[3377,] 0.715142727 0.220633999 0.064223252
[3378,] 0.751091599 0.178966820 0.069941603
[3379,] 0.888100088 0.096578062 0.015321852
[3380,] 0.754697859 0.205098212 0.040203873
[3381,] 0.871743858 0.116280295 0.011975897
[3382,] 0.114007652 0.233109936 0.652882397
[3383,] 0.712215841 0.252326876 0.035457253
[3384,] 0.806122243 0.154277623 0.039600190
[3385,] 0.882697225 0.101924799 0.015377953
[3386,] 0.503002524 0.271397412 0.225600034
[3387,] 0.053938221 0.225044340 0.721017420
[3388,] 0.627252758 0.304299116 0.068448097
[3389,] 0.551990151 0.408033967 0.039975882
[3390,] 0.658714294 0.313328803 0.027956910
[3391,] 0.682330608 0.229869336 0.087800048
[3392,] 0.123002447 0.400403172 0.476594418
[3393,] 0.006822236 0.259850800 0.733326912
[3394,] 0.662578523 0.288468957 0.048952531
[3395,] 0.556048870 0.397906870 0.046044268
[3396,] 0.056807209 0.181442812 0.761749983
[3397,] 0.032949470 0.081052989 0.885997534
[3398,] 0.013725867 0.200469792 0.785804331
[3399,] 0.053749289 0.173294321 0.772956371
[3400,] 0.076392800 0.260346532 0.663260698
[3401,] 0.005373523 0.021102134 0.973524332
[3402,] 0.786185384 0.172542036 0.041272577
[3403,] 0.552711427 0.352343380 0.094945200
[3404,] 0.065419137 0.502382040 0.432198793
[3405,] 0.692993104 0.248474732 0.058532137
[3406,] 0.019990802 0.141038716 0.838970482
[3407,] 0.019136576 0.159027889 0.821835518
[3408,] 0.032713629 0.202712089 0.764574289
[3409,] 0.830848575 0.153964579 0.015186852
[3410,] 0.810969770 0.170127824 0.018902369
[3411,] 0.654787958 0.187542245 0.157669857
[3412,] 0.520585418 0.343415320 0.135999307
[3413,] 0.827492118 0.141698182 0.030809650
[3414,] 0.319699824 0.277519166 0.402781039
[3415,] 0.022682527 0.113192581 0.864124894
[3416,] 0.029229144 0.143476516 0.827294290
[3417,] 0.496783167 0.461528718 0.041688070
[3418,] 0.089294821 0.278237045 0.632468164
[3419,] 0.483998120 0.268995225 0.247006670
[3420,] 0.707448840 0.247995198 0.044555943
[3421,] 0.806649685 0.170634806 0.022715490
[3422,] 0.905192852 0.084044546 0.010762520
[3423,] 0.807654321 0.164256439 0.028089216
[3424,] 0.847891331 0.126687452 0.025421176
[3425,] 0.837682188 0.145196497 0.017121373
[3426,] 0.694347382 0.225993812 0.079658806
[3427,] 0.090694115 0.229594618 0.679711282
[3428,] 0.046349362 0.218478352 0.735172331
[3429,] 0.011218149 0.339037716 0.649744153
[3430,] 0.742387652 0.240767017 0.016845275
[3431,] 0.653727055 0.305865735 0.040407203
[3432,] 0.783036530 0.201226324 0.015737139
[3433,] 0.035607569 0.329051405 0.635341048
[3434,] 0.540966094 0.431740612 0.027293304
[3435,] 0.056856856 0.350417703 0.592725396
[3436,] 0.025164993 0.161295339 0.813539624
[3437,] 0.755669773 0.210620329 0.033709880
[3438,] 0.040686931 0.103488669 0.855824411
[3439,] 0.290078938 0.291178942 0.418742061
[3440,] 0.029120838 0.153720140 0.817158997
[3441,] 0.108037636 0.433714688 0.458247691
[3442,] 0.212022543 0.413884431 0.374093086
[3443,] 0.006185431 0.664234698 0.329579860
[3444,] 0.883301020 0.109074622 0.007624398
[3445,] 0.605090439 0.357521236 0.037388358
[3446,] 0.007382726 0.510630190 0.481987059
[3447,] 0.067489333 0.108625300 0.823885381
[3448,] 0.024029309 0.156158388 0.819812298
[3449,] 0.070077173 0.296139300 0.633783460
[3450,] 0.080350548 0.280422181 0.639227271
[3451,] 0.009989501 0.403223723 0.586786747
[3452,] 0.018339131 0.103571542 0.878089368
[3453,] 0.012114702 0.092485368 0.895399928
[3454,] 0.020633949 0.148642167 0.830723882
[3455,] 0.051784933 0.222998962 0.725216091
[3456,] 0.040244561 0.195775717 0.763979733
[3457,] 0.066046409 0.309899271 0.624054372
[3458,] 0.041305963 0.235227689 0.723466337
[3459,] 0.033372805 0.101912878 0.864714265
[3460,] 0.014537023 0.122932784 0.862530172
[3461,] 0.045885339 0.458483607 0.495631039
[3462,] 0.441578150 0.396634489 0.161787406
[3463,] 0.419641048 0.328354985 0.252003968
[3464,] 0.033482630 0.204748720 0.761768639
[3465,] 0.014356494 0.127027541 0.858615935
[3466,] 0.642087817 0.322350979 0.035561174
[3467,] 0.841871262 0.146852642 0.011276080
[3468,] 0.004151029 0.033585213 0.962263703
[3469,] 0.059687592 0.216669872 0.723642588
[3470,] 0.124747276 0.559619427 0.315633297
[3471,] 0.203340471 0.410959810 0.385699749
[3472,] 0.541871190 0.204125673 0.254003137
[3473,] 0.083592832 0.198516443 0.717890739
[3474,] 0.911412120 0.075597242 0.012990662
[3475,] 0.879741490 0.107774764 0.012483713
[3476,] 0.554954946 0.170116618 0.274928421
[3477,] 0.029978974 0.181065589 0.788955450
[3478,] 0.008020483 0.220350385 0.771629155
[3479,] 0.004557600 0.064342447 0.931099951
[3480,] 0.724259555 0.257459790 0.018280692
[3481,] 0.387132049 0.346572608 0.266295314
[3482,] 0.741825819 0.163263038 0.094911151
[3483,] 0.833325326 0.150725782 0.015948849
[3484,] 0.804297924 0.183224946 0.012477078
[3485,] 0.126983851 0.371551871 0.501464307
[3486,] 0.151300684 0.362780273 0.485918999
[3487,] 0.578033507 0.348382890 0.073583633
[3488,] 0.133064076 0.447145134 0.419790775
[3489,] 0.686504424 0.281731367 0.031764261
[3490,] 0.529391527 0.378889322 0.091719195
[3491,] 0.747546434 0.176467314 0.075986221
[3492,] 0.046320114 0.169828489 0.783851385
[3493,] 0.820868492 0.157145888 0.021985656
[3494,] 0.019602178 0.114508055 0.865889788
[3495,] 0.590401471 0.344280094 0.065318428
[3496,] 0.636626482 0.317573369 0.045800161
[3497,] 0.043610737 0.210548282 0.745841026
[3498,] 0.026860323 0.176995039 0.796144605
[3499,] 0.102400519 0.247669011 0.649930418
[3500,] 0.034014653 0.163232490 0.802752793
[3501,] 0.029136235 0.422673941 0.548189819
[3502,] 0.015973415 0.205944896 0.778081715
[3503,] 0.004852661 0.073901139 0.921246171
[3504,] 0.787397683 0.182454303 0.030148003
[3505,] 0.040031172 0.469838649 0.490130156
[3506,] 0.725508213 0.202947780 0.071544029
[3507,] 0.512666345 0.400398791 0.086934850
[3508,] 0.058116931 0.281383991 0.660499036
[3509,] 0.007697066 0.106900558 0.885402322
[3510,] 0.259529799 0.526119173 0.214350984
[3511,] 0.013280307 0.043013919 0.943705738
[3512,] 0.083585136 0.297244132 0.619170725
[3513,] 0.063806579 0.327784956 0.608408451
[3514,] 0.744611323 0.239436373 0.015952293
[3515,] 0.016029386 0.297879100 0.686091483
[3516,] 0.522581697 0.248520866 0.228897437
[3517,] 0.008144658 0.643928528 0.347926825
[3518,] 0.403035879 0.132637858 0.464326292
[3519,] 0.478767514 0.451660037 0.069572471
[3520,] 0.033607114 0.168305829 0.798087060
[3521,] 0.035165913 0.096932746 0.867901385
[3522,] 0.211255133 0.435957968 0.352786958
[3523,] 0.048717488 0.185933292 0.765349209
[3524,] 0.803500116 0.186845556 0.009654344
[3525,] 0.631470323 0.312339902 0.056189790
[3526,] 0.823772252 0.157768205 0.018459577
[3527,] 0.037320789 0.183760896 0.778918266
[3528,] 0.036266509 0.190733925 0.772999585
[3529,] 0.022821242 0.126736775 0.850441933
[3530,] 0.050691437 0.329004496 0.620304048
[3531,] 0.036403518 0.174760193 0.788836300
[3532,] 0.046245240 0.417634606 0.536120176
[3533,] 0.883656979 0.107521094 0.008821948
[3534,] 0.826417983 0.145066515 0.028515456
[3535,] 0.467146933 0.510930121 0.021922972
[3536,] 0.116635755 0.607701302 0.275662929
[3537,] 0.881907046 0.110030442 0.008062509
[3538,] 0.667359948 0.292112708 0.040527321
[3539,] 0.627796710 0.283953846 0.088249385
[3540,] 0.047349382 0.318199933 0.634450674
[3541,] 0.057413232 0.327644676 0.614942074
[3542,] 0.004673922 0.654760003 0.340566009
[3543,] 0.034738410 0.488623321 0.476638258
[3544,] 0.019686326 0.118301727 0.862011969
[3545,] 0.035478543 0.221314341 0.743207097
[3546,] 0.008108990 0.081526749 0.910364270
[3547,] 0.003831389 0.023538513 0.972630143
[3548,] 0.828925371 0.154459581 0.016615039
[3549,] 0.015313652 0.144576505 0.840109885
[3550,] 0.789514363 0.157871544 0.052614085
[3551,] 0.026595520 0.129228041 0.844176412
[3552,] 0.828779578 0.158242524 0.012977888
[3553,] 0.744052410 0.202753633 0.053193942
[3554,] 0.678194523 0.303462505 0.018342966
[3555,] 0.835329950 0.151816472 0.012853575
[3556,] 0.765267313 0.128354907 0.106377803
[3557,] 0.083829120 0.258097768 0.658073127
[3558,] 0.029529862 0.173030719 0.797439396
[3559,] 0.751894236 0.216419995 0.031685740
[3560,] 0.063463271 0.249124080 0.687412679
[3561,] 0.848076761 0.144589454 0.007333741
[3562,] 0.793394029 0.136631519 0.069974504
[3563,] 0.015304828 0.179597110 0.805098057
[3564,] 0.677737653 0.229419142 0.092843182
[3565,] 0.070540778 0.191470653 0.737988532
[3566,] 0.065211125 0.260187417 0.674601495
[3567,] 0.029055009 0.260789663 0.710155308
[3568,] 0.026106253 0.160199106 0.813694596
[3569,] 0.778449416 0.168568790 0.052981824
[3570,] 0.804535449 0.167249754 0.028214809
[3571,] 0.118058406 0.549421072 0.332520574
[3572,] 0.043972585 0.327470958 0.628556430
[3573,] 0.024078676 0.179801449 0.796119809
[3574,] 0.802437901 0.169491947 0.028070105
[3575,] 0.605341971 0.321916461 0.072741553
[3576,] 0.904177487 0.085532419 0.010290051
[3577,] 0.838384271 0.139534473 0.022081289
[3578,] 0.048267338 0.288923234 0.662809432
[3579,] 0.899402440 0.085890405 0.014707098
[3580,] 0.796380103 0.165444940 0.038174968
[3581,] 0.045551002 0.276338845 0.678110123
[3582,] 0.065584384 0.304601341 0.629814267
[3583,] 0.013826805 0.118170694 0.868002534
[3584,] 0.862042964 0.117711268 0.020245813
[3585,] 0.031577006 0.198472351 0.769950688
[3586,] 0.009113685 0.120029032 0.870857298
[3587,] 0.061762869 0.213887215 0.724349916
[3588,] 0.219141632 0.211968675 0.568889678
[3589,] 0.030461421 0.144018218 0.825520396
[3590,] 0.017401246 0.112315185 0.870283544
[3591,] 0.772155166 0.199707329 0.028137486
[3592,] 0.040348567 0.187294111 0.772357285
[3593,] 0.010038025 0.094050907 0.895911098
[3594,] 0.025637416 0.140357777 0.834004819
[3595,] 0.087244444 0.410189509 0.502566040
[3596,] 0.765015543 0.123880193 0.111104317
[3597,] 0.807524979 0.182094648 0.010380411
[3598,] 0.079397552 0.258397549 0.662204921
[3599,] 0.782368600 0.189846024 0.027785322
[3600,] 0.045138557 0.357801676 0.597059727
[3601,] 0.043397177 0.467553437 0.489049375
[3602,] 0.018069493 0.087640695 0.894289792
[3603,] 0.713878751 0.250492930 0.035628341
[3604,] 0.006776259 0.042065829 0.951157928
[3605,] 0.047300786 0.216062546 0.736636639
[3606,] 0.162862584 0.351697415 0.485439986
[3607,] 0.196914256 0.318063498 0.485022306
[3608,] 0.117976271 0.292498857 0.589524925
[3609,] 0.022229835 0.134700865 0.843069315
[3610,] 0.054906126 0.209419206 0.735674679
[3611,] 0.002632126 0.012799047 0.984568834
[3612,] 0.156706542 0.349896133 0.493397385
[3613,] 0.131278977 0.252667159 0.616053820
[3614,] 0.049883038 0.182838261 0.767278671
[3615,] 0.015935741 0.141646996 0.842417240
[3616,] 0.043501671 0.400262862 0.556235433
[3617,] 0.587468207 0.311828643 0.100703202
[3618,] 0.077021725 0.536153078 0.386825204
[3619,] 0.069347739 0.561291695 0.369360566
[3620,] 0.049907029 0.245817006 0.704275906
[3621,] 0.041843366 0.295868188 0.662288427
[3622,] 0.058026679 0.118913338 0.823060036
[3623,] 0.503567636 0.385944843 0.110487565
[3624,] 0.015812799 0.099436626 0.884750605
[3625,] 0.055272568 0.143431038 0.801296413
[3626,] 0.587901950 0.315561235 0.096536830
[3627,] 0.070829995 0.231622234 0.697547793
[3628,] 0.916719019 0.041292522 0.041988429
[3629,] 0.088811904 0.377198189 0.533989847
[3630,] 0.437170982 0.366051197 0.196777791
[3631,] 0.032673698 0.246630266 0.720696032
[3632,] 0.011553144 0.069379009 0.919067860
[3633,] 0.112694971 0.240097687 0.647207379
[3634,] 0.812681258 0.157136798 0.030181902
[3635,] 0.008001364 0.054013528 0.937985122
[3636,] 0.021570511 0.137527689 0.840901732
[3637,] 0.121168062 0.297557265 0.581274688
[3638,] 0.014695309 0.097594351 0.887710333
[3639,] 0.013547484 0.374203742 0.612248778
[3640,] 0.155444145 0.382169932 0.462385952
[3641,] 0.035035305 0.156477764 0.808486938
[3642,] 0.033726852 0.197471067 0.768802106
[3643,] 0.041950818 0.320165426 0.637883782
[3644,] 0.080746308 0.272687405 0.646566272
[3645,] 0.742930651 0.145580351 0.111489050
[3646,] 0.009214257 0.091030464 0.899755239
[3647,] 0.092999674 0.288744271 0.618256092
[3648,] 0.032034345 0.362290144 0.605675519
[3649,] 0.861921072 0.116633601 0.021445302
[3650,] 0.576642275 0.234655768 0.188701943
[3651,] 0.066689909 0.456748605 0.476561487
[3652,] 0.006072369 0.075443119 0.918484509
[3653,] 0.020527441 0.073165402 0.906307161
[3654,] 0.473747194 0.480092883 0.046159897
[3655,] 0.694357395 0.230718434 0.074924223
[3656,] 0.748451352 0.229901642 0.021647012
[3657,] 0.192831635 0.739769757 0.067398630
[3658,] 0.347678572 0.476455063 0.175866365
[3659,] 0.563272059 0.416128457 0.020599468
[3660,] 0.325695127 0.614788830 0.059516072
[3661,] 0.359169990 0.570428550 0.070401467
[3662,] 0.606468976 0.351443768 0.042087242
[3663,] 0.616930604 0.333991200 0.049078181
[3664,] 0.741832137 0.224465460 0.033702392
[3665,] 0.815387189 0.162627965 0.021984873
[3666,] 0.680225074 0.296107262 0.023667658
[3667,] 0.105463862 0.718143880 0.176392272
[3668,] 0.785566211 0.196945399 0.017488418
[3669,] 0.248056427 0.557454944 0.194488645
[3670,] 0.952896059 0.040086564 0.007017408
[3671,] 0.275511235 0.533982813 0.190505967
[3672,] 0.799172223 0.189080760 0.011746980
[3673,] 0.565741777 0.415176839 0.019081397
[3674,] 0.611083329 0.353295803 0.035620846
[3675,] 0.438439786 0.519030333 0.042529877
[3676,] 0.389270544 0.551787555 0.058941901
[3677,] 0.404206723 0.249385476 0.346407801
[3678,] 0.155733749 0.215131611 0.629134595
[3679,] 0.538379133 0.386121780 0.075499110
[3680,] 0.268689185 0.650284111 0.081026666
[3681,] 0.171932474 0.300627291 0.527440190
[3682,] 0.135799944 0.759013414 0.105186664
[3683,] 0.192257971 0.430193990 0.377548099
[3684,] 0.286138773 0.490451843 0.223409325
[3685,] 0.375493705 0.548799098 0.075707160
[3686,] 0.629201651 0.305882066 0.064916238
[3687,] 0.517480731 0.457918614 0.024600642
[3688,] 0.448095709 0.459319443 0.092584871
[3689,] 0.382620454 0.447336555 0.170042962
[3690,] 0.691192448 0.272406191 0.036401354
[3691,] 0.818101466 0.169036493 0.012861996
[3692,] 0.847550809 0.143000677 0.009448483
[3693,] 0.430317611 0.539244652 0.030437758
[3694,] 0.621377289 0.299390644 0.079232089
[3695,] 0.084730037 0.165724039 0.749545932
[3696,] 0.130591631 0.707752705 0.161655605
[3697,] 0.333327413 0.457986355 0.208686188
[3698,] 0.569970012 0.395514131 0.034515906
[3699,] 0.343390465 0.497462869 0.159146711
[3700,] 0.884757996 0.107165299 0.008076683
[3701,] 0.113633841 0.762404025 0.123962134
[3702,] 0.237316608 0.725910783 0.036772680
[3703,] 0.821784556 0.163483292 0.014732168
[3704,] 0.728127658 0.241685659 0.030186657
[3705,] 0.576931775 0.353078336 0.069989830
[3706,] 0.169583350 0.722950220 0.107466422
[3707,] 0.834663391 0.151831448 0.013505152
[3708,] 0.420337826 0.515682638 0.063979559
[3709,] 0.320869595 0.447531581 0.231598809
[3710,] 0.028525893 0.084220313 0.887253761
[3711,] 0.050477415 0.097698443 0.851824105
[3712,] 0.008922575 0.066577010 0.924500406
[3713,] 0.016907260 0.082259648 0.900833070
[3714,] 0.006623962 0.061708443 0.931667566
[3715,] 0.025618074 0.190313920 0.784067988
[3716,] 0.003105144 0.117933571 0.878961325
[3717,] 0.014852230 0.101688825 0.883458972
[3718,] 0.008301445 0.066767409 0.924931169
[3719,] 0.002938706 0.121700682 0.875360608
[3720,] 0.007542587 0.054846209 0.937611222
[3721,] 0.013939699 0.098881707 0.887178600
[3722,] 0.009801719 0.102985099 0.887213230
[3723,] 0.019138379 0.105722062 0.875139534
[3724,] 0.010166369 0.065209128 0.924624562
[3725,] 0.005864608 0.038113486 0.956021965
[3726,] 0.004320417 0.073483311 0.922196269
[3727,] 0.012873334 0.113823347 0.873303354
[3728,] 0.014950452 0.083731718 0.901317775
[3729,] 0.083355337 0.275615096 0.641029596
[3730,] 0.027855404 0.198197365 0.773947239
[3731,] 0.005137080 0.031976286 0.962886691
[3732,] 0.012030495 0.087048091 0.900921404
[3733,] 0.013065405 0.079572745 0.907361805
[3734,] 0.012526911 0.111241572 0.876231551
[3735,] 0.012884070 0.056598332 0.930517614
[3736,] 0.017370524 0.097310849 0.885318577
[3737,] 0.016423048 0.095938653 0.887638271
[3738,] 0.005786033 0.038925461 0.955288470
[3739,] 0.018825574 0.083394594 0.897779822
[3740,] 0.028200449 0.129844785 0.841954708
[3741,] 0.013019302 0.083603613 0.903377116
[3742,] 0.002996016 0.377564073 0.619439960
[3743,] 0.007046273 0.088899396 0.904054344
[3744,] 0.012082997 0.092463911 0.895453095
[3745,] 0.050922066 0.168572396 0.780505538
[3746,] 0.045082252 0.204069600 0.750848174
[3747,] 0.009669608 0.082022749 0.908307612
[3748,] 0.011845826 0.072687060 0.915467083
[3749,] 0.003415255 0.041197583 0.955387175
[3750,] 0.006580777 0.080591738 0.912827492
[3751,] 0.034805160 0.158425286 0.806769550
[3752,] 0.318765789 0.484413445 0.196820810
[3753,] 0.014711156 0.085067011 0.900221825
[3754,] 0.028700799 0.177868307 0.793430924
[3755,] 0.025531413 0.159748748 0.814719856
[3756,] 0.024286436 0.157800123 0.817913473
[3757,] 0.107047282 0.237740934 0.655211747
[3758,] 0.005864195 0.054638252 0.939497530
[3759,] 0.003031178 0.032369379 0.964599431
[3760,] 0.011375140 0.071430832 0.917194009
[3761,] 0.017345050 0.104829237 0.877825737
[3762,] 0.849744558 0.137385175 0.012870246
[3763,] 0.853573859 0.135518551 0.010907582
[3764,] 0.350242168 0.535047829 0.114710003
[3765,] 0.755054295 0.194674656 0.050271012
[3766,] 0.593146861 0.348452449 0.058400720
[3767,] 0.293880463 0.489017606 0.217101976
[3768,] 0.733852923 0.238951489 0.027195577
[3769,] 0.774038434 0.206082940 0.019878637
[3770,] 0.464663476 0.505323887 0.030012652
[3771,] 0.455916703 0.501601100 0.042482186
[3772,] 0.594613552 0.380218923 0.025167553
[3773,] 0.668670833 0.305954278 0.025374914
[3774,] 0.830346346 0.159854472 0.009799184
[3775,] 0.279501379 0.511457920 0.209040672
[3776,] 0.431536257 0.488836884 0.079626836
[3777,] 0.648858011 0.331603795 0.019538144
[3778,] 0.301180512 0.567339659 0.131479785
[3779,] 0.429018736 0.432163715 0.138817534
[3780,] 0.730840564 0.239571363 0.029588036
[3781,] 0.604871631 0.313891858 0.081236482
[3782,] 0.642562032 0.276237428 0.081200533
[3783,] 0.597434163 0.296494722 0.106071092
[3784,] 0.634792268 0.302971452 0.062236302
[3785,] 0.612967193 0.273943007 0.113089822
[3786,] 0.597159088 0.340656102 0.062184766
[3787,] 0.716746986 0.270062864 0.013190127
[3788,] 0.510946393 0.388030469 0.101023152
[3789,] 0.502694547 0.462349862 0.034955572
[3790,] 0.355727464 0.485420376 0.158852175
[3791,] 0.846002936 0.145048156 0.008948866
[3792,] 0.623058259 0.353333414 0.023608295
[3793,] 0.616568506 0.326462746 0.056968797
[3794,] 0.599807024 0.388454616 0.011738388
[3795,] 0.755702853 0.190193921 0.054103184
[3796,] 0.338632464 0.376157254 0.285210222
[3797,] 0.871969044 0.112239078 0.015791878
[3798,] 0.813858390 0.172100231 0.014041387
[3799,] 0.859412074 0.129762098 0.010825807
[3800,] 0.728742599 0.248708054 0.022549314
[3801,] 0.732645512 0.249107227 0.018247278
[3802,] 0.632565260 0.313161433 0.054273278
[3803,] 0.805213809 0.184621826 0.010164324
[3804,] 0.538109243 0.370266378 0.091624334
[3805,] 0.786170900 0.202414259 0.011414864
[3806,] 0.770051122 0.211890504 0.018058402
[3807,] 0.746705115 0.225686103 0.027608734
[3808,] 0.700224638 0.221613050 0.078162320
[3809,] 0.749537170 0.221295178 0.029167673
[3810,] 0.593023896 0.382012904 0.024963167
[3811,] 0.784530222 0.137636498 0.077833287
[3812,] 0.659853160 0.263348997 0.076797843
[3813,] 0.454433024 0.450576216 0.094990760
[3814,] 0.622604966 0.341266692 0.036128391
[3815,] 0.331785798 0.614160776 0.054053381
[3816,] 0.695967436 0.270845264 0.033187266
[3817,] 0.679793835 0.247544542 0.072661594
[3818,] 0.250812948 0.414440632 0.334746480
[3819,] 0.796201110 0.194918334 0.008880533
[3820,] 0.027975831 0.085769847 0.886254311
[3821,] 0.004573065 0.027677657 0.967749238
[3822,] 0.011637255 0.075374365 0.912988424
[3823,] 0.036030587 0.087244146 0.876725256
[3824,] 0.011502313 0.093326792 0.895170927
[3825,] 0.015174211 0.100259863 0.884565949
[3826,] 0.012203047 0.084630482 0.903166413
[3827,] 0.076663993 0.355153948 0.568182051
[3828,] 0.239661798 0.597111404 0.163226753
[3829,] 0.012854962 0.109453283 0.877691746
[3830,] 0.033418417 0.167850062 0.798731565
[3831,] 0.019434834 0.076473050 0.904092133
[3832,] 0.039202586 0.112982966 0.847814381
[3833,] 0.803306758 0.173899710 0.022793526
[3834,] 0.483999074 0.291111708 0.224889189
[3835,] 0.045691192 0.138906345 0.815402508
[3836,] 0.317480773 0.603927135 0.078592062
[3837,] 0.824614763 0.167213246 0.008171954
[3838,] 0.602426350 0.325787753 0.071785897
[3839,] 0.798684061 0.184341952 0.016974023
[3840,] 0.202366650 0.449366868 0.348266542
[3841,] 0.815854013 0.164368063 0.019777859
[3842,] 0.785539627 0.179171816 0.035288520
[3843,] 0.392709374 0.396946251 0.210344329
[3844,] 0.720949769 0.244099304 0.034950972
[3845,] 0.648281932 0.267765671 0.083952397
[3846,] 0.841849267 0.145069286 0.013081430
[3847,] 0.677739382 0.299256712 0.023003895
[3848,] 0.424308449 0.195868656 0.379822850
[3849,] 0.011387540 0.088901699 0.899710774
[3850,] 0.364421159 0.409180194 0.226398632
[3851,] 0.449500412 0.456417680 0.094081983
[3852,] 0.550276935 0.399928302 0.049794730
[3853,] 0.032490607 0.622272134 0.345237225
[3854,] 0.702425361 0.243586957 0.053987708
[3855,] 0.467653930 0.425710142 0.106635988
[3856,] 0.636856139 0.315787286 0.047356531
[3857,] 0.534418404 0.425170094 0.040411502
[3858,] 0.607800245 0.359798282 0.032401476
[3859,] 0.779321134 0.149134398 0.071544506
[3860,] 0.775631785 0.190549493 0.033818774
[3861,] 0.082309619 0.840481758 0.077208608
[3862,] 0.555374563 0.322722763 0.121902652
[3863,] 0.738349855 0.214651734 0.046998423
[3864,] 0.031158481 0.073711671 0.895129800
[3865,] 0.651927948 0.297174633 0.050897401
[3866,] 0.532612860 0.370042384 0.097344756
[3867,] 0.780234098 0.203398675 0.016367257
[3868,] 0.847812235 0.135666713 0.016521005
[3869,] 0.486892909 0.398473799 0.114633285
[3870,] 0.729344964 0.215780482 0.054874536
[3871,] 0.802074611 0.187222108 0.010703291
[3872,] 0.022464490 0.106035657 0.871499836
[3873,] 0.401042104 0.429804295 0.169153661
[3874,] 0.667294443 0.302259505 0.030446025
[3875,] 0.099548325 0.416467458 0.483984262
[3876,] 0.686851203 0.278111547 0.035037261
[3877,] 0.753597796 0.227896824 0.018505383
[3878,] 0.671907604 0.274179906 0.053912472
[3879,] 0.643316090 0.251595765 0.105088122
[3880,] 0.185645178 0.227481753 0.586873114
[3881,] 0.511639059 0.336576998 0.151783973
[3882,] 0.737880647 0.228974119 0.033145212
[3883,] 0.684049785 0.226083189 0.089866973
[3884,] 0.774472594 0.192723393 0.032804031
[3885,] 0.876736403 0.114165716 0.009097813
[3886,] 0.599378884 0.338163763 0.062457405
[3887,] 0.794074237 0.191363648 0.014562103
[3888,] 0.419714451 0.505571246 0.074714281
[3889,] 0.615718842 0.349785089 0.034496080
[3890,] 0.696556926 0.271624863 0.031818185
[3891,] 0.608403265 0.334572524 0.057024248
[3892,] 0.196599051 0.769289017 0.034111951
[3893,] 0.520315111 0.358135194 0.121549703
[3894,] 0.489928335 0.431204259 0.078867443
[3895,] 0.572635055 0.355756581 0.071608305
[3896,] 0.709240854 0.266123056 0.024636051
[3897,] 0.372438461 0.395064771 0.232496738
[3898,] 0.492580920 0.436663210 0.070755854
[3899,] 0.547771990 0.423352510 0.028875496
[3900,] 0.011474622 0.115441762 0.873083591
[3901,] 0.046662483 0.179231793 0.774105787
[3902,] 0.320517749 0.268652201 0.410830051
[3903,] 0.344339103 0.266232491 0.389428407
[3904,] 0.715284288 0.246572167 0.038143579
[3905,] 0.265395075 0.298341244 0.436263710
[3906,] 0.551020563 0.381061584 0.067917854
[3907,] 0.686016679 0.268232077 0.045751192
[3908,] 0.707444310 0.274355531 0.018200157
[3909,] 0.518394947 0.440567017 0.041038096
[3910,] 0.181108505 0.259098589 0.559792876
[3911,] 0.637749016 0.233111665 0.129139304
[3912,] 0.853660345 0.134203166 0.012136420
[3913,] 0.438155681 0.359887868 0.201956481
[3914,] 0.833898365 0.155484572 0.010617050
[3915,] 0.309023857 0.569206774 0.121769361
[3916,] 0.794854879 0.186806262 0.018338922
[3917,] 0.336470068 0.408803940 0.254725933
[3918,] 0.636714458 0.129496306 0.233789206
[3919,] 0.112222210 0.791476607 0.096301220
[3920,] 0.149708048 0.569954455 0.280337483
[3921,] 0.421958715 0.531626165 0.046415158
[3922,] 0.447190166 0.440020412 0.112789415
[3923,] 0.827799022 0.163974598 0.008226352
[3924,] 0.655696094 0.302508622 0.041795298
[3925,] 0.364338785 0.441543519 0.194117665
[3926,] 0.556543708 0.357958555 0.085497722
[3927,] 0.828702629 0.146220520 0.025076821
[3928,] 0.729549050 0.244466797 0.025984148
[3929,] 0.699645698 0.226017579 0.074336715
[3930,] 0.565273762 0.254800379 0.179925874
[3931,] 0.335922569 0.289485902 0.374591500
[3932,] 0.372613758 0.438907504 0.188478798
[3933,] 0.720061541 0.258145928 0.021792525
[3934,] 0.527591169 0.389616311 0.082792543
[3935,] 0.744448066 0.226531669 0.029020298
[3936,] 0.699322164 0.273354888 0.027322926
[3937,] 0.721559465 0.241611034 0.036829513
[3938,] 0.723836541 0.249359399 0.026804119
[3939,] 0.601711094 0.360824198 0.037464719
[3940,] 0.801392257 0.184345394 0.014262334
[3941,] 0.712599814 0.255833536 0.031566691
[3942,] 0.771449089 0.218132675 0.010418228
[3943,] 0.625734389 0.337854892 0.036410674
[3944,] 0.834171593 0.150370270 0.015458142
[3945,] 0.227813244 0.543310642 0.228876099
[3946,] 0.867697358 0.121591665 0.010710974
[3947,] 0.672751486 0.267205328 0.060043197
[3948,] 0.866114736 0.124590345 0.009294952
[3949,] 0.757595181 0.231140196 0.011264653
[3950,] 0.301769406 0.349640459 0.348590165
[3951,] 0.672893405 0.229112580 0.097994000
[3952,] 0.796657681 0.189147219 0.014195099
[3953,] 0.833072782 0.154721126 0.012206066
[3954,] 0.869897544 0.122783765 0.007318736
[3955,] 0.738862753 0.247036964 0.014100271
[3956,] 0.572590113 0.262892216 0.164517701
[3957,] 0.756686449 0.212730259 0.030583248
[3958,] 0.738450468 0.235744193 0.025805367
[3959,] 0.029243222 0.140550852 0.830205917
[3960,] 0.016116725 0.100678600 0.883204639
[3961,] 0.018563593 0.151352167 0.830084264
[3962,] 0.010970989 0.068089887 0.920939147
[3963,] 0.007571563 0.050386414 0.942041993
[3964,] 0.806808174 0.176259607 0.016932189
[3965,] 0.734680891 0.243375540 0.021943582
[3966,] 0.632688999 0.300182521 0.067128487
[3967,] 0.768820345 0.184080273 0.047099344
[3968,] 0.799300373 0.183376148 0.017323438
[3969,] 0.820250630 0.164275587 0.015473786
[3970,] 0.622494578 0.335618407 0.041887052
[3971,] 0.759403229 0.216216400 0.024380326
[3972,] 0.844426811 0.142755002 0.012818143
[3973,] 0.863928616 0.124400429 0.011670958
[3974,] 0.687495351 0.261078268 0.051426344
[3975,] 0.610122800 0.364632130 0.025245043
[3976,] 0.574548542 0.373619795 0.051831663
[3977,] 0.747070253 0.227134049 0.025795683
[3978,] 0.302839816 0.506121576 0.191038623
[3979,] 0.841950417 0.150082156 0.007967374
[3980,] 0.376759619 0.421647727 0.201592654
[3981,] 0.317197561 0.531571567 0.151230872
[3982,] 0.634214401 0.338238299 0.027547341
[3983,] 0.570667446 0.348016560 0.081315994
[3984,] 0.197927311 0.256323010 0.545749664
[3985,] 0.618566394 0.335004389 0.046429247
[3986,] 0.368888438 0.585888386 0.045223143
[3987,] 0.683092952 0.291631073 0.025275994
[3988,] 0.661654711 0.318164349 0.020180926
[3989,] 0.854559302 0.139200866 0.006239872
[3990,] 0.574805260 0.294437319 0.130757421
[3991,] 0.857548594 0.124629952 0.017821424
[3992,] 0.909885347 0.077772081 0.012342576
[3993,] 0.761359751 0.215688035 0.022952203
[3994,] 0.803058207 0.143335193 0.053606618
[3995,] 0.565902710 0.366739184 0.067358077
[3996,] 0.611590028 0.333396047 0.055013910
[3997,] 0.640178442 0.284867644 0.074953921
[3998,] 0.726881087 0.230338141 0.042780776
[3999,] 0.677161932 0.284474134 0.038363978
[4000,] 0.803597748 0.172833622 0.023568692
[4001,] 0.627517939 0.323688537 0.048793510
[4002,] 0.022316746 0.101379924 0.876303315
[4003,] 0.023563297 0.134028941 0.842407763
[4004,] 0.048575893 0.301442266 0.649981797
[4005,] 0.023142386 0.103655398 0.873202205
[4006,] 0.062822305 0.168546915 0.768630803
[4007,] 0.802670777 0.184758380 0.012570865
[4008,] 0.726688027 0.230369255 0.042942747
[4009,] 0.719887257 0.248487905 0.031624813
[4010,] 0.615187347 0.363836169 0.020976525
[4011,] 0.592164338 0.380627155 0.027208555
[4012,] 0.640876532 0.286820084 0.072303370
[4013,] 0.765922070 0.212492123 0.021585865
[4014,] 0.283648759 0.330504119 0.385847121
[4015,] 0.402072668 0.476591021 0.121336341
[4016,] 0.695343196 0.277458191 0.027198562
[4017,] 0.472572207 0.498943001 0.028484819
[4018,] 0.294848144 0.459338456 0.245813355
[4019,] 0.719264388 0.238886997 0.041848563
[4020,] 0.589008033 0.271229237 0.139762715
[4021,] 0.739399076 0.235886618 0.024714297
[4022,] 0.876931846 0.114806168 0.008261973
[4023,] 0.616950035 0.358874112 0.024175877
[4024,] 0.803491950 0.179998472 0.016509524
[4025,] 0.278988212 0.690613747 0.030398075
[4026,] 0.365627289 0.583032906 0.051339835
[4027,] 0.680281162 0.271059662 0.048659168
[4028,] 0.668556392 0.289557546 0.041885998
[4029,] 0.823483229 0.165542647 0.010974118
[4030,] 0.267595291 0.435851723 0.296552956
[4031,] 0.781257808 0.211205631 0.007536562
[4032,] 0.806644678 0.178104952 0.015250394
[4033,] 0.107782766 0.378391594 0.513825595
[4034,] 0.022981487 0.110739157 0.866279423
[4035,] 0.024825433 0.139393985 0.835780501
[4036,] 0.029729901 0.186887279 0.783382833
[4037,] 0.023246771 0.141513407 0.835239887
[4038,] 0.017656745 0.136081204 0.846262038
[4039,] 0.019724388 0.130430415 0.849845231
[4040,] 0.023903387 0.136896387 0.839200258
[4041,] 0.015137747 0.116964586 0.867897689
[4042,] 0.085078865 0.185187921 0.729733229
[4043,] 0.667616189 0.259957224 0.072426558
[4044,] 0.739311457 0.196840331 0.063848235
[4045,] 0.564788997 0.414238304 0.020972701
[4046,] 0.548865080 0.316615671 0.134519234
[4047,] 0.081485398 0.854116857 0.064397700
[4048,] 0.769181192 0.189457908 0.041360874
[4049,] 0.905625701 0.085410893 0.008963357
[4050,] 0.723980427 0.253287166 0.022732398
[4051,] 0.024244957 0.196300685 0.779454350
[4052,] 0.817964494 0.163710713 0.018324798
[4053,] 0.874756157 0.113106675 0.012137178
[4054,] 0.789851546 0.169396505 0.040751994
[4055,] 0.731408656 0.230473727 0.038117588
[4056,] 0.575954616 0.392944336 0.031101065
[4057,] 0.517061353 0.429076552 0.053862099
[4058,] 0.600339472 0.364922583 0.034737989
[4059,] 0.795889080 0.177935362 0.026175519
[4060,] 0.811250746 0.175399363 0.013349879
[4061,] 0.702625990 0.277888834 0.019485166
[4062,] 0.580418766 0.367668241 0.051912993
[4063,] 0.288157284 0.679746211 0.032096475
[4064,] 0.437476397 0.511482000 0.051041618
[4065,] 0.333974481 0.593516052 0.072509468
[4066,] 0.622612476 0.303604633 0.073782906
[4067,] 0.606782317 0.268066496 0.125151202
[4068,] 0.664006054 0.282427400 0.053566601
[4069,] 0.667598724 0.283146322 0.049254943
[4070,] 0.863697827 0.127348825 0.008953396
[4071,] 0.480682403 0.320516884 0.198800698
[4072,] 0.219730914 0.143126965 0.637142122
[4073,] 0.855081379 0.132977679 0.011940983
[4074,] 0.669812441 0.277137250 0.053050309
[4075,] 0.420692027 0.536870956 0.042437010
[4076,] 0.748141050 0.231952623 0.019906322
[4077,] 0.356110692 0.587306023 0.056583289
[4078,] 0.680964887 0.232984215 0.086050913
[4079,] 0.752735198 0.228082195 0.019182632
[4080,] 0.935375035 0.058442432 0.006182545
[4081,] 0.668795884 0.310463339 0.020740768
[4082,] 0.689456344 0.265351266 0.045192394
[4083,] 0.674276769 0.290391892 0.035331301
[4084,] 0.497973770 0.392944962 0.109081231
[4085,] 0.720057249 0.234468669 0.045474082
[4086,] 0.017574999 0.117653869 0.864771187
[4087,] 0.006979997 0.053672239 0.939347804
[4088,] 0.005584550 0.054179359 0.940236092
[4089,] 0.111477360 0.560849249 0.327673405
[4090,] 0.023721591 0.147414073 0.828864336
[4091,] 0.005736891 0.044751983 0.949511111
[4092,] 0.017029043 0.112472862 0.870498121
[4093,] 0.009814736 0.090970308 0.899214923
[4094,] 0.033665054 0.129359156 0.836975753
[4095,] 0.682425320 0.199908033 0.117666654
[4096,] 0.813803792 0.177336439 0.008859826
[4097,] 0.833185494 0.159198076 0.007616491
[4098,] 0.326414287 0.435900062 0.237685651
[4099,] 0.840977132 0.146918669 0.012104204
[4100,] 0.798992038 0.187174141 0.013833857
[4101,] 0.671534300 0.292961031 0.035504635
[4102,] 0.783923805 0.184900209 0.031175939
[4103,] 0.877281427 0.114661567 0.008056972
[4104,] 0.883672059 0.100060970 0.016266933
[4105,] 0.030429645 0.892299712 0.077270627
[4106,] 0.790338874 0.185207248 0.024453815
[4107,] 0.864244282 0.126974329 0.008781391
[4108,] 0.022590289 0.126477122 0.850932539
[4109,] 0.210785076 0.410705447 0.378509432
[4110,] 0.724043608 0.240485147 0.035471231
[4111,] 0.349340856 0.381515712 0.269143432
[4112,] 0.680296898 0.300816119 0.018886957
[4113,] 0.721348941 0.256708980 0.021942057
[4114,] 0.589692593 0.285394698 0.124912761
[4115,] 0.773411632 0.200820163 0.025768176
[4116,] 0.386877447 0.306386232 0.306736350
[4117,] 0.646772385 0.309934318 0.043293316
[4118,] 0.832207739 0.144345731 0.023446575
[4119,] 0.717255235 0.239424035 0.043320738
[4120,] 0.757989347 0.202022925 0.039987784
[4121,] 0.852352679 0.140420109 0.007227183
[4122,] 0.132717639 0.699012816 0.168269515
[4123,] 0.422735125 0.504171789 0.073093101
[4124,] 0.690296471 0.275413573 0.034290034
[4125,] 0.742790103 0.235722452 0.021487441
[4126,] 0.756013215 0.223403469 0.020583304
[4127,] 0.490436524 0.446734756 0.062828667
[4128,] 0.293253094 0.667618871 0.039128061
[4129,] 0.682807446 0.284181803 0.033010744
[4130,] 0.848367691 0.137216136 0.014416144
[4131,] 0.605047584 0.312818050 0.082134344
[4132,] 0.396233350 0.270917088 0.332849532
[4133,] 0.695046365 0.283308983 0.021644622
[4134,] 0.536190093 0.358510584 0.105299376
[4135,] 0.514288187 0.442241430 0.043470357
[4136,] 0.828749657 0.163475931 0.007774390
[4137,] 0.672488034 0.298144817 0.029367177
[4138,] 0.752265632 0.235377669 0.012356676
[4139,] 0.430922508 0.469190121 0.099887423
[4140,] 0.520376742 0.434874564 0.044748694
[4141,] 0.744443417 0.225972459 0.029584138
[4142,] 0.538993716 0.390092790 0.070913464
[4143,] 0.634810984 0.325767189 0.039421834
[4144,] 0.577511072 0.392778009 0.029710928
[4145,] 0.701347351 0.239813328 0.058839355
[4146,] 0.461143106 0.473389894 0.065466948
[4147,] 0.786518514 0.202089623 0.011391832
[4148,] 0.605245292 0.340820551 0.053934194
[4149,] 0.018513704 0.070609085 0.910877228
[4150,] 0.014015330 0.082750089 0.903234601
[4151,] 0.024948606 0.078414194 0.896637261
[4152,] 0.024319978 0.145408437 0.830271542
[4153,] 0.019308107 0.104423963 0.876267970
[4154,] 0.036441363 0.180930793 0.782627821
[4155,] 0.766593516 0.215808555 0.017597938
[4156,] 0.781399727 0.207444906 0.011155405
[4157,] 0.592435420 0.325519860 0.082044721
[4158,] 0.853172243 0.126648724 0.020179059
[4159,] 0.714902461 0.256443769 0.028653793
[4160,] 0.453081876 0.431488514 0.115429647
[4161,] 0.687947392 0.278744042 0.033308633
[4162,] 0.663681984 0.305837363 0.030480642
[4163,] 0.674040318 0.257834703 0.068124980
[4164,] 0.790777802 0.198437557 0.010784623
[4165,] 0.575939417 0.390182644 0.033877950
[4166,] 0.862342119 0.125757262 0.011900604
[4167,] 0.598647773 0.378211349 0.023140866
[4168,] 0.724804044 0.257931530 0.017264398
[4169,] 0.713281572 0.247357652 0.039360743
[4170,] 0.725186646 0.261606157 0.013207241
[4171,] 0.774387896 0.128339589 0.097272523
[4172,] 0.051294874 0.329908520 0.618796587
[4173,] 0.022743486 0.109204352 0.868052185
[4174,] 0.003584951 0.097613342 0.898801684
[4175,] 0.025421258 0.137590230 0.836988449
[4176,] 0.019964943 0.123023927 0.857011199
[4177,] 0.011845039 0.117867872 0.870287120
[4178,] 0.925402582 0.065536536 0.009060897
[4179,] 0.860579967 0.133471832 0.005948200
[4180,] 0.579704404 0.377477378 0.042818222
[4181,] 0.402470738 0.428591907 0.168937415
[4182,] 0.578993797 0.213340044 0.207666188
[4183,] 0.627285957 0.235822961 0.136891067
[4184,] 0.701903224 0.274038345 0.024058454
[4185,] 0.509903729 0.420768857 0.069327399
[4186,] 0.661918342 0.298135042 0.039946638
[4187,] 0.541612327 0.411362678 0.047025025
[4188,] 0.863851428 0.116262116 0.019886484
[4189,] 0.713116944 0.249735475 0.037147600
[4190,] 0.764438570 0.206475019 0.029086389
[4191,] 0.012499630 0.106437258 0.881063104
[4192,] 0.013997935 0.085777968 0.900224149
[4193,] 0.015546568 0.136934981 0.847518444
[4194,] 0.015550938 0.152308211 0.832140863
[4195,] 0.007190425 0.187238246 0.805571377
[4196,] 0.342049569 0.576021910 0.081928484
[4197,] 0.673497856 0.290426463 0.036075622
[4198,] 0.476088345 0.488798201 0.035113461
[4199,] 0.750620484 0.221420527 0.027959017
[4200,] 0.787543535 0.188837305 0.023619153
[4201,] 0.669928133 0.287523270 0.042548593
[4202,] 0.795171976 0.191412657 0.013415386
[4203,] 0.620611012 0.344882786 0.034506153
[4204,] 0.014664380 0.090791143 0.894544482
[4205,] 0.021578981 0.151989207 0.826431870
[4206,] 0.016084185 0.095662259 0.888253570
[4207,] 0.002895314 0.024552111 0.972552538
[4208,] 0.601786673 0.342669696 0.055543624
[4209,] 0.702580929 0.282263637 0.015155473
[4210,] 0.670876026 0.302600503 0.026523501
[4211,] 0.695780516 0.220096290 0.084123187
[4212,] 0.762946844 0.209325552 0.027727595
[4213,] 0.811806560 0.176174104 0.012019344
[4214,] 0.420328051 0.465015799 0.114656098
[4215,] 0.695715249 0.266468763 0.037816040
[4216,] 0.858448446 0.129955873 0.011595681
[4217,] 0.366009682 0.585597217 0.048393089
[4218,] 0.555434346 0.421132863 0.023432810
[4219,] 0.819759250 0.169625133 0.010615577
[4220,] 0.689468861 0.288314193 0.022216925
[4221,] 0.015086737 0.116756812 0.868156493
[4222,] 0.055847619 0.249589324 0.694563031
[4223,] 0.016295070 0.172189951 0.811514914
[4224,] 0.636682928 0.321657002 0.041660056
[4225,] 0.050262056 0.831748128 0.117989838
[4226,] 0.515464365 0.417067319 0.067468330
[4227,] 0.673711061 0.293639779 0.032649148
[4228,] 0.293232352 0.487082571 0.219685107
[4229,] 0.902949154 0.090430342 0.006620468
[4230,] 0.472161502 0.465718865 0.062119674
[4231,] 0.832244813 0.156034395 0.011720805
[4232,] 0.681632280 0.281618536 0.036749128
[4233,] 0.608743489 0.288280725 0.102975786
[4234,] 0.869376957 0.124686264 0.005936806
[4235,] 0.301727384 0.180177391 0.518095255
[4236,] 0.202172756 0.448412836 0.349414349
[4237,] 0.178983435 0.313292563 0.507723987
[4238,] 0.488909751 0.467918456 0.043171775
[4239,] 0.797895551 0.163730770 0.038373679
[4240,] 0.763044357 0.204839662 0.032116007
[4241,] 0.858695745 0.129794180 0.011510108
[4242,] 0.754237473 0.225327045 0.020435490
[4243,] 0.728334725 0.248525292 0.023140017
[4244,] 0.479650319 0.275691211 0.244658470
[4245,] 0.019027255 0.077773057 0.903199673
[4246,] 0.017676326 0.105752356 0.876571357
[4247,] 0.019278405 0.089254647 0.891466975
[4248,] 0.624276459 0.337722540 0.038000993
[4249,] 0.494768858 0.442648798 0.062582277
[4250,] 0.591782808 0.370382160 0.037835054
[4251,] 0.708900332 0.250649691 0.040449977
[4252,] 0.777898252 0.204612046 0.017489733
[4253,] 0.592843890 0.346695781 0.060460273
[4254,] 0.693670869 0.289292127 0.017037040
[4255,] 0.699832141 0.265175074 0.034992766
[4256,] 0.761418402 0.222856030 0.015725542
[4257,] 0.551014602 0.331409335 0.117576078
[4258,] 0.251694083 0.715977073 0.032328825
[4259,] 0.287111431 0.540608227 0.172280341
[4260,] 0.681913078 0.226794749 0.091292173
[4261,] 0.047550123 0.830343366 0.122106455
[4262,] 0.845579803 0.134836182 0.019584006
[4263,] 0.769645870 0.208756864 0.021597296
[4264,] 0.859930277 0.128250659 0.011819058
[4265,] 0.866580009 0.123276561 0.010143478
[4266,] 0.557443619 0.391621977 0.050934382
[4267,] 0.685382545 0.277873456 0.036743972
[4268,] 0.898496807 0.089895710 0.011607458
[4269,] 0.374634027 0.570870042 0.054495897
[4270,] 0.033493135 0.159728616 0.806778193
[4271,] 0.013264202 0.097571217 0.889164567
[4272,] 0.013900748 0.092228062 0.893871129
[4273,] 0.814535499 0.171751469 0.013713025
[4274,] 0.832189441 0.158568189 0.009242374
[4275,] 0.584247470 0.289686084 0.126066417
[4276,] 0.484364957 0.455106139 0.060528848
[4277,] 0.744561136 0.190711111 0.064727746
[4278,] 0.707926869 0.258329451 0.033743672
[4279,] 0.593599141 0.355948508 0.050452363
[4280,] 0.843003809 0.119090647 0.037905533
[4281,] 0.585980415 0.176562130 0.237457454
[4282,] 0.742151201 0.227364436 0.030484341
[4283,] 0.879905045 0.106133766 0.013961222
[4284,] 0.730636537 0.249401808 0.019961717
[4285,] 0.506146252 0.474115461 0.019738292
[4286,] 0.362101853 0.588498712 0.049399450
[4287,] 0.599136770 0.357703358 0.043159839
[4288,] 0.758451462 0.202317402 0.039231122
[4289,] 0.871693373 0.121352188 0.006954373
[4290,] 0.031815607 0.202732876 0.765451491
[4291,] 0.026444826 0.131443769 0.842111349
[4292,] 0.021116890 0.109411873 0.869471252
[4293,] 0.021069817 0.120440565 0.858489633
[4294,] 0.015478155 0.084630646 0.899891257
[4295,] 0.013493855 0.107559487 0.878946662
[4296,] 0.007204358 0.059898980 0.932896674
[4297,] 0.834013700 0.150500715 0.015485595
[4298,] 0.599446118 0.340732485 0.059821356
[4299,] 0.760029197 0.227601469 0.012369359
[4300,] 0.656886160 0.302354902 0.040758893
[4301,] 0.642195046 0.322597146 0.035207778
[4302,] 0.672548115 0.268360645 0.059091218
[4303,] 0.852589726 0.128757939 0.018652335
[4304,] 0.657780707 0.301451117 0.040768221
[4305,] 0.534992695 0.347199708 0.117807627
[4306,] 0.414233446 0.488873690 0.096892811
[4307,] 0.524504304 0.434500039 0.040995643
[4308,] 0.623681068 0.317674428 0.058644507
[4309,] 0.014895795 0.061223168 0.923881054
[4310,] 0.010889918 0.074861281 0.914248824
[4311,] 0.027890636 0.160656452 0.811452925
[4312,] 0.025472019 0.096988648 0.877539337
[4313,] 0.021137422 0.124014139 0.854848444
[4314,] 0.786381006 0.203796968 0.009822018
[4315,] 0.768413663 0.206739396 0.024846980
[4316,] 0.645239294 0.301767230 0.052993540
[4317,] 0.833570898 0.160855502 0.005573672
[4318,] 0.693757176 0.265427142 0.040815689
[4319,] 0.423358828 0.463695258 0.112945899
[4320,] 0.632175922 0.322543740 0.045280326
[4321,] 0.622871280 0.352104604 0.025024120
[4322,] 0.668188572 0.296882540 0.034928896
[4323,] 0.548197627 0.433322281 0.018480094
[4324,] 0.836196065 0.153087780 0.010716086
[4325,] 0.210894227 0.251655191 0.537450552
[4326,] 0.655314386 0.232790589 0.111895002
[4327,] 0.702383697 0.256351590 0.041264694
[4328,] 0.715820134 0.272806525 0.011373349
[4329,] 0.010936006 0.063464314 0.925599694
[4330,] 0.025818896 0.120363489 0.853817642
[4331,] 0.885698318 0.100474067 0.013827664
[4332,] 0.902725160 0.084202178 0.013072628
[4333,] 0.496234447 0.455597907 0.048167698
[4334,] 0.888990343 0.102311008 0.008698655
[4335,] 0.840466082 0.149498895 0.010034988
[4336,] 0.228333294 0.595729649 0.175937057
[4337,] 0.014320580 0.094263844 0.891415536
[4338,] 0.018022649 0.121642023 0.860335350
[4339,] 0.512301087 0.394657522 0.093041368
[4340,] 0.843846679 0.138859957 0.017293369
[4341,] 0.567465603 0.365986377 0.066547982
[4342,] 0.772351086 0.204112470 0.023536403
[4343,] 0.756251872 0.207360059 0.036388047
[4344,] 0.709741890 0.256178558 0.034079552
[4345,] 0.864022851 0.126345247 0.009631910
[4346,] 0.863251090 0.126299948 0.010448985
[4347,] 0.829604328 0.158243224 0.012152465
[4348,] 0.693300545 0.271276802 0.035422619
[4349,] 0.524318516 0.422718138 0.052963357
[4350,] 0.716857851 0.275755435 0.007386712
[4351,] 0.562332511 0.380681157 0.056986295
[4352,] 0.491786808 0.461353719 0.046859477
[4353,] 0.554111660 0.412933409 0.032954924
[4354,] 0.291270077 0.574876964 0.133852974
[4355,] 0.285501182 0.640833557 0.073665217
[4356,] 0.873806238 0.116730288 0.009463496
[4357,] 0.028635669 0.184263662 0.787100673
[4358,] 0.014096874 0.089576900 0.896326244
[4359,] 0.012407683 0.087907955 0.899684310
[4360,] 0.629527330 0.339309335 0.031163296
[4361,] 0.707642972 0.255972743 0.036384277
[4362,] 0.852373719 0.135519460 0.012106790
[4363,] 0.805822015 0.182888642 0.011289356
[4364,] 0.800788999 0.177468836 0.021742212
[4365,] 0.814707279 0.168019459 0.017273284
[4366,] 0.710845888 0.262192011 0.026962070
[4367,] 0.733110666 0.221485108 0.045404192
[4368,] 0.684899926 0.264424354 0.050675713
[4369,] 0.541550994 0.390794814 0.067654215
[4370,] 0.853957295 0.140869319 0.005173342
[4371,] 0.783818841 0.201535538 0.014645654
[4372,] 0.849771261 0.133735582 0.016493147
[4373,] 0.632464945 0.327003330 0.040531702
[4374,] 0.002834772 0.014703790 0.982461393
[4375,] 0.042836927 0.164399222 0.792763889
[4376,] 0.016381107 0.113916822 0.869702101
[4377,] 0.028107556 0.197963879 0.773928583
[4378,] 0.048721280 0.134204835 0.817073941
[4379,] 0.587081373 0.384927362 0.027991276
[4380,] 0.331873685 0.567760170 0.100366160
[4381,] 0.900071442 0.093699045 0.006229543
[4382,] 0.861534238 0.123504996 0.014960743
[4383,] 0.643061936 0.338271558 0.018666480
[4384,] 0.644258916 0.329692155 0.026048968
[4385,] 0.778043687 0.204711899 0.017244417
[4386,] 0.601676166 0.363108397 0.035215449
[4387,] 0.682590604 0.209192738 0.108216621
[4388,] 0.670491040 0.249327213 0.080181710
[4389,] 0.818828702 0.164043948 0.017127348
[4390,] 0.255430371 0.637367666 0.107201964
[4391,] 0.850483537 0.143975496 0.005541024
[4392,] 0.623124897 0.356054187 0.020820985
[4393,] 0.130453914 0.206789479 0.662756622
[4394,] 0.841015875 0.148019761 0.010964287
[4395,] 0.017360061 0.109318785 0.873321176
[4396,] 0.002135797 0.130563349 0.867300808
[4397,] 0.007684974 0.118941635 0.873373389
[4398,] 0.013021456 0.118272260 0.868706226
[4399,] 0.061616659 0.188415483 0.749967873
[4400,] 0.021248607 0.182014778 0.796736598
[4401,] 0.004806032 0.051786929 0.943406999
[4402,] 0.033903200 0.142845213 0.823251545
[4403,] 0.659120619 0.300644249 0.040235169
[4404,] 0.655039847 0.326206595 0.018753536
[4405,] 0.303326607 0.604940414 0.091733031
[4406,] 0.692795932 0.280863225 0.026340870
[4407,] 0.908768356 0.085507222 0.005724429
[4408,] 0.566405714 0.349121660 0.084472649
[4409,] 0.675637543 0.306138694 0.018223738
[4410,] 0.334440857 0.614738345 0.050820783
[4411,] 0.262008786 0.721245706 0.016745519
[4412,] 0.619381249 0.351303577 0.029315202
[4413,] 0.435786337 0.384664059 0.179549620
[4414,] 0.496737748 0.463550776 0.039711457
[4415,] 0.094757520 0.617139995 0.288102478
[4416,] 0.396366864 0.534695208 0.068937920
[4417,] 0.702607870 0.276598692 0.020793464
[4418,] 0.466181427 0.494089782 0.039728820
[4419,] 0.263630003 0.634595633 0.101774342
[4420,] 0.330805480 0.629812419 0.039382152
[4421,] 0.283429682 0.598259747 0.118310586
[4422,] 0.689440310 0.280943125 0.029616522
[4423,] 0.268681973 0.674809933 0.056508094
[4424,] 0.640300155 0.343584448 0.016115399
[4425,] 0.697733402 0.271443248 0.030823344
[4426,] 0.470103472 0.455275834 0.074620761
[4427,] 0.226831093 0.665307105 0.107861780
[4428,] 0.838321686 0.149897680 0.011780605
[4429,] 0.788579762 0.203029513 0.008390762
[4430,] 0.665925980 0.310383439 0.023690622
[4431,] 0.821823478 0.164447442 0.013729032
[4432,] 0.019009694 0.124314658 0.856675625
[4433,] 0.013117438 0.088409483 0.898473024
[4434,] 0.019561950 0.110156566 0.870281518
[4435,] 0.011805704 0.071623467 0.916570783
[4436,] 0.005780271 0.056223564 0.937996209
[4437,] 0.007156692 0.080439880 0.912403464
[4438,] 0.191764012 0.171781555 0.636454403
[4439,] 0.727043331 0.250118285 0.022838337
[4440,] 0.757432103 0.234440655 0.008127307
[4441,] 0.706719458 0.273052931 0.020227576
[4442,] 0.599198282 0.362073958 0.038727753
[4443,] 0.837768614 0.153663874 0.008567536
[4444,] 0.718155086 0.234035045 0.047809850
[4445,] 0.853420317 0.134189188 0.012390511
[4446,] 0.868940234 0.119913898 0.011145937
[4447,] 0.858686328 0.119826518 0.021487139
[4448,] 0.704634726 0.263144821 0.032220479
[4449,] 0.849946320 0.119316787 0.030736914
[4450,] 0.562815309 0.394224226 0.042960458
[4451,] 0.729147673 0.250882417 0.019969845
[4452,] 0.830052853 0.154311374 0.015635815
[4453,] 0.878010869 0.112398624 0.009590515
[4454,] 0.854728162 0.138093099 0.007178759
[4455,] 0.833109617 0.154286265 0.012604172
[4456,] 0.704549134 0.260886699 0.034564205
[4457,] 0.566953778 0.391386151 0.041660100
[4458,] 0.782517195 0.181092292 0.036390480
[4459,] 0.734999597 0.234602377 0.030397976
[4460,] 0.330779046 0.342067808 0.327153146
[4461,] 0.876205444 0.101001188 0.022793345
[4462,] 0.697110057 0.246808425 0.056081526
[4463,] 0.720421731 0.238141626 0.041436635
[4464,] 0.810133874 0.172002599 0.017863519
[4465,] 0.643490493 0.312097967 0.044411551
[4466,] 0.823292077 0.134933978 0.041773930
[4467,] 0.475170791 0.398880541 0.125948638
[4468,] 0.859932601 0.106866203 0.033201259
[4469,] 0.338565409 0.572871387 0.088563226
[4470,] 0.330919147 0.563301623 0.105779208
[4471,] 0.611814916 0.329082012 0.059103135
[4472,] 0.216980562 0.715986550 0.067032889
[4473,] 0.434268087 0.400146872 0.165585071
[4474,] 0.841602147 0.139775261 0.018622598
[4475,] 0.382656068 0.596137583 0.021206323
[4476,] 0.542882204 0.395007312 0.062110528
[4477,] 0.644282460 0.321065396 0.034652144
[4478,] 0.853139639 0.140285179 0.006575234
[4479,] 0.021218983 0.093786843 0.884994149
[4480,] 0.003965022 0.028406022 0.967629015
[4481,] 0.022653595 0.122004531 0.855341852
[4482,] 0.040183429 0.269996822 0.689819753
[4483,] 0.012945979 0.068916187 0.918137848
[4484,] 0.004505529 0.031471785 0.964022636
[4485,] 0.056018215 0.161621675 0.782360077
[4486,] 0.019543666 0.103998832 0.876457512
[4487,] 0.066389903 0.248660058 0.684949994
[4488,] 0.013872579 0.101799823 0.884327650
[4489,] 0.858326852 0.130527988 0.011145094
[4490,] 0.600141883 0.298232168 0.101625994
[4491,] 0.621603429 0.331635088 0.046761509
[4492,] 0.790305674 0.191508546 0.018185794
[4493,] 0.848465502 0.138041854 0.013492597
[4494,] 0.758714378 0.223101392 0.018184185
[4495,] 0.676095665 0.273711413 0.050192971
[4496,] 0.721756637 0.246975645 0.031267677
[4497,] 0.406350940 0.323231488 0.270417601
[4498,] 0.613393188 0.257799476 0.128807351
[4499,] 0.826078057 0.166939497 0.006982478
[4500,] 0.824366450 0.164923936 0.010709587
[4501,] 0.542945981 0.334547520 0.122506469
[4502,] 0.607838452 0.328788400 0.063373201
[4503,] 0.192097872 0.503401160 0.304500997
[4504,] 0.019051543 0.123515509 0.857432961
[4505,] 0.021974923 0.122911341 0.855113804
[4506,] 0.005068881 0.257119209 0.737811923
[4507,] 0.784797132 0.196300730 0.018902147
[4508,] 0.709343433 0.254271775 0.036384769
[4509,] 0.415064186 0.507662356 0.077273428
[4510,] 0.874967635 0.112793781 0.012238527
[4511,] 0.862311065 0.123323023 0.014365924
[4512,] 0.510039151 0.448455542 0.041505292
[4513,] 0.799239397 0.180681810 0.020078823
[4514,] 0.451131850 0.469758183 0.079109959
[4515,] 0.070667230 0.842201471 0.087131277
[4516,] 0.239143267 0.532417715 0.228439063
[4517,] 0.700983822 0.273477167 0.025538996
[4518,] 0.451707482 0.352305651 0.195986897
[4519,] 0.731746078 0.246406078 0.021847839
[4520,] 0.605076790 0.234916911 0.160006315
[4521,] 0.454568148 0.342181981 0.203249857
[4522,] 0.170272008 0.727647841 0.102080204
[4523,] 0.631183386 0.328057349 0.040759254
[4524,] 0.289745212 0.503163636 0.207091153
[4525,] 0.639570236 0.340320855 0.020108942
[4526,] 0.028551543 0.141952470 0.829495966
[4527,] 0.022968665 0.135224253 0.841807067
[4528,] 0.011669815 0.064313099 0.924017131
[4529,] 0.020899776 0.136339828 0.842760444
[4530,] 0.007191747 0.051404290 0.941403985
[4531,] 0.023506885 0.140501052 0.835992098
[4532,] 0.015136369 0.085486688 0.899376929
[4533,] 0.013806745 0.072428226 0.913765073
[4534,] 0.018438218 0.106375933 0.875185847
[4535,] 0.735043108 0.225683019 0.039273873
[4536,] 0.846849918 0.112260468 0.040889654
[4537,] 0.818852246 0.162782580 0.018365171
[4538,] 0.823288083 0.166866824 0.009845098
[4539,] 0.560483396 0.360566586 0.078950025
[4540,] 0.469567180 0.477484763 0.052948095
[4541,] 0.330868810 0.534291625 0.134839609
[4542,] 0.469486535 0.503725052 0.026788391
[4543,] 0.626439750 0.318244308 0.055315994
[4544,] 0.606861591 0.327380508 0.065757893
[4545,] 0.621899366 0.304508954 0.073591709
[4546,] 0.605078757 0.332165718 0.062755518
[4547,] 0.727073550 0.230226770 0.042699710
[4548,] 0.586522222 0.325102746 0.088375024
[4549,] 0.626242042 0.316564649 0.057193279
[4550,] 0.783912063 0.182523504 0.033564374
[4551,] 0.024394119 0.841437459 0.134168446
[4552,] 0.631713748 0.326755017 0.041531291
[4553,] 0.002767695 0.020422881 0.976809442
[4554,] 0.016848212 0.064619601 0.918532193
[4555,] 0.007711976 0.065438144 0.926849902
[4556,] 0.053474091 0.176541582 0.769984305
[4557,] 0.003562472 0.227880150 0.768557370
[4558,] 0.775791645 0.168528005 0.055680357
[4559,] 0.734969914 0.232679322 0.032350767
[4560,] 0.643898010 0.341219902 0.014882086
[4561,] 0.739121974 0.250973165 0.009904831
[4562,] 0.843797863 0.139544338 0.016657766
[4563,] 0.341609895 0.629165709 0.029224413
[4564,] 0.911495090 0.079682045 0.008822847
[4565,] 0.717730105 0.249798954 0.032470912
[4566,] 0.108923644 0.267413914 0.623662472
[4567,] 0.020144686 0.150366366 0.829488993
[4568,] 0.014974285 0.064154267 0.920871496
[4569,] 0.675954759 0.285657287 0.038387954
[4570,] 0.834793448 0.150062531 0.015143997
[4571,] 0.470266342 0.414178282 0.115555421
[4572,] 0.893927515 0.098883219 0.007189269
[4573,] 0.821139157 0.157307476 0.021553392
[4574,] 0.032595161 0.184752226 0.782652557
[4575,] 0.014011309 0.089089207 0.896899521
[4576,] 0.706642270 0.258352071 0.035005689
[4577,] 0.540662110 0.329655290 0.129682600
[4578,] 0.792052984 0.191530585 0.016416434
[4579,] 0.578686059 0.392280281 0.029033631
[4580,] 0.652440667 0.323217422 0.024341894
[4581,] 0.427919626 0.520639896 0.051440462
[4582,] 0.680174768 0.278486401 0.041338805
[4583,] 0.538938224 0.319257498 0.141804263
[4584,] 0.142436415 0.693670094 0.163893461
[4585,] 0.358626187 0.429481924 0.211891890
[4586,] 0.777339876 0.207331210 0.015328966
[4587,] 0.848719716 0.142116323 0.009163948
[4588,] 0.678260982 0.301812977 0.019926008
[4589,] 0.202577710 0.301906586 0.495515764
[4590,] 0.846674860 0.141876340 0.011448826
[4591,] 0.729179502 0.219593540 0.051226988
[4592,] 0.651666403 0.296841264 0.051492386
[4593,] 0.524788916 0.400330812 0.074880280
[4594,] 0.894205809 0.087377213 0.018416973
[4595,] 0.577842474 0.313993216 0.108164288
[4596,] 0.015369456 0.114032276 0.870598316
[4597,] 0.026210563 0.139522150 0.834267259
[4598,] 0.310215086 0.596021056 0.093763851
[4599,] 0.016815556 0.122780748 0.860403657
[4600,] 0.016399132 0.081994668 0.901606202
[4601,] 0.105994500 0.290464610 0.603540897
[4602,] 0.039326195 0.189040795 0.771633029
[4603,] 0.005841823 0.203125015 0.791033208
[4604,] 0.012384968 0.103861816 0.883753240
[4605,] 0.723196030 0.252095938 0.024708068
[4606,] 0.665800929 0.268223852 0.065975174
[4607,] 0.668197870 0.258420736 0.073381402
[4608,] 0.574696958 0.363441020 0.061861977
[4609,] 0.601741731 0.333310604 0.064947642
[4610,] 0.044954114 0.170544893 0.784501016
[4611,] 0.006572365 0.096893378 0.896534204
[4612,] 0.508689344 0.415343374 0.075967245
[4613,] 0.046538416 0.252919734 0.700541854
[4614,] 0.033891130 0.228344202 0.737764657
[4615,] 0.010982264 0.052427001 0.936590791
[4616,] 0.756740451 0.228977755 0.014281797
[4617,] 0.550793231 0.333850622 0.115356185
[4618,] 0.673919141 0.289177358 0.036903482
[4619,] 0.436549574 0.318663031 0.244787440
[4620,] 0.011543071 0.104552172 0.883904755
[4621,] 0.016922083 0.152060747 0.831017137
[4622,] 0.689612091 0.274699301 0.035688583
[4623,] 0.873702824 0.119788326 0.006508831
[4624,] 0.011005274 0.170806617 0.818188131
[4625,] 0.003299268 0.066166356 0.930534363
[4626,] 0.015950069 0.105533138 0.878516793
[4627,] 0.004795862 0.136899754 0.858304381
[4628,] 0.009884859 0.120599173 0.869515955
[4629,] 0.009600900 0.138629407 0.851769686
[4630,] 0.017831963 0.121013537 0.861154437
[4631,] 0.016646883 0.084993877 0.898359239
[4632,] 0.087439604 0.792616546 0.119943842
[4633,] 0.016854594 0.104647420 0.878498018
[4634,] 0.622403920 0.242792591 0.134803534
[4635,] 0.014178809 0.080925018 0.904896140
[4636,] 0.021795301 0.139886558 0.838318169
[4637,] 0.013554352 0.119216032 0.867229640
[4638,] 0.006415179 0.041556787 0.952027977
[4639,] 0.025318461 0.102044277 0.872637272
[4640,] 0.021131705 0.119747624 0.859120667
[4641,] 0.015003205 0.110746749 0.874249995
[4642,] 0.034432773 0.138272688 0.827294588
[4643,] 0.051101167 0.151052177 0.797846675
[4644,] 0.002305909 0.124981940 0.872712195
[4645,] 0.034528702 0.180954412 0.784516871
[4646,] 0.008991999 0.099230543 0.891777456
[4647,] 0.012720279 0.090079449 0.897200286
[4648,] 0.031253617 0.106269464 0.862476885
[4649,] 0.435155153 0.326433361 0.238411412
[4650,] 0.341731280 0.507884085 0.150384605
[4651,] 0.008858765 0.064306952 0.926834226
[4652,] 0.007882848 0.119039252 0.873077929
[4653,] 0.048896059 0.223702982 0.727400959
[4654,] 0.025127873 0.120611221 0.854260921
[4655,] 0.040722616 0.097758979 0.861518383
[4656,] 0.060026873 0.089519016 0.850454092
[4657,] 0.037032619 0.105220146 0.857747257
[4658,] 0.017696802 0.094723113 0.887580097
[4659,] 0.023630617 0.106359586 0.870009840
[4660,] 0.022497443 0.128289834 0.849212706
[4661,] 0.433103263 0.527037978 0.039858785
[4662,] 0.015292968 0.089260727 0.895446301
[4663,] 0.030757567 0.243986249 0.725256205
[4664,] 0.894765019 0.098783292 0.006451665
[4665,] 0.032736655 0.185420796 0.781842530
[4666,] 0.037513450 0.182196319 0.780290246
[4667,] 0.025906442 0.091440573 0.882652998
[4668,] 0.002790461 0.022304229 0.974905312
[4669,] 0.029201604 0.147324011 0.823474348
[4670,] 0.010277963 0.046076365 0.943645656
[4671,] 0.009990755 0.116681553 0.873327732
[4672,] 0.028407836 0.104205772 0.867386341
[4673,] 0.032735925 0.221725166 0.745538950
[4674,] 0.072325289 0.223886713 0.703787982
[4675,] 0.008674829 0.079521738 0.911803424
[4676,] 0.006876574 0.041217074 0.951906323
[4677,] 0.014665227 0.163541898 0.821792841
[4678,] 0.030615300 0.120306320 0.849078357
[4679,] 0.832013726 0.155588701 0.012397606
[4680,] 0.038559698 0.219384819 0.742055416
[4681,] 0.467040420 0.286266178 0.246693432
[4682,] 0.022131428 0.128020927 0.849847615
[4683,] 0.014356373 0.137957305 0.847686291
[4684,] 0.028086679 0.148656309 0.823257029
[4685,] 0.853631675 0.125353545 0.021014784
[4686,] 0.072314896 0.198161721 0.729523420
[4687,] 0.014756753 0.064286888 0.920956314
[4688,] 0.010279394 0.050178632 0.939541936
[4689,] 0.002892099 0.072525486 0.924582422
[4690,] 0.010551016 0.149106607 0.840342402
[4691,] 0.010698420 0.226697072 0.762604535
[4692,] 0.003801057 0.020369628 0.975829244
[4693,] 0.783872902 0.174123675 0.042003393
[4694,] 0.004257939 0.017312676 0.978429317
[4695,] 0.018191863 0.084253155 0.897554994
[4696,] 0.017881207 0.122859307 0.859259427
[4697,] 0.013751864 0.129935488 0.856312633
[4698,] 0.840711117 0.132350013 0.026938859
[4699,] 0.020890316 0.136970341 0.842139304
[4700,] 0.003387426 0.085107431 0.911505103
[4701,] 0.014895570 0.087620609 0.897483826
[4702,] 0.013311320 0.111479796 0.875208855
[4703,] 0.006842610 0.104677334 0.888480127
[4704,] 0.035563760 0.163454488 0.800981760
[4705,] 0.026402954 0.157225445 0.816371620
[4706,] 0.018806987 0.114114888 0.867078125
[4707,] 0.021366354 0.118247539 0.860386133
[4708,] 0.012469285 0.055280864 0.932249844
[4709,] 0.028067684 0.195765659 0.776166618
[4710,] 0.093346104 0.330168515 0.576485336
[4711,] 0.015147679 0.120483868 0.864368498
[4712,] 0.047699787 0.182405576 0.769894660
[4713,] 0.831650734 0.156976014 0.011373259
[4714,] 0.016243400 0.094402634 0.889353931
[4715,] 0.002524322 0.016586868 0.980888784
[4716,] 0.090375319 0.705365896 0.204258740
[4717,] 0.833252490 0.147647008 0.019100452
[4718,] 0.008145962 0.207932055 0.783921957
[4719,] 0.029983658 0.154177293 0.815839052
[4720,] 0.018269094 0.176980272 0.804750621
[4721,] 0.004371695 0.027771121 0.967857182
[4722,] 0.011450537 0.064203933 0.924345553
[4723,] 0.268890947 0.560144782 0.170964301
[4724,] 0.026089910 0.150862664 0.823047400
[4725,] 0.021769674 0.154685900 0.823544443
[4726,] 0.059788600 0.153148830 0.787062585
[4727,] 0.032323495 0.211766481 0.755910039
[4728,] 0.661062360 0.322101593 0.016836002
[4729,] 0.010383938 0.043649387 0.945966661
[4730,] 0.026417537 0.169089660 0.804492772
[4731,] 0.035775937 0.115784444 0.848439574
[4732,] 0.023593925 0.108046338 0.868359745
[4733,] 0.047862992 0.166821748 0.785315275
[4734,] 0.019122278 0.189274326 0.791603446
[4735,] 0.019486224 0.119907498 0.860606253
[4736,] 0.022593440 0.147751689 0.829654872
[4737,] 0.726739347 0.183685869 0.089574710
[4738,] 0.034356449 0.350903094 0.614740431
[4739,] 0.032418750 0.166875049 0.800706208
[4740,] 0.010340640 0.139076889 0.850582480
[4741,] 0.030921353 0.125781730 0.843296945
[4742,] 0.043271419 0.166540444 0.790188134
[4743,] 0.181132659 0.238170221 0.580697119
[4744,] 0.015981117 0.210952684 0.773066223
[4745,] 0.009841602 0.071459696 0.918698728
[4746,] 0.014390954 0.063202627 0.922406375
[4747,] 0.012987980 0.154778704 0.832233310
[4748,] 0.028976860 0.165220574 0.805802584
[4749,] 0.005644720 0.075009063 0.919346273
[4750,] 0.023154411 0.164539710 0.812305868
[4751,] 0.051528435 0.176874056 0.771597564
[4752,] 0.006786887 0.063829727 0.929383397
[4753,] 0.013109203 0.083161429 0.903729320
[4754,] 0.004628991 0.081476115 0.913894832
[4755,] 0.016366215 0.166481405 0.817152321
[4756,] 0.106526449 0.132375494 0.761098027
[4757,] 0.008986662 0.123065017 0.867948353
[4758,] 0.029960465 0.166439563 0.803599954
[4759,] 0.015550329 0.087754570 0.896695137
[4760,] 0.022297198 0.142609671 0.835093081
[4761,] 0.003426079 0.070143849 0.926430106
[4762,] 0.007937930 0.201267317 0.790794790
[4763,] 0.002858712 0.147277474 0.849863827
[4764,] 0.945152462 0.050385851 0.004461717
[4765,] 0.027898818 0.186416492 0.785684705
[4766,] 0.013777291 0.081808202 0.904414475
[4767,] 0.028256049 0.903038383 0.068705514
[4768,] 0.632332444 0.174249783 0.193417788
[4769,] 0.692242026 0.270891756 0.036866285
[4770,] 0.009213690 0.064451173 0.926335096
[4771,] 0.017890317 0.085255831 0.896853864
[4772,] 0.043608386 0.256066144 0.700325429
[4773,] 0.047404356 0.135996729 0.816598952
[4774,] 0.241500482 0.303083003 0.455416501
[4775,] 0.071000323 0.107084908 0.821914732
[4776,] 0.723524034 0.245597288 0.030878652
[4777,] 0.008002974 0.081657767 0.910339296
[4778,] 0.004747218 0.254288256 0.740964472
[4779,] 0.014523345 0.078997701 0.906478941
[4780,] 0.029208316 0.101597011 0.869194627
[4781,] 0.018276010 0.108247168 0.873476863
[4782,] 0.789314032 0.173855081 0.036830891
[4783,] 0.033419941 0.178271726 0.788308322
[4784,] 0.657845438 0.298801929 0.043352619
[4785,] 0.007828803 0.093220823 0.898950398
[4786,] 0.029755583 0.193467990 0.776776373
[4787,] 0.006003899 0.037046123 0.956949949
[4788,] 0.039653149 0.214434460 0.745912373
[4789,] 0.010609162 0.115585662 0.873805165
[4790,] 0.842321634 0.144024625 0.013653700
[4791,] 0.025531258 0.162208229 0.812260509
[4792,] 0.014048820 0.084514908 0.901436269
[4793,] 0.524161994 0.421471059 0.054366961
[4794,] 0.003339733 0.203814447 0.792845845
[4795,] 0.006819983 0.044972703 0.948207319
[4796,] 0.032139216 0.158444017 0.809416831
[4797,] 0.010929670 0.078264870 0.910805523
[4798,] 0.040832821 0.136923686 0.822243512
[4799,] 0.104986303 0.337774754 0.557238936
[4800,] 0.369292676 0.366967350 0.263739944
[4801,] 0.036584415 0.180955231 0.782460332
[4802,] 0.030518360 0.136591718 0.832889915
[4803,] 0.047727387 0.219458535 0.732814074
[4804,] 0.007849583 0.095635250 0.896515131
[4805,] 0.003508704 0.027205255 0.969286084
[4806,] 0.003392251 0.060692739 0.935914993
[4807,] 0.017825285 0.114033066 0.868141651
[4808,] 0.550359011 0.348184407 0.101456575
[4809,] 0.007668341 0.322119415 0.670212269
[4810,] 0.652539968 0.319113106 0.028346928
[4811,] 0.012452083 0.080955923 0.906592011
[4812,] 0.026702799 0.144559860 0.828737378
[4813,] 0.011853822 0.076499052 0.911647141
[4814,] 0.811029136 0.152702689 0.036268197
[4815,] 0.693003893 0.283828765 0.023167336
[4816,] 0.056774132 0.220354125 0.722871780
[4817,] 0.013090174 0.091600820 0.895308971
[4818,] 0.050184075 0.257587075 0.692228854
[4819,] 0.014775670 0.138221413 0.847002983
[4820,] 0.671046674 0.291498125 0.037455201
[4821,] 0.652382970 0.302504659 0.045112375
[4822,] 0.650850058 0.301930517 0.047219418
[4823,] 0.712755978 0.263617277 0.023626752
[4824,] 0.013365164 0.061625622 0.925009251
[4825,] 0.035217233 0.103061959 0.861720800
[4826,] 0.004510516 0.380912185 0.614577293
[4827,] 0.008675055 0.106267206 0.885057688
[4828,] 0.006308536 0.305125445 0.688565969
[4829,] 0.028534930 0.159466162 0.811998904
[4830,] 0.046584565 0.217450708 0.735964775
[4831,] 0.007465771 0.195305839 0.797228396
[4832,] 0.019205235 0.084504932 0.896289885
[4833,] 0.012567759 0.113062866 0.874369383
[4834,] 0.055386782 0.246862680 0.697750509
[4835,] 0.016451769 0.074227214 0.909321010
[4836,] 0.040975794 0.148062319 0.810961843
[4837,] 0.725607872 0.260241926 0.014150232
[4838,] 0.015847024 0.101898454 0.882254481
[4839,] 0.019736940 0.145204499 0.835058630
[4840,] 0.011403165 0.149706736 0.838890076
[4841,] 0.028398583 0.243615970 0.727985442
[4842,] 0.020730328 0.164408043 0.814861655
[4843,] 0.017160283 0.096481919 0.886357784
[4844,] 0.408012182 0.274317622 0.317670226
[4845,] 0.781064689 0.204588100 0.014347226
[4846,] 0.750698030 0.238347441 0.010954523
[4847,] 0.752207279 0.231424794 0.016367918
[4848,] 0.668223441 0.302965045 0.028811503
[4849,] 0.185815394 0.235010549 0.579174101
[4850,] 0.003268594 0.113119505 0.883611917
[4851,] 0.025197042 0.089368887 0.885434091
[4852,] 0.039690208 0.205911025 0.754398763
[4853,] 0.030140202 0.144684598 0.825175166
[4854,] 0.013304435 0.144569829 0.842125714
[4855,] 0.050707757 0.254917830 0.694374382
[4856,] 0.033839088 0.076490819 0.889670134
[4857,] 0.031554405 0.118965678 0.849479914
[4858,] 0.004593423 0.021731135 0.973675430
[4859,] 0.012366163 0.103840344 0.883793473
[4860,] 0.022821218 0.184949741 0.792229116
[4861,] 0.011497708 0.024645228 0.963857055
[4862,] 0.015025783 0.091998160 0.892976046
[4863,] 0.008934256 0.089474618 0.901591182
[4864,] 0.005964438 0.046436023 0.947599530
[4865,] 0.693874836 0.276692033 0.029433154
[4866,] 0.769463778 0.213479280 0.017056962
[4867,] 0.811928511 0.178271279 0.009800229
[4868,] 0.755943418 0.223108664 0.020947928
[4869,] 0.768526614 0.213215724 0.018257607
[4870,] 0.472563446 0.262359858 0.265076667
[4871,] 0.645099461 0.295310080 0.059590511
[4872,] 0.047029398 0.186856031 0.766114533
[4873,] 0.019091439 0.116816036 0.864092588
[4874,] 0.019521026 0.119749807 0.860729158
[4875,] 0.038456231 0.193689212 0.767854512
[4876,] 0.028893225 0.154094800 0.817011952
[4877,] 0.047867477 0.194799989 0.757332504
[4878,] 0.926338851 0.067138925 0.006522234
[4879,] 0.007205606 0.105515406 0.887278974
[4880,] 0.809838057 0.172936678 0.017225243
[4881,] 0.027886322 0.177972510 0.794141114
[4882,] 0.735560596 0.243114591 0.021324851
[4883,] 0.720006526 0.264669895 0.015323545
[4884,] 0.003930352 0.204277828 0.791791856
[4885,] 0.008008250 0.116819210 0.875172496
[4886,] 0.062228054 0.473954946 0.463817000
[4887,] 0.155298874 0.595431030 0.249270126
[4888,] 0.027780795 0.305204332 0.667014837
[4889,] 0.175464675 0.340907633 0.483627677
[4890,] 0.020617802 0.156437516 0.822944701
[4891,] 0.012440890 0.076100208 0.911458850
[4892,] 0.002443789 0.089901522 0.907654643
[4893,] 0.003010892 0.170404524 0.826584637
[4894,] 0.006740106 0.031958245 0.961301684
[4895,] 0.036677971 0.102813415 0.860508621
[4896,] 0.030372879 0.106149353 0.863477767
[4897,] 0.209166199 0.161657497 0.629176319
[4898,] 0.080995433 0.194252774 0.724751830
[4899,] 0.768519878 0.210952938 0.020527212
[4900,] 0.030868974 0.141935810 0.827195168
[4901,] 0.013344664 0.151101485 0.835553825
[4902,] 0.848275721 0.142912045 0.008812238
[4903,] 0.053636622 0.233474970 0.712888420
[4904,] 0.034284737 0.101148613 0.864566624
[4905,] 0.048794784 0.112845860 0.838359356
[4906,] 0.137359425 0.386062503 0.476578057
[4907,] 0.013971163 0.099791750 0.886237085
[4908,] 0.055066172 0.097561821 0.847371995
[4909,] 0.010776226 0.090328783 0.898895025
[4910,] 0.038988139 0.242168769 0.718843043
[4911,] 0.445640534 0.372523367 0.181836069
[4912,] 0.002533464 0.072854236 0.924612284
[4913,] 0.004873362 0.333652139 0.661474526
[4914,] 0.007179605 0.068435334 0.924385071
[4915,] 0.013187560 0.086824507 0.899987876
[4916,] 0.670764625 0.104916304 0.224319100
[4917,] 0.712895691 0.255501181 0.031603165
[4918,] 0.834744036 0.154021814 0.011234197
[4919,] 0.840379536 0.153685421 0.005935027
[4920,] 0.008463721 0.069791235 0.921745062
[4921,] 0.025865011 0.184875801 0.789259195
[4922,] 0.015167044 0.074816279 0.910016656
[4923,] 0.038917355 0.202265844 0.758816779
[4924,] 0.022923723 0.060791977 0.916284382
[4925,] 0.007959586 0.030692747 0.961347640
[4926,] 0.031431537 0.072666258 0.895902157
[4927,] 0.024204541 0.058986496 0.916809022
[4928,] 0.808594525 0.175993353 0.015412103
[4929,] 0.041788418 0.125864521 0.832347095
[4930,] 0.035121180 0.058511369 0.906367421
[4931,] 0.016962297 0.050923217 0.932114482
[4932,] 0.039123986 0.220686868 0.740189135
[4933,] 0.044075321 0.349080682 0.606843948
[4934,] 0.045735102 0.188894913 0.765369952
[4935,] 0.049729485 0.313986808 0.636283696
[4936,] 0.069687210 0.641471088 0.288841695
[4937,] 0.043537818 0.344275206 0.612186968
[4938,] 0.067049667 0.776510239 0.156440094
[4939,] 0.327341765 0.517597616 0.155060679
[4940,] 0.042314257 0.237262130 0.720423639
[4941,] 0.069069602 0.367682487 0.563247919
[4942,] 0.023025287 0.045938525 0.931036174
[4943,] 0.072377197 0.390872091 0.536750734
[4944,] 0.047627993 0.178762898 0.773609102
[4945,] 0.074443370 0.607606888 0.317949712
[4946,] 0.095705800 0.704725623 0.199568570
[4947,] 0.141639248 0.470962942 0.387397796
[4948,] 0.026878580 0.109744392 0.863376975
[4949,] 0.085535541 0.226573661 0.687890828
[4950,] 0.450386018 0.335279137 0.214334831
[4951,] 0.092063554 0.735077620 0.172858834
[4952,] 0.019708954 0.130388558 0.849902451
[4953,] 0.078324988 0.264438510 0.657236516
[4954,] 0.059017301 0.294101059 0.646881580
[4955,] 0.011146169 0.210161611 0.778692245
[4956,] 0.073328577 0.630625963 0.296045452
[4957,] 0.024630301 0.058175329 0.917194307
[4958,] 0.014685999 0.084707193 0.900606751
[4959,] 0.055286631 0.396088541 0.548624814
[4960,] 0.069164783 0.579162180 0.351673037
[4961,] 0.047300607 0.287239522 0.665459931
[4962,] 0.012234441 0.102230035 0.885535538
[4963,] 0.030701535 0.235866264 0.733432174
[4964,] 0.016974287 0.097607829 0.885417819
[4965,] 0.213123724 0.620107412 0.166768834
[4966,] 0.085951753 0.513906538 0.400141716
[4967,] 0.037112977 0.194966599 0.767920375
[4968,] 0.054815397 0.255244732 0.689939916
[4969,] 0.085453331 0.550245464 0.364301205
[4970,] 0.083025821 0.662087262 0.254886925
[4971,] 0.138177127 0.736290872 0.125532016
[4972,] 0.081017457 0.715836585 0.203145951
[4973,] 0.070791245 0.590354025 0.338854700
[4974,] 0.114434861 0.258887291 0.626677811
[4975,] 0.054280471 0.484959722 0.460759819
[4976,] 0.064066313 0.763164103 0.172769621
[4977,] 0.027743706 0.286155194 0.686101079
[4978,] 0.026024397 0.279215246 0.694760323
[4979,] 0.043368265 0.431158513 0.525473177
[4980,] 0.028833637 0.258063078 0.713103294
[4981,] 0.003958280 0.071814120 0.924227655
[4982,] 0.058194265 0.192570686 0.749235034
[4983,] 0.068944886 0.677595973 0.253459126
[4984,] 0.008049431 0.093682475 0.898268104
[4985,] 0.102038398 0.702610314 0.195351273
[4986,] 0.069928713 0.415861547 0.514209747
[4987,] 0.079534188 0.657438636 0.263027132
[4988,] 0.055785101 0.437381029 0.506833851
[4989,] 0.008762127 0.081866860 0.909370959
[4990,] 0.057545863 0.343390465 0.599063635
[4991,] 0.122644193 0.776362300 0.100993477
[4992,] 0.058685616 0.143346086 0.797968268
[4993,] 0.025884170 0.138090461 0.836025357
[4994,] 0.026276460 0.125098854 0.848624766
[4995,] 0.023591854 0.196460485 0.779947698
[4996,] 0.115600601 0.644135475 0.240263939
[4997,] 0.252303272 0.416227937 0.331468791
[4998,] 0.077085316 0.339481115 0.583433568
[4999,] 0.026639549 0.185574993 0.787785411
[5000,] 0.088682182 0.628428519 0.282889247
[5001,] 0.022932215 0.171985358 0.805082440
[5002,] 0.036870368 0.197796360 0.765333235
[5003,] 0.048482396 0.197659552 0.753858030
[5004,] 0.054438356 0.492018133 0.453543454
[5005,] 0.052332461 0.303215444 0.644452095
[5006,] 0.096468136 0.639037549 0.264494359
[5007,] 0.033840928 0.180307090 0.785852015
[5008,] 0.080016993 0.512165308 0.407817662
[5009,] 0.227513537 0.608096898 0.164389566
[5010,] 0.033282612 0.262326688 0.704390705
[5011,] 0.029865103 0.193490431 0.776644409
[5012,] 0.029053934 0.053485677 0.917460382
[5013,] 0.086294606 0.696695030 0.217010394
[5014,] 0.037633531 0.365426540 0.596939921
[5015,] 0.001589174 0.007293492 0.991117358
[5016,] 0.052151363 0.379753679 0.568094969
[5017,] 0.071553215 0.457042307 0.471404433
[5018,] 0.082509279 0.154462442 0.763028324
[5019,] 0.040105358 0.231113017 0.728781641
[5020,] 0.061192535 0.740586340 0.198221132
[5021,] 0.104692966 0.765127301 0.130179718
[5022,] 0.059088789 0.511021197 0.429890037
[5023,] 0.007107941 0.102179833 0.890712202
[5024,] 0.008239289 0.087497883 0.904262781
[5025,] 0.003181362 0.127685472 0.869133115
[5026,] 0.006577258 0.113955453 0.879467309
[5027,] 0.058206998 0.462135702 0.479657263
[5028,] 0.025621327 0.225678682 0.748699963
[5029,] 0.035544004 0.843402624 0.121053346
[5030,] 0.052242585 0.262595206 0.685162187
[5031,] 0.401086479 0.380112737 0.218800738
[5032,] 0.107569113 0.727436185 0.164994687
[5033,] 0.031385385 0.233695894 0.734918654
[5034,] 0.077944256 0.751475215 0.170580536
[5035,] 0.061558064 0.793749988 0.144691944
[5036,] 0.031004850 0.446192265 0.522802889
[5037,] 0.007783804 0.070615418 0.921600759
[5038,] 0.131280899 0.562462986 0.306256145
[5039,] 0.207683221 0.321607292 0.470709503
[5040,] 0.041450683 0.210462660 0.748086631
[5041,] 0.129491448 0.659339666 0.211168885
[5042,] 0.048581883 0.341889590 0.609528542
[5043,] 0.047960289 0.286619842 0.665419877
[5044,] 0.062381789 0.779952407 0.157665849
[5045,] 0.032277938 0.165711090 0.802010953
[5046,] 0.055795275 0.322611719 0.621592999
[5047,] 0.031515330 0.154293045 0.814191580
[5048,] 0.114529215 0.692339182 0.193131596
[5049,] 0.007071259 0.076981179 0.915947616
[5050,] 0.149804458 0.748672783 0.101522781
[5051,] 0.015302300 0.100402370 0.884295344
[5052,] 0.058946952 0.845808268 0.095244788
[5053,] 0.012347266 0.215174243 0.772478461
[5054,] 0.003983547 0.048241060 0.947775364
[5055,] 0.003273575 0.179400802 0.817325592
[5056,] 0.005508841 0.092301339 0.902189851
[5057,] 0.020149300 0.129808486 0.850042164
[5058,] 0.035457421 0.109966956 0.854575574
[5059,] 0.072377130 0.146059602 0.781563282
[5060,] 0.091046892 0.796589136 0.112363942
[5061,] 0.024734551 0.222243622 0.753021836
[5062,] 0.026024118 0.095649682 0.878326178
[5063,] 0.100336477 0.526027441 0.373636097
[5064,] 0.013365346 0.102832973 0.883801699
[5065,] 0.025936507 0.139345273 0.834718168
[5066,] 0.102126092 0.726447523 0.171426311
[5067,] 0.017033068 0.065525748 0.917441189
[5068,] 0.097391032 0.766864121 0.135744840
[5069,] 0.041334536 0.182267457 0.776398003
[5070,] 0.018589508 0.423140466 0.558270037
[5071,] 0.046750803 0.672806263 0.280442894
[5072,] 0.007542937 0.068639182 0.923817873
[5073,] 0.007418640 0.071312360 0.921269059
[5074,] 0.040393278 0.253421962 0.706184745
[5075,] 0.122886039 0.627922952 0.249191016
[5076,] 0.014059593 0.106799543 0.879140854
[5077,] 0.002487666 0.045333844 0.952178538
[5078,] 0.066858381 0.243719220 0.689422429
[5079,] 0.009108547 0.111354895 0.879536569
[5080,] 0.004370651 0.179720938 0.815908372
[5081,] 0.100647807 0.567782640 0.331569582
[5082,] 0.069373004 0.815326273 0.115300745
[5083,] 0.071926765 0.827608526 0.100464724
[5084,] 0.057406798 0.190664172 0.751928985
[5085,] 0.050608676 0.454024464 0.495366871
[5086,] 0.011202830 0.083756216 0.905040920
[5087,] 0.002339233 0.038167022 0.959493697
[5088,] 0.067384742 0.592709601 0.339905649
[5089,] 0.146062031 0.292506814 0.561431170
[5090,] 0.074078180 0.722396672 0.203525156
[5091,] 0.036401130 0.191974029 0.771624804
[5092,] 0.014529748 0.155271620 0.830198646
[5093,] 0.053513899 0.380891651 0.565594435
[5094,] 0.088853307 0.550068438 0.361078292
[5095,] 0.095753007 0.555679560 0.348567456
[5096,] 0.064991944 0.631400704 0.303607374
[5097,] 0.056559358 0.255668759 0.687771916
[5098,] 0.024098562 0.128134236 0.847767174
[5099,] 0.037894771 0.189525887 0.772579372
[5100,] 0.031128770 0.122514665 0.846356571
[5101,] 0.140831918 0.362426996 0.496741086
[5102,] 0.072194062 0.312957555 0.614848375
[5103,] 0.025122531 0.745781779 0.229095683
[5104,] 0.006969055 0.031961128 0.961069882
[5105,] 0.059681453 0.360053360 0.580265164
[5106,] 0.307254612 0.505055010 0.187690407
[5107,] 0.083753370 0.542194664 0.374051958
[5108,] 0.014450935 0.133845076 0.851704001
[5109,] 0.034165066 0.203059718 0.762775183
[5110,] 0.032029219 0.219043508 0.748927295
[5111,] 0.030381495 0.202661365 0.766957104
[5112,] 0.067316860 0.554184139 0.378498971
[5113,] 0.090416677 0.806147039 0.103436328
[5114,] 0.002778549 0.014264380 0.982957125
[5115,] 0.036890090 0.248879626 0.714230299
[5116,] 0.030184742 0.230832249 0.738983035
[5117,] 0.029620532 0.127945781 0.842433751
[5118,] 0.020023333 0.073021047 0.906955540
[5119,] 0.011367546 0.082005836 0.906626582
[5120,] 0.041427944 0.124738976 0.833833039
[5121,] 0.012626946 0.155475512 0.831897557
[5122,] 0.103958540 0.533520699 0.362520754
[5123,] 0.115938626 0.571289718 0.312771618
[5124,] 0.012889527 0.094584614 0.892525911
[5125,] 0.085111007 0.407812178 0.507076800
[5126,] 0.026226781 0.100060984 0.873712242
[5127,] 0.005408987 0.338780552 0.655810535
[5128,] 0.011088043 0.093622260 0.895289779
[5129,] 0.039504118 0.217720658 0.742775261
[5130,] 0.056478981 0.482676804 0.460844278
[5131,] 0.012799957 0.132193118 0.855006933
[5132,] 0.003937548 0.049071074 0.946991384
[5133,] 0.021847835 0.122876421 0.855275750
[5134,] 0.051841974 0.143344730 0.804813266
[5135,] 0.037643775 0.142627686 0.819728494
[5136,] 0.073818564 0.527737677 0.398443758
[5137,] 0.078220710 0.312391728 0.609387517
[5138,] 0.073853351 0.504188538 0.421958148
[5139,] 0.027060933 0.209074304 0.763864756
[5140,] 0.056920078 0.258635104 0.684444845
[5141,] 0.006739731 0.115522690 0.877737522
[5142,] 0.130513012 0.236306190 0.633180737
[5143,] 0.048842452 0.783300459 0.167857111
[5144,] 0.018166894 0.134489819 0.847343326
[5145,] 0.012629773 0.071957514 0.915412724
[5146,] 0.002103403 0.128938079 0.868958473
[5147,] 0.103245549 0.678329170 0.218425229
[5148,] 0.008816713 0.072098188 0.919085085
[5149,] 0.075932197 0.306660533 0.617407322
[5150,] 0.075343400 0.486021459 0.438635111
[5151,] 0.043187123 0.741960585 0.214852273
[5152,] 0.030801915 0.139461756 0.829736352
[5153,] 0.009155053 0.071934305 0.918910623
[5154,] 0.027903685 0.212514743 0.759581506
[5155,] 0.012259157 0.101575330 0.886165559
[5156,] 0.011408666 0.097993553 0.890597761
[5157,] 0.091334336 0.773769796 0.134895831
[5158,] 0.001901716 0.032758914 0.965339363
[5159,] 0.081649579 0.612010241 0.306340188
[5160,] 0.002096094 0.035449933 0.962453961
[5161,] 0.020125782 0.164946511 0.814927697
[5162,] 0.015309397 0.104800195 0.879890442
[5163,] 0.005520185 0.074966952 0.919512808
[5164,] 0.092031345 0.583783746 0.324184954
[5165,] 0.035960615 0.382957220 0.581082165
[5166,] 0.008919992 0.110699594 0.880380392
[5167,] 0.054304939 0.513775826 0.431919247
[5168,] 0.003611106 0.058883067 0.937505841
[5169,] 0.004319921 0.142872855 0.852807283
[5170,] 0.025545267 0.184787542 0.789667130
[5171,] 0.007212431 0.056624141 0.936163366
[5172,] 0.004832055 0.087982893 0.907185078
[5173,] 0.010233850 0.090318538 0.899447560
[5174,] 0.110076889 0.742233157 0.147689924
[5175,] 0.045597002 0.177362204 0.777040839
[5176,] 0.012045044 0.086756594 0.901198328
[5177,] 0.007573994 0.079086557 0.913339436
[5178,] 0.025327567 0.146134585 0.828537881
[5179,] 0.015594210 0.093260601 0.891145170
[5180,] 0.090261482 0.790383875 0.119354650
[5181,] 0.064936928 0.373835653 0.561227381
[5182,] 0.001883539 0.061608460 0.936507940
[5183,] 0.021714231 0.142223746 0.836062014
[5184,] 0.022791415 0.148364186 0.828844368
[5185,] 0.005524728 0.057908356 0.936566949
[5186,] 0.085958347 0.433803767 0.480237931
[5187,] 0.125690669 0.208009958 0.666299343
[5188,] 0.025153039 0.491026551 0.483820409
[5189,] 0.203135699 0.418314368 0.378549904
[5190,] 0.055482052 0.236006126 0.708511829
[5191,] 0.014339975 0.081307717 0.904352248
[5192,] 0.041803930 0.295047313 0.663148761
[5193,] 0.096445844 0.554846764 0.348707408
[5194,] 0.007345428 0.094612405 0.898042142
[5195,] 0.023003941 0.117230408 0.859765649
[5196,] 0.026406279 0.163929164 0.809664547
[5197,] 0.075041771 0.738925934 0.186032325
[5198,] 0.086655997 0.684506834 0.228837132
[5199,] 0.023519322 0.254384696 0.722095966
[5200,] 0.023610458 0.292673379 0.683716178
[5201,] 0.037382472 0.129194289 0.833423197
[5202,] 0.011803382 0.089593694 0.898602903
[5203,] 0.033896677 0.190977216 0.775126159
[5204,] 0.012048787 0.021872200 0.966078997
[5205,] 0.151952296 0.609543383 0.238504291
[5206,] 0.016082564 0.082168140 0.901749253
[5207,] 0.021322548 0.179664373 0.799013078
[5208,] 0.069832906 0.812192142 0.117974997
[5209,] 0.020890066 0.099055596 0.880054295
[5210,] 0.003248649 0.064922787 0.931828618
[5211,] 0.015397278 0.171184391 0.813418388
[5212,] 0.014391033 0.158093020 0.827515960
[5213,] 0.007324135 0.077790409 0.914885521
[5214,] 0.129511237 0.169732198 0.700756609
[5215,] 0.012616643 0.079962209 0.907421172
[5216,] 0.010045843 0.079548821 0.910405397
[5217,] 0.077952594 0.777947664 0.144099757
[5218,] 0.530003369 0.384931326 0.085065298
[5219,] 0.071121044 0.217734456 0.711144507
[5220,] 0.521739662 0.394928545 0.083331808
[5221,] 0.501470387 0.439516276 0.059013341
[5222,] 0.532145739 0.366781950 0.101072297
[5223,] 0.684724092 0.282407075 0.032868821
[5224,] 0.452245951 0.428435832 0.119318172
[5225,] 0.077259034 0.372046500 0.550694466
[5226,] 0.569344759 0.359077245 0.071577996
[5227,] 0.632133603 0.314487755 0.053378612
[5228,] 0.572274923 0.349359602 0.078365445
[5229,] 0.544968128 0.391748190 0.063283697
[5230,] 0.527220607 0.350035846 0.122743525
[5231,] 0.469725460 0.400217146 0.130057380
[5232,] 0.635701716 0.323279768 0.041018475
[5233,] 0.387729824 0.460300773 0.151969463
[5234,] 0.648618519 0.274604172 0.076777287
[5235,] 0.290328830 0.408442169 0.301228970
[5236,] 0.530007124 0.406893998 0.063098870
[5237,] 0.335125625 0.521599054 0.143275321
[5238,] 0.149512157 0.668340743 0.182147115
[5239,] 0.074992411 0.659619570 0.265388072
[5240,] 0.430644184 0.445426941 0.123928830
[5241,] 0.372267485 0.456137657 0.171594843
[5242,] 0.641393542 0.283088833 0.075517640
[5243,] 0.411124736 0.455463529 0.133411735
[5244,] 0.601608217 0.355603695 0.042788099
[5245,] 0.047278393 0.342069209 0.610652447
[5246,] 0.021110443 0.173065901 0.805823624
[5247,] 0.124517784 0.696325123 0.179157063
[5248,] 0.766448081 0.226836413 0.006715532
[5249,] 0.618196428 0.344424188 0.037379399
[5250,] 0.599483728 0.360946417 0.039569832
[5251,] 0.633545280 0.342409700 0.024044964
[5252,] 0.705004692 0.280177265 0.014818055
[5253,] 0.630900145 0.327472448 0.041627400
[5254,] 0.843427718 0.148153901 0.008418390
[5255,] 0.651886940 0.317112118 0.031000998
[5256,] 0.377444863 0.312180758 0.310374439
[5257,] 0.309834957 0.562944293 0.127220735
[5258,] 0.078710504 0.407693624 0.513595879
[5259,] 0.671334624 0.299407840 0.029257551
[5260,] 0.036596272 0.266287506 0.697116256
[5261,] 0.452443808 0.513482869 0.034073293
[5262,] 0.769803882 0.220872059 0.009324128
[5263,] 0.624373853 0.338486701 0.037139490
[5264,] 0.535351992 0.392449558 0.072198458
[5265,] 0.579499722 0.379312664 0.041187610
[5266,] 0.502642572 0.429643929 0.067713529
[5267,] 0.481178164 0.409255713 0.109566122
[5268,] 0.544958353 0.406196773 0.048844893
[5269,] 0.508614242 0.427885622 0.063500158
[5270,] 0.389391899 0.521261394 0.089346670
[5271,] 0.662970126 0.316008747 0.021021098
[5272,] 0.599772811 0.362980098 0.037247062
[5273,] 0.517707169 0.331767201 0.150525630
[5274,] 0.608554125 0.351729006 0.039716881
[5275,] 0.204693899 0.277920604 0.517385483
[5276,] 0.059116781 0.461654782 0.479228437
[5277,] 0.579305530 0.371288031 0.049406435
[5278,] 0.583426535 0.345011443 0.071562037
[5279,] 0.032124143 0.365603536 0.602272332
[5280,] 0.666493058 0.304213375 0.029293589
[5281,] 0.572452724 0.392162234 0.035384998
[5282,] 0.471071482 0.382766843 0.146161646
[5283,] 0.503564954 0.407186151 0.089248873
[5284,] 0.551974058 0.411512583 0.036513373
[5285,] 0.513204992 0.450719327 0.036075678
[5286,] 0.685022354 0.287480563 0.027497068
[5287,] 0.461946130 0.426628739 0.111425102
[5288,] 0.015862089 0.150124133 0.834013760
[5289,] 0.015694665 0.156345591 0.827959716
[5290,] 0.577170074 0.348533690 0.074296214
[5291,] 0.456568539 0.351473987 0.191957444
[5292,] 0.095605478 0.315178961 0.589215577
[5293,] 0.348612487 0.448320091 0.203067437
[5294,] 0.012101680 0.028331172 0.959567130
[5295,] 0.499289811 0.379911959 0.120798238
[5296,] 0.555598319 0.368070155 0.076331504
[5297,] 0.010510039 0.662792206 0.326697767
[5298,] 0.048238389 0.232091218 0.719670355
[5299,] 0.652925432 0.321931452 0.025143066
[5300,] 0.770355523 0.216356441 0.013288025
[5301,] 0.751018345 0.232189432 0.016792255
[5302,] 0.022839880 0.158072010 0.819088101
[5303,] 0.608414412 0.327775180 0.063810430
[5304,] 0.463375837 0.479993433 0.056630760
[5305,] 0.683359981 0.243818209 0.072821788
[5306,] 0.007921891 0.117057018 0.875021160
[5307,] 0.013843396 0.279722333 0.706434309
[5308,] 0.408492506 0.479488164 0.112019338
[5309,] 0.020782487 0.281075865 0.698141634
[5310,] 0.073217489 0.272471935 0.654310584
[5311,] 0.048413135 0.323249191 0.628337681
[5312,] 0.318055719 0.473146051 0.208798259
[5313,] 0.319276452 0.441144049 0.239579543
[5314,] 0.440663815 0.491813600 0.067522593
[5315,] 0.353800952 0.428990185 0.217208862
[5316,] 0.529020548 0.340272188 0.130707234
[5317,] 0.533681810 0.333149314 0.133168876
[5318,] 0.019052353 0.221409723 0.759537935
[5319,] 0.495992959 0.429428130 0.074578866
[5320,] 0.484688818 0.401994616 0.113316551
[5321,] 0.601259470 0.367359728 0.031380780
[5322,] 0.427296758 0.473534405 0.099168785
[5323,] 0.526648164 0.414409846 0.058942035
[5324,] 0.061219607 0.550552189 0.388228178
[5325,] 0.517655313 0.336257607 0.146087065
[5326,] 0.026797520 0.861569881 0.111632615
[5327,] 0.520508826 0.433364004 0.046127170
[5328,] 0.427890360 0.456611603 0.115498006
[5329,] 0.504288852 0.363934159 0.131776929
[5330,] 0.750292003 0.233131051 0.016576987
[5331,] 0.728774190 0.250602841 0.020622918
[5332,] 0.699372828 0.277072102 0.023555059
[5333,] 0.063440956 0.270854622 0.665704429
[5334,] 0.678545237 0.304538339 0.016916422
[5335,] 0.528687060 0.416970551 0.054342415
[5336,] 0.008618060 0.108219430 0.883162558
[5337,] 0.745055139 0.231931210 0.023013605
[5338,] 0.018148415 0.172131255 0.809720337
[5339,] 0.029841503 0.447907984 0.522250533
[5340,] 0.611767948 0.357570678 0.030661354
[5341,] 0.062588356 0.330850720 0.606560946
[5342,] 0.634930074 0.334011495 0.031058429
[5343,] 0.023749366 0.290576369 0.685674310
[5344,] 0.038091734 0.485425770 0.476482481
[5345,] 0.530071437 0.422736943 0.047191612
[5346,] 0.762230277 0.223097503 0.014672182
[5347,] 0.104789257 0.514028609 0.381182134
[5348,] 0.732627571 0.254173100 0.013199275
[5349,] 0.862111270 0.131699458 0.006189313
[5350,] 0.124796517 0.554888606 0.320314854
[5351,] 0.623228729 0.356248826 0.020522423
[5352,] 0.011756619 0.104785725 0.883457661
[5353,] 0.026373411 0.248640060 0.724986494
[5354,] 0.654197872 0.315599382 0.030202715
[5355,] 0.623719454 0.351170301 0.025110267
[5356,] 0.025107130 0.237222061 0.737670779
[5357,] 0.757911623 0.226525232 0.015563153
[5358,] 0.594964981 0.385336995 0.019697996
[5359,] 0.543696225 0.417648256 0.038655549
[5360,] 0.649660349 0.324993551 0.025346128
[5361,] 0.031586986 0.271202177 0.697210848
[5362,] 0.582339346 0.382786036 0.034874637
[5363,] 0.490251273 0.462881535 0.046867177
[5364,] 0.066873536 0.363751531 0.569374919
[5365,] 0.363779306 0.542246819 0.093973860
[5366,] 0.426196247 0.500889301 0.072914422
[5367,] 0.693819404 0.289866030 0.016314577
[5368,] 0.693676710 0.269122154 0.037201133
[5369,] 0.560424566 0.376069397 0.063506052
[5370,] 0.019195626 0.160498723 0.820305645
[5371,] 0.653253913 0.312823772 0.033922330
[5372,] 0.348218739 0.465177178 0.186604038
[5373,] 0.750189006 0.228628322 0.021182725
[5374,] 0.710588455 0.276365131 0.013046446
[5375,] 0.734524667 0.243902177 0.021573177
[5376,] 0.371081740 0.504041433 0.124876872
[5377,] 0.008333786 0.474169880 0.517496288
[5378,] 0.790919542 0.191764295 0.017316166
[5379,] 0.578771532 0.343048692 0.078179754
[5380,] 0.047061745 0.242272928 0.710665345
[5381,] 0.559658170 0.402096272 0.038245536
[5382,] 0.378190279 0.554278255 0.067531481
[5383,] 0.355008096 0.423217744 0.221774161
[5384,] 0.585721433 0.375992298 0.038286261
[5385,] 0.071848638 0.187467426 0.740683973
[5386,] 0.582066298 0.389714032 0.028219698
[5387,] 0.573938072 0.370229095 0.055832870
[5388,] 0.040567111 0.301266283 0.658166647
[5389,] 0.539294660 0.344697654 0.116007671
[5390,] 0.595010698 0.316653281 0.088336013
[5391,] 0.658066273 0.311773986 0.030159703
[5392,] 0.078896552 0.380896479 0.540206969
[5393,] 0.032049436 0.244988799 0.722961724
[5394,] 0.662397027 0.300260127 0.037342861
[5395,] 0.481562406 0.450793087 0.067644551
[5396,] 0.464270055 0.413187414 0.122542545
[5397,] 0.050842561 0.134029686 0.815127730
[5398,] 0.383808881 0.535642147 0.080548957
[5399,] 0.057836931 0.256599754 0.685563266
[5400,] 0.597944915 0.370611697 0.031443384
[5401,] 0.628877163 0.322088391 0.049034435
[5402,] 0.214736432 0.651505768 0.133757785
[5403,] 0.303429574 0.415164202 0.281406194
[5404,] 0.073364370 0.410517156 0.516118467
[5405,] 0.707191169 0.269877017 0.022931825
[5406,] 0.531420171 0.417196542 0.051383253
[5407,] 0.530585289 0.421102613 0.048312090
[5408,] 0.017267797 0.136327177 0.846405089
[5409,] 0.724245489 0.255110502 0.020644024
[5410,] 0.705267608 0.255369365 0.039362989
[5411,] 0.546407163 0.369547963 0.084044859
[5412,] 0.689139605 0.290326148 0.020534223
[5413,] 0.005184141 0.126937419 0.867878497
[5414,] 0.006344500 0.029708935 0.963946581
[5415,] 0.593999445 0.327690005 0.078310572
[5416,] 0.438730687 0.427439272 0.133829996
[5417,] 0.617032170 0.348759323 0.034208469
[5418,] 0.512675762 0.456589341 0.030734850
[5419,] 0.045656659 0.304763556 0.649579823
[5420,] 0.017618895 0.038812503 0.943568587
[5421,] 0.417748004 0.441120058 0.141131893
[5422,] 0.497653455 0.443321615 0.059024937
[5423,] 0.407806665 0.480126232 0.112067126
[5424,] 0.349110782 0.458378643 0.192510605
[5425,] 0.475770086 0.444170475 0.080059409
[5426,] 0.519027352 0.412944853 0.068027787
[5427,] 0.501672626 0.402177066 0.096150331
[5428,] 0.737424433 0.242092684 0.020482864
[5429,] 0.737520456 0.246723622 0.015755927
[5430,] 0.573654592 0.376783311 0.049562111
[5431,] 0.034153048 0.282697380 0.683149576
[5432,] 0.566255987 0.289245218 0.144498780
[5433,] 0.803640246 0.184762999 0.011596774
[5434,] 0.099721283 0.448176205 0.452102482
[5435,] 0.755039990 0.232138187 0.012821841
[5436,] 0.005217720 0.235033274 0.759748995
[5437,] 0.567721128 0.396291614 0.035987228
[5438,] 0.714976966 0.264748931 0.020274088
[5439,] 0.509002566 0.418283671 0.072713792
[5440,] 0.040338609 0.265198678 0.694462776
[5441,] 0.671579778 0.291340142 0.037080076
[5442,] 0.019160552 0.135449708 0.845389724
[5443,] 0.028919475 0.227144122 0.743936419
[5444,] 0.031013975 0.127909794 0.841076195
[5445,] 0.599647999 0.363512486 0.036839515
[5446,] 0.582539618 0.375950694 0.041509695
[5447,] 0.581367373 0.381313920 0.037318740
[5448,] 0.760244250 0.227373198 0.012382550
[5449,] 0.008011081 0.119783327 0.872205555
[5450,] 0.011492310 0.163524434 0.824983239
[5451,] 0.050485443 0.536777437 0.412737131
[5452,] 0.315599948 0.617065847 0.067334183
[5453,] 0.715224147 0.265539706 0.019236168
[5454,] 0.567979455 0.319602698 0.112417810
[5455,] 0.678277612 0.285877049 0.035845332
[5456,] 0.048614655 0.404955566 0.546429753
[5457,] 0.101240650 0.671813607 0.226945728
[5458,] 0.052930534 0.356725186 0.590344250
[5459,] 0.403815001 0.553726256 0.042458721
[5460,] 0.602715969 0.367548585 0.029735483
[5461,] 0.094460778 0.558682680 0.346856594
[5462,] 0.014520028 0.201423138 0.784056842
[5463,] 0.570452750 0.349371076 0.080176227
[5464,] 0.630751193 0.349976033 0.019272722
[5465,] 0.597526848 0.364735305 0.037737839
[5466,] 0.017924026 0.141874790 0.840201199
[5467,] 0.008621777 0.062355474 0.929022729
[5468,] 0.423440844 0.411296189 0.165262938
[5469,] 0.617098272 0.359705657 0.023196064
[5470,] 0.542532086 0.406690568 0.050777387
[5471,] 0.010106740 0.135306016 0.854587257
[5472,] 0.636207283 0.317891598 0.045901116
[5473,] 0.666128457 0.310986131 0.022885460
[5474,] 0.222778618 0.744888783 0.032332614
[5475,] 0.693479359 0.284315795 0.022204818
[5476,] 0.596390903 0.352076411 0.051532682
[5477,] 0.029212583 0.332725912 0.638061523
[5478,] 0.519021928 0.341826618 0.139151439
[5479,] 0.485144883 0.443690181 0.071164906
[5480,] 0.491160512 0.431818962 0.077020466
[5481,] 0.210131481 0.416761130 0.373107404
[5482,] 0.025542947 0.208949938 0.765507102
[5483,] 0.515664995 0.400927603 0.083407432
[5484,] 0.648414493 0.320609689 0.030975863
[5485,] 0.627902448 0.317081720 0.055015802
[5486,] 0.720427811 0.261424035 0.018148189
[5487,] 0.647615552 0.291409284 0.060975157
[5488,] 0.779819012 0.211827680 0.008353337
[5489,] 0.616199851 0.351098478 0.032701682
[5490,] 0.539838850 0.433077276 0.027083877
[5491,] 0.513145506 0.415240407 0.071614064
[5492,] 0.004196203 0.123755917 0.872047901
[5493,] 0.089406937 0.325350702 0.585242391
[5494,] 0.725820005 0.258151352 0.016028702
[5495,] 0.673322260 0.303064793 0.023612935
[5496,] 0.695211947 0.273483574 0.031304471
[5497,] 0.773675442 0.209974214 0.016350351
[5498,] 0.559061766 0.342920333 0.098017924
[5499,] 0.680030525 0.304899305 0.015070189
[5500,] 0.816336989 0.176710993 0.006952002
[5501,] 0.767654777 0.218486845 0.013858392
[5502,] 0.636038184 0.325225562 0.038736224
[5503,] 0.543159127 0.358696729 0.098144181
[5504,] 0.586676240 0.395464540 0.017859260
[5505,] 0.467755854 0.373587787 0.158656314
[5506,] 0.650550663 0.302210927 0.047238469
[5507,] 0.552177250 0.398405105 0.049417645
[5508,] 0.524557352 0.416439146 0.059003472
[5509,] 0.732571363 0.238808990 0.028619671
[5510,] 0.674945116 0.281016439 0.044038460
[5511,] 0.625105441 0.334469467 0.040425096
[5512,] 0.842207789 0.144997478 0.012794703
[5513,] 0.640351057 0.346494466 0.013154470
[5514,] 0.028614029 0.348021239 0.623364747
[5515,] 0.622603297 0.354053319 0.023343414
[5516,] 0.280966967 0.642470658 0.076562427
[5517,] 0.637077153 0.338019282 0.024903584
[5518,] 0.821528256 0.161872581 0.016599156
[5519,] 0.647177339 0.275397778 0.077424839
[5520,] 0.496790409 0.466618568 0.036591023
[5521,] 0.788438737 0.193750560 0.017810745
[5522,] 0.144294813 0.714088619 0.141616598
[5523,] 0.586017787 0.396007687 0.017974528
[5524,] 0.755133331 0.218630090 0.026236566
[5525,] 0.694706500 0.280889183 0.024404306
[5526,] 0.552755892 0.404601544 0.042642560
[5527,] 0.744918525 0.241030216 0.014051242
[5528,] 0.309426039 0.672577620 0.017996313
[5529,] 0.369510412 0.508822143 0.121667460
[5530,] 0.015474167 0.201613963 0.782911897
[5531,] 0.736294448 0.251305073 0.012400418
[5532,] 0.505609095 0.441923767 0.052467100
[5533,] 0.554424584 0.406556845 0.039018556
[5534,] 0.648799598 0.318127006 0.033073410
[5535,] 0.731251776 0.246233687 0.022514550
[5536,] 0.505784392 0.397850782 0.096364871
[5537,] 0.802709818 0.189365909 0.007924330
[5538,] 0.632124722 0.340420276 0.027455037
[5539,] 0.809343457 0.177298337 0.013358161
[5540,] 0.593142688 0.378770560 0.028086796
[5541,] 0.740198672 0.232653528 0.027147800
[5542,] 0.475335687 0.444979101 0.079685189
[5543,] 0.539898634 0.427503079 0.032598298
[5544,] 0.622342646 0.338374794 0.039282564
[5545,] 0.797423184 0.196644127 0.005932720
[5546,] 0.493524045 0.464272827 0.042203154
[5547,] 0.510868013 0.429217637 0.059914354
[5548,] 0.443109661 0.359457940 0.197432369
[5549,] 0.557343185 0.422741979 0.019914804
[5550,] 0.056020077 0.368910700 0.575069189
[5551,] 0.607673943 0.359827548 0.032498498
[5552,] 0.611195505 0.364397585 0.024406947
[5553,] 0.072322391 0.465979367 0.461698264
[5554,] 0.530670583 0.415727228 0.053602178
[5555,] 0.008095976 0.562670887 0.429233134
[5556,] 0.635968268 0.339266837 0.024764864
[5557,] 0.661468685 0.284797758 0.053733598
[5558,] 0.627562344 0.354970187 0.017467488
[5559,] 0.384093642 0.551001489 0.064904869
[5560,] 0.565240264 0.360760957 0.073998809
[5561,] 0.235027179 0.526026607 0.238946199
[5562,] 0.647338092 0.327301800 0.025360145
[5563,] 0.408283919 0.550776005 0.040940072
[5564,] 0.425248563 0.518220663 0.056530748
[5565,] 0.615312278 0.345624655 0.039063022
[5566,] 0.581484139 0.375948131 0.042567745
[5567,] 0.530971587 0.439557403 0.029471019
[5568,] 0.536883414 0.407071114 0.056045461
[5569,] 0.589328647 0.342024177 0.068647116
[5570,] 0.660313845 0.309617847 0.030068325
[5571,] 0.702334106 0.279955536 0.017710384
[5572,] 0.025953483 0.783630550 0.190416038
[5573,] 0.057965044 0.424804091 0.517230868
[5574,] 0.682470083 0.295785993 0.021743922
[5575,] 0.021798151 0.181593195 0.796608686
[5576,] 0.122028187 0.564277649 0.313694179
[5577,] 0.433581442 0.468846172 0.097572401
[5578,] 0.373594403 0.475031137 0.151374474
[5579,] 0.701897264 0.282717407 0.015385330
[5580,] 0.497208655 0.393306106 0.109485306
[5581,] 0.185259342 0.453506529 0.361234158
[5582,] 0.593349278 0.382602155 0.024048539
[5583,] 0.375166684 0.475271970 0.149561405
[5584,] 0.699414551 0.273741245 0.026844218
[5585,] 0.576413333 0.384907901 0.038678799
[5586,] 0.008449507 0.099880062 0.891670406
[5587,] 0.150272310 0.459293187 0.390434474
[5588,] 0.072284386 0.491298288 0.436417282
[5589,] 0.567528367 0.394412190 0.038059458
[5590,] 0.570586622 0.416595697 0.012817616
[5591,] 0.462996960 0.468440562 0.068562463
[5592,] 0.483763665 0.487212807 0.029023483
[5593,] 0.606166005 0.347926885 0.045907114
[5594,] 0.714178860 0.268458366 0.017362786
[5595,] 0.634525478 0.335369617 0.030104840
[5596,] 0.018499423 0.184477940 0.797022641
[5597,] 0.050635338 0.246611431 0.702753246
[5598,] 0.112126514 0.492955029 0.394918472
[5599,] 0.015516489 0.120230988 0.864252567
[5600,] 0.006423567 0.092505194 0.901071191
[5601,] 0.006704133 0.078964166 0.914331675
[5602,] 0.326283008 0.373500854 0.300216168
[5603,] 0.030346917 0.326350182 0.643302917
[5604,] 0.214256838 0.664212108 0.121531047
[5605,] 0.546532154 0.406298012 0.047169898
[5606,] 0.522570491 0.337651670 0.139777839
[5607,] 0.581519008 0.387015849 0.031465113
[5608,] 0.228644416 0.428787738 0.342567861
[5609,] 0.005336769 0.092611365 0.902051866
[5610,] 0.480295271 0.483701080 0.036003694
[5611,] 0.052607439 0.634665966 0.312726587
[5612,] 0.526903868 0.393238157 0.079858012
[5613,] 0.568790317 0.381484300 0.049725402
[5614,] 0.003944141 0.181570634 0.814485192
[5615,] 0.069832750 0.489546120 0.440621108
[5616,] 0.017455747 0.195943564 0.786600709
[5617,] 0.642166495 0.338787735 0.019045772
[5618,] 0.521647334 0.425913125 0.052439552
[5619,] 0.522563577 0.437338352 0.040098049
[5620,] 0.424574524 0.489134580 0.086290911
[5621,] 0.514218271 0.411568761 0.074213013
[5622,] 0.475158632 0.398454398 0.126386970
[5623,] 0.432765722 0.452841491 0.114392735
[5624,] 0.642264664 0.333879799 0.023855541
[5625,] 0.644447505 0.310350031 0.045202482
[5626,] 0.141942412 0.444760919 0.413296640
[5627,] 0.033826824 0.208716139 0.757457018
[5628,] 0.362233669 0.439279556 0.198486745
[5629,] 0.270322949 0.320243150 0.409433901
[5630,] 0.479399115 0.336088151 0.184512779
[5631,] 0.481667191 0.402564198 0.115768641
[5632,] 0.647761166 0.322577029 0.029661842
[5633,] 0.699356496 0.282413900 0.018229542
[5634,] 0.456408918 0.404154569 0.139436543
[5635,] 0.426786304 0.416602254 0.156611413
[5636,] 0.013227932 0.116110124 0.870661914
[5637,] 0.241371050 0.531567276 0.227061659
[5638,] 0.070789933 0.237228110 0.691981971
[5639,] 0.278589219 0.498115510 0.223295242
[5640,] 0.082206875 0.648544669 0.269248456
[5641,] 0.599076092 0.366925478 0.033998437
[5642,] 0.559935749 0.350487530 0.089576751
[5643,] 0.894473553 0.097239830 0.008286685
[5644,] 0.629400074 0.331471175 0.039128765
[5645,] 0.045807701 0.369628280 0.584564030
[5646,] 0.589111030 0.376786560 0.034102384
[5647,] 0.725320339 0.262108922 0.012570739
[5648,] 0.702572286 0.262443423 0.034984287
[5649,] 0.442694008 0.445286393 0.112019576
[5650,] 0.704959452 0.247271419 0.047769103
[5651,] 0.548178375 0.397872448 0.053949147
[5652,] 0.627996981 0.317721367 0.054281607
[5653,] 0.004530718 0.042171746 0.953297496
[5654,] 0.611241102 0.340194732 0.048564196
[5655,] 0.085582055 0.422520936 0.491896957
[5656,] 0.077562131 0.522678733 0.399759144
[5657,] 0.012529392 0.157456040 0.830014586
[5658,] 0.032915741 0.075069286 0.892014980
[5659,] 0.008493522 0.102215141 0.889291346
[5660,] 0.025614366 0.243830681 0.730554938
[5661,] 0.243803322 0.272188485 0.484008163
[5662,] 0.398299724 0.526743174 0.074957080
[5663,] 0.005552114 0.078810200 0.915637672
[5664,] 0.044700012 0.473066717 0.482233286
[5665,] 0.012885528 0.119116634 0.867997825
[5666,] 0.067577340 0.095467426 0.836955249
[5667,] 0.003628826 0.047583677 0.948787510
[5668,] 0.020168006 0.188690141 0.791141808
[5669,] 0.005473890 0.199997529 0.794528544
[5670,] 0.008761824 0.055123106 0.936115086
[5671,] 0.093627021 0.216455221 0.689917743
[5672,] 0.011216760 0.088159703 0.900623560
[5673,] 0.015394563 0.156217262 0.828388155
[5674,] 0.009847715 0.348889530 0.641262770
[5675,] 0.499139965 0.480654240 0.020205768
[5676,] 0.557351828 0.421173334 0.021474890
[5677,] 0.106378384 0.379197210 0.514424443
[5678,] 0.006622196 0.082740732 0.910637140
[5679,] 0.788078427 0.196806982 0.015114577
[5680,] 0.030984206 0.277821064 0.691194713
[5681,] 0.539651632 0.397841632 0.062506780
[5682,] 0.009170762 0.060646657 0.930182576
[5683,] 0.384130865 0.579564154 0.036305003
[5684,] 0.606483996 0.364012241 0.029503761
[5685,] 0.011453727 0.087941498 0.900604844
[5686,] 0.448245019 0.209607035 0.342148006
[5687,] 0.024879597 0.083064198 0.892056227
[5688,] 0.002946397 0.029776175 0.967277408
[5689,] 0.004875911 0.038896475 0.956227601
[5690,] 0.142989442 0.600531101 0.256479442
[5691,] 0.005442934 0.084409632 0.910147488
[5692,] 0.038928442 0.320450783 0.640620828
[5693,] 0.319654465 0.508930504 0.171415061
[5694,] 0.724248469 0.266152442 0.009599038
[5695,] 0.665176213 0.317499101 0.017324610
[5696,] 0.243897840 0.530680418 0.225421742
[5697,] 0.045618434 0.185500413 0.768881142
[5698,] 0.009221233 0.079017676 0.911761105
[5699,] 0.007066820 0.050220430 0.942712784
[5700,] 0.412472874 0.532821000 0.054706153
[5701,] 0.008460963 0.066009194 0.925529838
[5702,] 0.005545864 0.089264765 0.905189395
[5703,] 0.011271787 0.329711378 0.659016848
[5704,] 0.010146621 0.124940969 0.864912391
[5705,] 0.043436959 0.337334424 0.619228601
[5706,] 0.017317465 0.176745906 0.805936575
[5707,] 0.272271484 0.424332500 0.303395987
[5708,] 0.083255582 0.405189037 0.511555433
[5709,] 0.083507493 0.385338187 0.531154335
[5710,] 0.017364150 0.136974305 0.845661521
[5711,] 0.056186274 0.360715836 0.583097935
[5712,] 0.657508254 0.321964234 0.020527517
[5713,] 0.008288749 0.067362070 0.924349129
[5714,] 0.019923201 0.187878042 0.792198718
[5715,] 0.034387752 0.234727725 0.730884552
[5716,] 0.025116784 0.179375052 0.795508146
[5717,] 0.011585153 0.454727292 0.533687592
[5718,] 0.010810996 0.092389800 0.896799207
[5719,] 0.004435608 0.022349600 0.973214746
[5720,] 0.606590271 0.371912509 0.021497218
[5721,] 0.486923903 0.390454501 0.122621618
[5722,] 0.339182556 0.500024378 0.160793096
[5723,] 0.405859053 0.468158484 0.125982493
[5724,] 0.011351925 0.121271938 0.867376149
[5725,] 0.084557071 0.422741592 0.492701411
[5726,] 0.209745646 0.640000165 0.150254205
[5727,] 0.058146436 0.432717621 0.509135902
[5728,] 0.622959137 0.321622580 0.055418279
[5729,] 0.542505980 0.430893481 0.026600527
[5730,] 0.051644091 0.384024262 0.564331651
[5731,] 0.107931860 0.574202418 0.317865729
[5732,] 0.043751825 0.364173114 0.592075109
[5733,] 0.337852865 0.417811304 0.244335830
[5734,] 0.021895077 0.184852228 0.793252647
[5735,] 0.051315203 0.406728894 0.541955888
[5736,] 0.094713047 0.373883665 0.531403303
[5737,] 0.278452933 0.684944212 0.036602840
[5738,] 0.826124668 0.166054383 0.007820883
[5739,] 0.525126338 0.430704713 0.044168968
[5740,] 0.081065811 0.350538403 0.568395734
[5741,] 0.006685878 0.150693595 0.842620552
[5742,] 0.015467973 0.159409195 0.825122833
[5743,] 0.041091699 0.241477519 0.717430830
[5744,] 0.356280506 0.587467313 0.056252152
[5745,] 0.812555373 0.179299876 0.008144782
[5746,] 0.396793425 0.245046169 0.358160466
[5747,] 0.021049270 0.166598499 0.812352180
[5748,] 0.349546701 0.405703813 0.244749442
[5749,] 0.014582209 0.162908569 0.822509229
[5750,] 0.043984424 0.428273439 0.527742088
[5751,] 0.124347232 0.505505383 0.370147377
[5752,] 0.442541808 0.498895407 0.058562770
[5753,] 0.591462553 0.346748620 0.061788809
[5754,] 0.229338676 0.561704397 0.208956912
[5755,] 0.232973024 0.346678257 0.420348704
[5756,] 0.165551931 0.392888308 0.441559732
[5757,] 0.047665719 0.322451204 0.629883111
[5758,] 0.095015384 0.504228413 0.400756150
[5759,] 0.020709477 0.205953166 0.773337305
[5760,] 0.797406793 0.191076651 0.011516528
[5761,] 0.105548300 0.364439756 0.530011952
[5762,] 0.036360573 0.268909305 0.694730163
[5763,] 0.127912343 0.780956686 0.091130972
[5764,] 0.303103954 0.341868877 0.355027169
[5765,] 0.016119197 0.182189971 0.801690817
[5766,] 0.009967186 0.100201532 0.889831305
[5767,] 0.007458498 0.091431476 0.901109993
[5768,] 0.619596422 0.352725416 0.027678186
[5769,] 0.812515259 0.180351004 0.007133719
[5770,] 0.161009058 0.567700088 0.271290839
[5771,] 0.004983039 0.068022698 0.926994205
[5772,] 0.005100898 0.296725243 0.698173881
[5773,] 0.137485459 0.479152888 0.383361727
[5774,] 0.009908190 0.207460642 0.782631159
[5775,] 0.028477829 0.169431999 0.802090168
[5776,] 0.093368255 0.512368381 0.394263387
[5777,] 0.260213375 0.349454701 0.390331894
[5778,] 0.745695412 0.220740572 0.033564053
[5779,] 0.659495473 0.298605233 0.041899282
[5780,] 0.715393007 0.275345325 0.009261653
[5781,] 0.100843467 0.688452601 0.210703909
[5782,] 0.590553463 0.350954622 0.058491874
[5783,] 0.230601564 0.541031539 0.228366897
[5784,] 0.026385285 0.155793324 0.817821383
[5785,] 0.028065497 0.236358523 0.735575914
[5786,] 0.055527944 0.514587045 0.429885030
[5787,] 0.034030158 0.572153270 0.393816561
[5788,] 0.516944110 0.382009417 0.101046488
[5789,] 0.761719584 0.220691606 0.017588852
[5790,] 0.093126900 0.500303984 0.406569153
[5791,] 0.011633787 0.110997938 0.877368331
[5792,] 0.278756201 0.669811368 0.051432434
[5793,] 0.096297354 0.343144923 0.560557723
[5794,] 0.022820996 0.277446359 0.699732602
[5795,] 0.025957756 0.338357598 0.635684609
[5796,] 0.678305209 0.137401596 0.184293151
[5797,] 0.181137651 0.488675863 0.330186516
[5798,] 0.201843038 0.483596563 0.314560443
[5799,] 0.088894628 0.558634400 0.352470964
[5800,] 0.538984120 0.367094457 0.093921363
[5801,] 0.599811614 0.333760411 0.066427954
[5802,] 0.106130570 0.588959694 0.304909676
[5803,] 0.016044196 0.154724985 0.829230785
[5804,] 0.074922331 0.455178201 0.469899446
[5805,] 0.015034043 0.081208535 0.903757453
[5806,] 0.020489069 0.032785658 0.946725309
[5807,] 0.791736484 0.199695751 0.008567809
[5808,] 0.156475469 0.469797909 0.373726666
[5809,] 0.015778357 0.167031631 0.817189991
[5810,] 0.021618769 0.298291087 0.680090129
[5811,] 0.016383521 0.115121871 0.868494630
[5812,] 0.003658172 0.028723922 0.967617929
[5813,] 0.004688196 0.059279364 0.936032474
[5814,] 0.655205667 0.303771317 0.041022997
[5815,] 0.155601814 0.517518818 0.326879382
[5816,] 0.032134034 0.319593132 0.648272872
[5817,] 0.038633548 0.308044076 0.653322399
[5818,] 0.006203332 0.071247920 0.922548771
[5819,] 0.017181274 0.177004680 0.805814028
[5820,] 0.194489181 0.543964624 0.261546195
[5821,] 0.364382744 0.599638879 0.035978340
[5822,] 0.835398972 0.159749746 0.004851250
[5823,] 0.776757121 0.204293147 0.018949719
[5824,] 0.061949138 0.407068074 0.530982852
[5825,] 0.058916032 0.305715054 0.635368884
[5826,] 0.117238544 0.790296435 0.092464961
[5827,] 0.359955281 0.429963201 0.210081503
[5828,] 0.396591038 0.482277930 0.121131033
[5829,] 0.040416673 0.419704556 0.539878786
[5830,] 0.511525393 0.450654566 0.037820060
[5831,] 0.624778211 0.357502252 0.017719610
[5832,] 0.741714478 0.252318650 0.005966929
[5833,] 0.270915955 0.447108030 0.281976044
[5834,] 0.066889197 0.486148953 0.446961880
[5835,] 0.026972933 0.315679252 0.657347798
[5836,] 0.443687379 0.505710125 0.050602525
[5837,] 0.491492599 0.473348826 0.035158619
[5838,] 0.540199280 0.416863143 0.042937554
[5839,] 0.745049596 0.235591128 0.019359291
[5840,] 0.018175159 0.189494148 0.792330682
[5841,] 0.188063681 0.524867117 0.287069201
[5842,] 0.023489967 0.215431839 0.761078238
[5843,] 0.677626967 0.299959213 0.022413818
[5844,] 0.124671489 0.541295767 0.334032714
[5845,] 0.066830195 0.537220180 0.395949632
[5846,] 0.418206394 0.403735816 0.178057775
[5847,] 0.015496842 0.138615191 0.845887959
[5848,] 0.163550541 0.427929610 0.408519894
[5849,] 0.475473821 0.466392368 0.058133770
[5850,] 0.104598723 0.525916100 0.369485229
[5851,] 0.616279185 0.350411266 0.033309516
[5852,] 0.177539468 0.489616305 0.332844228
[5853,] 0.526616812 0.417731792 0.055651437
[5854,] 0.382216752 0.527844727 0.089938506
[5855,] 0.729596019 0.245448947 0.024955025
[5856,] 0.681585133 0.300190479 0.018224359
[5857,] 0.546784401 0.391680151 0.061535463
[5858,] 0.588274658 0.295242906 0.116482414
[5859,] 0.679115891 0.294634223 0.026249865
[5860,] 0.660278857 0.310731620 0.028989555
[5861,] 0.525432944 0.417531043 0.057036042
[5862,] 0.080472901 0.569169283 0.350357771
[5863,] 0.737570465 0.246350840 0.016078677
[5864,] 0.115787089 0.571427226 0.312785685
[5865,] 0.276929051 0.492039949 0.231031060
[5866,] 0.667732418 0.308928311 0.023339270
[5867,] 0.588431656 0.367318600 0.044249788
[5868,] 0.410754889 0.536399364 0.052845705
[5869,] 0.093001403 0.440010399 0.466988206
[5870,] 0.539703906 0.322220266 0.138075843
[5871,] 0.257263869 0.452988118 0.289748073
[5872,] 0.008096933 0.715096593 0.276806444
[5873,] 0.535001934 0.308575749 0.156422272
[5874,] 0.609937489 0.355376124 0.034686372
[5875,] 0.592161417 0.373715848 0.034122784
[5876,] 0.618303835 0.366167694 0.015528458
[5877,] 0.067737460 0.514312267 0.417950273
[5878,] 0.630755842 0.336621553 0.032622568
[5879,] 0.647233605 0.332501829 0.020264586
[5880,] 0.747303784 0.236822486 0.015873773
[5881,] 0.243125543 0.708006203 0.048868276
[5882,] 0.476491541 0.428407818 0.095100664
[5883,] 0.781631231 0.204678297 0.013690433
[5884,] 0.010656174 0.097631261 0.891712487
[5885,] 0.403263777 0.459026426 0.137709811
[5886,] 0.450693220 0.446572125 0.102734625
[5887,] 0.134601131 0.450274765 0.415124148
[5888,] 0.434449226 0.328145176 0.237405568
[5889,] 0.067380637 0.551135838 0.381483525
[5890,] 0.424137533 0.391294450 0.184568018
[5891,] 0.665904105 0.319622874 0.014473032
[5892,] 0.687081516 0.295584261 0.017334195
[5893,] 0.648513198 0.323532194 0.027954649
[5894,] 0.500918508 0.428508103 0.070573404
[5895,] 0.524029315 0.370680809 0.105289884
[5896,] 0.732608914 0.241267994 0.026123079
[5897,] 0.016628673 0.152962565 0.830408752
[5898,] 0.726610720 0.248525441 0.024863819
[5899,] 0.067237556 0.297429413 0.635333002
[5900,] 0.351938307 0.514377117 0.133684546
[5901,] 0.464369625 0.492023557 0.043606877
[5902,] 0.703789532 0.277582943 0.018627521
[5903,] 0.634724200 0.331818223 0.033457529
[5904,] 0.483437359 0.461806506 0.054756120
[5905,] 0.764960885 0.224130839 0.010908263
[5906,] 0.604863644 0.366603196 0.028533110
[5907,] 0.400914550 0.428100407 0.170985073
[5908,] 0.558562756 0.415089518 0.026347686
[5909,] 0.442010760 0.472614259 0.085374996
[5910,] 0.278266490 0.527579486 0.194154054
[5911,] 0.609760463 0.349616110 0.040623408
[5912,] 0.719887316 0.254779518 0.025333110
[5913,] 0.032490660 0.233189195 0.734320104
[5914,] 0.022348644 0.035229299 0.942422032
[5915,] 0.057139590 0.274467677 0.668392777
[5916,] 0.050685786 0.334211916 0.615102291
[5917,] 0.026094379 0.731327355 0.242578238
[5918,] 0.564952791 0.386376917 0.048670262
[5919,] 0.629133701 0.346744895 0.024121415
[5920,] 0.828596056 0.158687174 0.012716800
[5921,] 0.013781586 0.128419206 0.857799232
[5922,] 0.031253330 0.318319172 0.650427520
[5923,] 0.534346402 0.417553842 0.048099775
[5924,] 0.546057403 0.397484392 0.056458168
[5925,] 0.548241556 0.402897894 0.048860565
[5926,] 0.200054899 0.630904496 0.169040635
[5927,] 0.559022188 0.391071707 0.049906056
[5928,] 0.699245989 0.274322510 0.026431529
[5929,] 0.049697585 0.445979238 0.504323184
[5930,] 0.494892806 0.371614516 0.133492723
[5931,] 0.012273412 0.204989806 0.782736778
[5932,] 0.336949170 0.498990327 0.164060548
[5933,] 0.026281763 0.260660529 0.713057697
[5934,] 0.150833026 0.559184968 0.289982021
[5935,] 0.736817777 0.244628638 0.018553572
[5936,] 0.110006563 0.616898656 0.273094803
[5937,] 0.060431406 0.375372738 0.564195812
[5938,] 0.008223237 0.161198288 0.830578506
[5939,] 0.027962415 0.274287969 0.697749615
[5940,] 0.765673637 0.223759532 0.010566830
[5941,] 0.745705903 0.206879809 0.047414280
[5942,] 0.009995481 0.173066586 0.816937923
[5943,] 0.013187688 0.128974527 0.857837796
[5944,] 0.514214218 0.455334902 0.030450897
[5945,] 0.354612082 0.467580169 0.177807793
[5946,] 0.044762485 0.209860072 0.745377421
[5947,] 0.663319290 0.279597431 0.057083216
[5948,] 0.100059979 0.428258926 0.471681118
[5949,] 0.188841924 0.473345280 0.337812841
[5950,] 0.702676356 0.279431969 0.017891642
[5951,] 0.091595165 0.511229217 0.397175670
[5952,] 0.628918350 0.349356055 0.021725608
[5953,] 0.536954641 0.390999049 0.072046302
[5954,] 0.083370991 0.488169163 0.428459853
[5955,] 0.078821220 0.556582510 0.364596277
[5956,] 0.687798500 0.298455656 0.013745866
[5957,] 0.009506240 0.120707244 0.869786501
[5958,] 0.519664049 0.432499856 0.047836088
[5959,] 0.396261007 0.525597870 0.078141116
[5960,] 0.544693112 0.333555877 0.121750996
[5961,] 0.446315765 0.484645844 0.069038354
[5962,] 0.085898176 0.464792430 0.449309438
[5963,] 0.015636543 0.504795194 0.479568213
[5964,] 0.091825269 0.367284834 0.540889859
[5965,] 0.023516681 0.176513836 0.799969494
[5966,] 0.043753479 0.428989440 0.527257085
[5967,] 0.366990119 0.563701689 0.069308229
[5968,] 0.008741543 0.066061981 0.925196528
[5969,] 0.416222394 0.480499029 0.103278540
[5970,] 0.109498493 0.545879960 0.344621539
[5971,] 0.575630605 0.378240168 0.046129189
[5972,] 0.510599494 0.443784446 0.045616083
[5973,] 0.589855194 0.359094322 0.051050525
[5974,] 0.698669434 0.282361388 0.018969204
[5975,] 0.617168069 0.351806790 0.031025168
[5976,] 0.571615160 0.402329981 0.026054818
[5977,] 0.018580401 0.165141314 0.816278279
[5978,] 0.008958564 0.771780729 0.219260737
[5979,] 0.026403425 0.585609615 0.387986958
[5980,] 0.157390907 0.683524430 0.159084648
[5981,] 0.738585532 0.248783678 0.012630768
[5982,] 0.137924850 0.553592801 0.308482319
[5983,] 0.011732002 0.130859956 0.857407987
[5984,] 0.008547816 0.103130065 0.888322115
[5985,] 0.069385454 0.412657887 0.517956614
[5986,] 0.014084249 0.084895544 0.901020229
[5987,] 0.786607206 0.200950205 0.012442621
[5988,] 0.111184910 0.622075021 0.266740054
[5989,] 0.354438305 0.457526028 0.188035712
[5990,] 0.424499601 0.368819982 0.206680417
[5991,] 0.005857711 0.055825919 0.938316345
[5992,] 0.015183918 0.172156185 0.812659919
[5993,] 0.011888142 0.109624602 0.878487229
[5994,] 0.076816149 0.294286966 0.628896892
[5995,] 0.056264065 0.412499249 0.531236649
[5996,] 0.013229082 0.134238631 0.852532268
[5997,] 0.048245780 0.379753351 0.572000861
[5998,] 0.201210707 0.480670750 0.318118602
[5999,] 0.024552774 0.223777190 0.751670003
[6000,] 0.484613597 0.328007221 0.187379196
[6001,] 0.008529968 0.570351720 0.421118319
[6002,] 0.051664885 0.513509512 0.434825629
[6003,] 0.121707156 0.606280148 0.272012711
[6004,] 0.215515062 0.502425730 0.282059163
[6005,] 0.105769381 0.717632055 0.176598519
[6006,] 0.290843278 0.506380022 0.202776700
[6007,] 0.603004754 0.289637893 0.107357405
[6008,] 0.023337727 0.258963346 0.717698932
[6009,] 0.438257128 0.229691818 0.332051039
[6010,] 0.010126454 0.232268885 0.757604659
[6011,] 0.146888852 0.292151809 0.560959339
[6012,] 0.129706815 0.600951791 0.269341350
[6013,] 0.013071703 0.090687871 0.896240473
[6014,] 0.426600039 0.436243564 0.137156382
[6015,] 0.077353194 0.637605011 0.285041779
[6016,] 0.034332022 0.233785287 0.731882691
[6017,] 0.202347025 0.476577967 0.321075052
[6018,] 0.012075403 0.288960874 0.698963702
[6019,] 0.166736364 0.544332564 0.288931072
[6020,] 0.072332047 0.406188607 0.521479368
[6021,] 0.350165308 0.401660502 0.248174205
[6022,] 0.309883118 0.467796385 0.222320512
[6023,] 0.022329845 0.351840883 0.625829279
[6024,] 0.043491401 0.346069515 0.610439122
[6025,] 0.018762877 0.219335526 0.761901557
[6026,] 0.073795758 0.513049960 0.413154274
[6027,] 0.018617520 0.165100023 0.816282451
[6028,] 0.246371582 0.523758113 0.229870304
[6029,] 0.091802433 0.356862307 0.551335216
[6030,] 0.022900289 0.243216947 0.733882785
[6031,] 0.004890767 0.130775198 0.864334047
[6032,] 0.047190830 0.218581662 0.734227479
[6033,] 0.029019186 0.506079733 0.464901119
[6034,] 0.083375558 0.539929211 0.376695246
[6035,] 0.155829117 0.609860301 0.234310597
[6036,] 0.023201587 0.158179164 0.818619192
[6037,] 0.006594262 0.112091780 0.881313980
[6038,] 0.010629001 0.189677343 0.799693644
[6039,] 0.011717558 0.794649363 0.193633094
[6040,] 0.280934304 0.583048522 0.136017159
[6041,] 0.008921593 0.150594205 0.840484202
[6042,] 0.020778341 0.227314502 0.751907170
[6043,] 0.563348830 0.389962494 0.046688639
[6044,] 0.696519554 0.290107638 0.013372830
[6045,] 0.262280524 0.190917104 0.546802342
[6046,] 0.033125717 0.235078931 0.731795311
[6047,] 0.661809564 0.301521927 0.036668494
[6048,] 0.626658976 0.351396412 0.021944586
[6049,] 0.160819992 0.593330562 0.245849416
[6050,] 0.179329947 0.740085185 0.080584869
[6051,] 0.577241838 0.409935296 0.012822875
[6052,] 0.016161127 0.060838729 0.923000097
[6053,] 0.048667323 0.375837386 0.575495303
[6054,] 0.412035018 0.295829445 0.292135507
[6055,] 0.004495921 0.238512531 0.756991565
[6056,] 0.012576725 0.126176372 0.861246943
[6057,] 0.115216643 0.481746584 0.403036743
[6058,] 0.005603288 0.213440657 0.780956030
[6059,] 0.088020056 0.569532335 0.342447579
[6060,] 0.113212027 0.491945237 0.394842714
[6061,] 0.018298436 0.076170720 0.905530870
[6062,] 0.012246221 0.034814380 0.952939391
[6063,] 0.111804396 0.439580023 0.448615581
[6064,] 0.028052775 0.220106557 0.751840651
[6065,] 0.093666814 0.496113986 0.410219193
[6066,] 0.609986961 0.342351019 0.047662027
[6067,] 0.383111566 0.519016862 0.097871564
[6068,] 0.635593355 0.311959088 0.052447606
[6069,] 0.340938151 0.454522789 0.204539105
[6070,] 0.020636760 0.174116388 0.805246830
[6071,] 0.736974061 0.253850311 0.009175640
[6072,] 0.017483000 0.100634567 0.881882489
[6073,] 0.447123677 0.499555379 0.053320978
[6074,] 0.607141674 0.360940218 0.031918108
[6075,] 0.471384525 0.444201887 0.084413595
[6076,] 0.014247647 0.137658834 0.848093510
[6077,] 0.036904529 0.776624203 0.186471283
[6078,] 0.594048560 0.268230677 0.137720734
[6079,] 0.064214572 0.167739853 0.768045604
[6080,] 0.300603628 0.528433502 0.170962870
[6081,] 0.635013640 0.338327885 0.026658531
[6082,] 0.334133953 0.524899125 0.140966922
[6083,] 0.063456163 0.301811814 0.634732008
[6084,] 0.077085368 0.384114295 0.538800299
[6085,] 0.035219271 0.323420644 0.641360044
[6086,] 0.681463599 0.306626886 0.011909437
[6087,] 0.421848357 0.501580358 0.076571271
[6088,] 0.014157075 0.187349170 0.798493743
[6089,] 0.012463825 0.363915324 0.623620808
[6090,] 0.008761270 0.083588086 0.907650650
[6091,] 0.168751359 0.298390001 0.532858610
[6092,] 0.022866298 0.248167247 0.728966475
[6093,] 0.032350134 0.140346095 0.827303767
[6094,] 0.603694737 0.328200310 0.068104908
[6095,] 0.083268218 0.724826276 0.191905469
[6096,] 0.137110159 0.570456684 0.292433143
[6097,] 0.482303768 0.425069213 0.092627063
[6098,] 0.078834005 0.807100177 0.114065789
[6099,] 0.010525875 0.756987214 0.232486978
[6100,] 0.006116848 0.046969514 0.946913600
[6101,] 0.046390779 0.264891028 0.688718200
[6102,] 0.009319100 0.093318023 0.897362828
[6103,] 0.137487367 0.503022075 0.359490544
[6104,] 0.023589268 0.171519846 0.804890871
[6105,] 0.034273408 0.251823932 0.713902712
[6106,] 0.222589299 0.558115959 0.219294772
[6107,] 0.008930414 0.460308671 0.530760944
[6108,] 0.280664027 0.555388510 0.163947448
[6109,] 0.048263036 0.280242562 0.671494365
[6110,] 0.170024067 0.488558263 0.341417670
[6111,] 0.250607401 0.563007414 0.186385214
[6112,] 0.027208058 0.234019026 0.738772929
[6113,] 0.159597605 0.658085048 0.182317346
[6114,] 0.020227626 0.254040867 0.725731492
[6115,] 0.830071092 0.163307503 0.006621423
[6116,] 0.006004520 0.034152694 0.959842741
[6117,] 0.012952695 0.154002905 0.833044410
[6118,] 0.326206356 0.559170485 0.114623114
[6119,] 0.105032079 0.411486030 0.483481884
[6120,] 0.584594369 0.272167623 0.143237993
[6121,] 0.007578999 0.093499221 0.898921788
[6122,] 0.089578204 0.481178820 0.429242969
[6123,] 0.035455823 0.294510692 0.670033455
[6124,] 0.007940329 0.196522206 0.795537472
[6125,] 0.012557780 0.140902370 0.846539855
[6126,] 0.038191888 0.272459179 0.689348876
[6127,] 0.020865094 0.221944213 0.757190645
[6128,] 0.008261554 0.026827518 0.964910984
[6129,] 0.026581828 0.201723993 0.771694183
[6130,] 0.123830229 0.362523586 0.513646185
[6131,] 0.083221979 0.468511999 0.448266029
[6132,] 0.152991429 0.573323131 0.273685515
[6133,] 0.083581403 0.463423043 0.452995509
[6134,] 0.080573633 0.441908032 0.477518320
[6135,] 0.010146867 0.061863303 0.927989841
[6136,] 0.038758431 0.272377580 0.688864052
[6137,] 0.049031243 0.296255648 0.654713094
[6138,] 0.067524113 0.478459090 0.454016834
[6139,] 0.096499361 0.446145803 0.457354873
[6140,] 0.004194462 0.025449181 0.970356286
[6141,] 0.030644409 0.842535496 0.126820028
[6142,] 0.483286679 0.371857971 0.144855335
[6143,] 0.120716326 0.506956398 0.372327238
[6144,] 0.015832281 0.133508131 0.850659609
[6145,] 0.187480047 0.277301461 0.535218477
[6146,] 0.018619828 0.124079563 0.857300639
[6147,] 0.012638073 0.149391189 0.837970734
[6148,] 0.280962110 0.609936118 0.109101795
[6149,] 0.009967777 0.406327367 0.583704829
[6150,] 0.088036746 0.283479989 0.628483295
[6151,] 0.008133372 0.121537901 0.870328784
[6152,] 0.054878417 0.203620777 0.741500854
[6153,] 0.012287888 0.216921672 0.770790458
[6154,] 0.013970369 0.130488396 0.855541229
[6155,] 0.031155113 0.322012901 0.646832049
[6156,] 0.011454704 0.109746777 0.878798485
[6157,] 0.145170376 0.534568846 0.320260823
[6158,] 0.333976358 0.243777484 0.422246158
[6159,] 0.015823241 0.129574165 0.854602575
[6160,] 0.057173226 0.247562081 0.695264637
[6161,] 0.017355120 0.151450515 0.831194341
[6162,] 0.199895769 0.523416460 0.276687801
[6163,] 0.022083333 0.245044097 0.732872546
[6164,] 0.039242920 0.277226031 0.683531046
[6165,] 0.150031909 0.537027955 0.312940150
[6166,] 0.088507853 0.381927878 0.529564261
[6167,] 0.040378328 0.224049255 0.735572398
[6168,] 0.013870222 0.189615786 0.796513975
[6169,] 0.054914329 0.328722417 0.616363287
[6170,] 0.254173726 0.549722314 0.196103960
[6171,] 0.052670218 0.320738584 0.626591265
[6172,] 0.013878327 0.194020227 0.792101443
[6173,] 0.013712739 0.190725029 0.795562267
[6174,] 0.378850609 0.344490558 0.276658833
[6175,] 0.259315729 0.556592047 0.184092209
[6176,] 0.013787604 0.127006710 0.859205663
[6177,] 0.089158051 0.257368892 0.653473079
[6178,] 0.009192224 0.050765589 0.940042138
[6179,] 0.052226558 0.356099665 0.591673791
[6180,] 0.092582770 0.356663734 0.550753474
[6181,] 0.619763196 0.309506685 0.070730090
[6182,] 0.463516474 0.429619402 0.106864184
[6183,] 0.020061089 0.135556936 0.844381988
[6184,] 0.107629173 0.217479885 0.674890935
[6185,] 0.017643984 0.193474695 0.788881302
[6186,] 0.008317054 0.537873566 0.453809381
[6187,] 0.088056341 0.384333849 0.527609825
[6188,] 0.053626791 0.448279798 0.498093396
[6189,] 0.097780548 0.351180851 0.551038623
[6190,] 0.037730422 0.325723380 0.636546254
[6191,] 0.025559060 0.284633845 0.689807057
[6192,] 0.008481164 0.086770348 0.904748499
[6193,] 0.044733793 0.315915734 0.639350474
[6194,] 0.063735500 0.268294185 0.667970359
[6195,] 0.180555761 0.661708593 0.157735646
[6196,] 0.377733678 0.219968513 0.402297825
[6197,] 0.015072432 0.234017760 0.750909805
[6198,] 0.021836143 0.219526261 0.758637607
[6199,] 0.050246339 0.320372969 0.629380703
[6200,] 0.191149458 0.595665753 0.213184789
[6201,] 0.157234237 0.591779768 0.250986040
[6202,] 0.122156046 0.554403841 0.323440105
[6203,] 0.152577966 0.426799744 0.420622289
[6204,] 0.456268013 0.460719973 0.083012007
[6205,] 0.025124297 0.214580074 0.760295630
[6206,] 0.028112641 0.230061382 0.741825938
[6207,] 0.051127158 0.438014418 0.510858417
[6208,] 0.326286465 0.379269212 0.294444352
[6209,] 0.274137080 0.456708312 0.269154578
[6210,] 0.014899408 0.155732661 0.829367936
[6211,] 0.187103346 0.271901488 0.540995121
[6212,] 0.055793054 0.161287129 0.782919765
[6213,] 0.356517315 0.382887334 0.260595381
[6214,] 0.141395062 0.281973004 0.576631963
[6215,] 0.029548636 0.138088718 0.832362652
[6216,] 0.085214064 0.332270175 0.582515776
[6217,] 0.355595648 0.503952146 0.140452191
[6218,] 0.157827199 0.280552179 0.561620593
[6219,] 0.460235685 0.378245831 0.161518469
[6220,] 0.141304657 0.227250263 0.631445050
[6221,] 0.474798173 0.360931724 0.164270148
[6222,] 0.142152861 0.405159146 0.452687979
[6223,] 0.082334578 0.134724423 0.782940984
[6224,] 0.012148732 0.155613840 0.832237422
[6225,] 0.181835264 0.271170765 0.546993971
[6226,] 0.065002039 0.192705482 0.742292464
[6227,] 0.020255260 0.108745277 0.870999455
[6228,] 0.321745127 0.391458124 0.286796778
[6229,] 0.051890604 0.174916983 0.773192406
[6230,] 0.442561924 0.400200427 0.157237679
[6231,] 0.093979068 0.528815806 0.377205104
[6232,] 0.048034493 0.365359664 0.586605847
[6233,] 0.006575502 0.067070007 0.926354527
[6234,] 0.067458928 0.437815845 0.494725257
[6235,] 0.301337302 0.556503654 0.142159075
[6236,] 0.048119094 0.383246064 0.568634868
[6237,] 0.037271623 0.201116592 0.761611819
[6238,] 0.014590639 0.124238461 0.861170888
[6239,] 0.120567434 0.468857348 0.410575241
[6240,] 0.017049406 0.139521897 0.843428731
[6241,] 0.010172173 0.066568688 0.923259139
[6242,] 0.055096291 0.289752722 0.655151010
[6243,] 0.014598405 0.103036821 0.882364750
[6244,] 0.024684891 0.445865154 0.529449999
[6245,] 0.220174894 0.318927228 0.460897893
[6246,] 0.290925235 0.458268076 0.250806689
[6247,] 0.068080425 0.494368911 0.437550664
[6248,] 0.008287883 0.050091334 0.941620827
[6249,] 0.095249325 0.459343284 0.445407361
[6250,] 0.025795443 0.503484190 0.470720381
[6251,] 0.067081027 0.491782129 0.441136897
[6252,] 0.040009063 0.149623364 0.810367525
[6253,] 0.008353009 0.214073747 0.777573228
[6254,] 0.271357208 0.300502181 0.428140670
[6255,] 0.158695310 0.501460254 0.339844406
[6256,] 0.438658804 0.456372827 0.104968369
[6257,] 0.042330317 0.263786137 0.693883538
[6258,] 0.026182180 0.212829649 0.760988116
[6259,] 0.361855805 0.495297730 0.142846480
[6260,] 0.018756311 0.153177783 0.828065872
[6261,] 0.167118028 0.460452735 0.372429222
[6262,] 0.689998567 0.280751288 0.029250138
[6263,] 0.303782016 0.452537894 0.243680120
[6264,] 0.140141025 0.347728848 0.512130141
[6265,] 0.026373154 0.204363033 0.769263804
[6266,] 0.239302367 0.622846127 0.137851536
[6267,] 0.018568844 0.165051475 0.816379666
[6268,] 0.056708932 0.278890073 0.664400995
[6269,] 0.474806339 0.358065546 0.167128146
[6270,] 0.499475211 0.416770339 0.083754398
[6271,] 0.017671254 0.137019783 0.845308959
[6272,] 0.008034321 0.117585175 0.874380469
[6273,] 0.094614975 0.369871378 0.535513639
[6274,] 0.038029511 0.254977733 0.706992745
[6275,] 0.193533346 0.438028574 0.368438035
[6276,] 0.051298585 0.369182855 0.579518557
[6277,] 0.484070897 0.332487851 0.183441296
[6278,] 0.424196273 0.421759993 0.154043689
[6279,] 0.210607395 0.634482026 0.154910564
[6280,] 0.018413236 0.176731646 0.804855108
[6281,] 0.729215503 0.233700156 0.037084367
[6282,] 0.541406691 0.338298619 0.120294690
[6283,] 0.069276869 0.331663728 0.599059403
[6284,] 0.024084689 0.202527776 0.773387492
[6285,] 0.005921796 0.468583614 0.525494576
[6286,] 0.038954522 0.274366528 0.686679006
[6287,] 0.020100186 0.206306562 0.773593307
[6288,] 0.027069340 0.239789829 0.733140826
[6289,] 0.099739082 0.410806477 0.489454508
[6290,] 0.127273187 0.407793909 0.464932859
[6291,] 0.230796561 0.578789294 0.190414146
[6292,] 0.012242192 0.152675793 0.835081995
[6293,] 0.583901167 0.399147809 0.016951004
[6294,] 0.789324224 0.173021883 0.037653860
[6295,] 0.721274018 0.233673677 0.045052283
[6296,] 0.714227259 0.235252395 0.050520293
[6297,] 0.858205259 0.131956846 0.009837926
[6298,] 0.814237535 0.168826312 0.016936174
[6299,] 0.129147470 0.203951627 0.666900933
[6300,] 0.688358068 0.280730784 0.030911116
[6301,] 0.803964734 0.178853139 0.017182134
[6302,] 0.512777090 0.337400138 0.149822742
[6303,] 0.653427660 0.280907810 0.065664589
[6304,] 0.639657855 0.317148983 0.043193154
[6305,] 0.587557316 0.257649958 0.154792756
[6306,] 0.729876339 0.248582363 0.021541348
[6307,] 0.723571062 0.208857492 0.067571446
[6308,] 0.675205112 0.262591898 0.062202983
[6309,] 0.836259544 0.152747571 0.010992853
[6310,] 0.435220957 0.369769335 0.195009723
[6311,] 0.724550664 0.236852542 0.038596772
[6312,] 0.503954411 0.278450698 0.217594877
[6313,] 0.431946754 0.343147069 0.224906191
[6314,] 0.572785199 0.280337393 0.146877423
[6315,] 0.473029405 0.280449122 0.246521503
[6316,] 0.806775749 0.180947065 0.012277190
[6317,] 0.722484648 0.261189520 0.016325863
[6318,] 0.685394168 0.270871282 0.043734502
[6319,] 0.779781997 0.192325905 0.027892061
[6320,] 0.086467519 0.229515210 0.684017301
[6321,] 0.680557787 0.266190708 0.053251445
[6322,] 0.437368274 0.359689176 0.202942535
[6323,] 0.817406178 0.167598099 0.014995694
[6324,] 0.062271755 0.752410829 0.185317457
[6325,] 0.614366055 0.343131036 0.042502899
[6326,] 0.807673275 0.165771946 0.026554776
[6327,] 0.774788260 0.178891629 0.046320081
[6328,] 0.267635137 0.280619442 0.451745480
[6329,] 0.693840384 0.260602415 0.045557179
[6330,] 0.746353805 0.227396801 0.026249390
[6331,] 0.439988166 0.495738715 0.064273134
[6332,] 0.229040623 0.134548530 0.636410892
[6333,] 0.571781754 0.402273893 0.025944382
[6334,] 0.815404892 0.160819829 0.023775322
[6335,] 0.436296761 0.472440541 0.091262676
[6336,] 0.452960819 0.372316927 0.174722224
[6337,] 0.692074418 0.255889475 0.052036118
[6338,] 0.879275262 0.108792759 0.011932004
[6339,] 0.650253892 0.283237398 0.066508710
[6340,] 0.099805757 0.164211795 0.735982478
[6341,] 0.836618185 0.153826520 0.009555326
[6342,] 0.734050453 0.240448475 0.025501052
[6343,] 0.817511082 0.170544446 0.011944424
[6344,] 0.867398620 0.124816954 0.007784366
[6345,] 0.692005754 0.229570791 0.078423463
[6346,] 0.833952069 0.148872465 0.017175494
[6347,] 0.809592128 0.157952443 0.032455433
[6348,] 0.763332844 0.208207324 0.028459879
[6349,] 0.898414433 0.088207394 0.013378154
[6350,] 0.555467844 0.318254650 0.126277462
[6351,] 0.734441340 0.239472136 0.026086586
[6352,] 0.843336403 0.144534543 0.012129037
[6353,] 0.797242820 0.189542577 0.013214647
[6354,] 0.574172914 0.331707120 0.094119973
[6355,] 0.920842707 0.075429164 0.003728170
[6356,] 0.457809538 0.449176282 0.093014158
[6357,] 0.786655009 0.192755744 0.020589240
[6358,] 0.213284165 0.252195269 0.534520566
[6359,] 0.736335576 0.194893256 0.068771206
[6360,] 0.397468150 0.414262712 0.188269123
[6361,] 0.454937011 0.298841864 0.246221140
[6362,] 0.286047995 0.300195575 0.413756460
[6363,] 0.578126907 0.398433268 0.023439810
[6364,] 0.793275476 0.169298738 0.037425820
[6365,] 0.869963467 0.120409705 0.009626785
[6366,] 0.841986060 0.146993741 0.011020176
[6367,] 0.448320150 0.242336169 0.309343696
[6368,] 0.690502107 0.300471067 0.009026834
[6369,] 0.514949083 0.348394334 0.136656553
[6370,] 0.824640751 0.159466371 0.015892804
[6371,] 0.397526592 0.339209586 0.263263822
[6372,] 0.825400829 0.155814916 0.018784216
[6373,] 0.794179142 0.176936954 0.028883908
[6374,] 0.691199005 0.245067328 0.063733689
[6375,] 0.867438912 0.122606844 0.009954249
[6376,] 0.691776037 0.251838923 0.056385044
[6377,] 0.791461766 0.192400739 0.016137525
[6378,] 0.076373741 0.226505026 0.697121263
[6379,] 0.866820276 0.108086109 0.025093650
[6380,] 0.741442621 0.230598643 0.027958717
[6381,] 0.401408106 0.395488292 0.203103617
[6382,] 0.828738928 0.141619563 0.029641535
[6383,] 0.804177105 0.183672920 0.012149910
[6384,] 0.861052692 0.128830299 0.010117013
[6385,] 0.453389347 0.507561684 0.039049007
[6386,] 0.765396714 0.221670970 0.012932321
[6387,] 0.708184242 0.259135604 0.032680176
[6388,] 0.892776191 0.096842214 0.010381586
[6389,] 0.788652718 0.179969490 0.031377770
[6390,] 0.759235203 0.220229983 0.020534813
[6391,] 0.834868193 0.129425064 0.035706740
[6392,] 0.834068060 0.152593017 0.013338942
[6393,] 0.777281582 0.192380354 0.030338010
[6394,] 0.870905697 0.120749034 0.008345287
[6395,] 0.872880280 0.118800119 0.008319578
[6396,] 0.821438193 0.153346717 0.025215134
[6397,] 0.848100007 0.136888862 0.015011162
[6398,] 0.465330780 0.295791507 0.238877699
[6399,] 0.647434533 0.255837530 0.096727915
[6400,] 0.347117484 0.351256013 0.301626533
[6401,] 0.566074610 0.259785622 0.174139723
[6402,] 0.804163933 0.156463221 0.039372854
[6403,] 0.683701217 0.292471498 0.023827313
[6404,] 0.683870256 0.261305064 0.054824755
[6405,] 0.861504912 0.127793193 0.010701825
[6406,] 0.753918052 0.217268124 0.028813846
[6407,] 0.518120408 0.336465150 0.145414457
[6408,] 0.427328199 0.339554101 0.233117655
[6409,] 0.756965518 0.205812544 0.037221894
[6410,] 0.856395245 0.135496214 0.008108542
[6411,] 0.661639869 0.234936506 0.103423633
[6412,] 0.870907068 0.096397907 0.032695070
[6413,] 0.770014942 0.189172849 0.040812265
[6414,] 0.890740752 0.101405852 0.007853349
[6415,] 0.845808268 0.134099841 0.020091904
[6416,] 0.879313648 0.105381615 0.015304797
[6417,] 0.164724886 0.162296653 0.672978461
[6418,] 0.797489464 0.188268676 0.014241870
[6419,] 0.633653641 0.333103269 0.033243041
[6420,] 0.830325663 0.158368424 0.011305945
[6421,] 0.738838255 0.240778714 0.020382976
[6422,] 0.585320890 0.298643470 0.116035588
[6423,] 0.598621428 0.258525848 0.142852738
[6424,] 0.731860340 0.247288764 0.020850912
[6425,] 0.752828419 0.212479979 0.034691587
[6426,] 0.686815083 0.252035648 0.061149213
[6427,] 0.758494556 0.202069968 0.039435476
[6428,] 0.406996816 0.565819621 0.027183594
[6429,] 0.663144588 0.268140078 0.068715297
[6430,] 0.188840955 0.351107121 0.460051864
[6431,] 0.633069396 0.292327076 0.074603543
[6432,] 0.498418212 0.359090000 0.142491788
[6433,] 0.748227537 0.213009819 0.038762674
[6434,] 0.580041230 0.337376982 0.082581773
[6435,] 0.720205963 0.250353366 0.029440653
[6436,] 0.353122264 0.465898931 0.180978820
[6437,] 0.710754097 0.269947916 0.019297915
[6438,] 0.547562599 0.339854717 0.112582617
[6439,] 0.793262541 0.195635200 0.011102231
[6440,] 0.869716525 0.123633549 0.006649893
[6441,] 0.848225892 0.132405326 0.019368831
[6442,] 0.096737683 0.190703258 0.712559044
[6443,] 0.646934032 0.332853317 0.020212611
[6444,] 0.729398072 0.233200207 0.037401758
[6445,] 0.723455071 0.242007405 0.034537472
[6446,] 0.776417732 0.206377268 0.017205024
[6447,] 0.849423110 0.139138818 0.011438055
[6448,] 0.726711273 0.248729795 0.024558933
[6449,] 0.766415119 0.207523078 0.026061812
[6450,] 0.900958776 0.094024606 0.005016671
[6451,] 0.498602360 0.435988992 0.065408684
[6452,] 0.825233877 0.165649965 0.009116139
[6453,] 0.839109063 0.146955654 0.013935212
[6454,] 0.704350948 0.247707471 0.047941580
[6455,] 0.477531612 0.460853100 0.061615311
[6456,] 0.668319881 0.312776178 0.018903913
[6457,] 0.774871528 0.206154779 0.018973701
[6458,] 0.749263227 0.199690923 0.051045824
[6459,] 0.826672077 0.164624989 0.008702899
[6460,] 0.684524298 0.259293407 0.056182306
[6461,] 0.749194801 0.231387258 0.019418007
[6462,] 0.869152069 0.120801374 0.010046529
[6463,] 0.770646155 0.212378860 0.016975021
[6464,] 0.748323917 0.224168733 0.027507357
[6465,] 0.446173400 0.351469785 0.202356771
[6466,] 0.759561419 0.208787501 0.031651095
[6467,] 0.603837430 0.353391141 0.042771406
[6468,] 0.534014106 0.332387954 0.133597896
[6469,] 0.233420148 0.271280617 0.495299190
[6470,] 0.695870221 0.259916365 0.044213396
[6471,] 0.808626711 0.181889236 0.009483987
[6472,] 0.808508217 0.178572923 0.012918838
[6473,] 0.350704968 0.498340279 0.150954738
[6474,] 0.265281737 0.544662595 0.190055683
[6475,] 0.591096818 0.326302320 0.082600854
[6476,] 0.729002714 0.228654876 0.042342447
[6477,] 0.312269598 0.359205931 0.328524500
[6478,] 0.809816957 0.176079229 0.014103833
[6479,] 0.851044714 0.139388219 0.009567056
[6480,] 0.893988431 0.096953757 0.009057832
[6481,] 0.922750950 0.068077020 0.009172069
[6482,] 0.551696301 0.319326133 0.128977597
[6483,] 0.789955795 0.190852031 0.019192109
[6484,] 0.662670374 0.255629450 0.081700183
[6485,] 0.441326797 0.312530696 0.246142492
[6486,] 0.530677855 0.400796056 0.068526097
[6487,] 0.895883322 0.097950295 0.006166383
[6488,] 0.705763996 0.267507493 0.026728489
[6489,] 0.862749398 0.129264563 0.007986088
[6490,] 0.452971011 0.378472567 0.168556437
[6491,] 0.847578645 0.139991462 0.012429855
[6492,] 0.751752317 0.211070046 0.037177652
[6493,] 0.738735974 0.227875262 0.033388749
[6494,] 0.891379714 0.101709478 0.006910745
[6495,] 0.744207561 0.234320670 0.021471761
[6496,] 0.663854539 0.280167252 0.055978205
[6497,] 0.478286028 0.334149927 0.187564015
[6498,] 0.730086386 0.246055722 0.023857879
[6499,] 0.771363616 0.204477057 0.024159288
[6500,] 0.589053035 0.271281123 0.139665872
[6501,] 0.547343135 0.290027589 0.162629247
[6502,] 0.204764903 0.317189336 0.478045732
[6503,] 0.647187948 0.248893037 0.103919022
[6504,] 0.839935839 0.149042204 0.011021963
[6505,] 0.827671528 0.154923022 0.017405456
[6506,] 0.841445744 0.145204678 0.013349597
[6507,] 0.783303440 0.188103557 0.028592976
[6508,] 0.917550504 0.065730229 0.016719263
[6509,] 0.738834321 0.232193053 0.028972629
[6510,] 0.451382458 0.356196493 0.192421094
[6511,] 0.467412114 0.290784985 0.241802916
[6512,] 0.248212904 0.262709469 0.489077657
[6513,] 0.813616097 0.173356697 0.013027265
[6514,] 0.833538890 0.151926711 0.014534417
[6515,] 0.385250449 0.392624497 0.222125024
[6516,] 0.876602411 0.112260453 0.011137104
[6517,] 0.538714409 0.346481264 0.114804290
[6518,] 0.863108456 0.128125206 0.008766351
[6519,] 0.781429768 0.196386740 0.022183435
[6520,] 0.174180463 0.234693691 0.591125846
[6521,] 0.653659344 0.215177551 0.131163120
[6522,] 0.299231291 0.401359439 0.299409240
[6523,] 0.762547195 0.131651029 0.105801709
[6524,] 0.915630758 0.071029253 0.013340033
[6525,] 0.748491108 0.210756525 0.040752333
[6526,] 0.816516101 0.158156395 0.025327498
[6527,] 0.144106939 0.794169188 0.061723899
[6528,] 0.749147356 0.218608215 0.032244477
[6529,] 0.831119895 0.161124706 0.007755383
[6530,] 0.923173904 0.071995124 0.004830923
[6531,] 0.080002025 0.697674811 0.222323209
[6532,] 0.560645223 0.316331357 0.123023413
[6533,] 0.176358774 0.273351908 0.550289333
[6534,] 0.844670415 0.137030452 0.018299108
[6535,] 0.638860941 0.302166522 0.058972515
[6536,] 0.134641901 0.150873482 0.714484632
[6537,] 0.677322388 0.205092072 0.117585562
[6538,] 0.649404705 0.295390844 0.055204492
[6539,] 0.829912603 0.145108387 0.024979023
[6540,] 0.372765362 0.374157488 0.253077120
[6541,] 0.734862030 0.247618392 0.017519590
[6542,] 0.311717123 0.408991545 0.279291302
[6543,] 0.648072302 0.276929915 0.074997745
[6544,] 0.438563794 0.268609822 0.292826325
[6545,] 0.839579403 0.127517179 0.032903463
[6546,] 0.770712495 0.201627403 0.027660165
[6547,] 0.841404557 0.147012874 0.011582609
[6548,] 0.691997230 0.224311605 0.083691172
[6549,] 0.718251705 0.256688207 0.025060123
[6550,] 0.478761822 0.356573135 0.164664999
[6551,] 0.519818127 0.236868575 0.243313283
[6552,] 0.783355355 0.193052202 0.023592448
[6553,] 0.783667266 0.196541265 0.019791482
[6554,] 0.617322624 0.275037467 0.107639924
[6555,] 0.448052049 0.448091894 0.103856049
[6556,] 0.416366428 0.343581885 0.240051702
[6557,] 0.887665451 0.106828123 0.005506391
[6558,] 0.852043092 0.118867852 0.029089017
[6559,] 0.846068203 0.135258317 0.018673524
[6560,] 0.741108358 0.237561271 0.021330377
[6561,] 0.781487048 0.199003100 0.019509871
[6562,] 0.674770832 0.268829882 0.056399267
[6563,] 0.260064363 0.328020155 0.411915511
[6564,] 0.485580266 0.438587308 0.075832427
[6565,] 0.337374479 0.423505455 0.239120111
[6566,] 0.806295097 0.149473175 0.044231758
[6567,] 0.792613387 0.186289996 0.021096623
[6568,] 0.134110600 0.305862129 0.560027301
[6569,] 0.510555446 0.278800100 0.210644439
[6570,] 0.866927683 0.114218578 0.018853785
[6571,] 0.377399772 0.455561727 0.167038500
[6572,] 0.830091000 0.152962044 0.016946940
[6573,] 0.815040052 0.173405915 0.011554055
[6574,] 0.774273276 0.210251227 0.015475492
[6575,] 0.705013633 0.235367402 0.059618987
[6576,] 0.472198695 0.280677825 0.247123495
[6577,] 0.830760539 0.156272858 0.012966542
[6578,] 0.720264852 0.236060813 0.043674305
[6579,] 0.111535512 0.305355847 0.583108664
[6580,] 0.787664711 0.188772872 0.023562437
[6581,] 0.459661186 0.440030873 0.100307956
[6582,] 0.581896424 0.291183382 0.126920238
[6583,] 0.843848050 0.143998012 0.012153995
[6584,] 0.666561544 0.248873293 0.084565170
[6585,] 0.691618681 0.276222408 0.032158863
[6586,] 0.636877894 0.336958468 0.026163595
[6587,] 0.131015643 0.181390703 0.687593639
[6588,] 0.333296359 0.526092112 0.140611500
[6589,] 0.412813067 0.455985367 0.131201506
[6590,] 0.397289157 0.530833244 0.071877584
[6591,] 0.867552400 0.123708434 0.008739116
[6592,] 0.055351309 0.116925463 0.827723205
[6593,] 0.722886384 0.253479689 0.023633862
[6594,] 0.539523900 0.317522377 0.142953679
[6595,] 0.424191654 0.425774962 0.150033414
[6596,] 0.417790025 0.410548151 0.171661824
[6597,] 0.473865926 0.291191131 0.234942913
[6598,] 0.736795366 0.246189833 0.017014792
[6599,] 0.849326372 0.133644447 0.017029161
[6600,] 0.858277678 0.131728724 0.009993551
[6601,] 0.713238418 0.253779560 0.032981995
[6602,] 0.761285782 0.208549574 0.030164661
[6603,] 0.337545007 0.251950622 0.410504401
[6604,] 0.592466712 0.302383095 0.105150193
[6605,] 0.601737022 0.285004556 0.113258369
[6606,] 0.778173923 0.197294340 0.024531718
[6607,] 0.858812630 0.125178307 0.016009042
[6608,] 0.831350207 0.158412948 0.010236857
[6609,] 0.542978406 0.423952073 0.033069517
[6610,] 0.854020000 0.135982737 0.009997291
[6611,] 0.247449964 0.402128100 0.350421935
[6612,] 0.251695246 0.378337383 0.369967341
[6613,] 0.424241006 0.296053618 0.279705405
[6614,] 0.329866767 0.373844892 0.296288371
[6615,] 0.734989166 0.227994725 0.037016131
[6616,] 0.792484522 0.180203706 0.027311774
[6617,] 0.638257623 0.232912302 0.128830090
[6618,] 0.759481668 0.221255839 0.019262465
[6619,] 0.309451878 0.334139705 0.356408447
[6620,] 0.734892309 0.222787187 0.042320509
[6621,] 0.144927189 0.341115028 0.513957798
[6622,] 0.827429473 0.160540342 0.012030201
[6623,] 0.677895188 0.232527912 0.089576915
[6624,] 0.466491878 0.331334323 0.202173769
[6625,] 0.770664394 0.206738546 0.022597071
[6626,] 0.808817804 0.181633025 0.009549093
[6627,] 0.654449880 0.272722542 0.072827570
[6628,] 0.706715167 0.276546180 0.016738662
[6629,] 0.411385596 0.396851003 0.191763446
[6630,] 0.617374063 0.346458167 0.036167778
[6631,] 0.563938677 0.281811297 0.154250041
[6632,] 0.220374152 0.619102895 0.160522968
[6633,] 0.840016305 0.147770166 0.012213472
[6634,] 0.647702575 0.334556669 0.017740767
[6635,] 0.820330381 0.148476288 0.031193322
[6636,] 0.309886754 0.529509783 0.160603464
[6637,] 0.343111128 0.355128288 0.301760584
[6638,] 0.579209208 0.341709793 0.079080991
[6639,] 0.143246487 0.190286070 0.666467488
[6640,] 0.510729492 0.333715916 0.155554608
[6641,] 0.423679322 0.337784261 0.238536462
[6642,] 0.687851250 0.263111234 0.049037494
[6643,] 0.617803693 0.278483033 0.103713229
[6644,] 0.781146228 0.203018531 0.015835304
[6645,] 0.395704806 0.432744265 0.171550959
[6646,] 0.778048396 0.173268616 0.048682984
[6647,] 0.439952791 0.422065347 0.137981817
[6648,] 0.408415169 0.409686029 0.181898862
[6649,] 0.805198073 0.175781891 0.019020034
[6650,] 0.581861258 0.349363804 0.068774968
[6651,] 0.555771470 0.386146128 0.058082402
[6652,] 0.581408441 0.388125122 0.030466432
[6653,] 0.853245854 0.135192961 0.011561167
[6654,] 0.744221091 0.195401564 0.060377304
[6655,] 0.725664437 0.176059291 0.098276272
[6656,] 0.640247285 0.332127601 0.027625086
[6657,] 0.716961026 0.258095682 0.024943350
[6658,] 0.359604627 0.406535655 0.233859777
[6659,] 0.715623379 0.236146152 0.048230488
[6660,] 0.557114780 0.390892357 0.051992856
[6661,] 0.919955850 0.072941773 0.007102440
[6662,] 0.701616466 0.209974840 0.088408716
[6663,] 0.820433855 0.165897548 0.013668649
[6664,] 0.796892941 0.179713443 0.023393666
[6665,] 0.237903714 0.211443618 0.550652683
[6666,] 0.426133513 0.339006543 0.234859899
[6667,] 0.857387066 0.134650320 0.007962665
[6668,] 0.626569986 0.282028258 0.091401741
[6669,] 0.778717279 0.182985708 0.038297012
[6670,] 0.660514235 0.285985768 0.053499993
[6671,] 0.107665792 0.190334663 0.701999545
[6672,] 0.630487323 0.312349796 0.057162870
[6673,] 0.726862133 0.247668222 0.025469711
[6674,] 0.052672744 0.095949292 0.851377904
[6675,] 0.661693692 0.255799234 0.082507052
[6676,] 0.311384141 0.426008731 0.262607098
[6677,] 0.700690985 0.259043783 0.040265221
[6678,] 0.262936950 0.404114842 0.332948238
[6679,] 0.579346895 0.257780641 0.162872434
[6680,] 0.864839613 0.119187392 0.015972972
[6681,] 0.233793154 0.470370501 0.295836329
[6682,] 0.717465222 0.260910779 0.021623990
[6683,] 0.791239560 0.195338905 0.013421548
[6684,] 0.774901032 0.209370434 0.015728591
[6685,] 0.251398653 0.435085565 0.313515812
[6686,] 0.900847852 0.087145045 0.012007118
[6687,] 0.841687500 0.145246267 0.013066195
[6688,] 0.852124870 0.136823893 0.011051192
[6689,] 0.698431551 0.270998567 0.030569848
[6690,] 0.268839091 0.317732036 0.413428903
[6691,] 0.642672181 0.277290791 0.080037013
[6692,] 0.416478515 0.305734634 0.277786821
[6693,] 0.601924241 0.334909141 0.063166633
[6694,] 0.835278153 0.152079195 0.012642724
[6695,] 0.284921050 0.560126007 0.154952988
[6696,] 0.827967942 0.156246483 0.015785508
[6697,] 0.787815034 0.201334164 0.010850819
[6698,] 0.673271358 0.262989104 0.063739575
[6699,] 0.689681113 0.235656336 0.074662551
[6700,] 0.312334478 0.399289131 0.288376331
[6701,] 0.672790527 0.300014853 0.027194634
[6702,] 0.061822157 0.084665485 0.853512347
[6703,] 0.404745609 0.423812419 0.171441972
[6704,] 0.125590622 0.363575906 0.510833502
[6705,] 0.272666425 0.353076130 0.374257445
[6706,] 0.502233863 0.330706269 0.167059913
[6707,] 0.853292167 0.137586474 0.009121294
[6708,] 0.600471139 0.277996898 0.121531963
[6709,] 0.867613435 0.121335872 0.011050756
[6710,] 0.354762614 0.192258447 0.452978939
[6711,] 0.473252147 0.275045931 0.251701951
[6712,] 0.530785680 0.313286245 0.155928046
[6713,] 0.759054840 0.223202884 0.017742310
[6714,] 0.689002037 0.279119760 0.031878207
[6715,] 0.737086415 0.240610868 0.022302702
[6716,] 0.833240092 0.154281095 0.012478842
[6717,] 0.219844311 0.390778303 0.389377385
[6718,] 0.829520226 0.160070106 0.010409625
[6719,] 0.126050234 0.317964405 0.555985391
[6720,] 0.846287847 0.140759528 0.012952617
[6721,] 0.582404494 0.265731037 0.151864439
[6722,] 0.601053119 0.314063638 0.084883228
[6723,] 0.394361466 0.410914660 0.194723889
[6724,] 0.802610755 0.179717883 0.017671440
[6725,] 0.806500971 0.171705335 0.021793654
[6726,] 0.819612384 0.170107797 0.010279810
[6727,] 0.837599635 0.147415474 0.014984923
[6728,] 0.704641938 0.262103528 0.033254515
[6729,] 0.447616637 0.355032384 0.197350964
[6730,] 0.909297347 0.076147906 0.014554703
[6731,] 0.454277486 0.281125098 0.264597386
[6732,] 0.519970477 0.194774419 0.285255104
[6733,] 0.783282280 0.182033777 0.034683902
[6734,] 0.667658389 0.243829802 0.088511854
[6735,] 0.715251803 0.253259033 0.031489156
[6736,] 0.493932277 0.367798209 0.138269469
[6737,] 0.158729449 0.196254417 0.645016134
[6738,] 0.626926780 0.332528621 0.040544618
[6739,] 0.695244730 0.274808288 0.029947007
[6740,] 0.763262749 0.161704659 0.075032629
[6741,] 0.650927067 0.327060044 0.022012832
[6742,] 0.734549105 0.232429564 0.033021327
[6743,] 0.818804920 0.154124826 0.027070217
[6744,] 0.806915522 0.181726620 0.011357897
[6745,] 0.184642687 0.406076282 0.409281045
[6746,] 0.770225763 0.216858745 0.012915465
[6747,] 0.795983255 0.181294739 0.022722036
[6748,] 0.895600617 0.095572986 0.008826376
[6749,] 0.671238959 0.304230750 0.024530308
[6750,] 0.490503699 0.442658693 0.066837542
[6751,] 0.802854598 0.169933870 0.027211541
[6752,] 0.857855678 0.125119105 0.017025210
[6753,] 0.602019250 0.331974119 0.066006608
[6754,] 0.676497042 0.173984438 0.149518535
[6755,] 0.643547773 0.338774145 0.017678065
[6756,] 0.865976989 0.124495827 0.009527208
[6757,] 0.820617735 0.165411249 0.013971070
[6758,] 0.692112207 0.289887607 0.018000223
[6759,] 0.704489112 0.242031649 0.053479239
[6760,] 0.687777281 0.286161780 0.026060930
[6761,] 0.518856108 0.361630231 0.119513623
[6762,] 0.750066459 0.235305071 0.014628498
[6763,] 0.709985614 0.223855838 0.066158548
[6764,] 0.826928079 0.160308257 0.012763657
[6765,] 0.788856030 0.196434781 0.014709255
[6766,] 0.373470992 0.334122419 0.292406529
[6767,] 0.897430122 0.085020028 0.017549790
[6768,] 0.686681926 0.259669095 0.053649019
[6769,] 0.808474243 0.173821211 0.017704589
[6770,] 0.938069403 0.058600649 0.003329970
[6771,] 0.388400286 0.308250725 0.303348988
[6772,] 0.815776706 0.173817590 0.010405771
[6773,] 0.460531354 0.419977993 0.119490683
[6774,] 0.025635192 0.827739298 0.146625534
[6775,] 0.788414717 0.197271779 0.014313555
[6776,] 0.426297188 0.345662534 0.228040218
[6777,] 0.429956853 0.379445642 0.190597519
[6778,] 0.200107485 0.184586123 0.615306377
[6779,] 0.711965024 0.262591898 0.025443129
[6780,] 0.308597952 0.188064635 0.503337443
[6781,] 0.341582119 0.285391718 0.373026162
[6782,] 0.514540136 0.360888273 0.124571562
[6783,] 0.744296074 0.230525017 0.025178969
[6784,] 0.691001475 0.213318288 0.095680244
[6785,] 0.753510714 0.223561674 0.022927621
[6786,] 0.407382637 0.371796012 0.220821366
[6787,] 0.849168777 0.136351183 0.014480093
[6788,] 0.704529107 0.259403884 0.036067069
[6789,] 0.212422669 0.331186771 0.456390560
[6790,] 0.746405303 0.217344984 0.036249742
[6791,] 0.848696947 0.131726280 0.019576749
[6792,] 0.831061125 0.157025769 0.011913088
[6793,] 0.724815249 0.259667516 0.015517190
[6794,] 0.876851916 0.113472201 0.009675931
[6795,] 0.574395597 0.296176314 0.129428089
[6796,] 0.676591933 0.242735505 0.080672577
[6797,] 0.141220734 0.268033266 0.590745986
[6798,] 0.200080916 0.339166552 0.460752517
[6799,] 0.283794641 0.333566338 0.382639050
[6800,] 0.619432986 0.277260870 0.103306167
[6801,] 0.880251527 0.109027810 0.010720596
[6802,] 0.723771751 0.238297418 0.037930846
[6803,] 0.780693293 0.206949860 0.012356845
[6804,] 0.509828210 0.325902104 0.164269745
[6805,] 0.898064315 0.095408052 0.006527599
[6806,] 0.665099680 0.220381260 0.114519097
[6807,] 0.224448532 0.217377648 0.558173835
[6808,] 0.909797609 0.081338033 0.008864333
[6809,] 0.744072378 0.243580252 0.012347376
[6810,] 0.819773853 0.165177569 0.015048585
[6811,] 0.739184022 0.221358985 0.039456978
[6812,] 0.670632482 0.290220469 0.039146997
[6813,] 0.548072398 0.331603795 0.120323755
[6814,] 0.530437768 0.334084183 0.135478020
[6815,] 0.489433378 0.314820319 0.195746347
[6816,] 0.737366259 0.199331433 0.063302316
[6817,] 0.778920650 0.203209624 0.017869687
[6818,] 0.597166240 0.220258996 0.182574734
[6819,] 0.554433167 0.317353696 0.128213137
[6820,] 0.526583433 0.305022866 0.168393731
[6821,] 0.343214631 0.328068316 0.328717053
[6822,] 0.437667578 0.363525629 0.198806748
[6823,] 0.537178278 0.406148702 0.056672983
[6824,] 0.777266264 0.191424161 0.031309597
[6825,] 0.713020623 0.213924259 0.073055059
[6826,] 0.594818354 0.288127363 0.117054276
[6827,] 0.857149899 0.121991202 0.020858882
[6828,] 0.579633474 0.348883212 0.071483344
[6829,] 0.519370615 0.363785416 0.116843961
[6830,] 0.842581749 0.142942488 0.014475743
[6831,] 0.817466080 0.157822281 0.024711654
[6832,] 0.760098636 0.213226467 0.026674949
[6833,] 0.169180706 0.265376925 0.565442324
[6834,] 0.810123384 0.148406997 0.041469630
[6835,] 0.695736408 0.266218543 0.038045049
[6836,] 0.907958806 0.087200209 0.004841001
[6837,] 0.863767445 0.127108216 0.009124341
[6838,] 0.597186565 0.192587167 0.210226253
[6839,] 0.917360425 0.074856497 0.007783109
[6840,] 0.341338605 0.396124125 0.262537241
[6841,] 0.578137636 0.287878275 0.133984104
[6842,] 0.814870298 0.173553526 0.011576203
[6843,] 0.710679710 0.251351774 0.037968505
[6844,] 0.651794195 0.307068139 0.041137673
[6845,] 0.545699716 0.293371022 0.160929248
[6846,] 0.396946400 0.560205519 0.042848088
[6847,] 0.038960632 0.735310614 0.225728780
[6848,] 0.299778789 0.303976268 0.396244973
[6849,] 0.809828937 0.172076941 0.018094100
[6850,] 0.089439966 0.168874681 0.741685331
[6851,] 0.864883602 0.125419691 0.009696730
[6852,] 0.389307290 0.316078663 0.294614047
[6853,] 0.507195652 0.275567204 0.217237130
[6854,] 0.653551280 0.262869388 0.083579339
[6855,] 0.543057859 0.387091190 0.069850959
[6856,] 0.477229953 0.365698606 0.157071456
[6857,] 0.606981814 0.300735772 0.092282422
[6858,] 0.667992592 0.246203676 0.085803770
[6859,] 0.736115336 0.225323707 0.038560942
[6860,] 0.638218760 0.302846611 0.058934659
[6861,] 0.813349366 0.165866211 0.020784384
[6862,] 0.719666541 0.251255065 0.029078361
[6863,] 0.270932257 0.531087399 0.197980344
[6864,] 0.481073976 0.318352133 0.200573951
[6865,] 0.036226552 0.654490292 0.309283167
[6866,] 0.655958533 0.252249718 0.091791764
[6867,] 0.145329267 0.294089109 0.560581565
[6868,] 0.781879663 0.207031593 0.011088693
[6869,] 0.420248717 0.314540654 0.265210629
[6870,] 0.715982616 0.239961475 0.044055883
[6871,] 0.791587532 0.187666252 0.020746209
[6872,] 0.560112715 0.329036415 0.110850886
[6873,] 0.564364195 0.244565338 0.191070467
[6874,] 0.381468505 0.442728043 0.175803483
[6875,] 0.722952127 0.252760172 0.024287671
[6876,] 0.703346789 0.238208085 0.058445137
[6877,] 0.164460421 0.740521193 0.095018357
[6878,] 0.387674451 0.381014258 0.231311247
[6879,] 0.636352718 0.252316177 0.111331165
[6880,] 0.753781080 0.221820652 0.024398237
[6881,] 0.908216000 0.085395820 0.006388220
[6882,] 0.657043576 0.259128243 0.083828196
[6883,] 0.705298722 0.242946520 0.051754717
[6884,] 0.845164180 0.140883341 0.013952473
[6885,] 0.348246962 0.522810817 0.128942266
[6886,] 0.853726983 0.132627115 0.013645836
[6887,] 0.787346363 0.169620037 0.043033592
[6888,] 0.736937463 0.209406301 0.053656194
[6889,] 0.662576437 0.283861309 0.053562209
[6890,] 0.723033011 0.252492547 0.024474416
[6891,] 0.770821810 0.197496921 0.031681214
[6892,] 0.708751917 0.230414823 0.060833212
[6893,] 0.601451516 0.182937905 0.215610534
[6894,] 0.702198565 0.228584751 0.069216728
[6895,] 0.487743407 0.327525944 0.184730649
[6896,] 0.889890432 0.100473017 0.009636591
[6897,] 0.205219537 0.289613336 0.505167127
[6898,] 0.666715801 0.274800509 0.058483731
[6899,] 0.627629876 0.248463154 0.123906977
[6900,] 0.692498207 0.270750642 0.036751147
[6901,] 0.723243594 0.214914963 0.061841417
[6902,] 0.474443972 0.433055580 0.092500478
[6903,] 0.412713856 0.254206330 0.333079815
[6904,] 0.711239636 0.237971291 0.050789036
[6905,] 0.546290576 0.337783784 0.115925662
[6906,] 0.705699384 0.275792658 0.018507915
[6907,] 0.220918193 0.289331794 0.489750028
[6908,] 0.755783081 0.227069914 0.017146990
[6909,] 0.789901495 0.173329145 0.036769316
[6910,] 0.421346009 0.348888725 0.229765236
[6911,] 0.853325844 0.135304376 0.011369748
[6912,] 0.842765689 0.148026511 0.009207810
[6913,] 0.862456322 0.128203332 0.009340337
[6914,] 0.820287943 0.167033181 0.012678928
[6915,] 0.340444952 0.379711449 0.279843628
[6916,] 0.748025239 0.235457003 0.016517710
[6917,] 0.169374213 0.771866441 0.058759347
[6918,] 0.728749335 0.231040463 0.040210199
[6919,] 0.064388596 0.791171610 0.144439802
[6920,] 0.300697863 0.297617376 0.401684821
[6921,] 0.892479539 0.097985283 0.009535214
[6922,] 0.883283794 0.110063307 0.006652951
[6923,] 0.836254179 0.143182963 0.020562857
[6924,] 0.669624269 0.257713377 0.072662354
[6925,] 0.673767507 0.257792234 0.068440303
[6926,] 0.813554764 0.149711266 0.036734004
[6927,] 0.705043972 0.232819021 0.062137008
[6928,] 0.756148696 0.187677056 0.056174207
[6929,] 0.691351056 0.287400067 0.021248898
[6930,] 0.729733586 0.245315686 0.024950746
[6931,] 0.788486660 0.185762301 0.025751043
[6932,] 0.747381687 0.170976087 0.081642248
[6933,] 0.630275786 0.342721313 0.027002931
[6934,] 0.570241272 0.388246983 0.041511718
[6935,] 0.791478157 0.194249868 0.014271975
[6936,] 0.878585815 0.108968236 0.012445967
[6937,] 0.760781586 0.203351334 0.035867117
[6938,] 0.602509081 0.307444364 0.090046577
[6939,] 0.745576680 0.215827405 0.038595922
[6940,] 0.879309118 0.110714018 0.009976842
[6941,] 0.817588508 0.161900058 0.020511435
[6942,] 0.873720050 0.117496163 0.008783743
[6943,] 0.826993704 0.153407827 0.019598456
[6944,] 0.651385009 0.311542928 0.037072014
[6945,] 0.743692279 0.218678311 0.037629448
[6946,] 0.791015804 0.195135996 0.013848155
[6947,] 0.160532385 0.293487728 0.545979857
[6948,] 0.668465436 0.298272818 0.033261739
[6949,] 0.523356974 0.397701710 0.078941368
[6950,] 0.352625102 0.256356239 0.391018629
[6951,] 0.514141023 0.391274840 0.094584130
[6952,] 0.831383228 0.154158384 0.014458369
[6953,] 0.816920221 0.169400156 0.013679651
[6954,] 0.485876650 0.346272677 0.167850614
[6955,] 0.688117087 0.257736892 0.054146018
[6956,] 0.669603050 0.288835019 0.041561969
[6957,] 0.606628418 0.347133845 0.046237718
[6958,] 0.359640718 0.394731939 0.245627388
[6959,] 0.753104508 0.196464613 0.050430935
[6960,] 0.243931904 0.424823970 0.331244141
[6961,] 0.223030284 0.254933804 0.522035897
[6962,] 0.800210238 0.179708466 0.020081298
[6963,] 0.591530442 0.323578119 0.084891438
[6964,] 0.736633420 0.214632869 0.048733696
[6965,] 0.094651394 0.180346474 0.725002110
[6966,] 0.452064693 0.465302944 0.082632385
[6967,] 0.389461905 0.323448092 0.287090033
[6968,] 0.663005412 0.244812682 0.092181891
[6969,] 0.697336733 0.225292146 0.077371128
[6970,] 0.426674753 0.550338507 0.022986736
[6971,] 0.315999687 0.272031605 0.411968708
[6972,] 0.819963455 0.162335619 0.017700976
[6973,] 0.646689594 0.310292989 0.043017417
[6974,] 0.430229455 0.363065243 0.206705302
[6975,] 0.887392759 0.101758637 0.010848616
[6976,] 0.939681590 0.055614207 0.004704218
[6977,] 0.654573202 0.234199271 0.111227542
[6978,] 0.867363870 0.121626131 0.011009991
[6979,] 0.693866313 0.275105119 0.031028507
[6980,] 0.286840767 0.198388621 0.514770627
[6981,] 0.596113801 0.295677423 0.108208776
[6982,] 0.531514108 0.420297235 0.048188675
[6983,] 0.614694357 0.273401022 0.111904621
[6984,] 0.798196971 0.142941818 0.058861218
[6985,] 0.901292205 0.092016466 0.006691265
[6986,] 0.659881711 0.247137472 0.092980817
[6987,] 0.735349536 0.234039456 0.030611029
[6988,] 0.656023026 0.269053847 0.074923091
[6989,] 0.774425209 0.199826971 0.025747800
[6990,] 0.674130619 0.262531757 0.063337572
[6991,] 0.405629069 0.353282928 0.241088033
[6992,] 0.849914432 0.140965968 0.009119538
[6993,] 0.785976231 0.195556760 0.018467030
[6994,] 0.545038521 0.298919827 0.156041622
[6995,] 0.518056810 0.292856216 0.189086974
[6996,] 0.445669651 0.305599779 0.248730585
[6997,] 0.231828138 0.622777641 0.145394191
[6998,] 0.765596211 0.199833781 0.034570009
[6999,] 0.788060367 0.193868712 0.018070940
[7000,] 0.905809522 0.089045495 0.005144917
[7001,] 0.634243071 0.252624959 0.113131948
[7002,] 0.742134392 0.201682553 0.056183062
[7003,] 0.747883022 0.227644190 0.024472812
[7004,] 0.879885912 0.111427866 0.008686163
[7005,] 0.384623021 0.437597305 0.177779660
[7006,] 0.375048280 0.368023783 0.256927967
[7007,] 0.760414541 0.222919464 0.016666029
[7008,] 0.596412122 0.284524083 0.119063757
[7009,] 0.837718248 0.137953326 0.024328452
[7010,] 0.807490885 0.163786963 0.028722122
[7011,] 0.778295457 0.199061543 0.022642929
[7012,] 0.288010538 0.457136989 0.254852444
[7013,] 0.745053947 0.229212031 0.025734026
[7014,] 0.298512548 0.317268670 0.384218812
[7015,] 0.774747133 0.207447410 0.017805483
[7016,] 0.716921985 0.222400188 0.060677852
[7017,] 0.884351969 0.107128195 0.008519857
[7018,] 0.342438579 0.503034413 0.154527009
[7019,] 0.799239933 0.183513552 0.017246492
[7020,] 0.732651234 0.219433218 0.047915529
[7021,] 0.831827521 0.156363055 0.011809452
[7022,] 0.688392222 0.289607942 0.021999817
[7023,] 0.442606986 0.383843333 0.173549667
[7024,] 0.294197470 0.243144974 0.462657601
[7025,] 0.814562619 0.168422267 0.017015057
[7026,] 0.844646871 0.146293953 0.009059197
[7027,] 0.847709775 0.142281592 0.010008615
[7028,] 0.757991791 0.219148904 0.022859266
[7029,] 0.676090300 0.272058278 0.051851474
[7030,] 0.834993601 0.153976768 0.011029644
[7031,] 0.465634257 0.304842234 0.229523465
[7032,] 0.520623326 0.379584163 0.099792510
[7033,] 0.780775487 0.197794914 0.021429615
[7034,] 0.853265464 0.133130565 0.013604034
[7035,] 0.208874092 0.376188815 0.414937139
[7036,] 0.606956363 0.370548427 0.022495186
[7037,] 0.563388526 0.309244186 0.127367318
[7038,] 0.323994875 0.475119650 0.200885430
[7039,] 0.749998510 0.214313999 0.035687543
[7040,] 0.569905579 0.293599755 0.136494666
[7041,] 0.859416306 0.131768227 0.008815453
[7042,] 0.796242356 0.189837500 0.013920205
[7043,] 0.700345337 0.236570135 0.063084535
[7044,] 0.645413160 0.249105230 0.105481565
[7045,] 0.121307477 0.085274167 0.793418348
[7046,] 0.764947534 0.216397226 0.018655265
[7047,] 0.804318011 0.180328965 0.015353068
[7048,] 0.747005165 0.231007934 0.021986902
[7049,] 0.484126449 0.390554160 0.125319421
[7050,] 0.517213225 0.313748479 0.169038296
[7051,] 0.843142211 0.131614491 0.025243303
[7052,] 0.925012589 0.070029490 0.004957893
[7053,] 0.791194141 0.197156534 0.011649314
[7054,] 0.669049740 0.252750486 0.078199774
[7055,] 0.784697890 0.199484318 0.015817808
[7056,] 0.651785314 0.207342416 0.140872285
[7057,] 0.608093023 0.257014483 0.134892449
[7058,] 0.768253326 0.194369480 0.037377171
[7059,] 0.818422675 0.154981345 0.026596049
[7060,] 0.903614521 0.092128068 0.004257428
[7061,] 0.908226192 0.082441643 0.009332135
[7062,] 0.541672826 0.299429387 0.158897802
[7063,] 0.856731296 0.132173643 0.011095066
[7064,] 0.878020048 0.114476584 0.007503367
[7065,] 0.800934255 0.176879629 0.022186140
[7066,] 0.287941486 0.246508092 0.465550393
[7067,] 0.127698705 0.238623247 0.633678079
[7068,] 0.083697908 0.179609418 0.736692667
[7069,] 0.558826685 0.288058221 0.153115049
[7070,] 0.426324189 0.385290980 0.188384801
[7071,] 0.181166753 0.211667165 0.607166111
[7072,] 0.269719571 0.468002707 0.262277722
[7073,] 0.381023318 0.266696870 0.352279782
[7074,] 0.677287698 0.285064846 0.037647408
[7075,] 0.558331132 0.315116316 0.126552567
[7076,] 0.594346762 0.301038712 0.104614526
[7077,] 0.716581345 0.208806410 0.074612275
[7078,] 0.505932868 0.437105238 0.056961879
[7079,] 0.840781629 0.151573226 0.007645113
[7080,] 0.516149044 0.410794646 0.073056273
[7081,] 0.838975549 0.148847058 0.012177396
[7082,] 0.464468509 0.375456005 0.160075486
[7083,] 0.735686064 0.237556115 0.026757818
[7084,] 0.784790158 0.197767541 0.017442267
[7085,] 0.720541835 0.212424785 0.067033328
[7086,] 0.815856040 0.170117110 0.014026886
[7087,] 0.555798411 0.344035506 0.100166105
[7088,] 0.866134882 0.121144392 0.012720713
[7089,] 0.433832735 0.419167370 0.146999851
[7090,] 0.726556420 0.230884850 0.042558797
[7091,] 0.302028984 0.174998522 0.522972524
[7092,] 0.612566411 0.326299667 0.061133932
[7093,] 0.529473782 0.249703944 0.220822230
[7094,] 0.384763092 0.383081257 0.232155606
[7095,] 0.623210907 0.287920713 0.088868357
[7096,] 0.847436070 0.141291365 0.011272573
[7097,] 0.615514457 0.213305935 0.171179622
[7098,] 0.295497656 0.502223313 0.202279061
[7099,] 0.575146258 0.345367670 0.079486080
[7100,] 0.224398777 0.255315423 0.520285785
[7101,] 0.833427608 0.154869303 0.011703138
[7102,] 0.413908482 0.310363799 0.275727689
[7103,] 0.586954296 0.392422020 0.020623710
[7104,] 0.111624241 0.198981628 0.689394176
[7105,] 0.748494446 0.229079515 0.022426017
[7106,] 0.564879358 0.291657090 0.143463537
[7107,] 0.458775699 0.358199686 0.183024600
[7108,] 0.502750576 0.467929423 0.029319953
[7109,] 0.643245876 0.325548738 0.031205377
[7110,] 0.809623182 0.178134069 0.012242725
[7111,] 0.110025510 0.378033042 0.511941433
[7112,] 0.853278041 0.126523063 0.020198852
[7113,] 0.192084461 0.649649620 0.158265918
[7114,] 0.284254342 0.368141443 0.347604215
[7115,] 0.034124106 0.564233303 0.401642561
[7116,] 0.801312089 0.179246455 0.019441443
[7117,] 0.805845499 0.149832234 0.044322334
[7118,] 0.626830816 0.239656299 0.133512869
[7119,] 0.041743055 0.482231796 0.476025194
[7120,] 0.284601212 0.586992919 0.128405929
[7121,] 0.347368896 0.394241720 0.258389413
[7122,] 0.044121936 0.454873741 0.501004338
[7123,] 0.829675198 0.159369677 0.010955139
[7124,] 0.253427416 0.511922002 0.234650537
[7125,] 0.165333658 0.579202354 0.255463988
[7126,] 0.562062562 0.369210035 0.068727434
[7127,] 0.772989511 0.183832839 0.043177698
[7128,] 0.871961713 0.116416574 0.011621759
[7129,] 0.051707700 0.476294160 0.471998125
[7130,] 0.023407862 0.297545195 0.679046988
[7131,] 0.549499691 0.361193597 0.089306697
[7132,] 0.109471112 0.263186425 0.627342463
[7133,] 0.129200026 0.270957053 0.599842906
[7134,] 0.775524676 0.194990590 0.029484706
[7135,] 0.048695497 0.349266380 0.602038145
[7136,] 0.106268950 0.415147036 0.478584051
[7137,] 0.150217518 0.456836879 0.392945588
[7138,] 0.191821650 0.603690267 0.204488143
[7139,] 0.059540845 0.372500837 0.567958295
[7140,] 0.637034774 0.221998811 0.140966401
[7141,] 0.035000306 0.364107311 0.600892365
[7142,] 0.048459336 0.379930586 0.571610034
[7143,] 0.236749396 0.595074594 0.168175995
[7144,] 0.051745083 0.562949955 0.385304987
[7145,] 0.040818259 0.363825858 0.595355868
[7146,] 0.084494501 0.337108374 0.578397095
[7147,] 0.191915080 0.450273216 0.357811719
[7148,] 0.032097865 0.421631098 0.546271026
[7149,] 0.014974801 0.191627324 0.793397844
[7150,] 0.033351053 0.458341897 0.508307099
[7151,] 0.013750402 0.140451849 0.845797718
[7152,] 0.030402340 0.361290395 0.608307242
[7153,] 0.058272533 0.425419241 0.516308248
[7154,] 0.077616662 0.436203629 0.486179650
[7155,] 0.242836177 0.449657589 0.307506233
[7156,] 0.054780111 0.371457905 0.573762000
[7157,] 0.355385095 0.445767254 0.198847637
[7158,] 0.087876931 0.524514675 0.387608349
[7159,] 0.048947584 0.426575750 0.524476707
[7160,] 0.430541724 0.306589156 0.262869120
[7161,] 0.135387495 0.674075007 0.190537497
[7162,] 0.030860437 0.251384497 0.717755079
[7163,] 0.108750150 0.421699315 0.469550490
[7164,] 0.050693709 0.414147973 0.535158277
[7165,] 0.029279616 0.314943373 0.655776978
[7166,] 0.018832000 0.270903647 0.710264385
[7167,] 0.076264583 0.521131933 0.402603507
[7168,] 0.009330026 0.393149883 0.597520113
[7169,] 0.072891809 0.410542995 0.516565204
[7170,] 0.029614482 0.304466814 0.665918708
[7171,] 0.038228836 0.432451606 0.529319525
[7172,] 0.098463818 0.504812479 0.396723717
[7173,] 0.203851461 0.428630918 0.367517620
[7174,] 0.018532667 0.172504947 0.808962345
[7175,] 0.042414438 0.343994915 0.613590658
[7176,] 0.073136054 0.620033681 0.306830257
[7177,] 0.074026123 0.445437878 0.480535984
[7178,] 0.258335829 0.541505277 0.200158879
[7179,] 0.033734538 0.385360897 0.580904603
[7180,] 0.264283955 0.501955867 0.233760163
[7181,] 0.142713696 0.521095991 0.336190313
[7182,] 0.132652551 0.527556837 0.339790672
[7183,] 0.421013087 0.314009011 0.264977932
[7184,] 0.070635743 0.535167992 0.394196242
[7185,] 0.110618658 0.598357916 0.291023374
[7186,] 0.087786481 0.626133323 0.286080211
[7187,] 0.306104988 0.553558350 0.140336677
[7188,] 0.035220899 0.352468938 0.612310171
[7189,] 0.027365489 0.284400672 0.688233793
[7190,] 0.051818140 0.453873754 0.494308144
[7191,] 0.046357032 0.382599384 0.571043611
[7192,] 0.036765844 0.368607253 0.594626844
[7193,] 0.327810198 0.434283376 0.237906456
[7194,] 0.074787281 0.573908031 0.351304650
[7195,] 0.079658873 0.358684599 0.561656535
[7196,] 0.168276131 0.438433319 0.393290490
[7197,] 0.038534369 0.343095571 0.618370056
[7198,] 0.069354407 0.538014472 0.392631143
[7199,] 0.083715327 0.566864610 0.349420071
[7200,] 0.009997406 0.481654316 0.508348286
[7201,] 0.053657234 0.275167227 0.671175539
[7202,] 0.051692255 0.454895377 0.493412346
[7203,] 0.084689222 0.501575232 0.413735509
[7204,] 0.009678170 0.545078754 0.445243120
[7205,] 0.017560007 0.211982384 0.770457566
[7206,] 0.008482662 0.089075558 0.902441800
[7207,] 0.062342294 0.489932984 0.447724670
[7208,] 0.044208590 0.429430962 0.526360393
[7209,] 0.118212156 0.523309112 0.358478755
[7210,] 0.171250969 0.401406616 0.427342385
[7211,] 0.016669836 0.356217265 0.627112925
[7212,] 0.008859619 0.074956059 0.916184306
[7213,] 0.024680007 0.273803532 0.701516509
[7214,] 0.009002603 0.070674725 0.920322716
[7215,] 0.009929837 0.103257045 0.886813104
[7216,] 0.040037360 0.422305554 0.537657022
[7217,] 0.044194710 0.427765310 0.528039992
[7218,] 0.030593053 0.404661924 0.564745069
[7219,] 0.057627589 0.509355664 0.433016717
[7220,] 0.106709845 0.524187565 0.369102627
[7221,] 0.415257156 0.333574891 0.251167983
[7222,] 0.039874356 0.426658601 0.533467054
[7223,] 0.025315400 0.194864422 0.779820144
[7224,] 0.021141235 0.491255313 0.487603396
[7225,] 0.050596345 0.417590857 0.531812847
[7226,] 0.073145613 0.416798502 0.510055900
[7227,] 0.033409722 0.258341551 0.708248734
[7228,] 0.046060506 0.489268035 0.464671433
[7229,] 0.071977518 0.345997989 0.582024515
[7230,] 0.489678890 0.352542490 0.157778651
[7231,] 0.007139840 0.275566727 0.717293382
[7232,] 0.042525843 0.304722488 0.652751684
[7233,] 0.117477313 0.630141377 0.252381295
[7234,] 0.042033318 0.422317922 0.535648763
[7235,] 0.034360252 0.331102222 0.634537578
[7236,] 0.079156719 0.351101816 0.569741428
[7237,] 0.033829100 0.377800852 0.588370085
[7238,] 0.052599479 0.412789464 0.534611046
[7239,] 0.048521280 0.418289632 0.533189118
[7240,] 0.041589696 0.383561105 0.574849188
[7241,] 0.208847031 0.514616370 0.276536614
[7242,] 0.061654638 0.609529614 0.328815758
[7243,] 0.111427940 0.636644840 0.251927257
[7244,] 0.008198188 0.396524489 0.595277369
[7245,] 0.022833539 0.257550389 0.719616115
[7246,] 0.142216578 0.541903794 0.315879643
[7247,] 0.028447285 0.277661115 0.693891585
[7248,] 0.184406266 0.446237147 0.369356573
[7249,] 0.092711352 0.441330999 0.465957612
[7250,] 0.008786339 0.235991642 0.755222023
[7251,] 0.014050243 0.149707317 0.836242437
[7252,] 0.019928573 0.218738556 0.761332929
[7253,] 0.034262300 0.322772026 0.642965674
[7254,] 0.055702567 0.503486514 0.440810889
[7255,] 0.028761247 0.293536156 0.677702606
[7256,] 0.036695216 0.408771008 0.554533780
[7257,] 0.031676717 0.436093569 0.532229722
[7258,] 0.015712935 0.149724364 0.834562719
[7259,] 0.084721260 0.400369912 0.514908850
[7260,] 0.136990398 0.462069839 0.400939763
[7261,] 0.039783418 0.339329094 0.620887518
[7262,] 0.128239229 0.529675305 0.342085481
[7263,] 0.299195945 0.554517746 0.146286309
[7264,] 0.189838052 0.632766783 0.177395180
[7265,] 0.057324544 0.498684227 0.443991274
[7266,] 0.054481275 0.448430330 0.497088373
[7267,] 0.036181904 0.277947009 0.685871065
[7268,] 0.030859463 0.296013802 0.673126757
[7269,] 0.042139534 0.611375213 0.346485198
[7270,] 0.037514910 0.289729983 0.672755063
[7271,] 0.064644672 0.340859473 0.594495893
[7272,] 0.043493260 0.370224893 0.586281776
[7273,] 0.016343759 0.118906938 0.864749312
[7274,] 0.089643791 0.635082662 0.275273532
[7275,] 0.073270120 0.405625552 0.521104336
[7276,] 0.069169849 0.625816584 0.305013597
[7277,] 0.031126516 0.264832437 0.704041004
[7278,] 0.034070842 0.316179365 0.649749756
[7279,] 0.036167771 0.446411490 0.517420709
[7280,] 0.185902685 0.578802109 0.235295221
[7281,] 0.147517458 0.407402635 0.445079863
[7282,] 0.091220178 0.519690275 0.389089584
[7283,] 0.052956447 0.281381518 0.665661991
[7284,] 0.014641078 0.315135121 0.670223773
[7285,] 0.094490692 0.519328773 0.386180550
[7286,] 0.049368162 0.547349989 0.403281868
[7287,] 0.050647620 0.512140930 0.437211454
[7288,] 0.044736288 0.404101789 0.551161885
[7289,] 0.109351687 0.598848343 0.291799963
[7290,] 0.043686494 0.420134485 0.536179006
[7291,] 0.091370739 0.457418412 0.451210856
[7292,] 0.337742805 0.501123071 0.161134079
[7293,] 0.018077960 0.313688099 0.668233931
[7294,] 0.090781860 0.448992431 0.460225672
[7295,] 0.047020286 0.523189306 0.429790407
[7296,] 0.043300919 0.444265962 0.512433112
[7297,] 0.063261114 0.549559236 0.387179643
[7298,] 0.140166461 0.504259109 0.355574459
[7299,] 0.094073452 0.516516387 0.389410168
[7300,] 0.352066249 0.412770927 0.235162809
[7301,] 0.030972729 0.303077042 0.665950239
[7302,] 0.082205743 0.419881076 0.497913212
[7303,] 0.066650227 0.566796362 0.366553426
[7304,] 0.044965293 0.368035167 0.586999476
[7305,] 0.183815554 0.485587865 0.330596626
[7306,] 0.073645204 0.438518852 0.487835914
[7307,] 0.060109634 0.518117905 0.421772480
[7308,] 0.065051809 0.423735201 0.511213005
[7309,] 0.084666915 0.534131587 0.381201506
[7310,] 0.106043637 0.509250462 0.384705901
[7311,] 0.060559265 0.491726786 0.447713971
[7312,] 0.285833031 0.467560112 0.246606916
[7313,] 0.152539045 0.553991616 0.293469310
[7314,] 0.016228801 0.190310895 0.793460369
[7315,] 0.038230840 0.517501950 0.444267213
[7316,] 0.023724409 0.274437070 0.701838553
[7317,] 0.036654118 0.398986369 0.564359486
[7318,] 0.388402045 0.341273814 0.270324111
[7319,] 0.051358055 0.303205758 0.645436168
[7320,] 0.248183593 0.368197173 0.383619279
[7321,] 0.034549575 0.459103227 0.506347179
[7322,] 0.120737478 0.618526161 0.260736376
[7323,] 0.065114573 0.219272465 0.715612948
[7324,] 0.058595024 0.519175529 0.422229499
[7325,] 0.062229767 0.587927401 0.349842817
[7326,] 0.216804445 0.486145616 0.297049969
[7327,] 0.045317318 0.501590252 0.453092486
[7328,] 0.116338201 0.480937272 0.402724475
[7329,] 0.007743599 0.437024564 0.555231810
[7330,] 0.115339659 0.430456281 0.454204082
[7331,] 0.348996669 0.377865702 0.273137659
[7332,] 0.417091519 0.429633677 0.153274775
[7333,] 0.033277169 0.335786253 0.630936563
[7334,] 0.018229313 0.220771268 0.760999441
[7335,] 0.057427444 0.531000018 0.411572516
[7336,] 0.048414383 0.265228629 0.686356962
[7337,] 0.060082115 0.355147272 0.584770620
[7338,] 0.022668619 0.318599790 0.658731639
[7339,] 0.101432912 0.373192042 0.525375068
[7340,] 0.068455160 0.523740053 0.407804817
[7341,] 0.062442895 0.437593073 0.499963999
[7342,] 0.035330322 0.577331007 0.387338668
[7343,] 0.313786507 0.473067671 0.213145837
[7344,] 0.054775074 0.424742252 0.520482659
[7345,] 0.130393907 0.463275373 0.406330675
[7346,] 0.051971521 0.330994993 0.617033482
[7347,] 0.007819142 0.099475011 0.892705858
[7348,] 0.011940636 0.175990000 0.812069356
[7349,] 0.061655633 0.357883483 0.580460846
[7350,] 0.298097700 0.557243288 0.144659042
[7351,] 0.056684595 0.497014105 0.446301281
[7352,] 0.156467900 0.334065050 0.509467006
[7353,] 0.054381046 0.472325683 0.473293304
[7354,] 0.056133427 0.565626025 0.378240556
[7355,] 0.058261395 0.547925174 0.393813461
[7356,] 0.057037923 0.394933581 0.548028469
[7357,] 0.035463750 0.263244420 0.701291859
[7358,] 0.028903982 0.185647741 0.785448253
[7359,] 0.059138738 0.213310868 0.727550387
[7360,] 0.037838623 0.362222582 0.599938810
[7361,] 0.019699812 0.250485092 0.729815125
[7362,] 0.170718029 0.418190837 0.411091149
[7363,] 0.078161210 0.607515693 0.314323157
[7364,] 0.055771247 0.431807786 0.512421012
[7365,] 0.183940738 0.627398491 0.188660800
[7366,] 0.016220767 0.254689246 0.729090035
[7367,] 0.079412341 0.478226691 0.442360938
[7368,] 0.030541766 0.685327172 0.284131050
[7369,] 0.060362767 0.448090523 0.491546690
[7370,] 0.161386207 0.595526695 0.243087143
[7371,] 0.139472142 0.380926907 0.479600996
[7372,] 0.023011956 0.237921640 0.739066422
[7373,] 0.196987092 0.429225415 0.373787493
[7374,] 0.262485623 0.527597010 0.209917411
[7375,] 0.041812453 0.444653809 0.513533711
[7376,] 0.039712794 0.562203825 0.398083419
[7377,] 0.042371187 0.245394409 0.712234437
[7378,] 0.044833720 0.441659838 0.513506413
[7379,] 0.053176794 0.574880362 0.371942878
[7380,] 0.020025443 0.291523695 0.688450873
[7381,] 0.251201659 0.473804981 0.274993360
[7382,] 0.024484143 0.225636333 0.749879479
[7383,] 0.101306349 0.462594807 0.436098844
[7384,] 0.005088398 0.068206981 0.926704586
[7385,] 0.038935084 0.467654139 0.493410796
[7386,] 0.030497393 0.801415980 0.168086573
[7387,] 0.004186577 0.053453796 0.942359567
[7388,] 0.032782592 0.703949988 0.263267457
[7389,] 0.063084081 0.428862184 0.508053720
[7390,] 0.042182658 0.450302660 0.507514656
[7391,] 0.027850520 0.316318393 0.655831099
[7392,] 0.006607146 0.267976016 0.725416839
[7393,] 0.060189638 0.447533578 0.492276847
[7394,] 0.130398408 0.587241888 0.282359689
[7395,] 0.079842836 0.247451290 0.672705889
[7396,] 0.249579817 0.526196539 0.224223644
[7397,] 0.061945949 0.415833384 0.522220671
[7398,] 0.112690926 0.550504804 0.336804241
[7399,] 0.032234773 0.363746136 0.604019105
[7400,] 0.075092174 0.717186093 0.207721725
[7401,] 0.048870288 0.296489030 0.654640675
[7402,] 0.035518479 0.294217438 0.670264125
[7403,] 0.081650913 0.364448309 0.553900778
[7404,] 0.029997155 0.375999928 0.594002903
[7405,] 0.018433698 0.212116137 0.769450188
[7406,] 0.044364668 0.344695747 0.610939622
[7407,] 0.039177198 0.434938550 0.525884271
[7408,] 0.030242259 0.232870653 0.736887038
[7409,] 0.066083051 0.550668478 0.383248508
[7410,] 0.259695232 0.490541905 0.249762848
[7411,] 0.089732982 0.360719264 0.549547732
[7412,] 0.042680047 0.370746762 0.586573184
[7413,] 0.091174141 0.252327383 0.656498432
[7414,] 0.069687665 0.480162889 0.450149477
[7415,] 0.063185848 0.615520656 0.321293473
[7416,] 0.020450540 0.183760151 0.795789361
[7417,] 0.015340446 0.225592718 0.759066880
[7418,] 0.030513583 0.393725425 0.575761020
[7419,] 0.233611390 0.529424667 0.236963987
[7420,] 0.024927294 0.265150040 0.709922671
[7421,] 0.010635741 0.123036236 0.866328001
[7422,] 0.029688800 0.423116833 0.547194362
[7423,] 0.034552075 0.284824878 0.680623055
[7424,] 0.062768973 0.421481609 0.515749454
[7425,] 0.147526324 0.411862582 0.440611064
[7426,] 0.093658678 0.454587162 0.451754153
[7427,] 0.034705989 0.341281682 0.624012351
[7428,] 0.008341970 0.092506327 0.899151683
[7429,] 0.035515223 0.266533405 0.697951376
[7430,] 0.010402745 0.078211449 0.911385775
[7431,] 0.079664528 0.480573028 0.439762414
[7432,] 0.403023928 0.410220832 0.186755210
[7433,] 0.065578535 0.407080024 0.527341425
[7434,] 0.065616712 0.351086348 0.583296895
[7435,] 0.025678858 0.322120458 0.652200639
[7436,] 0.063782476 0.316895843 0.619321704
[7437,] 0.047506344 0.507781029 0.444712609
[7438,] 0.053827059 0.321285754 0.624887228
[7439,] 0.032611106 0.062100634 0.905288219
[7440,] 0.008095663 0.121663421 0.870240927
[7441,] 0.035394158 0.320054293 0.644551575
[7442,] 0.047179431 0.316000909 0.636819720
[7443,] 0.014943575 0.149572775 0.835483611
[7444,] 0.032547392 0.261394918 0.706057727
[7445,] 0.112976618 0.590246379 0.296777040
[7446,] 0.120689221 0.504579842 0.374730885
[7447,] 0.059262149 0.454875678 0.485862136
[7448,] 0.086987741 0.408910245 0.504102051
[7449,] 0.058549732 0.399344385 0.542105854
[7450,] 0.127341673 0.364944458 0.507713854
[7451,] 0.093141042 0.335103095 0.571755826
[7452,] 0.106611110 0.509089768 0.384299129
[7453,] 0.081268877 0.420791805 0.497939348
[7454,] 0.098976552 0.368253797 0.532769620
[7455,] 0.056242831 0.354048580 0.589708567
[7456,] 0.037478499 0.465434253 0.497087270
[7457,] 0.057971150 0.462206304 0.479822487
[7458,] 0.130442470 0.401483029 0.468074471
[7459,] 0.083627924 0.532832444 0.383539617
[7460,] 0.318269670 0.546256423 0.135473937
[7461,] 0.032003529 0.316795349 0.651201129
[7462,] 0.186066791 0.468687385 0.345245868
[7463,] 0.018038336 0.519712985 0.462248623
[7464,] 0.138120025 0.484716415 0.377163589
[7465,] 0.057531945 0.443707138 0.498760909
[7466,] 0.032567404 0.355318278 0.612114310
[7467,] 0.024929825 0.234172016 0.740898132
[7468,] 0.079549395 0.432162434 0.488288105
[7469,] 0.328561157 0.478337914 0.193100974
[7470,] 0.011148454 0.294196010 0.694655597
[7471,] 0.057226483 0.491455644 0.451317877
[7472,] 0.123334050 0.359728605 0.516937315
[7473,] 0.040969297 0.298783213 0.660247505
[7474,] 0.254190892 0.572561741 0.173247367
[7475,] 0.115692258 0.420046210 0.464261591
[7476,] 0.076876380 0.441455334 0.481668293
[7477,] 0.096162245 0.417490363 0.486347377
[7478,] 0.109347187 0.539839029 0.350813806
[7479,] 0.073136680 0.507181227 0.419682115
[7480,] 0.222433418 0.563661158 0.213905454
[7481,] 0.045999881 0.403619468 0.550380588
[7482,] 0.080522172 0.494092643 0.425385147
[7483,] 0.043013565 0.459420532 0.497565866
[7484,] 0.062923491 0.455195487 0.481880963
[7485,] 0.280004054 0.430012405 0.289983511
[7486,] 0.059976161 0.320025027 0.619998813
[7487,] 0.201744512 0.373575777 0.424679726
[7488,] 0.045372345 0.268876374 0.685751259
[7489,] 0.055100415 0.428476423 0.516423225
[7490,] 0.084337465 0.453084052 0.462578535
[7491,] 0.053338017 0.353624910 0.593037069
[7492,] 0.029315354 0.227871433 0.742813170
[7493,] 0.092673950 0.431893170 0.475432873
[7494,] 0.119696610 0.515352726 0.364950627
[7495,] 0.071081631 0.366241485 0.562676847
[7496,] 0.166747630 0.432679206 0.400573224
[7497,] 0.025559301 0.263777882 0.710662782
[7498,] 0.073841862 0.505066872 0.421091288
[7499,] 0.054992687 0.438494295 0.506513000
[7500,] 0.037646059 0.284063458 0.678290486
[7501,] 0.259676039 0.426292866 0.314031065
[7502,] 0.022621928 0.343237519 0.634140551
[7503,] 0.063815661 0.481216311 0.454968065
[7504,] 0.053905241 0.458427668 0.487667054
[7505,] 0.028731503 0.271158665 0.700109839
[7506,] 0.042406298 0.432478368 0.525115311
[7507,] 0.049216688 0.299759120 0.651024163
[7508,] 0.066913038 0.433368325 0.499718696
[7509,] 0.072054759 0.619048536 0.308896720
[7510,] 0.075401925 0.486364335 0.438233674
[7511,] 0.133745685 0.650531292 0.215723008
[7512,] 0.074583359 0.329161853 0.596254766
[7513,] 0.156106204 0.610211790 0.233682051
[7514,] 0.313504815 0.504892349 0.181602806
[7515,] 0.059702832 0.390672982 0.549624205
[7516,] 0.100929275 0.578561664 0.320509136
[7517,] 0.060870849 0.268197179 0.670931935
[7518,] 0.071409643 0.457075298 0.471515030
[7519,] 0.032917563 0.306839854 0.660242617
[7520,] 0.028312286 0.302625328 0.669062376
[7521,] 0.063966222 0.373777181 0.562256575
[7522,] 0.022218855 0.305537254 0.672243893
[7523,] 0.058407210 0.467320979 0.474271834
[7524,] 0.131500229 0.409064412 0.459435374
[7525,] 0.062020849 0.305333287 0.632645845
[7526,] 0.122745007 0.454664946 0.422590047
[7527,] 0.179237545 0.497999966 0.322762519
[7528,] 0.114648409 0.424518496 0.460833132
[7529,] 0.058484055 0.518143117 0.423372805
[7530,] 0.050266057 0.356283754 0.593450189
[7531,] 0.063148737 0.410706699 0.526144505
[7532,] 0.046831183 0.334888577 0.618280232
[7533,] 0.019525541 0.172463089 0.808011353
[7534,] 0.027158985 0.308268636 0.664572358
[7535,] 0.123743653 0.356952608 0.519303739
[7536,] 0.109802812 0.421686620 0.468510598
[7537,] 0.172862768 0.514337599 0.312799603
[7538,] 0.045214351 0.321787536 0.632998109
[7539,] 0.392569810 0.447925538 0.159504607
[7540,] 0.029610703 0.367339700 0.603049576
[7541,] 0.037989687 0.445408732 0.516601562
[7542,] 0.098678276 0.473143876 0.428177834
[7543,] 0.025178244 0.300200343 0.674621403
[7544,] 0.037637603 0.418548882 0.543813527
[7545,] 0.089029253 0.583010852 0.327959865
[7546,] 0.056144211 0.380402982 0.563452780
[7547,] 0.176991329 0.443852305 0.379156321
[7548,] 0.039030060 0.301615536 0.659354389
[7549,] 0.383947343 0.435728580 0.180324093
[7550,] 0.037986219 0.458954304 0.503059447
[7551,] 0.032742657 0.322068393 0.645188987
[7552,] 0.087519750 0.440020472 0.472459823
[7553,] 0.010452196 0.107894294 0.881653547
[7554,] 0.010975022 0.376232296 0.612792671
[7555,] 0.037566990 0.234579906 0.727853179
[7556,] 0.053995665 0.610944808 0.335059464
[7557,] 0.077915862 0.464636922 0.457447171
[7558,] 0.071909525 0.344941616 0.583148837
[7559,] 0.030746713 0.440601289 0.528652012
[7560,] 0.381999731 0.396351039 0.221649274
[7561,] 0.028653989 0.511573136 0.459772885
[7562,] 0.025737884 0.332744211 0.641517937
[7563,] 0.120843597 0.499672979 0.379483432
[7564,] 0.110898584 0.488255829 0.400845647
[7565,] 0.080028586 0.365552872 0.554418504
[7566,] 0.063166060 0.397724152 0.539109826
[7567,] 0.026500205 0.271627963 0.701871753
[7568,] 0.066037551 0.517527223 0.416435212
[7569,] 0.538990319 0.353804410 0.107205257
[7570,] 0.178327203 0.308067411 0.513605416
[7571,] 0.216729239 0.540468395 0.242802337
[7572,] 0.081574336 0.352764010 0.565661609
[7573,] 0.044580653 0.447018176 0.508401215
[7574,] 0.010693325 0.571226478 0.418080181
[7575,] 0.008631591 0.588823259 0.402545124
[7576,] 0.012795367 0.509706318 0.477498323
[7577,] 0.470088929 0.372710526 0.157200590
[7578,] 0.365437150 0.382349730 0.252213091
[7579,] 0.052066602 0.411507457 0.536426008
[7580,] 0.029975036 0.235105038 0.734919906
[7581,] 0.028271122 0.467074215 0.504654706
[7582,] 0.392764211 0.423422307 0.183813527
[7583,] 0.024435865 0.190764084 0.784799993
[7584,] 0.440700352 0.390355080 0.168944523
[7585,] 0.017367860 0.264401972 0.718230188
[7586,] 0.161172658 0.383431941 0.455395401
[7587,] 0.016737584 0.197603151 0.785659254
[7588,] 0.024216169 0.699558020 0.276225775
[7589,] 0.094204277 0.537410498 0.368385196
[7590,] 0.048476901 0.398895174 0.552627921
[7591,] 0.021645620 0.768752754 0.209601596
[7592,] 0.047467180 0.449618965 0.502913833
[7593,] 0.187196881 0.451024681 0.361778408
[7594,] 0.092109926 0.416590154 0.491299927
[7595,] 0.030467918 0.370543033 0.598989069
[7596,] 0.031003689 0.404449314 0.564547002
[7597,] 0.059467129 0.411781132 0.528751731
[7598,] 0.064013384 0.467204392 0.468782246
[7599,] 0.019556375 0.230424613 0.750019014
[7600,] 0.025503032 0.279868186 0.694628775
[7601,] 0.056689560 0.406728804 0.536581635
[7602,] 0.152008951 0.410075486 0.437915593
[7603,] 0.441336364 0.444835573 0.113828026
[7604,] 0.132703468 0.625854254 0.241442278
[7605,] 0.088324748 0.521669686 0.390005529
[7606,] 0.010279874 0.039674994 0.950045168
[7607,] 0.048396874 0.387042612 0.564560473
[7608,] 0.018399188 0.174699232 0.806901634
[7609,] 0.006410703 0.378340781 0.615248501
[7610,] 0.049670674 0.354544044 0.595785260
[7611,] 0.120333642 0.474760771 0.404905617
[7612,] 0.170197144 0.595458448 0.234344438
[7613,] 0.048320930 0.384324998 0.567354083
[7614,] 0.022486078 0.051618464 0.925895452
[7615,] 0.230689198 0.578618586 0.190692201
[7616,] 0.023795260 0.355800241 0.620404482
[7617,] 0.129595652 0.404052585 0.466351718
[7618,] 0.014893523 0.142597690 0.842508793
[7619,] 0.046306107 0.369255543 0.584438384
[7620,] 0.004373545 0.350941509 0.644684911
[7621,] 0.125692934 0.506865561 0.367441475
[7622,] 0.098650731 0.535357952 0.365991294
[7623,] 0.040362138 0.316709399 0.642928481
[7624,] 0.474952221 0.414196044 0.110851765
[7625,] 0.095313840 0.400646895 0.504039228
[7626,] 0.041507419 0.441465944 0.517026663
[7627,] 0.121366680 0.368368328 0.510264993
[7628,] 0.012457484 0.037589192 0.949953258
[7629,] 0.060036097 0.475833505 0.464130372
[7630,] 0.151099160 0.528275907 0.320624948
[7631,] 0.011966649 0.146588922 0.841444433
[7632,] 0.015430321 0.161005229 0.823564410
[7633,] 0.129189402 0.601463318 0.269347310
[7634,] 0.124119744 0.449308187 0.426572084
[7635,] 0.126537487 0.580780864 0.292681634
[7636,] 0.022752715 0.262423545 0.714823723
[7637,] 0.155794591 0.445592552 0.398612827
[7638,] 0.054418519 0.384575158 0.561006308
[7639,] 0.050774351 0.379475176 0.569750428
[7640,] 0.070788592 0.540893495 0.388317943
[7641,] 0.024201423 0.261705041 0.714093506
[7642,] 0.060472131 0.433163345 0.506364524
[7643,] 0.039972886 0.387188196 0.572838902
[7644,] 0.024887815 0.288570315 0.686541855
[7645,] 0.065484688 0.482543409 0.451971859
[7646,] 0.021835878 0.221016869 0.757147253
[7647,] 0.081272557 0.531906068 0.386821330
[7648,] 0.042760059 0.291104972 0.666134953
[7649,] 0.101781450 0.525843859 0.372374713
[7650,] 0.040464226 0.312696904 0.646838903
[7651,] 0.023404233 0.397361189 0.579234540
[7652,] 0.067319445 0.372129142 0.560551405
[7653,] 0.036851592 0.292735547 0.670412838
[7654,] 0.045505296 0.361668557 0.592826128
[7655,] 0.117844038 0.586146116 0.296009809
[7656,] 0.220132813 0.532304704 0.247562498
[7657,] 0.008497891 0.323439509 0.668062627
[7658,] 0.092130885 0.518340647 0.389528424
[7659,] 0.027458645 0.238195851 0.734345496
[7660,] 0.075925395 0.479299575 0.444775045
[7661,] 0.017538525 0.103830799 0.878630698
[7662,] 0.085129477 0.478857100 0.436013460
[7663,] 0.068583272 0.436097503 0.495319247
[7664,] 0.030380346 0.260507405 0.709112287
[7665,] 0.057734691 0.473081857 0.469183475
[7666,] 0.259160548 0.372853994 0.367985427
[7667,] 0.338230669 0.346453816 0.315315485
[7668,] 0.014529991 0.154298142 0.831171870
[7669,] 0.030775789 0.250290364 0.718933880
[7670,] 0.067800768 0.534017920 0.398181289
[7671,] 0.089544035 0.351796210 0.558659732
[7672,] 0.081987523 0.528735578 0.389276952
[7673,] 0.014625047 0.205457196 0.779917717
[7674,] 0.800197244 0.184503704 0.015299007
[7675,] 0.026158668 0.334676385 0.639164984
[7676,] 0.010602667 0.038430009 0.950967312
[7677,] 0.073825642 0.521222711 0.404951632
[7678,] 0.017794412 0.323729366 0.658476233
[7679,] 0.249072254 0.493734360 0.257193446
[7680,] 0.096240520 0.395409346 0.508350134
[7681,] 0.045468543 0.442431927 0.512099504
[7682,] 0.039959025 0.495614707 0.464426249
[7683,] 0.010343378 0.633736014 0.355920613
[7684,] 0.107617080 0.410482109 0.481900781
[7685,] 0.037738703 0.348251998 0.614009261
[7686,] 0.252965122 0.511776924 0.235257953
[7687,] 0.009415220 0.577003539 0.413581192
[7688,] 0.150435403 0.579103470 0.270461142
[7689,] 0.085243203 0.391938031 0.522818804
[7690,] 0.025727946 0.423352003 0.550920010
[7691,] 0.027739031 0.104862146 0.867398858
[7692,] 0.049726669 0.561260104 0.389013231
[7693,] 0.531631172 0.382140964 0.086227857
[7694,] 0.207292110 0.482558280 0.310149610
[7695,] 0.039678395 0.354237735 0.606083870
[7696,] 0.214150876 0.589918256 0.195930898
[7697,] 0.126065597 0.554274440 0.319659978
[7698,] 0.036766041 0.397950530 0.565283418
[7699,] 0.051879998 0.402462780 0.545657218
[7700,] 0.054321632 0.447994530 0.497683883
[7701,] 0.019760419 0.179015875 0.801223695
[7702,] 0.326091737 0.444733888 0.229174361
[7703,] 0.026540916 0.433953792 0.539505303
[7704,] 0.052385177 0.284623712 0.662991107
[7705,] 0.023175385 0.316949934 0.659874678
[7706,] 0.014916847 0.176311851 0.808771253
[7707,] 0.043535903 0.411162108 0.545301974
[7708,] 0.012389092 0.189296082 0.798314810
[7709,] 0.019590942 0.251036823 0.729372263
[7710,] 0.090344459 0.373963594 0.535691977
[7711,] 0.024572305 0.279452503 0.695975125
[7712,] 0.145206749 0.535033762 0.319759548
[7713,] 0.089934140 0.317133904 0.592931926
[7714,] 0.023600984 0.265314519 0.711084485
[7715,] 0.033617061 0.464995533 0.501387417
[7716,] 0.068495743 0.380864143 0.550640106
[7717,] 0.015116982 0.076304384 0.908578694
[7718,] 0.030095110 0.692739904 0.277164996
[7719,] 0.267858088 0.401296228 0.330845714
[7720,] 0.019559275 0.388541132 0.591899574
[7721,] 0.082048416 0.508377016 0.409574568
[7722,] 0.087073587 0.538360953 0.374565482
[7723,] 0.302755177 0.405988127 0.291256666
[7724,] 0.096614793 0.395227671 0.508157551
[7725,] 0.043417659 0.412382245 0.544200063
[7726,] 0.379645228 0.350482285 0.269872487
[7727,] 0.041477818 0.461616546 0.496905595
[7728,] 0.089336388 0.395387709 0.515275896
[7729,] 0.087436214 0.656579673 0.255984098
[7730,] 0.068551823 0.427697182 0.503750980
[7731,] 0.158168197 0.596309841 0.245521992
[7732,] 0.013375894 0.703053474 0.283570558
[7733,] 0.038983982 0.328747064 0.632268965
[7734,] 0.225759923 0.497107416 0.277132690
[7735,] 0.084646538 0.353167474 0.562186003
[7736,] 0.015121744 0.412705243 0.572172999
[7737,] 0.080214940 0.379766226 0.540018857
[7738,] 0.074455351 0.434942633 0.490602046
[7739,] 0.236754641 0.526198685 0.237046704
[7740,] 0.030244399 0.257786393 0.711969197
[7741,] 0.091151319 0.582944572 0.325904101
[7742,] 0.033765335 0.357502341 0.608732283
[7743,] 0.010783182 0.212445915 0.776770949
[7744,] 0.035546977 0.381746113 0.582706928
[7745,] 0.030738743 0.422474086 0.546787143
[7746,] 0.060457002 0.508373082 0.431169897
[7747,] 0.028240273 0.223867923 0.747891784
[7748,] 0.049626999 0.455505282 0.494867742
[7749,] 0.020214953 0.336870372 0.642914653
[7750,] 0.389893293 0.472496420 0.137610272
[7751,] 0.044484686 0.355506122 0.600009143
[7752,] 0.189094484 0.583998621 0.226906911
[7753,] 0.255657524 0.482054263 0.262288153
[7754,] 0.063903414 0.541592538 0.394504040
[7755,] 0.060497377 0.438154221 0.501348376
[7756,] 0.030551974 0.318824500 0.650623560
[7757,] 0.030594274 0.277142107 0.692263663
[7758,] 0.115872733 0.440252721 0.443874568
[7759,] 0.047259718 0.372777462 0.579962790
[7760,] 0.011597049 0.177311450 0.811091483
[7761,] 0.126303762 0.594285011 0.279411227
[7762,] 0.020157333 0.428350836 0.551491857
[7763,] 0.049883600 0.479058534 0.471057862
[7764,] 0.010735055 0.415922344 0.573342621
[7765,] 0.070631847 0.464856803 0.464511395
[7766,] 0.156160623 0.387021750 0.456817627
[7767,] 0.049129013 0.395648271 0.555222690
[7768,] 0.237233236 0.444763839 0.318002939
[7769,] 0.027446955 0.199523628 0.773029387
[7770,] 0.110761449 0.503639758 0.385598749
[7771,] 0.087801501 0.518858552 0.393339992
[7772,] 0.210035026 0.443286777 0.346678197
[7773,] 0.165867299 0.507092178 0.327040493
[7774,] 0.052430332 0.530831993 0.416737676
[7775,] 0.420491725 0.465767205 0.113741115
[7776,] 0.059617225 0.456564635 0.483818114
[7777,] 0.028127203 0.393323332 0.578549445
[7778,] 0.021969900 0.184805021 0.793225050
[7779,] 0.022741752 0.335105062 0.642153144
[7780,] 0.128560737 0.520607233 0.350832045
[7781,] 0.078495599 0.395698786 0.525805593
[7782,] 0.033241536 0.557384491 0.409373969
[7783,] 0.071705095 0.383374304 0.544920623
[7784,] 0.012301995 0.355038583 0.632659435
[7785,] 0.040458389 0.325712711 0.633828938
[7786,] 0.060841948 0.638680339 0.300477743
[7787,] 0.073757879 0.516843915 0.409398258
[7788,] 0.043320261 0.402604491 0.554075241
[7789,] 0.068398327 0.383260548 0.548341095
[7790,] 0.184057325 0.538612127 0.277330548
[7791,] 0.044554327 0.482376188 0.473069519
[7792,] 0.030051610 0.364361942 0.605586469
[7793,] 0.043314181 0.369358391 0.587327421
[7794,] 0.147575781 0.327447802 0.524976432
[7795,] 0.200997323 0.392526388 0.406476319
[7796,] 0.040925626 0.387501687 0.571572721
[7797,] 0.187936008 0.417822838 0.394241214
[7798,] 0.028115064 0.355402231 0.616482675
[7799,] 0.074083984 0.333333164 0.592582881
[7800,] 0.025350282 0.292589933 0.682059765
[7801,] 0.042052470 0.396230251 0.561717272
[7802,] 0.096094869 0.511003852 0.392901242
[7803,] 0.057806350 0.587348998 0.354844630
[7804,] 0.043359328 0.278888732 0.677751899
[7805,] 0.343791962 0.513690770 0.142517328
[7806,] 0.050262168 0.323351502 0.626386285
[7807,] 0.099919587 0.469366431 0.430714011
[7808,] 0.020746592 0.179789126 0.799464345
[7809,] 0.092078783 0.475849658 0.432071537
[7810,] 0.054883648 0.484719783 0.460396588
[7811,] 0.091261581 0.511931777 0.396806657
[7812,] 0.139992967 0.625930250 0.234076753
[7813,] 0.083110608 0.517108321 0.399781048
[7814,] 0.008195822 0.466889739 0.524914443
[7815,] 0.047960497 0.571096241 0.380943269
[7816,] 0.035426978 0.265522599 0.699050426
[7817,] 0.023369435 0.341619372 0.635011196
[7818,] 0.294000387 0.429557294 0.276442319
[7819,] 0.333699375 0.472864091 0.193436548
[7820,] 0.019067734 0.636620641 0.344311655
[7821,] 0.019501531 0.268487394 0.712011039
[7822,] 0.331529528 0.479700506 0.188769981
[7823,] 0.277844995 0.586547136 0.135607868
[7824,] 0.265383989 0.507000387 0.227615669
[7825,] 0.044251435 0.437349439 0.518399119
[7826,] 0.223421365 0.454254150 0.322324455
[7827,] 0.301931500 0.456566125 0.241502404
[7828,] 0.033243418 0.317857862 0.648898721
[7829,] 0.030115426 0.474733680 0.495150834
[7830,] 0.086127609 0.465099812 0.448772550
[7831,] 0.053863704 0.474429935 0.471706361
[7832,] 0.031258203 0.705435038 0.263306767
[7833,] 0.195228741 0.445877731 0.358893573
[7834,] 0.014589721 0.146604836 0.838805437
[7835,] 0.066634648 0.447209060 0.486156285
[7836,] 0.013556351 0.324223638 0.662220001
[7837,] 0.212941453 0.363030225 0.424028307
[7838,] 0.008140825 0.301354200 0.690504968
[7839,] 0.019107673 0.641814470 0.339077830
[7840,] 0.053818382 0.578850210 0.367331415
[7841,] 0.032821689 0.260700524 0.706477761
[7842,] 0.039917417 0.418175668 0.541906953
[7843,] 0.033724260 0.829554260 0.136721432
[7844,] 0.081199273 0.467488766 0.451311976
[7845,] 0.063622646 0.334763706 0.601613641
[7846,] 0.059757076 0.424917281 0.515325665
[7847,] 0.058231700 0.405006707 0.536761582
[7848,] 0.036976781 0.348445714 0.614577472
[7849,] 0.044140667 0.313602954 0.642256439
[7850,] 0.082742624 0.476614416 0.440642923
[7851,] 0.007199631 0.124285296 0.868515015
[7852,] 0.015286651 0.270623744 0.714089572
[7853,] 0.409979075 0.395937085 0.194083884
[7854,] 0.183646351 0.670183599 0.146169990
[7855,] 0.014885358 0.647986531 0.337128133
[7856,] 0.014116421 0.155930892 0.829952657
[7857,] 0.039562028 0.293393850 0.667044103
[7858,] 0.054847334 0.619637489 0.325515151
[7859,] 0.069057614 0.357928187 0.573014200
[7860,] 0.007754527 0.525300860 0.466944635
[7861,] 0.015725352 0.280307204 0.703967392
[7862,] 0.054724429 0.422148973 0.523126602
[7863,] 0.385386139 0.434635431 0.179978490
[7864,] 0.012182117 0.113931313 0.873886585
[7865,] 0.037566405 0.356931269 0.605502307
[7866,] 0.020794099 0.303855300 0.675350606
[7867,] 0.081451774 0.562966108 0.355582118
[7868,] 0.261748463 0.456701696 0.281549811
[7869,] 0.026719810 0.332805961 0.640474200
[7870,] 0.322639734 0.425750226 0.251609981
[7871,] 0.026695995 0.367569357 0.605734646
[7872,] 0.020995013 0.631769478 0.347235501
[7873,] 0.237645447 0.393175364 0.369179159
[7874,] 0.138864964 0.455651790 0.405483276
[7875,] 0.254150897 0.502628148 0.243220985
[7876,] 0.111344948 0.454039723 0.434615314
[7877,] 0.054760244 0.418430597 0.526809156
[7878,] 0.348953098 0.444515437 0.206531495
[7879,] 0.036597788 0.256647497 0.706754744
[7880,] 0.085046850 0.476211518 0.438741565
[7881,] 0.018669570 0.215652555 0.765677929
[7882,] 0.261531651 0.535047650 0.203420684
[7883,] 0.499093086 0.416195840 0.084711075
[7884,] 0.062232189 0.319340765 0.618427038
[7885,] 0.120839238 0.396731704 0.482429028
[7886,] 0.046625882 0.246288598 0.707085490
[7887,] 0.044194877 0.307932138 0.647873044
[7888,] 0.021339681 0.297009319 0.681650996
[7889,] 0.294785649 0.404662162 0.300552160
[7890,] 0.030947272 0.352331251 0.616721511
[7891,] 0.007959555 0.568570435 0.423470020
[7892,] 0.013127737 0.452775508 0.534096777
[7893,] 0.031850316 0.281390607 0.686759055
[7894,] 0.020135157 0.350001186 0.629863679
[7895,] 0.220175177 0.395926625 0.383898199
[7896,] 0.053115405 0.335690051 0.611194551
[7897,] 0.100648716 0.501942992 0.397408277
[7898,] 0.215126052 0.400084853 0.384789139
[7899,] 0.088966340 0.452244401 0.458789289
[7900,] 0.078567512 0.494184852 0.427247643
[7901,] 0.020794693 0.413767159 0.565438211
[7902,] 0.014107935 0.317166835 0.668725252
[7903,] 0.219488606 0.588808715 0.191702649
[7904,] 0.055629220 0.377395302 0.566975415
[7905,] 0.023742013 0.313530922 0.662727058
[7906,] 0.033895113 0.318931520 0.647173405
[7907,] 0.126644284 0.460067421 0.413288236
[7908,] 0.122338541 0.353075743 0.524585724
[7909,] 0.013464590 0.186035156 0.800500274
[7910,] 0.051281370 0.290715635 0.658003032
[7911,] 0.117514029 0.465629458 0.416856527
[7912,] 0.036528204 0.348974138 0.614497662
[7913,] 0.064499430 0.609860599 0.325639963
[7914,] 0.051534854 0.481680423 0.466784745
[7915,] 0.055056512 0.331901461 0.613041997
[7916,] 0.264369756 0.478678495 0.256951720
[7917,] 0.101699725 0.410166591 0.488133639
[7918,] 0.058098972 0.434268355 0.507632673
[7919,] 0.217378855 0.419104338 0.363516778
[7920,] 0.074184217 0.521255016 0.404560804
[7921,] 0.040183645 0.359803647 0.600012720
[7922,] 0.117841877 0.508985043 0.373173058
[7923,] 0.040544163 0.592107534 0.367348313
[7924,] 0.053329304 0.563299537 0.383371115
[7925,] 0.014328601 0.047787242 0.937884092
[7926,] 0.055604097 0.534414411 0.409981519
[7927,] 0.056657933 0.443267196 0.500074863
[7928,] 0.024450656 0.311629087 0.663920283
[7929,] 0.058113914 0.416276574 0.525609493
[7930,] 0.135001332 0.396390498 0.468608111
[7931,] 0.049532052 0.341476917 0.608991027
[7932,] 0.144262075 0.358308524 0.497429430
[7933,] 0.032137062 0.313057542 0.654805362
[7934,] 0.063937701 0.434405446 0.501656830
[7935,] 0.025344810 0.297840953 0.676814258
[7936,] 0.106780931 0.445310503 0.447908551
[7937,] 0.150562704 0.525492072 0.323945224
[7938,] 0.161506400 0.472313613 0.366179973
[7939,] 0.065758772 0.482523531 0.451717734
[7940,] 0.284499139 0.432105511 0.283395350
[7941,] 0.084755927 0.483288020 0.431956083
[7942,] 0.054155201 0.451440185 0.494404584
[7943,] 0.050469842 0.317725897 0.631804228
[7944,] 0.025166264 0.314427882 0.660405874
[7945,] 0.090504006 0.551753342 0.357742667
[7946,] 0.054804359 0.460883856 0.484311759
[7947,] 0.073967710 0.453185380 0.472846925
[7948,] 0.024020748 0.340679854 0.635299444
[7949,] 0.121235721 0.455015957 0.423748314
[7950,] 0.006007796 0.567427516 0.426564693
[7951,] 0.008086421 0.349457324 0.642456293
[7952,] 0.103257053 0.360426366 0.536316574
[7953,] 0.015395151 0.335031062 0.649573743
[7954,] 0.248136371 0.421479136 0.330384523
[7955,] 0.056979317 0.416179508 0.526841164
[7956,] 0.263674229 0.436428964 0.299896866
[7957,] 0.216892377 0.594471157 0.188636467
[7958,] 0.052896045 0.271953076 0.675150812
[7959,] 0.012530881 0.617405415 0.370063692
[7960,] 0.120521091 0.597304463 0.282174438
[7961,] 0.011717707 0.038899958 0.949382365
[7962,] 0.042399392 0.346828371 0.610772252
[7963,] 0.070063926 0.456902474 0.473033637
[7964,] 0.449721634 0.305326700 0.244951665
[7965,] 0.049818795 0.403256088 0.546925128
[7966,] 0.248800784 0.464457780 0.286741436
[7967,] 0.092888430 0.388464272 0.518647313
[7968,] 0.030336400 0.360721171 0.608942389
[7969,] 0.112075515 0.526897669 0.361026853
[7970,] 0.010557480 0.264424682 0.725017786
[7971,] 0.016462715 0.571607828 0.411929518
[7972,] 0.027248697 0.226452723 0.746298552
[7973,] 0.177851677 0.574825585 0.247322753
[7974,] 0.036470994 0.286766231 0.676762760
[7975,] 0.008638138 0.778668642 0.212693214
[7976,] 0.070587590 0.380486131 0.548926294
[7977,] 0.104690701 0.489786744 0.405522525
[7978,] 0.022288555 0.297769934 0.679941475
[7979,] 0.129358143 0.387412250 0.483229548
[7980,] 0.454296827 0.402873933 0.142829239
[7981,] 0.077853695 0.553929150 0.368217170
[7982,] 0.088301606 0.495442301 0.416256100
[7983,] 0.063587561 0.417628229 0.518784165
[7984,] 0.012182298 0.272686571 0.715131164
[7985,] 0.128497541 0.479208171 0.392294228
[7986,] 0.392855138 0.406629741 0.200515091
[7987,] 0.009026296 0.587847769 0.403125942
[7988,] 0.010491506 0.635093749 0.354414731
[7989,] 0.018244360 0.292429000 0.689326704
[7990,] 0.146638960 0.715199232 0.138161808
[7991,] 0.074938856 0.518462420 0.406598687
[7992,] 0.082133308 0.406047732 0.511818945
[7993,] 0.053396143 0.460392982 0.486210942
[7994,] 0.009168927 0.117352277 0.873478770
[7995,] 0.016467456 0.187779322 0.795753181
[7996,] 0.472670823 0.372384161 0.154945061
[7997,] 0.062649794 0.429938048 0.507412195
[7998,] 0.135007471 0.381951332 0.483041167
[7999,] 0.331879526 0.428908914 0.239211589
[8000,] 0.055990748 0.412526369 0.531482875
[8001,] 0.135698661 0.520950615 0.343350738
[8002,] 0.037183743 0.472162962 0.490653217
[8003,] 0.254175395 0.388962835 0.356861770
[8004,] 0.320379168 0.485686362 0.193934381
[8005,] 0.090694986 0.429236442 0.480068594
[8006,] 0.032985665 0.271112025 0.695902288
[8007,] 0.042213503 0.398403198 0.559383333
[8008,] 0.048506983 0.439483196 0.512009799
[8009,] 0.040692419 0.359936208 0.599371374
[8010,] 0.029397402 0.248207703 0.722394884
[8011,] 0.093576983 0.429348111 0.477074921
[8012,] 0.185334504 0.395945698 0.418719798
[8013,] 0.106047735 0.283782065 0.610170186
[8014,] 0.008746224 0.410660475 0.580593288
[8015,] 0.081743814 0.420741796 0.497514397
[8016,] 0.061445471 0.406730562 0.531823933
[8017,] 0.029909749 0.289611667 0.680478513
[8018,] 0.012370287 0.165279582 0.822350144
[8019,] 0.044554610 0.760804832 0.194640562
[8020,] 0.017265823 0.428267658 0.554466486
[8021,] 0.063814320 0.414845198 0.521340489
[8022,] 0.044660214 0.323179454 0.632160306
[8023,] 0.314245939 0.514711142 0.171042919
[8024,] 0.032384504 0.346448809 0.621166646
[8025,] 0.074857853 0.429033667 0.496108413
[8026,] 0.292273372 0.506342947 0.201383695
[8027,] 0.016025292 0.156522870 0.827451825
[8028,] 0.084283397 0.504959166 0.410757422
[8029,] 0.083205149 0.444314092 0.472480714
[8030,] 0.012280014 0.122315988 0.865403950
[8031,] 0.044141538 0.350696474 0.605162024
[8032,] 0.007895203 0.131533206 0.860571563
[8033,] 0.075177148 0.523695529 0.401127279
[8034,] 0.163171753 0.458383501 0.378444731
[8035,] 0.087833919 0.405092657 0.507073462
[8036,] 0.290317059 0.446742773 0.262940139
[8037,] 0.223470286 0.373715997 0.402813762
[8038,] 0.092489004 0.581466973 0.326043993
[8039,] 0.589494646 0.321990132 0.088515222
[8040,] 0.094913311 0.569329083 0.335757583
[8041,] 0.209463358 0.325441331 0.465095311
[8042,] 0.008154543 0.489611864 0.502233565
[8043,] 0.117548011 0.511428118 0.371023864
[8044,] 0.019645214 0.638732612 0.341622114
[8045,] 0.079282366 0.575633287 0.345084310
[8046,] 0.063376769 0.576691747 0.359931499
[8047,] 0.177724674 0.521096826 0.301178515
[8048,] 0.077982165 0.352028012 0.569989800
[8049,] 0.065369971 0.313302755 0.621327281
[8050,] 0.023998013 0.280312628 0.695689321
[8051,] 0.038397022 0.463519037 0.498083919
[8052,] 0.044048406 0.555809915 0.400141686
[8053,] 0.146527752 0.522491872 0.330980390
[8054,] 0.236250326 0.536578119 0.227171600
[8055,] 0.050458647 0.352523565 0.597017765
[8056,] 0.072965249 0.391493976 0.535540760
[8057,] 0.071803816 0.399110585 0.529085636
[8058,] 0.028217152 0.303173274 0.668609619
[8059,] 0.058713965 0.433397740 0.507888317
[8060,] 0.060714122 0.402897030 0.536388814
[8061,] 0.027412634 0.429529011 0.543058336
[8062,] 0.157554999 0.438367486 0.404077500
[8063,] 0.234695137 0.456913590 0.308391333
[8064,] 0.079622798 0.412501991 0.507875204
[8065,] 0.027140394 0.396936417 0.575923204
[8066,] 0.006496638 0.035101574 0.958401799
[8067,] 0.077568740 0.541574419 0.380856842
[8068,] 0.047244009 0.264357328 0.688398659
[8069,] 0.048863076 0.450657487 0.500479460
[8070,] 0.227648899 0.406956851 0.365394205
[8071,] 0.056264795 0.455593437 0.488141835
[8072,] 0.105363585 0.389066219 0.505570173
[8073,] 0.083344877 0.487485796 0.429169297
[8074,] 0.031310104 0.437240332 0.531449556
[8075,] 0.007344239 0.053228997 0.939426720
[8076,] 0.299102932 0.427513182 0.273383886
[8077,] 0.122653402 0.442265034 0.435081571
[8078,] 0.332055807 0.452650696 0.215293467
[8079,] 0.049192317 0.370371133 0.580436587
[8080,] 0.129476741 0.467304528 0.403218687
[8081,] 0.041066315 0.521437347 0.437496364
[8082,] 0.015232453 0.156248957 0.828518569
[8083,] 0.378357708 0.354341060 0.267301202
[8084,] 0.305472463 0.471812546 0.222714990
[8085,] 0.130686671 0.422522992 0.446790367
[8086,] 0.072210871 0.514381170 0.413407981
[8087,] 0.074604876 0.385497659 0.539897442
[8088,] 0.205909565 0.543829679 0.250260770
[8089,] 0.135289297 0.421159357 0.443551302
[8090,] 0.051928412 0.284437746 0.663633883
[8091,] 0.075795278 0.509639621 0.414565086
[8092,] 0.083939955 0.476973116 0.439086974
[8093,] 0.035720523 0.617771089 0.346508384
[8094,] 0.014454488 0.221565321 0.763980210
[8095,] 0.058016241 0.407739609 0.534244180
[8096,] 0.101235233 0.563569963 0.335194826
[8097,] 0.044799548 0.366067052 0.589133382
[8098,] 0.041595917 0.572877645 0.385526448
[8099,] 0.014702630 0.280866116 0.704431236
[8100,] 0.509325564 0.312226713 0.178447723
[8101,] 0.168387026 0.435664833 0.395948172
[8102,] 0.094674803 0.508025289 0.397299916
[8103,] 0.582057357 0.328828573 0.089114077
[8104,] 0.044403829 0.362823874 0.592772305
[8105,] 0.031590328 0.134929940 0.833479762
[8106,] 0.090128608 0.378589690 0.531281710
[8107,] 0.056957118 0.436557204 0.506485641
[8108,] 0.023095639 0.311294824 0.665609539
[8109,] 0.040105235 0.296555191 0.663339555
[8110,] 0.047958434 0.266796589 0.685244977
[8111,] 0.074091598 0.401945114 0.523963273
[8112,] 0.014576573 0.064751945 0.920671463
[8113,] 0.065730475 0.402024984 0.532244503
[8114,] 0.225494802 0.523430765 0.251074433
[8115,] 0.101054259 0.492344171 0.406601638
[8116,] 0.104653209 0.444343150 0.451003671
[8117,] 0.021282533 0.538535535 0.440181911
[8118,] 0.031023866 0.696363807 0.272612303
[8119,] 0.119963586 0.390694559 0.489341885
[8120,] 0.022804976 0.302115053 0.675080001
[8121,] 0.087228596 0.434965223 0.477806240
[8122,] 0.028312646 0.363577873 0.608109534
[8123,] 0.008334441 0.526625097 0.465040445
[8124,] 0.052198730 0.325010121 0.622791171
[8125,] 0.124256656 0.504688203 0.371055156
[8126,] 0.018406475 0.291277736 0.690315783
[8127,] 0.026275001 0.296089590 0.677635431
[8128,] 0.103915311 0.587615728 0.308468938
[8129,] 0.029398644 0.802119076 0.168482304
[8130,] 0.048372321 0.388456643 0.563171029
[8131,] 0.142049685 0.491769612 0.366180658
[8132,] 0.059328131 0.420041561 0.520630300
[8133,] 0.030058054 0.376327991 0.593613923
[8134,] 0.179286852 0.447197527 0.373515666
[8135,] 0.074020669 0.555839002 0.370140344
[8136,] 0.076166019 0.337962925 0.585871041
[8137,] 0.043421984 0.413427740 0.543150246
[8138,] 0.287648231 0.348030627 0.364321113
[8139,] 0.018482367 0.637470543 0.344047099
[8140,] 0.227016523 0.539818287 0.233165190
[8141,] 0.172489017 0.474327177 0.353183776
[8142,] 0.067804135 0.403015256 0.529180646
[8143,] 0.010680148 0.338032812 0.651287079
[8144,] 0.188731715 0.543299079 0.267969221
[8145,] 0.060318395 0.356084257 0.583597362
[8146,] 0.314754814 0.596635044 0.088610180
[8147,] 0.101262666 0.387617409 0.511119902
[8148,] 0.076213054 0.349817306 0.573969603
[8149,] 0.132482141 0.591711760 0.275806099
[8150,] 0.046754308 0.342349589 0.610896051
[8151,] 0.115981199 0.430323929 0.453694850
[8152,] 0.029319454 0.314718902 0.655961633
[8153,] 0.139960751 0.405174434 0.454864830
[8154,] 0.128419414 0.561498165 0.310082436
[8155,] 0.084611237 0.439256221 0.476132542
[8156,] 0.453897029 0.435222358 0.110880651
[8157,] 0.076055661 0.470208079 0.453736246
[8158,] 0.061824698 0.524986863 0.413188457
[8159,] 0.222317740 0.530056477 0.247625738
[8160,] 0.217893273 0.582779944 0.199326783
[8161,] 0.151654273 0.537036180 0.311309546
[8162,] 0.105464570 0.368257523 0.526277900
[8163,] 0.009600662 0.363745540 0.626653790
[8164,] 0.203060642 0.377508759 0.419430554
[8165,] 0.062700622 0.405683994 0.531615376
[8166,] 0.253671348 0.458151788 0.288176864
[8167,] 0.105201840 0.333137512 0.561660707
[8168,] 0.030128932 0.296254039 0.673617005
[8169,] 0.009074097 0.149581045 0.841344893
[8170,] 0.218662545 0.422482073 0.358855367
[8171,] 0.036719516 0.215169713 0.748110771
[8172,] 0.010420473 0.042676967 0.946902573
[8173,] 0.323064417 0.345827579 0.331108004
[8174,] 0.117842823 0.404821694 0.477335483
[8175,] 0.017533831 0.291151255 0.691314936
[8176,] 0.068160914 0.425503850 0.506335199
[8177,] 0.034033399 0.466161638 0.499805003
[8178,] 0.225868285 0.443129033 0.331002742
[8179,] 0.165776044 0.607798815 0.226425201
[8180,] 0.063565142 0.343827873 0.592607021
[8181,] 0.009247242 0.312970728 0.677781999
[8182,] 0.089516468 0.452663869 0.457819641
[8183,] 0.233200014 0.455868870 0.310931087
[8184,] 0.051237717 0.364202619 0.584559619
[8185,] 0.012800057 0.442846358 0.544353545
[8186,] 0.047212999 0.309932798 0.642854154
[8187,] 0.045057911 0.347203016 0.607739091
[8188,] 0.153982863 0.457780659 0.388236523
[8189,] 0.374103993 0.329373628 0.296522349
[8190,] 0.016781490 0.196625799 0.786592662
[8191,] 0.180228293 0.582307518 0.237464219
[8192,] 0.142815039 0.699605465 0.157579541
[8193,] 0.191874519 0.431013644 0.377111912
[8194,] 0.094427958 0.434485763 0.471086234
[8195,] 0.604777694 0.322699249 0.072523065
[8196,] 0.016906952 0.337800860 0.645292163
[8197,] 0.070583984 0.387116939 0.542299092
[8198,] 0.679362714 0.256882399 0.063754886
[8199,] 0.053105276 0.118435107 0.828459561
[8200,] 0.123683117 0.501865208 0.374451697
[8201,] 0.059097756 0.429661274 0.511240959
[8202,] 0.023834607 0.197319686 0.778845668
[8203,] 0.102374196 0.345287979 0.552337825
[8204,] 0.084563836 0.387729436 0.527706742
[8205,] 0.074479163 0.312485009 0.613035798
[8206,] 0.116441548 0.452603132 0.430955350
[8207,] 0.073383026 0.347458422 0.579158545
[8208,] 0.052136198 0.426545888 0.521317899
[8209,] 0.016202062 0.374868661 0.608929217
[8210,] 0.055014808 0.398111820 0.546873391
[8211,] 0.012455300 0.612294555 0.375250131
[8212,] 0.069896199 0.527806044 0.402297795
[8213,] 0.009852260 0.038866960 0.951280773
[8214,] 0.032058649 0.183739692 0.784201682
[8215,] 0.097861893 0.518117845 0.384020239
[8216,] 0.021047082 0.218332320 0.760620654
[8217,] 0.041531760 0.251602978 0.706865251
[8218,] 0.114434771 0.476859540 0.408705711
[8219,] 0.108212635 0.588596940 0.303190440
[8220,] 0.352948189 0.496953219 0.150098637
[8221,] 0.022125887 0.518822730 0.459051400
[8222,] 0.280056775 0.533638179 0.186305061
[8223,] 0.030184608 0.300870776 0.668944597
[8224,] 0.508568048 0.287663221 0.203768745
[8225,] 0.769927263 0.211833775 0.018238930
[8226,] 0.847909153 0.140305847 0.011784993
[8227,] 0.097781315 0.185225308 0.716993392
[8228,] 0.019890128 0.272231400 0.707878530
[8229,] 0.149310946 0.387643069 0.463045985
[8230,] 0.019068792 0.290815711 0.690115511
[8231,] 0.036249645 0.536967397 0.426782966
[8232,] 0.304335892 0.493821502 0.201842666
[8233,] 0.031217268 0.283389121 0.685393631
[8234,] 0.019114258 0.253166944 0.727718771
[8235,] 0.039443165 0.316293031 0.644263804
[8236,] 0.255495608 0.571923196 0.172581181
[8237,] 0.409388095 0.428324908 0.162286952
[8238,] 0.071705513 0.479541391 0.448753029
[8239,] 0.024277924 0.291389227 0.684332848
[8240,] 0.302788794 0.345923096 0.351288110
[8241,] 0.052320350 0.357403159 0.590276480
[8242,] 0.699375749 0.237033591 0.063590616
[8243,] 0.604202569 0.337204963 0.058592480
[8244,] 0.196154550 0.423233151 0.380612254
[8245,] 0.835643589 0.114406645 0.049949735
[8246,] 0.126108646 0.338959306 0.534932017
[8247,] 0.680936217 0.228033543 0.091030225
[8248,] 0.547479212 0.294108719 0.158412084
[8249,] 0.381782770 0.400294989 0.217922240
[8250,] 0.243356571 0.568272054 0.188371330
[8251,] 0.362435132 0.524390697 0.113174215
[8252,] 0.143485993 0.496875733 0.359638244
[8253,] 0.055180117 0.216067433 0.728752434
[8254,] 0.036259964 0.386612147 0.577127934
[8255,] 0.017751474 0.207988471 0.774260044
[8256,] 0.101219036 0.547623038 0.351157933
[8257,] 0.432640165 0.383909166 0.183450654
[8258,] 0.301995248 0.479366899 0.218637913
[8259,] 0.526906490 0.280653507 0.192440003
[8260,] 0.186140895 0.276722878 0.537136257
[8261,] 0.021550434 0.368219823 0.610229731
[8262,] 0.280775428 0.453342795 0.265881717
[8263,] 0.121501163 0.560780644 0.317718208
[8264,] 0.376057297 0.418532640 0.205410093
[8265,] 0.434712559 0.416142374 0.149145067
[8266,] 0.445226282 0.303284734 0.251489043
[8267,] 0.089795105 0.400634855 0.509570003
[8268,] 0.006334758 0.041757178 0.951908052
[8269,] 0.015806045 0.229641125 0.754552901
[8270,] 0.464983374 0.362720728 0.172295898
[8271,] 0.056719575 0.336319447 0.606960952
[8272,] 0.007623886 0.645636857 0.346739233
[8273,] 0.073757619 0.559174418 0.367067933
[8274,] 0.012204834 0.438947916 0.548847258
[8275,] 0.025482347 0.244436324 0.730081320
[8276,] 0.031716336 0.261199623 0.707084060
[8277,] 0.554933429 0.347670853 0.097395666
[8278,] 0.337845892 0.263228208 0.398925841
[8279,] 0.034478106 0.287920386 0.677601457
[8280,] 0.029421682 0.307980865 0.662597418
[8281,] 0.107767366 0.451476902 0.440755695
[8282,] 0.357273161 0.427060694 0.215666190
[8283,] 0.076394260 0.481267005 0.442338735
[8284,] 0.036938850 0.402143598 0.560917556
[8285,] 0.206265360 0.318394035 0.475340635
[8286,] 0.105491653 0.153536573 0.740971744
[8287,] 0.194372535 0.175007090 0.630620360
[8288,] 0.156311229 0.254867435 0.588821352
[8289,] 0.165071651 0.216506824 0.618421495
[8290,] 0.570380270 0.288175523 0.141444191
[8291,] 0.195165992 0.284015447 0.520818591
[8292,] 0.046886522 0.113848001 0.839265466
[8293,] 0.073603958 0.151274234 0.775121808
[8294,] 0.037397921 0.326548129 0.636053920
[8295,] 0.054920051 0.401336014 0.543743968
[8296,] 0.025510360 0.335812837 0.638676763
[8297,] 0.195268199 0.261610419 0.543121397
[8298,] 0.155356124 0.219703227 0.624940634
[8299,] 0.299216151 0.321459472 0.379324347
[8300,] 0.107361473 0.459133923 0.433504641
[8301,] 0.198914498 0.399845719 0.401239753
[8302,] 0.059160180 0.553222477 0.387617320
[8303,] 0.028584342 0.441099882 0.530315757
[8304,] 0.010535206 0.459144205 0.530320585
[8305,] 0.821468413 0.165608868 0.012922735
[8306,] 0.047913857 0.340340883 0.611745298
[8307,] 0.086759567 0.519370973 0.393869430
[8308,] 0.116971627 0.426368147 0.456660181
[8309,] 0.429093748 0.369405121 0.201501057
[8310,] 0.563996315 0.305477411 0.130526319
[8311,] 0.045891199 0.285582781 0.668526053
[8312,] 0.012740095 0.104381934 0.882878006
[8313,] 0.233249336 0.430440068 0.336310565
[8314,] 0.041330311 0.572491527 0.386178195
[8315,] 0.019249333 0.357387662 0.623362958
[8316,] 0.016759291 0.163107410 0.820133328
[8317,] 0.056997404 0.308885545 0.634117007
[8318,] 0.230344996 0.386121452 0.383533567
[8319,] 0.035509370 0.407749981 0.556740642
[8320,] 0.084452450 0.510648906 0.404898614
[8321,] 0.182987541 0.391684920 0.425327480
[8322,] 0.094494775 0.425142765 0.480362445
[8323,] 0.018068625 0.438187957 0.543743432
[8324,] 0.025729038 0.348103225 0.626167715
[8325,] 0.081999749 0.176993519 0.741006732
[8326,] 0.081208400 0.447302014 0.471489608
[8327,] 0.030117081 0.274808943 0.695073962
[8328,] 0.031917885 0.211524859 0.756557286
[8329,] 0.037656743 0.266854614 0.695488632
[8330,] 0.114583164 0.600120485 0.285296351
[8331,] 0.019117435 0.161703944 0.819178641
[8332,] 0.069885939 0.719501317 0.210612774
[8333,] 0.022029744 0.128824443 0.849145830
[8334,] 0.088989884 0.745694101 0.165316045
[8335,] 0.079637296 0.425834179 0.494528502
[8336,] 0.199035317 0.431904227 0.369060427
[8337,] 0.437985420 0.356182218 0.205832392
[8338,] 0.292503655 0.369218200 0.338278145
[8339,] 0.060139395 0.386137426 0.553723216
[8340,] 0.143313944 0.456017405 0.400668651
[8341,] 0.153770626 0.418260902 0.427968502
[8342,] 0.321118832 0.399867296 0.279013842
[8343,] 0.061403498 0.139254898 0.799341619
[8344,] 0.851791739 0.134888887 0.013319379
[8345,] 0.732284784 0.225490704 0.042224478
[8346,] 0.020690594 0.185809478 0.793500006
[8347,] 0.140807986 0.502857566 0.356334448
[8348,] 0.242460087 0.246691108 0.510848761
[8349,] 0.080104671 0.436755925 0.483139426
[8350,] 0.090150125 0.325744838 0.584105074
[8351,] 0.057340976 0.402102649 0.540556371
[8352,] 0.319099933 0.275059581 0.405840516
[8353,] 0.073545456 0.449721366 0.476733208
[8354,] 0.306197912 0.242976427 0.450825661
[8355,] 0.131746754 0.395325214 0.472928017
[8356,] 0.037705511 0.312858403 0.649436116
[8357,] 0.029054608 0.748394787 0.222550586
[8358,] 0.070552036 0.381681234 0.547766745
[8359,] 0.011211619 0.057526514 0.931261897
[8360,] 0.046605378 0.479015648 0.474378973
[8361,] 0.106467590 0.418665230 0.474867165
[8362,] 0.209523901 0.422005385 0.368470758
[8363,] 0.052189659 0.478909194 0.468901098
[8364,] 0.078383595 0.470012158 0.451604247
[8365,] 0.183097079 0.232654557 0.584248364
[8366,] 0.320021302 0.343621999 0.336356729
[8367,] 0.021112058 0.388823479 0.590064466
[8368,] 0.079418421 0.220182791 0.700398743
[8369,] 0.145754918 0.244080216 0.610164881
[8370,] 0.311834246 0.341471881 0.346693844
[8371,] 0.653573215 0.240579829 0.105846934
[8372,] 0.184728786 0.173206314 0.642064929
[8373,] 0.563456178 0.332646638 0.103897192
[8374,] 0.054692626 0.138649747 0.806657672
[8375,] 0.296481103 0.197742566 0.505776346
[8376,] 0.187106639 0.237608790 0.575284541
[8377,] 0.186790898 0.433283657 0.379925430
[8378,] 0.017414741 0.070920937 0.911664307
[8379,] 0.131890178 0.661946654 0.206163138
[8380,] 0.010300554 0.188888729 0.800810754
[8381,] 0.028909961 0.300398529 0.670691490
[8382,] 0.181959376 0.628947794 0.189092830
[8383,] 0.045959871 0.282749087 0.671291053
[8384,] 0.031352669 0.249102503 0.719544828
[8385,] 0.094557337 0.577495217 0.327947408
[8386,] 0.084435344 0.403167158 0.512397528
[8387,] 0.295294881 0.312927037 0.391778082
[8388,] 0.239333987 0.316165686 0.444500357
[8389,] 0.419305831 0.469946086 0.110748105
[8390,] 0.076135345 0.447699517 0.476165086
[8391,] 0.108552210 0.438805729 0.452642113
[8392,] 0.051495794 0.433370620 0.515133560
[8393,] 0.062990420 0.385659873 0.551349699
[8394,] 0.123800561 0.414306521 0.461892843
[8395,] 0.041109402 0.703611672 0.255278915
[8396,] 0.020658210 0.225292861 0.754048944
[8397,] 0.149746686 0.396831036 0.453422278
[8398,] 0.358466476 0.368905276 0.272628248
[8399,] 0.134449229 0.269522607 0.596028149
[8400,] 0.158240035 0.279405624 0.562354326
[8401,] 0.284370631 0.368802965 0.346826434
[8402,] 0.224958152 0.331626534 0.443415314
[8403,] 0.206896618 0.259933531 0.533169866
[8404,] 0.183964953 0.241535708 0.574499369
[8405,] 0.170037061 0.266130030 0.563832879
[8406,] 0.796195686 0.189932853 0.013871471
[8407,] 0.236529842 0.448759615 0.314710528
[8408,] 0.692201138 0.274215519 0.033583347
[8409,] 0.691398919 0.291002899 0.017598199
[8410,] 0.032444514 0.316257179 0.651298285
[8411,] 0.918884039 0.077361979 0.003753971
[8412,] 0.281525671 0.496686757 0.221787557
[8413,] 0.106079124 0.447618067 0.446302861
[8414,] 0.168309391 0.281260282 0.550430298
[8415,] 0.102478780 0.197957620 0.699563563
[8416,] 0.304769218 0.267689228 0.427541584
[8417,] 0.166628018 0.201477721 0.631894290
[8418,] 0.250735193 0.263359904 0.485904902
[8419,] 0.264025211 0.250020981 0.485953838
[8420,] 0.025764531 0.271514744 0.702720702
[8421,] 0.017808110 0.808398008 0.173793837
[8422,] 0.023013676 0.288630575 0.688355744
[8423,] 0.026099645 0.447331518 0.526568830
[8424,] 0.052343782 0.313860148 0.633796096
[8425,] 0.203436598 0.256649911 0.539913476
[8426,] 0.167596832 0.247574508 0.584828675
[8427,] 0.124979526 0.405823141 0.469197303
[8428,] 0.057956405 0.309352219 0.632691383
[8429,] 0.133262590 0.506566584 0.360170782
[8430,] 0.700471938 0.254600167 0.044927914
[8431,] 0.212583229 0.385936856 0.401479959
[8432,] 0.190360054 0.386381030 0.423258901
[8433,] 0.108582340 0.465430379 0.425987273
[8434,] 0.173449114 0.305180490 0.521370411
[8435,] 0.104779139 0.399536192 0.495684654
[8436,] 0.273201764 0.432664841 0.294133335
[8437,] 0.387922555 0.287472188 0.324605316
[8438,] 0.050614286 0.519214332 0.430171430
[8439,] 0.016607715 0.309731841 0.673660457
[8440,] 0.210161939 0.281110227 0.508727849
[8441,] 0.179267541 0.639139652 0.181592822
[8442,] 0.060272302 0.795773089 0.143954590
[8443,] 0.069573343 0.300563723 0.629862964
[8444,] 0.787837744 0.191577390 0.020584811
[8445,] 0.219959602 0.349140167 0.430900246
[8446,] 0.064284861 0.560160995 0.375554174
[8447,] 0.024385827 0.236469895 0.739144325
[8448,] 0.126519099 0.189904660 0.683576226
[8449,] 0.611133218 0.283390015 0.105476767
[8450,] 0.160937354 0.230074227 0.608988404
[8451,] 0.060536601 0.139414892 0.800048530
[8452,] 0.210992709 0.402680457 0.386326820
[8453,] 0.150228277 0.232517630 0.617254078
[8454,] 0.179291844 0.283251554 0.537456572
[8455,] 0.432395309 0.307666600 0.259938091
[8456,] 0.018596435 0.306010664 0.675392866
[8457,] 0.154863074 0.257980764 0.587156117
[8458,] 0.239184976 0.395218402 0.365596622
[8459,] 0.022669813 0.215064690 0.762265444
[8460,] 0.058654815 0.607031941 0.334313273
[8461,] 0.140564457 0.404310852 0.455124706
[8462,] 0.234212652 0.615169048 0.150618300
[8463,] 0.241446957 0.580993772 0.177559212
[8464,] 0.031405002 0.344627619 0.623967409
[8465,] 0.192350283 0.406103164 0.401546597
[8466,] 0.048798084 0.328268141 0.622933745
[8467,] 0.017730974 0.097750932 0.884518147
[8468,] 0.195359036 0.521257222 0.283383697
[8469,] 0.056927450 0.428127527 0.514944971
[8470,] 0.349564433 0.305754721 0.344680846
[8471,] 0.272866875 0.375483781 0.351649374
[8472,] 0.883108020 0.109609917 0.007281998
[8473,] 0.246225968 0.320271760 0.433502227
[8474,] 0.387951732 0.279478967 0.332569331
[8475,] 0.180444509 0.263594598 0.555960894
[8476,] 0.208907411 0.312054008 0.479038626
[8477,] 0.458193332 0.334686905 0.207119733
[8478,] 0.012095645 0.332278579 0.655625761
[8479,] 0.014060684 0.186234131 0.799705207
[8480,] 0.156536698 0.372729659 0.470733702
[8481,] 0.136894375 0.586426735 0.276678860
[8482,] 0.046710413 0.294842094 0.658447504
[8483,] 0.049643360 0.358179033 0.592177629
[8484,] 0.028142763 0.425454110 0.546403170
[8485,] 0.126740858 0.534872890 0.338386267
[8486,] 0.031324171 0.228594378 0.740081489
[8487,] 0.077877812 0.431846648 0.490275502
[8488,] 0.448143393 0.401922971 0.149933636
[8489,] 0.029759634 0.243005440 0.727234900
[8490,] 0.221555516 0.599663198 0.178781286
[8491,] 0.108211257 0.459128231 0.432660490
[8492,] 0.148455575 0.591579616 0.259964854
[8493,] 0.356983066 0.281706393 0.361310512
[8494,] 0.710898161 0.231604308 0.057497554
[8495,] 0.388337165 0.346871257 0.264791548
[8496,] 0.083018020 0.412412107 0.504569888
[8497,] 0.036662385 0.227669656 0.735667944
[8498,] 0.090882197 0.323633254 0.585484564
[8499,] 0.120630793 0.582850754 0.296518445
[8500,] 0.205547810 0.377264351 0.417187810
[8501,] 0.063623272 0.315740317 0.620636344
[8502,] 0.601475000 0.305734605 0.092790373
[8503,] 0.377317429 0.451244533 0.171438068
[8504,] 0.323625684 0.506836653 0.169537663
[8505,] 0.027786275 0.286865145 0.685348630
[8506,] 0.237967059 0.296305805 0.465727121
[8507,] 0.288566202 0.290167004 0.421266735
[8508,] 0.426219910 0.191663221 0.382116854
[8509,] 0.467824727 0.211073101 0.321102232
[8510,] 0.165662125 0.163728401 0.670609474
[8511,] 0.116678677 0.278231472 0.605089903
[8512,] 0.127622962 0.435121953 0.437255114
[8513,] 0.049152419 0.321402550 0.629445076
[8514,] 0.253127068 0.401161075 0.345711887
[8515,] 0.070645213 0.370150119 0.559204698
[8516,] 0.029770004 0.141020313 0.829209685
[8517,] 0.025298364 0.052558146 0.922143459
[8518,] 0.104971841 0.351321369 0.543706775
[8519,] 0.318011701 0.483439356 0.198548898
[8520,] 0.214630038 0.369352132 0.416017801
[8521,] 0.555594027 0.268086493 0.176319465
[8522,] 0.097265579 0.515106916 0.387627512
[8523,] 0.023740830 0.181329846 0.794929326
[8524,] 0.313398689 0.296219528 0.390381783
[8525,] 0.177037984 0.394440234 0.428521752
[8526,] 0.067105263 0.229404554 0.703490198
[8527,] 0.043645855 0.229281068 0.727073073
[8528,] 0.559608936 0.304101914 0.136289164
[8529,] 0.071931258 0.375645518 0.552423239
[8530,] 0.434530020 0.245272905 0.320197046
[8531,] 0.064695008 0.611308575 0.323996454
[8532,] 0.080657825 0.292631656 0.626710534
[8533,] 0.202802241 0.203515202 0.593682587
[8534,] 0.108553119 0.558237851 0.333209008
[8535,] 0.054235797 0.356159419 0.589604795
[8536,] 0.030917360 0.232507944 0.736574709
[8537,] 0.275283486 0.534278989 0.190437481
[8538,] 0.401953995 0.401103556 0.196942478
[8539,] 0.010036074 0.257607698 0.732356191
[8540,] 0.022401921 0.251351744 0.726246357
[8541,] 0.126085788 0.429104686 0.444809556
[8542,] 0.179916218 0.504445910 0.315637887
[8543,] 0.062542379 0.409950316 0.527507305
[8544,] 0.470829338 0.374279529 0.154891193
[8545,] 0.025438758 0.295708954 0.678852260
[8546,] 0.246788621 0.540837884 0.212373480
[8547,] 0.009702658 0.500577450 0.489719927
[8548,] 0.034261454 0.256425381 0.709313154
[8549,] 0.141555071 0.382846385 0.475598484
[8550,] 0.018757073 0.347887337 0.633355618
[8551,] 0.047186345 0.413130492 0.539683163
[8552,] 0.028771829 0.385231405 0.585996747
[8553,] 0.319463730 0.396427333 0.284108937
[8554,] 0.107707858 0.465398669 0.426893502
[8555,] 0.098940611 0.405849248 0.495210141
[8556,] 0.477040321 0.391193032 0.131766617
[8557,] 0.127775833 0.401660711 0.470563471
[8558,] 0.005770155 0.504729390 0.489500463
[8559,] 0.006467720 0.350472599 0.643059671
[8560,] 0.264341593 0.414524168 0.321134210
[8561,] 0.030267140 0.291445106 0.678287745
[8562,] 0.051170800 0.453609437 0.495219767
[8563,] 0.086174205 0.511806369 0.402019441
[8564,] 0.041670568 0.344499201 0.613830268
[8565,] 0.297306418 0.495687634 0.207005993
[8566,] 0.220607802 0.495292455 0.284099787
[8567,] 0.080565721 0.492105871 0.427328408
[8568,] 0.280541152 0.463172466 0.256286412
[8569,] 0.016030710 0.149948686 0.834020555
[8570,] 0.073841110 0.483473867 0.442685038
[8571,] 0.130296230 0.605187297 0.264516503
[8572,] 0.084468335 0.464375645 0.451156020
[8573,] 0.068432190 0.469819546 0.461748272
[8574,] 0.641394854 0.274405211 0.084199920
[8575,] 0.038499057 0.306866050 0.654634893
[8576,] 0.258833081 0.422068805 0.319098085
[8577,] 0.075855009 0.467112482 0.457032561
[8578,] 0.063487858 0.468707174 0.467804909
[8579,] 0.034035694 0.311025262 0.654939055
[8580,] 0.008362431 0.540827990 0.450809598
[8581,] 0.192129061 0.634655237 0.173215747
[8582,] 0.017548377 0.678034723 0.304416895
[8583,] 0.031866953 0.341457039 0.626676023
[8584,] 0.052132942 0.494500458 0.453366607
[8585,] 0.017635489 0.311874926 0.670489609
[8586,] 0.034480650 0.392421186 0.573098123
[8587,] 0.010250025 0.033746853 0.956003129
[8588,] 0.088336594 0.506640434 0.405022949
[8589,] 0.044613663 0.383251607 0.572134733
[8590,] 0.009521920 0.272509158 0.717968881
[8591,] 0.187680259 0.524997771 0.287321925
[8592,] 0.082979649 0.533005416 0.384014934
[8593,] 0.036819763 0.256984025 0.706196189
[8594,] 0.093986280 0.528660595 0.377353102
[8595,] 0.014102217 0.045681357 0.940216422
[8596,] 0.029771730 0.340509504 0.629718721
[8597,] 0.106583193 0.417781919 0.475634843
[8598,] 0.102625273 0.443861485 0.453513294
[8599,] 0.217729792 0.589050770 0.193219438
[8600,] 0.088050559 0.563473403 0.348475993
[8601,] 0.263655126 0.338628680 0.397716194
[8602,] 0.064466737 0.415930599 0.519602656
[8603,] 0.281274885 0.383310586 0.335414529
[8604,] 0.078853868 0.429105967 0.492040187
[8605,] 0.101213947 0.416922212 0.481863856
[8606,] 0.090457119 0.496918589 0.412624300
[8607,] 0.078227907 0.447491914 0.474280179
[8608,] 0.093139715 0.459401190 0.447459072
[8609,] 0.033660222 0.386122972 0.580216825
[8610,] 0.354577541 0.460509300 0.184913158
[8611,] 0.090247206 0.454239786 0.455512941
[8612,] 0.218727976 0.503458977 0.277813077
[8613,] 0.022562763 0.320956141 0.656481087
[8614,] 0.195212722 0.514111996 0.290675282
[8615,] 0.330982983 0.454377919 0.214639097
[8616,] 0.153017193 0.472321630 0.374661118
[8617,] 0.253496259 0.547062993 0.199440747
[8618,] 0.021849731 0.322605878 0.655544400
[8619,] 0.027046140 0.300134331 0.672819495
[8620,] 0.230253518 0.391919374 0.377827048
[8621,] 0.676814675 0.252285480 0.070899859
[8622,] 0.036497265 0.452311754 0.511190951
[8623,] 0.047199149 0.315837741 0.636963129
[8624,] 0.831315935 0.156865180 0.011818869
[8625,] 0.553506017 0.339560300 0.106933758
[8626,] 0.717397869 0.248964921 0.033637218
[8627,] 0.390333444 0.419078052 0.190588564
[8628,] 0.732928991 0.244771883 0.022299122
[8629,] 0.762202263 0.191583082 0.046214659
[8630,] 0.659922421 0.300655574 0.039421987
[8631,] 0.436122268 0.377528727 0.186348930
[8632,] 0.658517003 0.299735039 0.041747939
[8633,] 0.582079411 0.308392912 0.109527707
[8634,] 0.755048931 0.213783145 0.031167943
[8635,] 0.912766993 0.080162883 0.007070079
[8636,] 0.813260019 0.169060141 0.017679801
[8637,] 0.922302246 0.071836695 0.005861123
[8638,] 0.570459425 0.300078094 0.129462495
[8639,] 0.878284872 0.112820350 0.008894763
[8640,] 0.657417178 0.263906628 0.078676261
[8641,] 0.895098686 0.096976891 0.007924373
[8642,] 0.592889607 0.307577342 0.099533074
[8643,] 0.718424201 0.210868672 0.070707120
[8644,] 0.805129886 0.173340231 0.021529907
[8645,] 0.814354062 0.171440557 0.014205423
[8646,] 0.726880848 0.255229443 0.017889675
[8647,] 0.682361782 0.291573822 0.026064387
[8648,] 0.671244144 0.253789544 0.074966311
[8649,] 0.757456303 0.229429662 0.013114032
[8650,] 0.719285727 0.261544973 0.019169277
[8651,] 0.891187668 0.103182636 0.005629710
[8652,] 0.896270156 0.096837752 0.006892070
[8653,] 0.481858224 0.471372098 0.046769645
[8654,] 0.826768100 0.155868754 0.017363127
[8655,] 0.843393087 0.149014965 0.007591956
[8656,] 0.711666524 0.250358164 0.037975375
[8657,] 0.719170690 0.266357124 0.014472219
[8658,] 0.837467432 0.150453970 0.012078648
[8659,] 0.621275246 0.255148053 0.123576716
[8660,] 0.903316021 0.090590559 0.006093401
[8661,] 0.870873213 0.119316444 0.009810342
[8662,] 0.780317247 0.202641562 0.017041177
[8663,] 0.879220188 0.112579413 0.008200397
[8664,] 0.501007736 0.365501285 0.133490995
[8665,] 0.657070398 0.243765533 0.099164106
[8666,] 0.335143417 0.342615455 0.322241157
[8667,] 0.742197394 0.238831699 0.018970910
[8668,] 0.818003595 0.147903860 0.034092553
[8669,] 0.861032546 0.129966617 0.009000828
[8670,] 0.135232106 0.271280110 0.593487799
[8671,] 0.784409583 0.198015213 0.017575193
[8672,] 0.897968113 0.092857741 0.009174139
[8673,] 0.809252441 0.174332485 0.016415102
[8674,] 0.385564804 0.340033025 0.274402171
[8675,] 0.710741341 0.268373370 0.020885296
[8676,] 0.800247788 0.185996920 0.013755276
[8677,] 0.381743520 0.348572284 0.269684225
[8678,] 0.526708364 0.400496006 0.072795600
[8679,] 0.814891875 0.170662165 0.014445902
[8680,] 0.870244324 0.121186301 0.008569347
[8681,] 0.614610136 0.270589769 0.114800096
[8682,] 0.449612677 0.325708002 0.224679291
[8683,] 0.626445830 0.250808269 0.122745931
[8684,] 0.778719425 0.204279631 0.017000921
[8685,] 0.610275090 0.267655551 0.122069374
[8686,] 0.830447137 0.153539479 0.016013378
[8687,] 0.303117186 0.350318849 0.346563935
[8688,] 0.861998320 0.127059758 0.010941972
[8689,] 0.512934148 0.236313507 0.250752300
[8690,] 0.696904957 0.248177096 0.054917928
[8691,] 0.760825217 0.212520525 0.026654247
[8692,] 0.701515138 0.274103165 0.024381684
[8693,] 0.302316159 0.396140844 0.301543027
[8694,] 0.597013772 0.305732518 0.097253643
[8695,] 0.702093124 0.253910154 0.043996755
[8696,] 0.789598107 0.193918914 0.016482977
[8697,] 0.808883369 0.177998260 0.013118433
[8698,] 0.753928542 0.227348581 0.018722879
[8699,] 0.476885349 0.232345000 0.290769637
[8700,] 0.216159716 0.257547647 0.526292622
[8701,] 0.143432736 0.160850480 0.695716798
[8702,] 0.431834728 0.396775991 0.171389297
[8703,] 0.458532482 0.399427116 0.142040417
[8704,] 0.636020243 0.200749785 0.163230017
[8705,] 0.625242412 0.319312066 0.055445503
[8706,] 0.644502997 0.286084801 0.069412194
[8707,] 0.678939939 0.270328403 0.050731674
[8708,] 0.871020257 0.117339939 0.011639809
[8709,] 0.659259498 0.263253272 0.077487230
[8710,] 0.535202086 0.298313737 0.166484147
[8711,] 0.707639217 0.252868742 0.039492056
[8712,] 0.781908154 0.194607049 0.023484798
[8713,] 0.472276866 0.353184074 0.174539059
[8714,] 0.684679270 0.225412875 0.089907855
[8715,] 0.365907818 0.380684108 0.253408045
[8716,] 0.699711025 0.256160617 0.044128411
[8717,] 0.522548795 0.342252702 0.135198504
[8718,] 0.496626705 0.383564532 0.119808830
[8719,] 0.754423261 0.200570956 0.045005772
[8720,] 0.740313768 0.233599678 0.026086519
[8721,] 0.777190626 0.195000023 0.027809355
[8722,] 0.526472569 0.260696501 0.212830931
[8723,] 0.739769578 0.244584322 0.015646156
[8724,] 0.660619438 0.299648762 0.039731808
[8725,] 0.855491757 0.137816161 0.006692060
[8726,] 0.336508960 0.364109993 0.299381018
[8727,] 0.785686493 0.201570973 0.012742586
[8728,] 0.728645205 0.219777033 0.051577777
[8729,] 0.151578650 0.773740530 0.074680835
[8730,] 0.456879437 0.346399993 0.196720615
[8731,] 0.840606630 0.140942693 0.018450644
[8732,] 0.712120593 0.256640047 0.031239370
[8733,] 0.411000282 0.329272687 0.259727061
[8734,] 0.801002622 0.184589595 0.014407820
[8735,] 0.636594474 0.241094172 0.122311376
[8736,] 0.843221366 0.144830763 0.011947845
[8737,] 0.791904867 0.186815649 0.021279445
[8738,] 0.755477309 0.173763961 0.070758723
[8739,] 0.455693334 0.353505522 0.190801159
[8740,] 0.524755836 0.352603883 0.122640304
[8741,] 0.666376054 0.300916493 0.032707464
[8742,] 0.759460688 0.217444673 0.023094626
[8743,] 0.514591515 0.285039216 0.200369313
[8744,] 0.803196073 0.181335524 0.015468394
[8745,] 0.830239892 0.150866568 0.018893465
[8746,] 0.765110850 0.219060659 0.015828503
[8747,] 0.783365905 0.198122650 0.018511482
[8748,] 0.745589495 0.217750564 0.036659967
[8749,] 0.774709165 0.206900343 0.018390490
[8750,] 0.778948903 0.208157793 0.012893366
[8751,] 0.820515931 0.160770968 0.018713087
[8752,] 0.754763544 0.221594334 0.023642085
[8753,] 0.709466338 0.248892009 0.041641638
[8754,] 0.689408779 0.263898343 0.046692908
[8755,] 0.903648198 0.090919219 0.005432605
[8756,] 0.847610831 0.141286880 0.011102252
[8757,] 0.302541763 0.418586075 0.278872162
[8758,] 0.326172680 0.285739988 0.388087302
[8759,] 0.889099181 0.103920974 0.006979844
[8760,] 0.397101283 0.365356714 0.237541988
[8761,] 0.515410125 0.336654902 0.147934929
[8762,] 0.413509279 0.408561438 0.177929267
[8763,] 0.872285128 0.119884849 0.007830014
[8764,] 0.360232323 0.395798177 0.243969545
[8765,] 0.391733736 0.436536074 0.171730146
[8766,] 0.872122407 0.116170481 0.011707151
[8767,] 0.437469721 0.412577242 0.149953052
[8768,] 0.733691871 0.200530425 0.065777719
[8769,] 0.089040019 0.388381749 0.522578239
[8770,] 0.821197987 0.164298922 0.014503065
[8771,] 0.557959557 0.309719712 0.132320702
[8772,] 0.702820599 0.264862716 0.032316744
[8773,] 0.775405824 0.198039621 0.026554536
[8774,] 0.750484943 0.221271649 0.028243402
[8775,] 0.803511679 0.178172857 0.018315468
[8776,] 0.794025421 0.187789485 0.018185046
[8777,] 0.799520075 0.182224289 0.018255657
[8778,] 0.584503531 0.319651872 0.095844626
[8779,] 0.768664718 0.198054403 0.033280879
[8780,] 0.867543638 0.121195734 0.011260645
[8781,] 0.739077330 0.218828157 0.042094570
[8782,] 0.828496337 0.157624274 0.013879453
[8783,] 0.445490092 0.276546538 0.277963340
[8784,] 0.078637525 0.273720831 0.647641659
[8785,] 0.342425585 0.437307358 0.220267087
[8786,] 0.765981793 0.214777157 0.019241069
[8787,] 0.362646431 0.500420630 0.136932969
[8788,] 0.063757397 0.304001331 0.632241249
[8789,] 0.864830792 0.118517153 0.016652007
[8790,] 0.107508019 0.680981398 0.211510614
[8791,] 0.052597187 0.621867537 0.325535297
[8792,] 0.899783254 0.095181875 0.005034901
[8793,] 0.537348032 0.264754504 0.197897479
[8794,] 0.735922277 0.247163624 0.016914092
[8795,] 0.088661090 0.251093417 0.660245478
[8796,] 0.630858183 0.261300892 0.107840881
[8797,] 0.562456846 0.405761957 0.031781208
[8798,] 0.051159266 0.447110832 0.501729906
[8799,] 0.860602915 0.129491687 0.009905384
[8800,] 0.712771893 0.209454060 0.077774100
[8801,] 0.802195728 0.175128028 0.022676233
[8802,] 0.929589450 0.064238295 0.006172234
[8803,] 0.054041434 0.441624850 0.504333735
[8804,] 0.057308797 0.622919977 0.319771200
[8805,] 0.785916090 0.203334212 0.010749715
[8806,] 0.031043895 0.295848697 0.673107445
[8807,] 0.611990809 0.293485761 0.094523422
[8808,] 0.934239030 0.060375035 0.005385979
[8809,] 0.901180863 0.088034824 0.010784252
[8810,] 0.445841044 0.392262965 0.161896035
[8811,] 0.940665662 0.055727158 0.003607173
[8812,] 0.884133637 0.110385701 0.005480642
[8813,] 0.875353158 0.103078671 0.021568224
[8814,] 0.740891993 0.205046296 0.054061718
[8815,] 0.847692072 0.146562532 0.005745362
[8816,] 0.859607160 0.120734207 0.019658672
[8817,] 0.872729421 0.116094731 0.011175842
[8818,] 0.413696855 0.388087720 0.198215395
[8819,] 0.198806539 0.558586717 0.242606714
[8820,] 0.083607331 0.390116751 0.526275933
[8821,] 0.259055078 0.554671645 0.186273217
[8822,] 0.886934817 0.102620378 0.010444881
[8823,] 0.860745013 0.128143132 0.011111843
[8824,] 0.839344501 0.149560317 0.011095123
[8825,] 0.097938858 0.545075953 0.356985182
[8826,] 0.010807160 0.278684765 0.710508108
[8827,] 0.811524510 0.165053502 0.023421975
[8828,] 0.036011256 0.371108592 0.592880189
[8829,] 0.860164225 0.131308869 0.008526852
[8830,] 0.113287985 0.420644760 0.466067225
[8831,] 0.049603049 0.392625719 0.557771206
[8832,] 0.030989384 0.594249785 0.374760866
[8833,] 0.047827475 0.595486581 0.356685966
[8834,] 0.787342250 0.176592708 0.036065035
[8835,] 0.094550148 0.660979033 0.244470790
[8836,] 0.034547988 0.661449492 0.304002523
[8837,] 0.189385504 0.775320649 0.035293885
[8838,] 0.765457809 0.208148673 0.026393490
[8839,] 0.813875139 0.136329278 0.049795594
[8840,] 0.023258420 0.318448007 0.658293545
[8841,] 0.018523855 0.453797609 0.527678549
[8842,] 0.518417895 0.389577299 0.092004821
[8843,] 0.046508465 0.640603006 0.312888503
[8844,] 0.691615641 0.173838794 0.134545580
[8845,] 0.885530114 0.108406961 0.006062966
[8846,] 0.050081968 0.251029074 0.698889017
[8847,] 0.061147489 0.518365860 0.420486659
[8848,] 0.027744725 0.530559957 0.441695362
[8849,] 0.070208073 0.634294987 0.295496941
[8850,] 0.058732282 0.440890789 0.500376940
[8851,] 0.710180640 0.261473686 0.028345658
[8852,] 0.045406051 0.344889939 0.609704018
[8853,] 0.910323381 0.083423093 0.006253482
[8854,] 0.061038487 0.553374112 0.385587364
[8855,] 0.036677592 0.513855636 0.449466765
[8856,] 0.769871831 0.197435707 0.032692488
[8857,] 0.571328223 0.272024214 0.156647503
[8858,] 0.557665348 0.410318583 0.032016072
[8859,] 0.865904272 0.118373841 0.015721897
[8860,] 0.404815376 0.448256940 0.146927640
[8861,] 0.833426774 0.136100709 0.030472564
[8862,] 0.562805057 0.382878929 0.054316062
[8863,] 0.142819390 0.413933277 0.443247318
[8864,] 0.535187721 0.345934659 0.118877605
[8865,] 0.872784257 0.117734164 0.009481558
[8866,] 0.035120323 0.381344497 0.583535135
[8867,] 0.768040538 0.214591578 0.017367899
[8868,] 0.889246464 0.090965480 0.019788075
[8869,] 0.517586052 0.423644185 0.058769774
[8870,] 0.414789349 0.553562403 0.031648256
[8871,] 0.134765983 0.848641455 0.016592581
[8872,] 0.633769870 0.313620448 0.052609686
[8873,] 0.023774022 0.338939786 0.637286186
[8874,] 0.043576710 0.513253868 0.443169415
[8875,] 0.142972544 0.833394289 0.023633145
[8876,] 0.025141690 0.439627379 0.535230875
[8877,] 0.010684293 0.303207874 0.686107814
[8878,] 0.247464165 0.692006290 0.060529534
[8879,] 0.717722714 0.197165683 0.085111625
[8880,] 0.598566890 0.355428278 0.046004847
[8881,] 0.212973714 0.497218490 0.289807767
[8882,] 0.796357751 0.189887062 0.013755150
[8883,] 0.015783800 0.242897943 0.741318285
[8884,] 0.713711143 0.239407420 0.046881460
[8885,] 0.029060790 0.204822198 0.766116977
[8886,] 0.550347745 0.211380705 0.238271549
[8887,] 0.882246971 0.096187010 0.021566015
[8888,] 0.007384627 0.611669362 0.380946010
[8889,] 0.801264942 0.191359892 0.007375138
[8890,] 0.877123177 0.117657773 0.005219028
[8891,] 0.870460272 0.124543905 0.004995797
[8892,] 0.048619576 0.593264520 0.358115882
[8893,] 0.854326427 0.120647267 0.025026273
[8894,] 0.190744162 0.288397819 0.520858049
[8895,] 0.875512302 0.098803051 0.025684662
[8896,] 0.450507671 0.354488224 0.195004046
[8897,] 0.052012216 0.469282806 0.478704989
[8898,] 0.894667208 0.099646434 0.005686330
[8899,] 0.881990552 0.113643371 0.004366043
[8900,] 0.059342261 0.322836667 0.617821038
[8901,] 0.835434854 0.156698540 0.007866633
[8902,] 0.031588573 0.524425924 0.443985522
[8903,] 0.075683817 0.545116007 0.379200190
[8904,] 0.022326918 0.847077370 0.130595684
[8905,] 0.052502040 0.514740884 0.432757050
[8906,] 0.865429580 0.127262890 0.007307576
[8907,] 0.922001839 0.071930468 0.006067691
[8908,] 0.903814137 0.087762512 0.008423316
[8909,] 0.888720870 0.104472749 0.006806336
[8910,] 0.772384882 0.206601918 0.021013163
[8911,] 0.060147963 0.636929333 0.302922696
[8912,] 0.069670595 0.552429795 0.377899647
[8913,] 0.706161559 0.250198781 0.043639693
[8914,] 0.115290612 0.550069511 0.334639907
[8915,] 0.006211565 0.395665020 0.598123431
[8916,] 0.101328634 0.652918816 0.245752573
[8917,] 0.059976876 0.585956991 0.354066133
[8918,] 0.086602062 0.473590881 0.439807057
[8919,] 0.848468065 0.142167792 0.009364157
[8920,] 0.606256068 0.329902977 0.063840993
[8921,] 0.043196600 0.398250937 0.558552444
[8922,] 0.027120728 0.525238872 0.447640389
[8923,] 0.726508915 0.209979668 0.063511401
[8924,] 0.041008148 0.343818992 0.615172863
[8925,] 0.740194559 0.235750437 0.024055030
[8926,] 0.228694648 0.529442012 0.241863385
[8927,] 0.025134234 0.331609160 0.643256545
[8928,] 0.057213124 0.565065742 0.377721190
[8929,] 0.419337213 0.378702730 0.201960087
[8930,] 0.828802705 0.153676718 0.017520603
[8931,] 0.866712630 0.122736722 0.010550623
[8932,] 0.923364937 0.070027143 0.006607933
[8933,] 0.049199130 0.481395870 0.469405055
[8934,] 0.850839496 0.134869158 0.014291286
[8935,] 0.841862559 0.132037312 0.026100149
[8936,] 0.653225064 0.322093070 0.024681849
[8937,] 0.086135991 0.580946743 0.332917273
[8938,] 0.713388562 0.164490879 0.122120567
[8939,] 0.730100811 0.206594899 0.063304320
[8940,] 0.050263338 0.426265657 0.523470998
[8941,] 0.062655456 0.500306845 0.437037706
[8942,] 0.883914173 0.096673414 0.019412434
[8943,] 0.006901313 0.691774070 0.301324636
[8944,] 0.776436031 0.185882241 0.037681747
[8945,] 0.809384525 0.180024281 0.010591174
[8946,] 0.591476142 0.381630033 0.026893817
[8947,] 0.868536592 0.102665536 0.028797818
[8948,] 0.709844649 0.246185958 0.043969404
[8949,] 0.794101536 0.193115830 0.012782617
[8950,] 0.925071120 0.070981286 0.003947594
[8951,] 0.780178368 0.208850875 0.010970761
[8952,] 0.701698899 0.278897315 0.019403802
[8953,] 0.075461581 0.647317827 0.277220577
[8954,] 0.674749553 0.288755327 0.036495108
[8955,] 0.861543179 0.124170192 0.014286604
[8956,] 0.791993499 0.189544424 0.018462131
[8957,] 0.015079527 0.279772997 0.705147505
[8958,] 0.943917096 0.053001918 0.003080980
[8959,] 0.664155424 0.323626846 0.012217697
[8960,] 0.070173532 0.685652912 0.244173557
[8961,] 0.717719018 0.248712122 0.033568885
[8962,] 0.229105562 0.609896064 0.160998344
[8963,] 0.571171343 0.308085531 0.120743141
[8964,] 0.796568334 0.187369257 0.016062405
[8965,] 0.017535392 0.616623998 0.365840614
[8966,] 0.022644943 0.466075093 0.511280000
[8967,] 0.044776391 0.356579870 0.598643720
[8968,] 0.012721374 0.318683952 0.668594658
[8969,] 0.925324798 0.070002645 0.004672568
[8970,] 0.059149083 0.581678212 0.359172761
[8971,] 0.353750974 0.610121250 0.036127765
[8972,] 0.918440640 0.073799446 0.007759907
[8973,] 0.008092778 0.504146576 0.487760663
[8974,] 0.795740783 0.148155451 0.056103781
[8975,] 0.909948707 0.083705835 0.006345487
[8976,] 0.855452895 0.133745328 0.010801765
[8977,] 0.005208384 0.620946467 0.373845130
[8978,] 0.019740164 0.235478893 0.744780958
[8979,] 0.104541540 0.643087924 0.252370536
[8980,] 0.041621625 0.714400411 0.243977979
[8981,] 0.922150731 0.073283710 0.004565573
[8982,] 0.947865069 0.048255488 0.003879397
[8983,] 0.042382266 0.449088514 0.508529246
[8984,] 0.735873103 0.222200766 0.041926123
[8985,] 0.321466208 0.333465517 0.345068246
[8986,] 0.559935272 0.379736781 0.060327962
[8987,] 0.928346753 0.065238826 0.006414434
[8988,] 0.812529802 0.172441408 0.015028770
[8989,] 0.750094891 0.218051136 0.031853955
[8990,] 0.529844403 0.322739691 0.147415906
[8991,] 0.826529980 0.161711380 0.011758612
[8992,] 0.868265450 0.122836754 0.008897773
[8993,] 0.523673594 0.325011879 0.151314497
[8994,] 0.872751117 0.117857367 0.009391489
[8995,] 0.050929759 0.550376177 0.398694038
[8996,] 0.910307944 0.085242197 0.004449804
[8997,] 0.079961404 0.477643102 0.442395478
[8998,] 0.897139549 0.097825252 0.005035237
[8999,] 0.689245224 0.293786854 0.016967954
[9000,] 0.853914917 0.132414252 0.013670906
[9001,] 0.879873931 0.112642169 0.007483932
[9002,] 0.612134695 0.291868627 0.095996715
[9003,] 0.824968338 0.164240897 0.010790792
[9004,] 0.811843991 0.179802895 0.008353124
[9005,] 0.041178636 0.380758673 0.578062654
[9006,] 0.806433082 0.174716324 0.018850606
[9007,] 0.414649040 0.466187924 0.119162984
[9008,] 0.474991739 0.493659049 0.031349190
[9009,] 0.751017869 0.201447800 0.047534324
[9010,] 0.683468580 0.300333291 0.016198147
[9011,] 0.036378540 0.332528025 0.631093442
[9012,] 0.873516500 0.120241471 0.006241955
[9013,] 0.886067927 0.100359946 0.013572077
[9014,] 0.935172558 0.057688039 0.007139439
[9015,] 0.876633167 0.114817858 0.008548971
[9016,] 0.940723658 0.052156668 0.007119711
[9017,] 0.801964045 0.187037736 0.010998250
[9018,] 0.753207266 0.207314953 0.039477773
[9019,] 0.776391864 0.212094933 0.011513185
[9020,] 0.015953971 0.396591723 0.587454319
[9021,] 0.744777799 0.194814414 0.060407784
[9022,] 0.100238726 0.402996063 0.496765286
[9023,] 0.548176229 0.439368933 0.012454825
[9024,] 0.020737195 0.436332315 0.542930484
[9025,] 0.032999180 0.439793736 0.527207136
[9026,] 0.385866225 0.530505300 0.083628453
[9027,] 0.793666720 0.197586566 0.008746685
[9028,] 0.656001985 0.277261615 0.066736400
[9029,] 0.768178761 0.195222348 0.036598887
[9030,] 0.743002415 0.227986157 0.029011453
[9031,] 0.862316251 0.122698024 0.014985730
[9032,] 0.827666461 0.159607694 0.012725819
[9033,] 0.884746432 0.107283741 0.007969817
[9034,] 0.895147800 0.098579951 0.006272298
[9035,] 0.029255364 0.414926112 0.555818498
[9036,] 0.852740884 0.138375148 0.008883971
[9037,] 0.743051887 0.238999546 0.017948516
[9038,] 0.008148025 0.144992933 0.846859038
[9039,] 0.028523970 0.242200375 0.729275703
[9040,] 0.037301362 0.294973999 0.667724669
[9041,] 0.744145989 0.214307711 0.041546322
[9042,] 0.355687678 0.364945263 0.279367059
[9043,] 0.619901359 0.307725668 0.072373025
[9044,] 0.887265205 0.091454908 0.021279899
[9045,] 0.815749228 0.148498759 0.035752010
[9046,] 0.822099447 0.158491164 0.019409448
[9047,] 0.741283178 0.209395945 0.049320921
[9048,] 0.901846886 0.092195727 0.005957416
[9049,] 0.817794740 0.165325046 0.016880261
[9050,] 0.732216358 0.176533774 0.091249891
[9051,] 0.716644347 0.237794399 0.045561247
[9052,] 0.021768028 0.417354256 0.560877740
[9053,] 0.085133053 0.700226307 0.214640692
[9054,] 0.885047913 0.110658526 0.004293562
[9055,] 0.047511060 0.490820140 0.461668760
[9056,] 0.086716041 0.596263468 0.317020446
[9057,] 0.652641773 0.246876583 0.100481682
[9058,] 0.039606415 0.413438439 0.546955168
[9059,] 0.866943538 0.117238931 0.015817549
[9060,] 0.744973242 0.245672286 0.009354431
[9061,] 0.809982598 0.141901970 0.048115421
[9062,] 0.063436218 0.622157931 0.314405829
[9063,] 0.883671522 0.105006486 0.011322013
[9064,] 0.889883876 0.100463569 0.009652548
[9065,] 0.822768927 0.163308367 0.013922665
[9066,] 0.671502173 0.319210529 0.009287290
[9067,] 0.582279265 0.295226455 0.122494258
[9068,] 0.586163402 0.226790279 0.187046334
[9069,] 0.127806515 0.466549933 0.405643523
[9070,] 0.745992184 0.217920437 0.036087405
[9071,] 0.022213640 0.413353682 0.564432681
[9072,] 0.890102386 0.104813047 0.005084508
[9073,] 0.923291564 0.070437521 0.006270965
[9074,] 0.781594932 0.144135505 0.074269623
[9075,] 0.811976433 0.136471182 0.051552404
[9076,] 0.063701302 0.606559694 0.329738975
[9077,] 0.594208896 0.324674964 0.081116118
[9078,] 0.555457413 0.396348596 0.048194032
[9079,] 0.021081019 0.370319575 0.608599424
[9080,] 0.517339170 0.378968030 0.103692785
[9081,] 0.835567653 0.129692912 0.034739465
[9082,] 0.067774780 0.430388808 0.501836419
[9083,] 0.594907463 0.275506735 0.129585817
[9084,] 0.866666555 0.122361086 0.010972343
[9085,] 0.069069892 0.566212296 0.364717782
[9086,] 0.575737298 0.393084347 0.031178340
[9087,] 0.058276191 0.594320476 0.347403288
[9088,] 0.062814921 0.419367343 0.517817736
[9089,] 0.577439547 0.358990788 0.063569665
[9090,] 0.022420745 0.385148138 0.592431068
[9091,] 0.458550543 0.349018633 0.192430884
[9092,] 0.857686341 0.123850547 0.018463140
[9093,] 0.022663381 0.463922799 0.513413846
[9094,] 0.053466756 0.570354521 0.376178741
[9095,] 0.043738838 0.377999812 0.578261375
[9096,] 0.841901183 0.126614824 0.031484000
[9097,] 0.036254391 0.370345533 0.593400061
[9098,] 0.017799396 0.564846694 0.417353898
[9099,] 0.782983363 0.205317199 0.011699469
[9100,] 0.059257522 0.633893013 0.306849420
[9101,] 0.782060742 0.190231606 0.027707646
[9102,] 0.763648450 0.222408965 0.013942561
[9103,] 0.779584527 0.183310553 0.037104931
[9104,] 0.548194826 0.363277555 0.088527575
[9105,] 0.056491770 0.324297041 0.619211197
[9106,] 0.289068103 0.441996157 0.268935770
[9107,] 0.871239483 0.121060468 0.007700093
[9108,] 0.813532114 0.152275875 0.034192007
[9109,] 0.282384187 0.558456182 0.159159690
[9110,] 0.053740118 0.625286937 0.320972949
[9111,] 0.555252314 0.389668852 0.055078849
[9112,] 0.074977636 0.490504205 0.434518158
[9113,] 0.660589993 0.295978993 0.043430977
[9114,] 0.508662403 0.417397439 0.073940158
[9115,] 0.734520972 0.208035707 0.057443287
[9116,] 0.015881924 0.205436602 0.778681517
[9117,] 0.040540081 0.286283255 0.673176646
[9118,] 0.025424808 0.259331495 0.715243638
[9119,] 0.047619879 0.552288592 0.400091529
[9120,] 0.030980220 0.590755820 0.378263980
[9121,] 0.119014412 0.749074996 0.131910533
[9122,] 0.621001065 0.255710393 0.123288549
[9123,] 0.724242270 0.253278077 0.022479612
[9124,] 0.912194908 0.083302401 0.004502683
[9125,] 0.298956722 0.207363412 0.493679851
[9126,] 0.020041436 0.400665104 0.579293430
[9127,] 0.634943664 0.348926246 0.016130120
[9128,] 0.047141958 0.603378057 0.349480003
[9129,] 0.043982994 0.521893859 0.434123129
[9130,] 0.596194267 0.292269140 0.111536629
[9131,] 0.021222893 0.182620764 0.796156347
[9132,] 0.790838540 0.146071717 0.063089699
[9133,] 0.044995692 0.420261800 0.534742475
[9134,] 0.036243934 0.221427277 0.742328823
[9135,] 0.044712882 0.465495706 0.489791453
[9136,] 0.428698182 0.311986238 0.259315550
[9137,] 0.684092939 0.298363358 0.017543711
[9138,] 0.019739989 0.455489337 0.524770677
[9139,] 0.041384369 0.628325880 0.330289781
[9140,] 0.059354078 0.588016629 0.352629274
[9141,] 0.038709588 0.627407014 0.333883405
[9142,] 0.024658713 0.413153082 0.562188208
[9143,] 0.884627640 0.108676851 0.006695502
[9144,] 0.784154892 0.167888016 0.047957137
[9145,] 0.694255888 0.291532964 0.014211114
[9146,] 0.038852572 0.313118815 0.648028612
[9147,] 0.076374918 0.530389130 0.393235981
[9148,] 0.893227041 0.093098380 0.013674553
[9149,] 0.905098855 0.088170089 0.006731128
[9150,] 0.010103481 0.659755588 0.330140978
[9151,] 0.053124167 0.436887592 0.509988189
[9152,] 0.835850060 0.142042339 0.022107610
[9153,] 0.739264965 0.173076317 0.087658703
[9154,] 0.832478940 0.133112803 0.034408245
[9155,] 0.056294482 0.559627771 0.384077728
[9156,] 0.055895712 0.521842003 0.422262311
[9157,] 0.896435559 0.093305305 0.010259165
[9158,] 0.011443547 0.558284461 0.430272013
[9159,] 0.687017679 0.232622802 0.080359533
[9160,] 0.856868207 0.133681476 0.009450315
[9161,] 0.044044055 0.458387971 0.497568041
[9162,] 0.058711804 0.555768311 0.385519862
[9163,] 0.037454683 0.422435850 0.540109515
[9164,] 0.017057886 0.363737792 0.619204283
[9165,] 0.781252205 0.138503253 0.080244601
[9166,] 0.630514085 0.291046202 0.078439735
[9167,] 0.052016366 0.386206895 0.561776757
[9168,] 0.030144721 0.543341577 0.426513702
[9169,] 0.689516604 0.275735706 0.034747709
[9170,] 0.873102129 0.114441596 0.012456307
[9171,] 0.064191125 0.580225885 0.355582952
[9172,] 0.026230622 0.481278986 0.492490351
[9173,] 0.041182496 0.633974195 0.324843258
[9174,] 0.277733386 0.564102888 0.158163756
[9175,] 0.793760061 0.186594263 0.019645656
[9176,] 0.008349753 0.298740804 0.692909420
[9177,] 0.033519518 0.298016697 0.668463826
[9178,] 0.167619422 0.471460283 0.360920340
[9179,] 0.076728582 0.555620670 0.367650747
[9180,] 0.234508440 0.325047284 0.440444320
[9181,] 0.074634582 0.591516197 0.333849192
[9182,] 0.035500247 0.376170039 0.588329732
[9183,] 0.064254284 0.466643244 0.469102532
[9184,] 0.140610859 0.316814989 0.542574167
[9185,] 0.062555842 0.612977803 0.324466348
[9186,] 0.052535869 0.457426578 0.490037501
[9187,] 0.232888818 0.504327893 0.262783259
[9188,] 0.012736867 0.088855110 0.898407996
[9189,] 0.062677197 0.484923869 0.452398866
[9190,] 0.041962318 0.720124304 0.237913340
[9191,] 0.083989799 0.300494939 0.615515232
[9192,] 0.255393535 0.592240930 0.152365506
[9193,] 0.084050462 0.377982497 0.537967086
[9194,] 0.013858883 0.325099051 0.661042094
[9195,] 0.042781975 0.491346717 0.465871304
[9196,] 0.043086965 0.460944325 0.495968729
[9197,] 0.063172206 0.610415399 0.326412410
[9198,] 0.061035018 0.547494113 0.391470879
[9199,] 0.006632887 0.434368283 0.558998883
[9200,] 0.043797154 0.357873678 0.598329186
[9201,] 0.033954784 0.383944273 0.582100928
[9202,] 0.041633721 0.464005679 0.494360596
[9203,] 0.021697270 0.530451238 0.447851539
[9204,] 0.015856791 0.429656714 0.554486454
[9205,] 0.059644330 0.595836103 0.344519556
[9206,] 0.874530256 0.115714781 0.009754973
[9207,] 0.081396744 0.326388538 0.592214763
[9208,] 0.022274259 0.299287736 0.678438008
[9209,] 0.880652070 0.103763968 0.015584012
[9210,] 0.087373644 0.284316748 0.628309608
[9211,] 0.659470022 0.306523323 0.034006681
[9212,] 0.894419074 0.097984955 0.007595984
[9213,] 0.023571942 0.243380725 0.733047307
[9214,] 0.013710214 0.299301803 0.686987996
[9215,] 0.079195358 0.512723505 0.408081144
[9216,] 0.007707165 0.442313015 0.549979806
[9217,] 0.052022748 0.652079403 0.295897812
[9218,] 0.017844820 0.369151145 0.613004029
[9219,] 0.690679431 0.277259290 0.032061215
[9220,] 0.851733327 0.141628981 0.006637719
[9221,] 0.568399131 0.327801168 0.103799708
[9222,] 0.869253993 0.119753987 0.010992042
[9223,] 0.306903332 0.529892266 0.163204372
[9224,] 0.088692479 0.266842067 0.644465446
[9225,] 0.640023828 0.264375299 0.095600866
[9226,] 0.024283750 0.568000615 0.407715648
[9227,] 0.042217955 0.475605428 0.482176632
[9228,] 0.723130226 0.215888962 0.060980812
[9229,] 0.909616888 0.085561842 0.004821232
[9230,] 0.029280959 0.457593858 0.513125181
[9231,] 0.052865874 0.571621835 0.375512302
[9232,] 0.450259656 0.473624706 0.076115571
[9233,] 0.738150060 0.237227738 0.024622194
[9234,] 0.025648449 0.716505349 0.257846177
[9235,] 0.392103463 0.330883175 0.277013391
[9236,] 0.521298289 0.227817848 0.250883847
[9237,] 0.202012613 0.447170049 0.350817323
[9238,] 0.782025993 0.158924729 0.059049319
[9239,] 0.598789096 0.299982816 0.101228118
[9240,] 0.050337348 0.540617108 0.409045517
[9241,] 0.018479150 0.227478743 0.754042089
[9242,] 0.035107158 0.612138152 0.352754742
[9243,] 0.007481078 0.661439896 0.331078976
[9244,] 0.040384557 0.459418058 0.500197411
[9245,] 0.043921582 0.519343674 0.436734736
[9246,] 0.016969610 0.283593237 0.699437082
[9247,] 0.093448542 0.540815353 0.365736097
[9248,] 0.037283260 0.539319456 0.423397273
[9249,] 0.109982841 0.607692480 0.282324642
[9250,] 0.039309964 0.515002847 0.445687205
[9251,] 0.109051265 0.671921670 0.219027102
[9252,] 0.915126443 0.070824653 0.014048875
[9253,] 0.905713618 0.088312015 0.005974356
[9254,] 0.037903070 0.484655589 0.477441311
[9255,] 0.026378894 0.305293977 0.668327093
[9256,] 0.032703258 0.653546274 0.313750446
[9257,] 0.022303738 0.547567904 0.430128366
[9258,] 0.044725694 0.385254711 0.570019603
[9259,] 0.042084601 0.692477822 0.265437573
[9260,] 0.102010325 0.481511801 0.416477919
[9261,] 0.106736012 0.584454954 0.308809042
[9262,] 0.035939973 0.575438261 0.388621777
[9263,] 0.018765669 0.434718907 0.546515405
[9264,] 0.336905658 0.162015051 0.501079261
[9265,] 0.482225120 0.406518817 0.111256033
[9266,] 0.591903687 0.300082147 0.108014114
[9267,] 0.160620481 0.405666560 0.433712989
[9268,] 0.023015652 0.838434696 0.138549611
[9269,] 0.045938428 0.475020170 0.479041398
[9270,] 0.034109112 0.465440780 0.500450134
[9271,] 0.042175390 0.436233759 0.521590829
[9272,] 0.173166871 0.612265348 0.214567780
[9273,] 0.030381367 0.629845083 0.339773566
[9274,] 0.835269988 0.130412832 0.034317244
[9275,] 0.863616168 0.127026662 0.009357154
[9276,] 0.047767300 0.521580696 0.430652022
[9277,] 0.030400170 0.721027792 0.248572066
[9278,] 0.093378432 0.541584253 0.365037262
[9279,] 0.050548989 0.521941364 0.427509636
[9280,] 0.055971775 0.431246847 0.512781382
[9281,] 0.067906223 0.459232628 0.472861171
[9282,] 0.074930646 0.580822527 0.344246864
[9283,] 0.061208606 0.554472506 0.384318948
[9284,] 0.180397943 0.543573022 0.276029050
[9285,] 0.040598381 0.355344445 0.604057193
[9286,] 0.251346529 0.206026077 0.542627394
[9287,] 0.043213788 0.456733525 0.500052691
[9288,] 0.034876011 0.537890315 0.427233666
[9289,] 0.341045082 0.411483020 0.247471958
[9290,] 0.047581993 0.562448323 0.389969707
[9291,] 0.042331714 0.289049923 0.668618381
[9292,] 0.059451479 0.320560724 0.619987786
[9293,] 0.010628819 0.399814487 0.589556694
[9294,] 0.040731482 0.579554319 0.379714191
[9295,] 0.042705320 0.467789263 0.489505470
[9296,] 0.055954583 0.512437761 0.431607604
[9297,] 0.012588873 0.501514137 0.485897005
[9298,] 0.894074261 0.099152707 0.006773063
[9299,] 0.036908694 0.363513112 0.599578202
[9300,] 0.014199909 0.307628572 0.678171515
[9301,] 0.057228107 0.718838334 0.223933592
[9302,] 0.290617585 0.234034285 0.475348175
[9303,] 0.064521112 0.385473400 0.550005496
[9304,] 0.345180303 0.311102629 0.343717098
[9305,] 0.764771640 0.194222897 0.041005448
[9306,] 0.109000593 0.646008432 0.244991004
[9307,] 0.043015014 0.439874589 0.517110407
[9308,] 0.040098477 0.424914181 0.534987330
[9309,] 0.046708398 0.563250721 0.390040845
[9310,] 0.050812647 0.525858223 0.423329085
[9311,] 0.041273911 0.612028301 0.346697778
[9312,] 0.142070547 0.411076903 0.446852475
[9313,] 0.472204119 0.410213679 0.117582247
[9314,] 0.805669546 0.186316207 0.008014271
[9315,] 0.055748671 0.623984218 0.320267111
[9316,] 0.011207969 0.204720110 0.784071922
[9317,] 0.205248550 0.396650136 0.398101330
[9318,] 0.033604495 0.358698577 0.607696950
[9319,] 0.019145772 0.136854380 0.843999803
[9320,] 0.616958499 0.356793523 0.026247950
[9321,] 0.411875129 0.503612638 0.084512204
[9322,] 0.016696507 0.204357252 0.778946221
[9323,] 0.757383406 0.227110729 0.015505886
[9324,] 0.660868227 0.320421934 0.018709837
[9325,] 0.021659235 0.280774534 0.697566271
[9326,] 0.758991361 0.197242588 0.043766011
[9327,] 0.242848039 0.558707952 0.198444009
[9328,] 0.802075624 0.183411822 0.014512531
[9329,] 0.555697978 0.397199839 0.047102194
[9330,] 0.552495241 0.414398253 0.033106517
[9331,] 0.647698164 0.330619752 0.021682093
[9332,] 0.080736116 0.498079836 0.421184033
[9333,] 0.404734761 0.560987294 0.034277964
[9334,] 0.020173388 0.225915834 0.753910720
[9335,] 0.636838913 0.322350413 0.040810686
[9336,] 0.800542951 0.181622252 0.017834773
[9337,] 0.817424655 0.166165575 0.016409768
[9338,] 0.485972643 0.475296468 0.038730893
[9339,] 0.718956888 0.263154238 0.017888863
[9340,] 0.649361074 0.216348901 0.134290054
[9341,] 0.491786271 0.408463955 0.099749804
[9342,] 0.898412049 0.087631658 0.013956329
[9343,] 0.408455014 0.475328088 0.116216876
[9344,] 0.952983081 0.043398924 0.003617983
[9345,] 0.616319418 0.361905754 0.021774789
[9346,] 0.575342536 0.410061985 0.014595482
[9347,] 0.870902598 0.117237419 0.011859956
[9348,] 0.023789728 0.284514785 0.691695452
[9349,] 0.432767838 0.403567493 0.163664728
[9350,] 0.919341803 0.074876443 0.005781722
[9351,] 0.363150865 0.590168655 0.046680484
[9352,] 0.043027580 0.304661930 0.652310491
[9353,] 0.582265675 0.331320465 0.086413860
[9354,] 0.742115438 0.248843431 0.009041144
[9355,] 0.882583201 0.107480556 0.009936264
[9356,] 0.498926222 0.448116988 0.052956749
[9357,] 0.683835626 0.298584342 0.017580021
[9358,] 0.708908260 0.273452282 0.017639484
[9359,] 0.604831278 0.352051944 0.043116812
[9360,] 0.772661924 0.217162609 0.010175451
[9361,] 0.654516697 0.322936177 0.022547135
[9362,] 0.667149901 0.318359524 0.014490574
[9363,] 0.777192593 0.210398480 0.012408929
[9364,] 0.125216439 0.440329224 0.434454322
[9365,] 0.017656388 0.227511168 0.754832447
[9366,] 0.035024785 0.378564745 0.586410522
[9367,] 0.723743677 0.265861630 0.010394680
[9368,] 0.325320214 0.572865009 0.101814732
[9369,] 0.282361954 0.451847464 0.265790582
[9370,] 0.009408617 0.636992753 0.353598595
[9371,] 0.104740769 0.573336780 0.321922421
[9372,] 0.146516532 0.612527728 0.240955755
[9373,] 0.665663898 0.306956291 0.027379850
[9374,] 0.823181391 0.169080719 0.007737905
[9375,] 0.015324336 0.353154093 0.631521583
[9376,] 0.672877014 0.311698884 0.015424139
[9377,] 0.009234487 0.144083440 0.846682012
[9378,] 0.863385081 0.129523456 0.007091460
[9379,] 0.883506775 0.102461360 0.014031819
[9380,] 0.008537235 0.088705577 0.902757108
[9381,] 0.780947387 0.206466526 0.012586122
[9382,] 0.783719301 0.201103896 0.015176754
[9383,] 0.782609224 0.206189543 0.011201221
[9384,] 0.602594018 0.382808596 0.014597400
[9385,] 0.783215106 0.202982217 0.013802693
[9386,] 0.011720167 0.118289642 0.869990170
[9387,] 0.013077520 0.110058807 0.876863658
[9388,] 0.810078919 0.174400762 0.015520331
[9389,] 0.754711449 0.235095844 0.010192720
[9390,] 0.814135253 0.176481262 0.009383462
[9391,] 0.040402308 0.298668504 0.660929143
[9392,] 0.592231095 0.389123380 0.018645555
[9393,] 0.023837481 0.381421417 0.594741046
[9394,] 0.655550361 0.301319361 0.043130249
[9395,] 0.766182899 0.217925087 0.015892023
[9396,] 0.727363169 0.263995677 0.008641194
[9397,] 0.665393054 0.320080817 0.014526155
[9398,] 0.149869367 0.424633205 0.425497442
[9399,] 0.849052548 0.143597811 0.007349633
[9400,] 0.518413246 0.427222878 0.054363899
[9401,] 0.659232140 0.308891237 0.031876620
[9402,] 0.570895612 0.412634104 0.016470300
[9403,] 0.710513473 0.267632395 0.021854112
[9404,] 0.701853812 0.286523402 0.011622809
[9405,] 0.870289207 0.123378366 0.006332394
[9406,] 0.028036090 0.396404922 0.575559020
[9407,] 0.491082251 0.474060416 0.034857344
[9408,] 0.732682586 0.254752547 0.012564851
[9409,] 0.022558717 0.206765592 0.770675659
[9410,] 0.137271211 0.460074693 0.402654111
[9411,] 0.049218446 0.538714707 0.412066817
[9412,] 0.538557351 0.424516678 0.036925998
[9413,] 0.079335086 0.471705258 0.448959708
[9414,] 0.337703586 0.467019707 0.195276648
[9415,] 0.849783242 0.141499817 0.008716974
[9416,] 0.685183346 0.298823625 0.015992992
[9417,] 0.562110722 0.410068005 0.027821245
[9418,] 0.790297210 0.200998411 0.008704430
[9419,] 0.603145719 0.375960946 0.020893324
[9420,] 0.362416863 0.546001732 0.091581404
[9421,] 0.616133928 0.336850554 0.047015540
[9422,] 0.655743003 0.325293303 0.018963670
[9423,] 0.859627843 0.124451086 0.015921067
[9424,] 0.511224329 0.466066927 0.022708762
[9425,] 0.041283824 0.125194535 0.833521664
[9426,] 0.076631621 0.512734830 0.410633534
[9427,] 0.856372178 0.134959027 0.008668866
[9428,] 0.811899662 0.180023089 0.008077288
[9429,] 0.599971652 0.382637054 0.017391304
[9430,] 0.677441299 0.303790450 0.018768217
[9431,] 0.611471295 0.363263607 0.025265129
[9432,] 0.046475612 0.379234910 0.574289501
[9433,] 0.023762623 0.272893459 0.703343868
[9434,] 0.098978788 0.498649150 0.402372062
[9435,] 0.896128416 0.093892761 0.009978822
[9436,] 0.707284033 0.278056592 0.014659381
[9437,] 0.743431807 0.243516088 0.013052089
[9438,] 0.778059185 0.214633495 0.007307269
[9439,] 0.828375816 0.159461990 0.012162176
[9440,] 0.493519872 0.441358864 0.065121196
[9441,] 0.659804702 0.294086665 0.046108663
[9442,] 0.374435812 0.421463400 0.204100773
[9443,] 0.546005249 0.437533885 0.016460840
[9444,] 0.479706496 0.484965712 0.035327829
[9445,] 0.640854180 0.326535255 0.032610588
[9446,] 0.657815993 0.314883381 0.027300650
[9447,] 0.533484936 0.343418032 0.123096995
[9448,] 0.646169126 0.337522149 0.016308671
[9449,] 0.142454073 0.581269026 0.276276916
[9450,] 0.774201870 0.218556330 0.007241842
[9451,] 0.035121143 0.279329002 0.685549855
[9452,] 0.020183224 0.225010991 0.754805803
[9453,] 0.601397216 0.378841996 0.019760752
[9454,] 0.787945628 0.203188404 0.008865948
[9455,] 0.326521903 0.284295261 0.389182836
[9456,] 0.674983501 0.300481975 0.024534509
[9457,] 0.355068058 0.557203174 0.087728769
[9458,] 0.806711316 0.182785273 0.010503382
[9459,] 0.486187756 0.496136129 0.017676068
[9460,] 0.536150575 0.373437792 0.090411641
[9461,] 0.783260822 0.203659773 0.013079456
[9462,] 0.855329394 0.137699127 0.006971457
[9463,] 0.668828130 0.300435275 0.030736648
[9464,] 0.528254211 0.440044701 0.031701095
[9465,] 0.028088618 0.285417557 0.686493814
[9466,] 0.592035055 0.380013824 0.027951151
[9467,] 0.808070898 0.179976657 0.011952454
[9468,] 0.741877258 0.251007408 0.007115341
[9469,] 0.011696658 0.611943305 0.376359999
[9470,] 0.545889199 0.385270447 0.068840347
[9471,] 0.787660122 0.202338025 0.010001868
[9472,] 0.858666182 0.130716428 0.010617389
[9473,] 0.267599314 0.326904595 0.405496091
[9474,] 0.079122745 0.526793122 0.394084156
[9475,] 0.667126834 0.309094906 0.023778277
[9476,] 0.557666361 0.343062222 0.099271394
[9477,] 0.677498758 0.283721328 0.038779940
[9478,] 0.817771196 0.155243412 0.026985351
[9479,] 0.659725964 0.318847209 0.021426890
[9480,] 0.946098745 0.050663043 0.003238245
[9481,] 0.013917565 0.155952513 0.830129921
[9482,] 0.668688416 0.304371208 0.026940323
[9483,] 0.619635761 0.365228087 0.015136118
[9484,] 0.048745640 0.321212560 0.630041838
[9485,] 0.808955193 0.178784475 0.012260374
[9486,] 0.455560058 0.313715637 0.230724335
[9487,] 0.601101935 0.364667535 0.034230504
[9488,] 0.809251726 0.178558081 0.012190226
[9489,] 0.136501789 0.632116973 0.231381297
[9490,] 0.693950176 0.284863979 0.021185812
[9491,] 0.536924839 0.406325489 0.056749627
[9492,] 0.680194855 0.308719099 0.011086020
[9493,] 0.812161148 0.175387442 0.012451350
[9494,] 0.056885034 0.297818333 0.645296633
[9495,] 0.647959828 0.323663294 0.028376894
[9496,] 0.757985175 0.232538894 0.009475958
[9497,] 0.754934847 0.220435709 0.024629489
[9498,] 0.719491005 0.266686976 0.013822067
[9499,] 0.754526556 0.222394437 0.023079021
[9500,] 0.451853573 0.503188670 0.044957805
[9501,] 0.716749728 0.268691421 0.014558825
[9502,] 0.315263122 0.465532362 0.219204530
[9503,] 0.315333694 0.541851938 0.142814368
[9504,] 0.532460749 0.390134394 0.077404842
[9505,] 0.462550104 0.481906384 0.055543546
[9506,] 0.036286578 0.178019062 0.785694361
[9507,] 0.013044142 0.229822963 0.757132947
[9508,] 0.679077089 0.246274963 0.074647956
[9509,] 0.804716527 0.178571701 0.016711755
[9510,] 0.545591354 0.407420635 0.046988033
[9511,] 0.364087254 0.521590233 0.114322558
[9512,] 0.499673039 0.371926874 0.128400117
[9513,] 0.675654411 0.290724158 0.033621468
[9514,] 0.378274679 0.369385332 0.252340019
[9515,] 0.420863301 0.490456909 0.088679783
[9516,] 0.610632420 0.348905921 0.040461637
[9517,] 0.390931189 0.442113578 0.166955203
[9518,] 0.239439860 0.681935847 0.078624263
[9519,] 0.777393699 0.206725091 0.015881255
[9520,] 0.529031038 0.439216673 0.031752270
[9521,] 0.606852412 0.340233535 0.052913994
[9522,] 0.626321137 0.363283992 0.010394841
[9523,] 0.629565001 0.342250049 0.028184956
[9524,] 0.844429135 0.149761915 0.005808920
[9525,] 0.502371490 0.473358721 0.024269743
[9526,] 0.681218982 0.294910878 0.023870129
[9527,] 0.915417433 0.076165006 0.008417520
[9528,] 0.813410699 0.175001681 0.011587631
[9529,] 0.845331669 0.148767814 0.005900493
[9530,] 0.717260659 0.275750756 0.006988571
[9531,] 0.582770944 0.397953957 0.019275144
[9532,] 0.536265969 0.446232527 0.017501531
[9533,] 0.688479066 0.285528958 0.025992004
[9534,] 0.877968669 0.114544384 0.007486945
[9535,] 0.726261497 0.260453820 0.013284702
[9536,] 0.799255848 0.190510184 0.010233982
[9537,] 0.761740744 0.211417764 0.026841480
[9538,] 0.669647157 0.314499766 0.015853042
[9539,] 0.630878448 0.347738653 0.021382883
[9540,] 0.705364406 0.273304820 0.021330813
[9541,] 0.482762337 0.420421779 0.096815847
[9542,] 0.757014096 0.232485682 0.010500222
[9543,] 0.652243376 0.328198373 0.019558234
[9544,] 0.781112969 0.206908539 0.011978532
[9545,] 0.619070709 0.363589346 0.017339960
[9546,] 0.455390960 0.493339986 0.051269013
[9547,] 0.049704574 0.885473728 0.064821698
[9548,] 0.563917339 0.372997046 0.063085616
[9549,] 0.528470576 0.398795694 0.072733745
[9550,] 0.593340933 0.383114904 0.023544135
[9551,] 0.713785529 0.255594581 0.030619891
[9552,] 0.510192752 0.443247437 0.046559792
[9553,] 0.552935660 0.415962785 0.031101571
[9554,] 0.291812271 0.544501841 0.163685873
[9555,] 0.683083057 0.297505081 0.019411866
[9556,] 0.607371151 0.364860594 0.027768241
[9557,] 0.634565592 0.341477215 0.023957219
[9558,] 0.863776624 0.129066288 0.007157139
[9559,] 0.010939145 0.156402737 0.832658052
[9560,] 0.040417459 0.332891434 0.626691103
[9561,] 0.758047819 0.226967037 0.014985175
[9562,] 0.851391733 0.141063794 0.007544474
[9563,] 0.771502018 0.212709412 0.015788512
[9564,] 0.464007616 0.436370492 0.099621929
[9565,] 0.159937575 0.479891449 0.360170990
[9566,] 0.468331039 0.416287333 0.115381584
[9567,] 0.338624507 0.586767912 0.074607596
[9568,] 0.582672834 0.384918690 0.032408506
[9569,] 0.014205615 0.156081483 0.829712868
[9570,] 0.649939239 0.339898169 0.010162596
[9571,] 0.051313322 0.624442875 0.324243784
[9572,] 0.731734633 0.242582649 0.025682751
[9573,] 0.501049042 0.394752979 0.104197957
[9574,] 0.709562361 0.279359430 0.011078192
[9575,] 0.734595776 0.254829675 0.010574558
[9576,] 0.744553506 0.231572643 0.023873905
[9577,] 0.763142228 0.220489785 0.016367963
[9578,] 0.663748682 0.313862085 0.022389228
[9579,] 0.521208048 0.439728051 0.039063886
[9580,] 0.764009416 0.224720806 0.011269811
[9581,] 0.416430265 0.500094831 0.083474852
[9582,] 0.076364279 0.434770018 0.488865703
[9583,] 0.368281186 0.517578781 0.114140041
[9584,] 0.796503663 0.190982461 0.012513869
[9585,] 0.648647130 0.323651433 0.027701473
[9586,] 0.691751719 0.286867648 0.021380669
[9587,] 0.686749637 0.291921735 0.021328619
[9588,] 0.698904693 0.278387934 0.022707393
[9589,] 0.654053032 0.335290819 0.010656202
[9590,] 0.706274152 0.272398472 0.021327378
[9591,] 0.613805234 0.297267050 0.088927709
[9592,] 0.015960505 0.798698545 0.185340956
[9593,] 0.597111344 0.343592912 0.059295747
[9594,] 0.092296444 0.639815211 0.267888337
[9595,] 0.055170257 0.413059890 0.531769872
[9596,] 0.073879227 0.378976017 0.547144771
[9597,] 0.018331083 0.213986918 0.767682016
[9598,] 0.037710540 0.388452947 0.573836505
[9599,] 0.653460205 0.333505541 0.013034227
[9600,] 0.554679930 0.403820783 0.041499238
[9601,] 0.906060874 0.087417476 0.006521675
[9602,] 0.828007698 0.164968088 0.007024202
[9603,] 0.068819016 0.506488442 0.424692541
[9604,] 0.796862543 0.196423158 0.006714314
[9605,] 0.493149251 0.466232389 0.040618327
[9606,] 0.813500166 0.177873418 0.008626360
[9607,] 0.855343163 0.134637296 0.010019505
[9608,] 0.693756580 0.288600653 0.017642736
[9609,] 0.644138634 0.339903653 0.015957704
[9610,] 0.636425793 0.341561735 0.022012500
[9611,] 0.819200456 0.173762500 0.007036977
[9612,] 0.050975367 0.252144128 0.696880460
[9613,] 0.883656502 0.112260252 0.004083246
[9614,] 0.708064973 0.273565203 0.018369840
[9615,] 0.611934841 0.365267724 0.022797516
[9616,] 0.819943070 0.173732534 0.006324383
[9617,] 0.886020958 0.107421026 0.006558015
[9618,] 0.063983329 0.335023165 0.600993514
[9619,] 0.112826467 0.562088728 0.325084776
[9620,] 0.865424156 0.128269896 0.006306021
[9621,] 0.788425267 0.193604738 0.017970039
[9622,] 0.681102514 0.307745546 0.011151884
[9623,] 0.039991669 0.384411901 0.575596392
[9624,] 0.654107332 0.315512866 0.030379780
[9625,] 0.671728551 0.290054411 0.038217023
[9626,] 0.516953707 0.465986907 0.017059382
[9627,] 0.075281709 0.434651256 0.490067035
[9628,] 0.008188182 0.649470448 0.342341363
[9629,] 0.064187676 0.498289317 0.437522978
[9630,] 0.821460247 0.163035974 0.015503771
[9631,] 0.883186340 0.110159002 0.006654647
[9632,] 0.711205244 0.276241034 0.012553726
[9633,] 0.620640159 0.348600417 0.030759417
[9634,] 0.041450322 0.424997687 0.533551991
[9635,] 0.820821583 0.172205403 0.006973032
[9636,] 0.720880032 0.263463497 0.015656453
[9637,] 0.020101892 0.163934752 0.815963387
[9638,] 0.758183360 0.220860824 0.020955874
[9639,] 0.697528243 0.232755125 0.069716662
[9640,] 0.828727782 0.159513414 0.011758764
[9641,] 0.582697511 0.401876450 0.015426045
[9642,] 0.025315955 0.257891208 0.716792822
[9643,] 0.834920824 0.159081966 0.005997220
[9644,] 0.804853261 0.178518623 0.016628088
[9645,] 0.726342976 0.250214815 0.023442205
[9646,] 0.665955067 0.312456042 0.021588903
[9647,] 0.782685041 0.205753371 0.011561556
[9648,] 0.011712096 0.222064987 0.766222894
[9649,] 0.810665667 0.177533686 0.011800651
[9650,] 0.211861491 0.418890625 0.369247854
[9651,] 0.716038704 0.268846542 0.015114827
[9652,] 0.396930575 0.522277355 0.080792107
[9653,] 0.685244441 0.282230198 0.032525416
[9654,] 0.882849395 0.105306491 0.011844119
[9655,] 0.618511200 0.347602546 0.033886299
[9656,] 0.530945063 0.450727761 0.018327178
[9657,] 0.800795496 0.185067073 0.014137501
[9658,] 0.715609789 0.271355212 0.013035013
[9659,] 0.890282452 0.103613637 0.006103936
[9660,] 0.840769529 0.151063412 0.008167028
[9661,] 0.446046144 0.394750386 0.159203425
[9662,] 0.695710003 0.275357455 0.028932553
[9663,] 0.753066421 0.237881422 0.009052107
[9664,] 0.474958152 0.479806393 0.045235403
[9665,] 0.884757996 0.105998561 0.009243489
[9666,] 0.708090544 0.274166286 0.017743170
[9667,] 0.762127221 0.228285924 0.009586870
[9668,] 0.652142942 0.332781047 0.015076051
[9669,] 0.011899514 0.610824883 0.377275616
[9670,] 0.467719257 0.487188309 0.045092393
[9671,] 0.623793960 0.339616686 0.036589418
[9672,] 0.522523165 0.152274519 0.325202316
[9673,] 0.722163916 0.265320182 0.012515844
[9674,] 0.035923310 0.376463652 0.587613046
[9675,] 0.049895599 0.544905126 0.405199319
[9676,] 0.761688352 0.222387299 0.015924372
[9677,] 0.516440272 0.363479584 0.120080136
[9678,] 0.832958877 0.161437720 0.005603432
[9679,] 0.449918121 0.490792453 0.059289459
[9680,] 0.402961046 0.323003173 0.274035752
[9681,] 0.536389530 0.416642249 0.046968162
[9682,] 0.641308486 0.307203501 0.051487993
[9683,] 0.030084552 0.323715508 0.646199942
[9684,] 0.016399883 0.205198154 0.778402030
[9685,] 0.411084205 0.406411409 0.182504401
[9686,] 0.571862400 0.415140659 0.012996951
[9687,] 0.833024204 0.157336280 0.009639530
[9688,] 0.024650915 0.124503061 0.850845993
[9689,] 0.113944262 0.410154670 0.475901097
[9690,] 0.754526496 0.234585524 0.010888042
[9691,] 0.612344563 0.329691678 0.057963744
[9692,] 0.743837237 0.241038173 0.015124636
[9693,] 0.691649854 0.286372572 0.021977557
[9694,] 0.814090252 0.173929453 0.011980344
[9695,] 0.476764530 0.478774160 0.044461284
[9696,] 0.802952647 0.190112680 0.006934663
[9697,] 0.638933122 0.326289862 0.034776997
[9698,] 0.614288867 0.360236526 0.025474571
[9699,] 0.018352235 0.398041338 0.583606482
[9700,] 0.627654552 0.330508977 0.041836485
[9701,] 0.612355232 0.340261072 0.047383677
[9702,] 0.721912920 0.232344359 0.045742694
[9703,] 0.581279278 0.379813284 0.038907431
[9704,] 0.585268617 0.382673770 0.032057658
[9705,] 0.819172502 0.167977884 0.012849623
[9706,] 0.812948704 0.174706310 0.012344981
[9707,] 0.664767981 0.322687328 0.012544736
[9708,] 0.638449311 0.309746176 0.051804505
[9709,] 0.036326185 0.262815624 0.700858235
[9710,] 0.686983824 0.283444256 0.029571895
[9711,] 0.588638783 0.381283283 0.030077960
[9712,] 0.639316976 0.318071812 0.042611230
[9713,] 0.705029726 0.275144249 0.019826055
[9714,] 0.072753787 0.113641210 0.813604951
[9715,] 0.860438287 0.114329219 0.025232513
[9716,] 0.928687572 0.065559037 0.005753372
[9717,] 0.009118639 0.018211251 0.972670138
[9718,] 0.402460009 0.440398306 0.157141745
[9719,] 0.058982704 0.528990567 0.412026763
[9720,] 0.268704474 0.385827005 0.345468551
[9721,] 0.371478140 0.230314344 0.398207545
[9722,] 0.025383282 0.260834545 0.713782191
[9723,] 0.871006906 0.125190243 0.003802909
[9724,] 0.243290216 0.672236979 0.084472820
[9725,] 0.036193319 0.248594612 0.715212047
[9726,] 0.655000687 0.311977476 0.033021864
[9727,] 0.828168213 0.160212621 0.011619164
[9728,] 0.009403046 0.110610180 0.879986823
[9729,] 0.093216158 0.563074708 0.343709141
[9730,] 0.211294577 0.546684206 0.242021248
[9731,] 0.074400216 0.618473172 0.307126582
[9732,] 0.069784239 0.449199617 0.481016099
[9733,] 0.026267869 0.190165073 0.783567071
[9734,] 0.759193420 0.226684913 0.014121689
[9735,] 0.061456919 0.616778672 0.321764439
[9736,] 0.025386825 0.326425374 0.648187816
[9737,] 0.018639741 0.257687271 0.723673046
[9738,] 0.153776631 0.430412143 0.415811211
[9739,] 0.036345467 0.351255834 0.612398684
[9740,] 0.054329213 0.408793062 0.536877692
[9741,] 0.784125149 0.205302164 0.010572629
[9742,] 0.020887127 0.296513259 0.682599604
[9743,] 0.031326011 0.351810873 0.616863132
[9744,] 0.281109720 0.655589342 0.063300915
[9745,] 0.023694525 0.245652810 0.730652690
[9746,] 0.033282399 0.268560022 0.698157549
[9747,] 0.032321930 0.512040079 0.455637991
[9748,] 0.054981887 0.325041145 0.619976938
[9749,] 0.037699621 0.402677178 0.559623182
[9750,] 0.049527884 0.246344730 0.704127371
[9751,] 0.049417887 0.384750813 0.565831304
[9752,] 0.024429563 0.180117220 0.795453250
[9753,] 0.012228655 0.123576723 0.864194691
[9754,] 0.015135265 0.246872291 0.737992465
[9755,] 0.086800352 0.603823543 0.309376121
[9756,] 0.075225599 0.391408712 0.533365667
[9757,] 0.060470290 0.446907908 0.492621779
[9758,] 0.081787102 0.617702425 0.300510496
[9759,] 0.122791491 0.409005523 0.468202949
[9760,] 0.092651159 0.293070674 0.614278138
[9761,] 0.149507359 0.442706764 0.407785833
[9762,] 0.712978601 0.271750331 0.015271097
[9763,] 0.088596851 0.640198767 0.271204412
[9764,] 0.029578025 0.257159710 0.713262260
[9765,] 0.417634040 0.361265898 0.221100107
[9766,] 0.038790308 0.153471425 0.807738304
[9767,] 0.062392972 0.190836668 0.746770322
[9768,] 0.059635129 0.402418315 0.537946522
[9769,] 0.070437208 0.467674851 0.461887926
[9770,] 0.024725495 0.290705085 0.684569478
[9771,] 0.068177141 0.358603209 0.573219657
[9772,] 0.530149937 0.428092033 0.041758019
[9773,] 0.027909435 0.356904835 0.615185738
[9774,] 0.076078288 0.236768618 0.687153101
[9775,] 0.047948152 0.453855336 0.498196453
[9776,] 0.220898703 0.378346413 0.400754869
[9777,] 0.146729410 0.425347209 0.427923352
[9778,] 0.050639309 0.490649313 0.458711386
[9779,] 0.017002732 0.239841163 0.743156135
[9780,] 0.142540067 0.490596652 0.366863251
[9781,] 0.057919648 0.197890267 0.744190097
[9782,] 0.116117410 0.599768460 0.284114122
[9783,] 0.012940614 0.244302332 0.742757022
[9784,] 0.026474969 0.303877026 0.669647992
[9785,] 0.003918087 0.194326326 0.801755548
[9786,] 0.106396519 0.452611536 0.440991998
[9787,] 0.236343756 0.385523975 0.378132254
[9788,] 0.023075944 0.321126699 0.655797362
[9789,] 0.144566372 0.389780194 0.465653390
[9790,] 0.375469804 0.468020588 0.156509593
[9791,] 0.013791490 0.156354949 0.829853594
[9792,] 0.876576126 0.114240177 0.009183705
[9793,] 0.027452452 0.232680783 0.739866793
[9794,] 0.078789353 0.586593151 0.334617466
[9795,] 0.034131631 0.306776077 0.659092307
[9796,] 0.024899345 0.399512112 0.575588524
[9797,] 0.074519202 0.502478600 0.423002183
[9798,] 0.051839288 0.474287540 0.473873228
[9799,] 0.067738354 0.469359338 0.462902337
[9800,] 0.118606195 0.660171270 0.221222565
[9801,] 0.141103894 0.530517459 0.328378677
[9802,] 0.074255161 0.324426830 0.601318002
[9803,] 0.092379056 0.493943453 0.413677454
[9804,] 0.084736466 0.355424553 0.559838951
[9805,] 0.175450906 0.723420143 0.101128966
[9806,] 0.317485869 0.513851404 0.168662742
[9807,] 0.090700977 0.210352406 0.698946655
[9808,] 0.012928501 0.172814101 0.814257383
[9809,] 0.018798063 0.204864278 0.776337683
[9810,] 0.072395742 0.571020246 0.356584042
[9811,] 0.707685590 0.221989289 0.070325077
[9812,] 0.035374515 0.334893674 0.629731834
[9813,] 0.057933547 0.107430525 0.834635973
[9814,] 0.172876671 0.505588114 0.321535230
[9815,] 0.081026331 0.259133458 0.659840226
[9816,] 0.142549664 0.353850067 0.503600240
[9817,] 0.036384217 0.134545684 0.829070151
[9818,] 0.325679243 0.379968941 0.294351816
[9819,] 0.391232580 0.277187854 0.331579566
[9820,] 0.028977904 0.231280640 0.739741445
[9821,] 0.162598997 0.483733982 0.353667051
[9822,] 0.057890907 0.431003332 0.511105776
[9823,] 0.845873594 0.128763765 0.025362585
[9824,] 0.083878838 0.219847962 0.696273208
[9825,] 0.430125356 0.469491482 0.100383185
[9826,] 0.097373351 0.782804072 0.119822651
[9827,] 0.034897972 0.808169842 0.156932220
[9828,] 0.286999851 0.643280923 0.069719203
[9829,] 0.448107541 0.491971493 0.059920907
[9830,] 0.139907047 0.701494217 0.158598766
[9831,] 0.450422168 0.511485279 0.038092569
[9832,] 0.034658704 0.242764011 0.722577274
[9833,] 0.840202093 0.143764913 0.016032996
[9834,] 0.681475163 0.301132560 0.017392313
[9835,] 0.647331417 0.305854023 0.046814561
[9836,] 0.401475906 0.564827800 0.033696301
[9837,] 0.315620035 0.463113695 0.221266225
[9838,] 0.554750800 0.409293503 0.035955664
[9839,] 0.416320682 0.528817415 0.054861952
[9840,] 0.587073505 0.370673507 0.042252939
[9841,] 0.046624854 0.457236469 0.496138692
[9842,] 0.526085377 0.420072168 0.053842448
[9843,] 0.349544585 0.436750710 0.213704661
[9844,] 0.463521510 0.488002509 0.048475929
[9845,] 0.410938889 0.556356549 0.032704577
[9846,] 0.053458083 0.398638129 0.547903776
[9847,] 0.500919104 0.464491963 0.034588970
[9848,] 0.543350697 0.427526236 0.029123100
[9849,] 0.016864220 0.544017076 0.439118743
[9850,] 0.489796817 0.448021710 0.062181514
[9851,] 0.496691614 0.460923791 0.042384550
[9852,] 0.560214818 0.419273317 0.020511856
[9853,] 0.486920387 0.448975027 0.064104646
[9854,] 0.460972697 0.491378605 0.047648735
[9855,] 0.566090703 0.402370304 0.031539015
[9856,] 0.021720709 0.159441322 0.818837941
[9857,] 0.037912719 0.398572773 0.563514471
[9858,] 0.057103373 0.185651690 0.757244945
[9859,] 0.457199067 0.489089280 0.053711634
[9860,] 0.463213354 0.498764604 0.038022015
[9861,] 0.696106553 0.272289783 0.031603664
[9862,] 0.423803031 0.515600324 0.060596675
[9863,] 0.414681494 0.514483690 0.070834838
[9864,] 0.020480148 0.339922786 0.639597058
[9865,] 0.037444718 0.405560672 0.556994617
[9866,] 0.041987203 0.345146805 0.612865984
[9867,] 0.048425492 0.258819848 0.692754686
[9868,] 0.104820266 0.618766725 0.276413023
[9869,] 0.296067327 0.565682292 0.138250366
[9870,] 0.004461254 0.297780961 0.697757840
[9871,] 0.608833075 0.367829949 0.023336997
[9872,] 0.312200069 0.511499941 0.176300019
[9873,] 0.341713011 0.559618652 0.098668337
[9874,] 0.495366335 0.467090011 0.037543610
[9875,] 0.352047831 0.588681996 0.059270158
[9876,] 0.776874065 0.210660219 0.012465674
[9877,] 0.605571806 0.355642915 0.038785283
[9878,] 0.828895092 0.162024081 0.009080818
[9879,] 0.551127613 0.410773039 0.038099352
[9880,] 0.434661299 0.521098197 0.044240486
[9881,] 0.535908759 0.443104982 0.020986237
[9882,] 0.647893906 0.335419506 0.016686615
[9883,] 0.036276020 0.342550337 0.621173620
[9884,] 0.464686364 0.505683899 0.029629720
[9885,] 0.563977957 0.419700921 0.016321076
[9886,] 0.036548659 0.195118949 0.768332422
[9887,] 0.538861394 0.440725088 0.020413512
[9888,] 0.032912198 0.349185497 0.617902279
[9889,] 0.484543234 0.405691862 0.109764919
[9890,] 0.314707428 0.635841131 0.049451429
[9891,] 0.599755168 0.341392398 0.058852419
[9892,] 0.524865091 0.426033795 0.049101099
[9893,] 0.457466006 0.514922142 0.027611861
[9894,] 0.037989866 0.429290116 0.532720029
[9895,] 0.305102944 0.625615716 0.069281347
[9896,] 0.289480984 0.493222982 0.217296034
[9897,] 0.370032489 0.594016790 0.035950683
[9898,] 0.659057200 0.313028961 0.027913824
[9899,] 0.442972481 0.511821330 0.045206185
[9900,] 0.695871949 0.282437831 0.021690251
[9901,] 0.788352132 0.195234686 0.016413199
[9902,] 0.236691400 0.671115756 0.092192866
[9903,] 0.008940801 0.068598785 0.922460437
[9904,] 0.044647299 0.264322042 0.691030681
[9905,] 0.442105234 0.524908662 0.032986116
[9906,] 0.545936525 0.382497698 0.071565799
[9907,] 0.355957359 0.598060668 0.045982026
[9908,] 0.286965609 0.565319657 0.147714689
[9909,] 0.661752462 0.310132563 0.028114973
[9910,] 0.006113986 0.294981331 0.698904693
[9911,] 0.532645881 0.431621313 0.035732839
[9912,] 0.216435656 0.608622611 0.174941674
[9913,] 0.764537573 0.223110110 0.012352291
[9914,] 0.037252575 0.297341794 0.665405571
[9915,] 0.470463037 0.477222353 0.052314594
[9916,] 0.173726618 0.637746334 0.188527033
[9917,] 0.272905499 0.465902179 0.261192381
[9918,] 0.480148613 0.469264507 0.050586864
[9919,] 0.471582919 0.473050684 0.055366378
[9920,] 0.067842640 0.429854482 0.502302825
[9921,] 0.030830819 0.179640904 0.789528310
[9922,] 0.721627593 0.268237561 0.010134836
[9923,] 0.627083361 0.342029035 0.030887648
[9924,] 0.748030305 0.235363141 0.016606512
[9925,] 0.630068064 0.344735295 0.025196617
[9926,] 0.447971106 0.468494087 0.083534747
[9927,] 0.082763165 0.181486234 0.735750556
[9928,] 0.587372780 0.396519154 0.016108032
[9929,] 0.006498378 0.366080374 0.627421200
[9930,] 0.325158834 0.618930221 0.055910941
[9931,] 0.732848108 0.242763981 0.024387965
[9932,] 0.407767236 0.381389111 0.210843638
[9933,] 0.661357462 0.312704593 0.025937937
[9934,] 0.055665288 0.418601245 0.525733471
[9935,] 0.512009799 0.406665176 0.081324987
[9936,] 0.464069903 0.475247711 0.060682386
[9937,] 0.226377144 0.427946240 0.345676631
[9938,] 0.038085934 0.455942214 0.505971849
[9939,] 0.022516415 0.308489621 0.668994009
[9940,] 0.051252019 0.318524003 0.630223989
[9941,] 0.414040923 0.541105807 0.044853278
[9942,] 0.222691789 0.632850409 0.144457772
[9943,] 0.041570801 0.396181703 0.562247515
[9944,] 0.739176214 0.233917519 0.026906217
[9945,] 0.592923045 0.371435195 0.035641737
[9946,] 0.361882389 0.480221063 0.157896519
[9947,] 0.059914380 0.506660521 0.433425099
[9948,] 0.840749800 0.147469312 0.011780859
[9949,] 0.009248032 0.168771252 0.821980774
[9950,] 0.041864749 0.182402387 0.775732815
[9951,] 0.067943476 0.318954468 0.613102078
[9952,] 0.620946169 0.359441370 0.019612463
[9953,] 0.353608072 0.472692490 0.173699439
[9954,] 0.745641410 0.235753015 0.018605610
[9955,] 0.022812000 0.233429074 0.743758917
[9956,] 0.308236033 0.598610580 0.093153387
[9957,] 0.330216467 0.536365688 0.133417845
[9958,] 0.482183784 0.388945132 0.128871083
[9959,] 0.041888144 0.315190941 0.642920911
[9960,] 0.049395666 0.288975567 0.661628783
[9961,] 0.070411414 0.261004746 0.668583810
[9962,] 0.585425675 0.387638807 0.026935488
[9963,] 0.438067466 0.524484932 0.037447624
[9964,] 0.732699275 0.249227047 0.018073671
[9965,] 0.540855467 0.440535367 0.018609140
[9966,] 0.288956404 0.618394494 0.092649110
[9967,] 0.767952085 0.204161406 0.027886519
[9968,] 0.807040334 0.164927587 0.028032085
[9969,] 0.054558743 0.362977743 0.582463503
[9970,] 0.307540298 0.609533668 0.082926065
[9971,] 0.679986179 0.297739685 0.022274105
[9972,] 0.451383442 0.478238910 0.070377603
[9973,] 0.019172119 0.301030338 0.679797530
[9974,] 0.018726168 0.263692290 0.717581511
[9975,] 0.018376965 0.205968067 0.775654912
[9976,] 0.333362490 0.629162192 0.037475307
[9977,] 0.426570684 0.545382082 0.028047262
[9978,] 0.791804731 0.194143131 0.014052189
[9979,] 0.017193446 0.173358157 0.809448361
[9980,] 0.494256943 0.465397328 0.040345702
[9981,] 0.263748229 0.529058158 0.207193628
[9982,] 0.413531005 0.465836614 0.120632336
[9983,] 0.334276110 0.610797405 0.054926462
[9984,] 0.443660021 0.522377670 0.033962242
[9985,] 0.575166643 0.373968035 0.050865296
[9986,] 0.316551000 0.428680032 0.254768938
[9987,] 0.403849751 0.360696137 0.235454082
[9988,] 0.499528915 0.462347746 0.038123302
[9989,] 0.038937114 0.194004476 0.767058432
[9990,] 0.439142704 0.533042967 0.027814345
[9991,] 0.458216935 0.489973843 0.051809251
[9992,] 0.410539120 0.514503717 0.074957147
[9993,] 0.044178016 0.906398177 0.049423866
[9994,] 0.375732094 0.572505355 0.051762518
[9995,] 0.742342889 0.215699777 0.041957345
[9996,] 0.566717684 0.316820741 0.116461612
[9997,] 0.290284246 0.641304731 0.068410985
[9998,] 0.446618050 0.463641495 0.089740492
[9999,] 0.016434405 0.122838594 0.860727072
[10000,] 0.456716865 0.461433172 0.081849888
[10001,] 0.383692205 0.586457491 0.029850328
[10002,] 0.310580105 0.617505550 0.071914382
[10003,] 0.400629491 0.501865864 0.097504631
[10004,] 0.081125289 0.243925259 0.674949467
[10005,] 0.179166660 0.641333997 0.179499298
[10006,] 0.304077953 0.481524736 0.214397296
[10007,] 0.322136521 0.477500677 0.200362802
[10008,] 0.063996583 0.821925223 0.114078201
[10009,] 0.566202998 0.406142205 0.027654754
[10010,] 0.538507819 0.303701133 0.157791063
[10011,] 0.289348125 0.649228334 0.061423574
[10012,] 0.381399989 0.482963353 0.135636717
[10013,] 0.423912823 0.485108614 0.090978555
[10014,] 0.525739670 0.440147251 0.034113038
[10015,] 0.258315921 0.662705600 0.078978471
[10016,] 0.468415320 0.484666556 0.046918161
[10017,] 0.570968866 0.399743766 0.029287389
[10018,] 0.622275591 0.354910463 0.022813927
[10019,] 0.613974094 0.353241146 0.032784794
[10020,] 0.014812208 0.172272950 0.812914848
[10021,] 0.426864922 0.478156656 0.094978489
[10022,] 0.682938814 0.298122197 0.018938947
[10023,] 0.338038146 0.628029644 0.033932216
[10024,] 0.201371834 0.722117901 0.076510310
[10025,] 0.032788705 0.264801741 0.702409565
[10026,] 0.640614867 0.343463778 0.015921406
[10027,] 0.387075573 0.488974005 0.123950399
[10028,] 0.632062852 0.349300444 0.018636703
[10029,] 0.795492530 0.184569001 0.019938473
[10030,] 0.337906301 0.585905135 0.076188602
[10031,] 0.527670085 0.415720761 0.056609146
[10032,] 0.332168728 0.635513306 0.032317940
[10033,] 0.392016470 0.577217638 0.030765874
[10034,] 0.052146640 0.184375361 0.763477981
[10035,] 0.386033773 0.551352501 0.062613718
[10036,] 0.040251117 0.427859962 0.531888902
[10037,] 0.022751031 0.221020788 0.756228209
[10038,] 0.334091276 0.513709307 0.152199447
[10039,] 0.153651208 0.567579746 0.278769046
[10040,] 0.041847493 0.490321815 0.467830628
[10041,] 0.783299267 0.197828650 0.018872049
[10042,] 0.034087274 0.285936594 0.679976106
[10043,] 0.048029661 0.278840154 0.673130214
[10044,] 0.619302094 0.351862729 0.028835151
[10045,] 0.619947731 0.361321092 0.018731140
[10046,] 0.562075138 0.418636203 0.019288663
[10047,] 0.368183255 0.555716157 0.076100588
[10048,] 0.463345855 0.419557393 0.117096782
[10049,] 0.335449874 0.589799941 0.074750163
[10050,] 0.019070841 0.448223531 0.532705665
[10051,] 0.567752361 0.397174209 0.035073373
[10052,] 0.030912170 0.429967403 0.539120436
[10053,] 0.217859939 0.487310499 0.294829577
[10054,] 0.410523295 0.554545999 0.034930710
[10055,] 0.193899035 0.465345114 0.340755880
[10056,] 0.243836328 0.460773945 0.295389712
[10057,] 0.044491280 0.745015919 0.210492775
[10058,] 0.256520808 0.690030396 0.053448807
[10059,] 0.324672610 0.608985662 0.066341728
[10060,] 0.611724019 0.299506307 0.088769674
[10061,] 0.430989087 0.524399161 0.044611767
[10062,] 0.532845080 0.429269314 0.037885610
[10063,] 0.478703231 0.413099408 0.108197317
[10064,] 0.179933965 0.552133381 0.267932594
[10065,] 0.250973076 0.628609717 0.120417185
[10066,] 0.336624682 0.506687820 0.156687468
[10067,] 0.090274818 0.230391100 0.679334104
[10068,] 0.026884735 0.322512686 0.650602579
[10069,] 0.240644053 0.536118209 0.223237723
[10070,] 0.253446102 0.497281939 0.249271944
[10071,] 0.390568316 0.565831780 0.043599881
[10072,] 0.469999105 0.500466168 0.029534679
[10073,] 0.625542462 0.358702183 0.015755311
[10074,] 0.052780073 0.833729506 0.113490365
[10075,] 0.641330421 0.333756417 0.024913142
[10076,] 0.443501115 0.500580192 0.055918671
[10077,] 0.567918301 0.400972009 0.031109624
[10078,] 0.033484269 0.357381552 0.609134138
[10079,] 0.723477125 0.259112209 0.017410699
[10080,] 0.033241540 0.282186240 0.684572220
[10081,] 0.033926018 0.407711029 0.558362961
[10082,] 0.703817725 0.265182555 0.030999715
[10083,] 0.642681599 0.284726560 0.072591878
[10084,] 0.649130046 0.304658383 0.046211559
[10085,] 0.693812251 0.280342609 0.025845146
[10086,] 0.125566840 0.631532192 0.242900938
[10087,] 0.789413273 0.199611694 0.010975005
[10088,] 0.043415301 0.383767426 0.572817326
[10089,] 0.673649192 0.305892199 0.020458616
[10090,] 0.644511938 0.310289145 0.045198921
[10091,] 0.360297889 0.606595039 0.033107053
[10092,] 0.452091277 0.387415498 0.160493270
[10093,] 0.566178679 0.396820158 0.037001170
[10094,] 0.604856372 0.362440705 0.032702919
[10095,] 0.421968132 0.557147563 0.020884302
[10096,] 0.251007646 0.570285380 0.178706974
[10097,] 0.418347210 0.543237925 0.038414836
[10098,] 0.527399838 0.455377370 0.017222784
[10099,] 0.721756279 0.251435608 0.026808066
[10100,] 0.033577096 0.339070499 0.627352417
[10101,] 0.313227743 0.596924067 0.089848176
[10102,] 0.412501991 0.544838667 0.042659357
[10103,] 0.419887394 0.324900776 0.255211860
[10104,] 0.242435560 0.660469174 0.097095273
[10105,] 0.460330129 0.503116250 0.036553610
[10106,] 0.384608954 0.552420318 0.062970743
[10107,] 0.480025113 0.462523431 0.057451468
[10108,] 0.045741253 0.344462484 0.609796286
[10109,] 0.493944734 0.449329346 0.056725889
[10110,] 0.583692610 0.395202875 0.021104481
[10111,] 0.451235741 0.304156423 0.244607881
[10112,] 0.031892162 0.262193501 0.705914319
[10113,] 0.020400859 0.142500058 0.837099135
[10114,] 0.029825307 0.424378693 0.545795977
[10115,] 0.240651459 0.685345650 0.074002914
[10116,] 0.458787471 0.503235996 0.037976518
[10117,] 0.089407578 0.783387363 0.127205074
[10118,] 0.522950768 0.441984057 0.035065167
[10119,] 0.139379382 0.401908189 0.458712429
[10120,] 0.010217704 0.151194766 0.838587523
[10121,] 0.394078106 0.537011385 0.068910472
[10122,] 0.447593689 0.515999854 0.036406465
[10123,] 0.301630676 0.509072840 0.189296529
[10124,] 0.692675650 0.283012301 0.024312105
[10125,] 0.477847815 0.400658071 0.121494085
[10126,] 0.066504262 0.538512051 0.394983679
[10127,] 0.405807197 0.479971141 0.114221632
[10128,] 0.482123733 0.482654959 0.035221327
[10129,] 0.103706129 0.788049638 0.108244225
[10130,] 0.036813986 0.281564116 0.681621850
[10131,] 0.231713742 0.674593270 0.093693003
[10132,] 0.477906376 0.500592649 0.021500966
[10133,] 0.399092555 0.539780855 0.061126608
[10134,] 0.379663616 0.588391483 0.031944908
[10135,] 0.262690544 0.576710105 0.160599366
[10136,] 0.379219741 0.601295054 0.019485179
[10137,] 0.448496640 0.538871229 0.012632185
[10138,] 0.288805902 0.653961062 0.057233028
[10139,] 0.254377961 0.596748769 0.148873270
[10140,] 0.307009757 0.637930512 0.055059742
[10141,] 0.327300906 0.615096807 0.057602230
[10142,] 0.418345332 0.517216146 0.064438544
[10143,] 0.463294297 0.473295510 0.063410200
[10144,] 0.019682754 0.348833442 0.631483793
[10145,] 0.134607494 0.688368976 0.177023545
[10146,] 0.451940626 0.478946596 0.069112815
[10147,] 0.747562230 0.237346575 0.015091172
[10148,] 0.016175436 0.259499460 0.724325120
[10149,] 0.031341963 0.286598742 0.682059348
[10150,] 0.391511410 0.552618682 0.055869862
[10151,] 0.031406805 0.295405388 0.673187792
[10152,] 0.570893228 0.399837077 0.029269690
[10153,] 0.704621851 0.279187858 0.016190220
[10154,] 0.072573617 0.276750803 0.650675595
[10155,] 0.404889852 0.538850069 0.056260046
[10156,] 0.461688280 0.513731480 0.024580272
[10157,] 0.031410106 0.770084679 0.198505163
[10158,] 0.178808108 0.601788044 0.219403878
[10159,] 0.326145411 0.623062313 0.050792303
[10160,] 0.431373954 0.544173658 0.024452379
[10161,] 0.456057012 0.525670528 0.018272448
[10162,] 0.495565176 0.402669370 0.101765484
[10163,] 0.497310579 0.476283461 0.026405940
[10164,] 0.302800298 0.593169808 0.104029886
[10165,] 0.038037226 0.318076968 0.643885851
[10166,] 0.042928260 0.276976943 0.680094779
[10167,] 0.508210003 0.459739834 0.032050125
[10168,] 0.334223896 0.641056359 0.024719803
[10169,] 0.602413237 0.353330642 0.044256106
[10170,] 0.006739954 0.165871322 0.827388704
[10171,] 0.591943085 0.355977774 0.052079163
[10172,] 0.299670219 0.609250247 0.091079518
[10173,] 0.403490186 0.524034321 0.072475478
[10174,] 0.161571696 0.618874013 0.219554275
[10175,] 0.607730031 0.364814311 0.027455596
[10176,] 0.246201992 0.422409356 0.331388623
[10177,] 0.519518197 0.440318674 0.040163174
[10178,] 0.502827585 0.476300508 0.020871878
[10179,] 0.410833865 0.512143910 0.077022232
[10180,] 0.016666723 0.143402696 0.839930594
[10181,] 0.060377885 0.410996884 0.528625190
[10182,] 0.033966988 0.394201726 0.571831286
[10183,] 0.015455847 0.190835759 0.793708384
[10184,] 0.216612950 0.252016068 0.531370997
[10185,] 0.708797932 0.253081739 0.038120285
[10186,] 0.071619138 0.459385693 0.468995124
[10187,] 0.581712008 0.389722049 0.028565940
[10188,] 0.556539893 0.417923421 0.025536738
[10189,] 0.039794438 0.365197659 0.595007956
[10190,] 0.640737712 0.343487442 0.015774837
[10191,] 0.799143314 0.184373960 0.016482731
[10192,] 0.044345614 0.396311671 0.559342682
[10193,] 0.208239287 0.644453108 0.147307575
[10194,] 0.534643471 0.357467651 0.107888915
[10195,] 0.300499439 0.579376519 0.120124049
[10196,] 0.607441008 0.375079989 0.017479025
[10197,] 0.639903307 0.325310230 0.034786507
[10198,] 0.528433621 0.442539334 0.029027050
[10199,] 0.422715962 0.517255008 0.060029015
[10200,] 0.329407811 0.484251201 0.186341017
[10201,] 0.442941636 0.509929836 0.047128536
[10202,] 0.372079045 0.576814353 0.051106632
[10203,] 0.356686294 0.506078839 0.137234896
[10204,] 0.444874942 0.463247865 0.091877244
[10205,] 0.051251944 0.306884170 0.641863883
[10206,] 0.664772153 0.308101445 0.027126424
[10207,] 0.469784141 0.500449717 0.029766154
[10208,] 0.415379018 0.500159204 0.084461801
[10209,] 0.177809730 0.555316925 0.266873330
[10210,] 0.296321303 0.603677809 0.100000866
[10211,] 0.702021778 0.284780115 0.013198107
[10212,] 0.614861906 0.362368882 0.022769211
[10213,] 0.013754060 0.170794770 0.815451145
[10214,] 0.382785320 0.594242215 0.022972485
[10215,] 0.399087906 0.560206056 0.040706076
[10216,] 0.030421756 0.287454516 0.682123721
[10217,] 0.589092910 0.381333143 0.029573945
[10218,] 0.377047002 0.576102138 0.046850864
[10219,] 0.632453918 0.329730541 0.037815597
[10220,] 0.677107275 0.302029729 0.020863025
[10221,] 0.769618571 0.211272284 0.019109095
[10222,] 0.030158900 0.350871891 0.618969202
[10223,] 0.270263821 0.492641449 0.237094760
[10224,] 0.574126422 0.381422579 0.044451043
[10225,] 0.582614541 0.313576519 0.103808925
[10226,] 0.016706606 0.305027306 0.678266048
[10227,] 0.241787001 0.679358840 0.078854159
[10228,] 0.530287147 0.419392735 0.050320063
[10229,] 0.030764112 0.258795768 0.710440159
[10230,] 0.036658362 0.193204105 0.770137548
[10231,] 0.301962644 0.630420268 0.067617096
[10232,] 0.259065479 0.315987349 0.424947143
[10233,] 0.045524921 0.333765894 0.620709181
[10234,] 0.231905878 0.482821137 0.285272926
[10235,] 0.030313021 0.220774770 0.748912156
[10236,] 0.279175997 0.628852904 0.091971047
[10237,] 0.193542138 0.735778153 0.070679739
[10238,] 0.414223373 0.544484735 0.041291844
[10239,] 0.320647359 0.531354010 0.147998661
[10240,] 0.032165110 0.307590902 0.660243928
[10241,] 0.301498353 0.673639715 0.024861868
[10242,] 0.403859913 0.502787113 0.093352988
[10243,] 0.303462327 0.547060370 0.149477318
[10244,] 0.334461361 0.598745406 0.066793270
[10245,] 0.343961626 0.616630852 0.039407488
[10246,] 0.531419873 0.453938425 0.014641683
[10247,] 0.424270123 0.492529154 0.083200678
[10248,] 0.405088276 0.546640813 0.048270907
[10249,] 0.580810666 0.397256315 0.021933027
[10250,] 0.336286634 0.589259326 0.074454024
[10251,] 0.672926843 0.305302501 0.021770665
[10252,] 0.286320150 0.544520676 0.169159219
[10253,] 0.027382411 0.197668165 0.774949431
[10254,] 0.007703572 0.360122293 0.632174134
[10255,] 0.058053266 0.336633921 0.605312824
[10256,] 0.014043268 0.125538886 0.860417783
[10257,] 0.035987552 0.182464376 0.781548083
[10258,] 0.020534210 0.240587518 0.738878310
[10259,] 0.024593921 0.167468816 0.807937264
[10260,] 0.021276414 0.251193434 0.727530181
[10261,] 0.021302467 0.155369371 0.823328137
[10262,] 0.034523245 0.245614350 0.719862401
[10263,] 0.015936440 0.205548763 0.778514743
[10264,] 0.029781181 0.323013246 0.647205591
[10265,] 0.014471851 0.153068423 0.832459688
[10266,] 0.012783774 0.109112881 0.878103316
[10267,] 0.019366737 0.226575911 0.754057407
[10268,] 0.023311380 0.241732225 0.734956384
[10269,] 0.162900209 0.623951852 0.213147968
[10270,] 0.576120496 0.406805724 0.017073777
[10271,] 0.204287410 0.648664594 0.147048056
[10272,] 0.421362370 0.531935871 0.046701781
[10273,] 0.581385851 0.317715436 0.100898668
[10274,] 0.190676525 0.573652983 0.235670507
[10275,] 0.004643328 0.287249207 0.708107471
[10276,] 0.027404930 0.289962381 0.682632744
[10277,] 0.025746580 0.251345485 0.722907901
[10278,] 0.562272549 0.416649342 0.021078104
[10279,] 0.024060003 0.154115900 0.821824133
[10280,] 0.544259906 0.432474315 0.023265779
[10281,] 0.454633772 0.499997914 0.045368321
[10282,] 0.036437206 0.272401035 0.691161811
[10283,] 0.666782022 0.302391440 0.030826498
[10284,] 0.718240619 0.262926966 0.018832454
[10285,] 0.743228912 0.228863120 0.027907949
[10286,] 0.220847115 0.686652601 0.092500329
[10287,] 0.501463413 0.459413320 0.039123289
[10288,] 0.594037175 0.317158133 0.088804699
[10289,] 0.521507859 0.445360661 0.033131454
[10290,] 0.417392194 0.486178815 0.096428946
[10291,] 0.519663632 0.463011116 0.017325226
[10292,] 0.256305009 0.522338629 0.221356377
[10293,] 0.715554655 0.266845703 0.017599620
[10294,] 0.567091227 0.406004101 0.026904661
[10295,] 0.035289988 0.305532604 0.659177423
[10296,] 0.034400191 0.264010578 0.701589227
[10297,] 0.017811863 0.589857459 0.392330736
[10298,] 0.012122056 0.129612491 0.858265400
[10299,] 0.040279415 0.408357054 0.551363528
[10300,] 0.043784600 0.324270874 0.631944537
[10301,] 0.014537918 0.183172151 0.802289963
[10302,] 0.014648309 0.132840961 0.852510691
[10303,] 0.011345522 0.164914772 0.823739648
[10304,] 0.173255116 0.201896489 0.624848425
[10305,] 0.010867978 0.137516692 0.851615369
[10306,] 0.757085145 0.227600843 0.015313969
[10307,] 0.029731514 0.541277409 0.428991050
[10308,] 0.028704297 0.208251536 0.763044178
[10309,] 0.095470980 0.381262928 0.523266077
[10310,] 0.035692520 0.321714580 0.642592907
[10311,] 0.515169382 0.427037448 0.057793155
[10312,] 0.232624546 0.698909104 0.068466380
[10313,] 0.579781771 0.381214678 0.039003529
[10314,] 0.353927016 0.547487617 0.098585390
[10315,] 0.200603455 0.671769798 0.127626717
[10316,] 0.895799398 0.093804851 0.010395726
[10317,] 0.213291228 0.567734897 0.218973860
[10318,] 0.023978483 0.232828900 0.743192613
[10319,] 0.013435142 0.161867499 0.824697375
[10320,] 0.648910642 0.317451984 0.033637382
[10321,] 0.375398278 0.544082284 0.080519460
[10322,] 0.349729568 0.588344872 0.061925549
[10323,] 0.914678395 0.075711980 0.009609636
[10324,] 0.023502061 0.347845793 0.628652155
[10325,] 0.675430238 0.304195672 0.020374078
[10326,] 0.447358578 0.518460810 0.034180634
[10327,] 0.075937249 0.272925228 0.651137471
[10328,] 0.032726020 0.361824363 0.605449617
[10329,] 0.830970168 0.154343352 0.014686467
[10330,] 0.031276338 0.240934089 0.727789581
[10331,] 0.022877915 0.328672081 0.648450017
[10332,] 0.458649307 0.462850094 0.078500643
[10333,] 0.416972816 0.493782312 0.089244880
[10334,] 0.777284324 0.206589833 0.016125808
[10335,] 0.610455751 0.352321476 0.037222758
[10336,] 0.704401672 0.278147578 0.017450733
[10337,] 0.180955753 0.554305911 0.264738321
[10338,] 0.370578378 0.454637378 0.174784198
[10339,] 0.019831842 0.257054746 0.723113418
[10340,] 0.623762965 0.360932738 0.015304289
[10341,] 0.667207956 0.320703804 0.012088212
[10342,] 0.262246311 0.593721628 0.144032046
[10343,] 0.272323042 0.603975534 0.123701371
[10344,] 0.434813261 0.528701007 0.036485676
[10345,] 0.071215622 0.188761741 0.740022659
[10346,] 0.563616216 0.409136176 0.027247615
[10347,] 0.036320496 0.314165294 0.649514198
[10348,] 0.155538067 0.792550802 0.051911149
[10349,] 0.819319725 0.173656806 0.007023515
[10350,] 0.408322871 0.386276752 0.205400437
[10351,] 0.452987731 0.515881002 0.031131325
[10352,] 0.699216187 0.281088471 0.019695325
[10353,] 0.656303048 0.327919543 0.015777431
[10354,] 0.490793079 0.471626997 0.037579924
[10355,] 0.307069987 0.640957057 0.051972978
[10356,] 0.493180931 0.452252179 0.054566860
[10357,] 0.695844233 0.289159447 0.014996329
[10358,] 0.411142021 0.535558045 0.053299934
[10359,] 0.741044343 0.241315618 0.017640030
[10360,] 0.353971809 0.580545127 0.065483056
[10361,] 0.324906349 0.505242467 0.169851184
[10362,] 0.571687102 0.360971421 0.067341529
[10363,] 0.491309077 0.452286094 0.056404844
[10364,] 0.020863429 0.205190182 0.773946404
[10365,] 0.021478929 0.296768814 0.681752205
[10366,] 0.314470172 0.655833125 0.029696682
[10367,] 0.395376742 0.512803018 0.091820233
[10368,] 0.523819745 0.453241497 0.022938756
[10369,] 0.522092879 0.434511811 0.043395355
[10370,] 0.425747216 0.491289318 0.082963467
[10371,] 0.574505150 0.345137239 0.080357596
[10372,] 0.405721188 0.522454619 0.071824215
[10373,] 0.362632066 0.594272912 0.043095030
[10374,] 0.030545257 0.180044413 0.789410293
[10375,] 0.019319605 0.210216001 0.770464361
[10376,] 0.013392142 0.179221317 0.807386518
[10377,] 0.024986545 0.252936125 0.722077370
[10378,] 0.034283187 0.217749968 0.747966826
[10379,] 0.279701799 0.509414971 0.210883245
[10380,] 0.371671081 0.427694738 0.200634226
[10381,] 0.388048977 0.514609754 0.097341336
[10382,] 0.033748314 0.245773211 0.720478475
[10383,] 0.042832833 0.238683090 0.718484044
[10384,] 0.564716876 0.325614929 0.109668180
[10385,] 0.254408360 0.523588002 0.222003639
[10386,] 0.328760326 0.615895510 0.055344101
[10387,] 0.031547930 0.297178596 0.671273470
[10388,] 0.028017309 0.199896649 0.772086024
[10389,] 0.032704771 0.282004476 0.685290694
[10390,] 0.360725552 0.512991905 0.126282558
[10391,] 0.402819335 0.501123428 0.096057221
[10392,] 0.113062136 0.337951839 0.548985958
[10393,] 0.192453772 0.728354812 0.079191387
[10394,] 0.303389132 0.539748967 0.156861916
[10395,] 0.745510817 0.238998339 0.015490804
[10396,] 0.327363819 0.489962906 0.182673231
[10397,] 0.039099526 0.292905688 0.667994738
[10398,] 0.640771031 0.345765948 0.013463023
[10399,] 0.367602617 0.575360656 0.057036672
[10400,] 0.047452506 0.385163188 0.567384303
[10401,] 0.718279839 0.201635286 0.080084890
[10402,] 0.521827817 0.439692825 0.038479354
[10403,] 0.021299589 0.256625444 0.722074926
[10404,] 0.039850894 0.339118630 0.621030509
[10405,] 0.579310000 0.393816262 0.026873725
[10406,] 0.598632574 0.370324552 0.031042835
[10407,] 0.623818517 0.349575788 0.026605722
[10408,] 0.042221159 0.159962609 0.797816217
[10409,] 0.614954889 0.372460961 0.012584207
[10410,] 0.052705437 0.317327797 0.629966795
[10411,] 0.520459354 0.427262783 0.052277870
[10412,] 0.535092771 0.429654300 0.035252914
[10413,] 0.396255374 0.542013586 0.061731026
[10414,] 0.338392854 0.580935955 0.080671184
[10415,] 0.694531083 0.267402977 0.038065944
[10416,] 0.029227663 0.292261422 0.678510904
[10417,] 0.021134717 0.169496119 0.809369147
[10418,] 0.270117730 0.636539936 0.093342341
[10419,] 0.475350827 0.396322697 0.128326446
[10420,] 0.388145566 0.495981514 0.115872897
[10421,] 0.034003280 0.878866374 0.087130398
[10422,] 0.409320265 0.538346887 0.052332878
[10423,] 0.593076706 0.392161667 0.014761593
[10424,] 0.426075429 0.542566776 0.031357739
[10425,] 0.024459107 0.263536274 0.712004662
[10426,] 0.404439807 0.379449904 0.216110274
[10427,] 0.526557744 0.426606774 0.046835478
[10428,] 0.605054796 0.372581244 0.022363929
[10429,] 0.007903908 0.060510438 0.931585610
[10430,] 0.723181725 0.257450014 0.019368218
[10431,] 0.548559487 0.417192489 0.034248073
[10432,] 0.057063166 0.276858628 0.666078210
[10433,] 0.656118810 0.299971104 0.043910101
[10434,] 0.530506194 0.427825511 0.041668251
[10435,] 0.456299067 0.495886832 0.047814064
[10436,] 0.887650609 0.096485138 0.015864290
[10437,] 0.032251868 0.393530965 0.574217200
[10438,] 0.466936111 0.430098534 0.102965407
[10439,] 0.513411403 0.443855107 0.042733494
[10440,] 0.653512418 0.328419805 0.018067779
[10441,] 0.004944901 0.293181002 0.701874077
[10442,] 0.005945862 0.077714026 0.916340113
[10443,] 0.212297827 0.630291522 0.157410666
[10444,] 0.756111085 0.227944329 0.015944587
[10445,] 0.395443141 0.534805834 0.069750965
[10446,] 0.048428304 0.398321331 0.553250372
[10447,] 0.628100574 0.271576822 0.100322597
[10448,] 0.415529847 0.544524908 0.039945260
[10449,] 0.215532050 0.580872238 0.203595743
[10450,] 0.402103364 0.554989696 0.042906910
[10451,] 0.414573669 0.447414666 0.138011634
[10452,] 0.027486730 0.710684240 0.261829108
[10453,] 0.524257541 0.443957895 0.031784575
[10454,] 0.016364556 0.286097199 0.697538257
[10455,] 0.652113199 0.324495524 0.023391275
[10456,] 0.057472609 0.426814348 0.515713036
[10457,] 0.021246968 0.286830425 0.691922605
[10458,] 0.719434857 0.265642554 0.014922589
[10459,] 0.551357031 0.435629100 0.013013882
[10460,] 0.417415172 0.539554060 0.043030765
[10461,] 0.396893710 0.525696218 0.077410080
[10462,] 0.258148789 0.624574542 0.117276683
[10463,] 0.465630889 0.484127402 0.050241668
[10464,] 0.426115662 0.517619789 0.056264602
[10465,] 0.530746281 0.445560366 0.023693336
[10466,] 0.411112309 0.553295255 0.035592437
[10467,] 0.497374803 0.481202036 0.021423182
[10468,] 0.193199456 0.448697776 0.358102798
[10469,] 0.530368388 0.389522135 0.080109455
[10470,] 0.434262395 0.505480587 0.060257014
[10471,] 0.327800393 0.512088239 0.160111338
[10472,] 0.733798802 0.248247758 0.017953476
[10473,] 0.576163113 0.383515030 0.040321834
[10474,] 0.524073243 0.368056059 0.107870713
[10475,] 0.547313869 0.397317231 0.055368938
[10476,] 0.297885984 0.523480892 0.178633094
[10477,] 0.049572591 0.182086408 0.768341005
[10478,] 0.371914476 0.583712995 0.044372495
[10479,] 0.029689543 0.469858557 0.500451922
[10480,] 0.274869353 0.673274577 0.051856078
[10481,] 0.780808270 0.203021139 0.016170589
[10482,] 0.452316284 0.506598830 0.041084860
[10483,] 0.040422745 0.318804145 0.640773118
[10484,] 0.704784334 0.270961583 0.024254149
[10485,] 0.489745736 0.491912186 0.018342024
[10486,] 0.544738352 0.419494033 0.035767596
[10487,] 0.380473256 0.564419627 0.055107098
[10488,] 0.411674201 0.509572327 0.078753471
[10489,] 0.437081307 0.527582288 0.035336405
[10490,] 0.393725455 0.551547229 0.054727282
[10491,] 0.350982487 0.564013958 0.085003547
[10492,] 0.584843278 0.370623708 0.044533033
[10493,] 0.496130884 0.448100895 0.055768169
[10494,] 0.342413485 0.553928316 0.103658207
[10495,] 0.495817184 0.398058683 0.106124192
[10496,] 0.256111026 0.659990191 0.083898813
[10497,] 0.487496167 0.480458647 0.032045137
[10498,] 0.097058341 0.816531360 0.086410329
[10499,] 0.540874720 0.351968288 0.107156992
[10500,] 0.275422633 0.487139583 0.237437755
[10501,] 0.032164611 0.376495421 0.591339946
[10502,] 0.064419702 0.436131030 0.499449313
[10503,] 0.882536650 0.098210350 0.019253021
[10504,] 0.056482673 0.340362161 0.603155196
[10505,] 0.277960151 0.540291071 0.181748793
[10506,] 0.706257403 0.260367244 0.033375397
[10507,] 0.052958958 0.526995957 0.420045108
[10508,] 0.508472562 0.414369643 0.077157766
[10509,] 0.379288316 0.496552795 0.124158889
[10510,] 0.345250517 0.616222858 0.038526583
[10511,] 0.494798452 0.419083208 0.086118400
[10512,] 0.023260385 0.265102476 0.711637139
[10513,] 0.641850352 0.296281815 0.061867852
[10514,] 0.044223901 0.362800866 0.592975199
[10515,] 0.312422842 0.488129616 0.199447498
[10516,] 0.318202436 0.594742060 0.087055549
[10517,] 0.309031487 0.601459563 0.089508928
[10518,] 0.235761642 0.693491518 0.070746839
[10519,] 0.464316070 0.351405293 0.184278607
[10520,] 0.590349913 0.384214967 0.025435131
[10521,] 0.486913532 0.495347202 0.017739242
[10522,] 0.023463296 0.165511832 0.811024904
[10523,] 0.247889563 0.577983201 0.174127251
[10524,] 0.030474236 0.339878082 0.629647672
[10525,] 0.364269048 0.599571884 0.036159053
[10526,] 0.558096409 0.425147712 0.016755862
[10527,] 0.574332356 0.304204732 0.121462934
[10528,] 0.563334525 0.395870537 0.040794957
[10529,] 0.412861943 0.501780748 0.085357301
[10530,] 0.427966714 0.498273879 0.073759407
[10531,] 0.149074003 0.745903254 0.105022714
[10532,] 0.657414317 0.244762555 0.097823091
[10533,] 0.634718239 0.274637878 0.090643913
[10534,] 0.366125166 0.548142016 0.085732833
[10535,] 0.373950481 0.556610644 0.069438823
[10536,] 0.775034249 0.213138670 0.011827106
[10537,] 0.006124970 0.031474881 0.962400138
[10538,] 0.615605056 0.336540192 0.047854751
[10539,] 0.515410483 0.457776487 0.026813017
[10540,] 0.527333319 0.396368980 0.076297723
[10541,] 0.331425130 0.571610212 0.096964657
[10542,] 0.314704746 0.602988362 0.082306892
[10543,] 0.713633835 0.272985935 0.013380264
[10544,] 0.612140477 0.365775734 0.022083741
[10545,] 0.412863374 0.541069567 0.046067048
[10546,] 0.678826034 0.301716626 0.019457281
[10547,] 0.040790468 0.547243714 0.411965817
[10548,] 0.713856101 0.266144961 0.019998915
[10549,] 0.586377442 0.377103955 0.036518656
[10550,] 0.043398611 0.284965575 0.671635807
[10551,] 0.639436662 0.343654454 0.016908828
[10552,] 0.398197740 0.556307256 0.045495000
[10553,] 0.309117049 0.576019108 0.114863865
[10554,] 0.526244700 0.403223932 0.070531376
[10555,] 0.538170695 0.408264160 0.053565133
[10556,] 0.061291490 0.679679334 0.259029120
[10557,] 0.397612721 0.537794292 0.064593002
[10558,] 0.234544948 0.677211702 0.088243343
[10559,] 0.026668973 0.177722931 0.795608044
[10560,] 0.672073066 0.307157636 0.020769356
[10561,] 0.402544141 0.489542663 0.107913256
[10562,] 0.038326900 0.486699015 0.474974126
[10563,] 0.597611725 0.363423347 0.038964886
[10564,] 0.589767158 0.330836445 0.079396382
[10565,] 0.285259515 0.680016220 0.034724243
[10566,] 0.422519892 0.543500662 0.033979408
[10567,] 0.380895317 0.514291406 0.104813233
[10568,] 0.028627306 0.318638384 0.652734280
[10569,] 0.063080788 0.503992081 0.432927102
[10570,] 0.262343585 0.625975370 0.111681066
[10571,] 0.473674893 0.430009127 0.096316017
[10572,] 0.502644122 0.433306694 0.064049207
[10573,] 0.375650793 0.511241734 0.113107458
[10574,] 0.028399544 0.028479921 0.943120480
[10575,] 0.546642840 0.403267652 0.050089493
[10576,] 0.220888302 0.533461154 0.245650575
[10577,] 0.351264566 0.564828515 0.083906904
[10578,] 0.434599668 0.528631747 0.036768574
[10579,] 0.369054019 0.590815902 0.040130060
[10580,] 0.061651856 0.268236786 0.670111358
[10581,] 0.621183693 0.336410940 0.042405397
[10582,] 0.477615744 0.485004783 0.037379514
[10583,] 0.438416034 0.466963977 0.094620042
[10584,] 0.549193203 0.425884306 0.024922542
[10585,] 0.579264462 0.386891544 0.033843987
[10586,] 0.019331533 0.387532741 0.593135715
[10587,] 0.726961970 0.254164964 0.018873084
[10588,] 0.241758198 0.722040832 0.036200952
[10589,] 0.388373971 0.495350212 0.116275802
[10590,] 0.277908355 0.574974298 0.147117361
[10591,] 0.421255022 0.491671771 0.087073214
[10592,] 0.322892636 0.423070252 0.254037082
[10593,] 0.013288477 0.175671890 0.811039627
[10594,] 0.013999021 0.170005769 0.815995216
[10595,] 0.729059994 0.247888446 0.023051586
[10596,] 0.024003670 0.235717028 0.740279317
[10597,] 0.475537091 0.493755043 0.030707853
[10598,] 0.019766524 0.142063931 0.838169575
[10599,] 0.046223119 0.326615274 0.627161622
[10600,] 0.009213637 0.208084613 0.782701790
[10601,] 0.390338331 0.571260512 0.038401145
[10602,] 0.576414585 0.400077432 0.023507936
[10603,] 0.467595637 0.490816534 0.041587777
[10604,] 0.545610487 0.331486762 0.122902729
[10605,] 0.507670522 0.447102606 0.045226868
[10606,] 0.807990015 0.180644423 0.011365529
[10607,] 0.150889546 0.281731158 0.567379296
[10608,] 0.014179398 0.148557186 0.837263405
[10609,] 0.076893419 0.310235500 0.612871110
[10610,] 0.026127469 0.317679435 0.656193078
[10611,] 0.035442699 0.285411656 0.679145634
[10612,] 0.489399046 0.390394449 0.120206453
[10613,] 0.032099158 0.394462228 0.573438585
[10614,] 0.383636475 0.471949458 0.144414127
[10615,] 0.027564956 0.353373438 0.619061589
[10616,] 0.019055123 0.197137833 0.783807039
[10617,] 0.289005756 0.631725371 0.079268880
[10618,] 0.045488615 0.358999789 0.595511615
[10619,] 0.055631619 0.398984998 0.545383394
[10620,] 0.060886700 0.332564801 0.606548488
[10621,] 0.059029575 0.327141643 0.613828778
[10622,] 0.060349766 0.320057362 0.619592905
[10623,] 0.675262272 0.301592022 0.023145724
[10624,] 0.162011534 0.333397955 0.504590511
[10625,] 0.119045250 0.239320084 0.641634703
[10626,] 0.006937176 0.216192186 0.776870668
[10627,] 0.331398547 0.611538410 0.057063024
[10628,] 0.284920007 0.680095851 0.034984186
[10629,] 0.027647309 0.228874907 0.743477821
[10630,] 0.061077252 0.594964862 0.343957871
[10631,] 0.028051814 0.297649890 0.674298286
[10632,] 0.255551487 0.272001088 0.472447395
[10633,] 0.028883401 0.174168468 0.796948075
[10634,] 0.046293311 0.372190684 0.581516027
[10635,] 0.046896238 0.322950780 0.630152941
[10636,] 0.621045232 0.319538087 0.059416682
[10637,] 0.722895861 0.251615644 0.025488485
[10638,] 0.018989073 0.166125402 0.814885497
[10639,] 0.554409683 0.378103256 0.067487083
[10640,] 0.539207399 0.401988029 0.058804560
[10641,] 0.557119071 0.381087393 0.061793543
[10642,] 0.078478530 0.316494465 0.605027020
[10643,] 0.026100982 0.196784481 0.777114570
[10644,] 0.027643895 0.399575233 0.572780907
[10645,] 0.392971188 0.510963976 0.096064806
[10646,] 0.496459335 0.466843635 0.036696952
[10647,] 0.688669741 0.289617747 0.021712525
[10648,] 0.257778108 0.480695516 0.261526406
[10649,] 0.029881189 0.447384924 0.522733867
[10650,] 0.082827248 0.239753366 0.677419364
[10651,] 0.080252245 0.606870055 0.312877685
[10652,] 0.042151596 0.156698823 0.801149547
[10653,] 0.036295552 0.138436884 0.825267553
[10654,] 0.619272470 0.338029861 0.042697679
[10655,] 0.373021364 0.559493303 0.067485295
[10656,] 0.067506291 0.260581791 0.671911895
[10657,] 0.108093373 0.496538401 0.395368189
[10658,] 0.304557413 0.598835051 0.096607514
[10659,] 0.132054895 0.263082594 0.604862511
[10660,] 0.139865443 0.556327462 0.303807080
[10661,] 0.046060439 0.301184833 0.652754664
[10662,] 0.040308021 0.157551631 0.802140355
[10663,] 0.072764300 0.129689902 0.797545791
[10664,] 0.019842759 0.334389299 0.645767987
[10665,] 0.258471221 0.267686635 0.473842174
[10666,] 0.123623215 0.305948526 0.570428252
[10667,] 0.468990773 0.465900511 0.065108754
[10668,] 0.028712418 0.100613698 0.870673835
[10669,] 0.022024833 0.191000134 0.786975086
[10670,] 0.715637684 0.268295228 0.016067142
[10671,] 0.130466789 0.209829703 0.659703493
[10672,] 0.073208630 0.590062141 0.336729228
[10673,] 0.370000422 0.585772812 0.044226699
[10674,] 0.409544945 0.521678686 0.068776421
[10675,] 0.377153188 0.559112132 0.063734703
[10676,] 0.376385897 0.595485389 0.028128712
[10677,] 0.631165564 0.352738410 0.016096067
[10678,] 0.684170067 0.264558792 0.051271103
[10679,] 0.532228947 0.435277432 0.032493602
[10680,] 0.023391906 0.225655422 0.750952721
[10681,] 0.032292027 0.219323203 0.748384833
[10682,] 0.004876793 0.413895160 0.581228018
[10683,] 0.757068753 0.230758548 0.012172726
[10684,] 0.695522487 0.290404350 0.014073136
[10685,] 0.324166119 0.539787889 0.136046007
[10686,] 0.536690354 0.454497963 0.008811686
[10687,] 0.021800779 0.137115762 0.841083467
[10688,] 0.848839164 0.143832609 0.007328268
[10689,] 0.583074987 0.379680753 0.037244245
[10690,] 0.491823345 0.497136563 0.011040119
[10691,] 0.739822507 0.244437844 0.015739605
[10692,] 0.516890287 0.457608998 0.025500748
[10693,] 0.511128008 0.471069187 0.017802797
[10694,] 0.429830074 0.508789778 0.061380170
[10695,] 0.557565033 0.362111032 0.080323972
[10696,] 0.298657954 0.648966670 0.052375421
[10697,] 0.258605093 0.472840250 0.268554717
[10698,] 0.748723984 0.241682157 0.009593821
[10699,] 0.296442568 0.444296896 0.259260535
[10700,] 0.010283804 0.174489409 0.815226793
[10701,] 0.014224323 0.223003611 0.762772083
[10702,] 0.004661891 0.080820538 0.914517581
[10703,] 0.006909978 0.108190171 0.884899855
[10704,] 0.013155106 0.187967002 0.798877835
[10705,] 0.800679564 0.185175985 0.014144463
[10706,] 0.643175542 0.331560165 0.025264302
[10707,] 0.723064363 0.266035527 0.010900103
[10708,] 0.273527116 0.633720398 0.092752464
[10709,] 0.641627312 0.311125576 0.047247067
[10710,] 0.311936289 0.598433852 0.089629896
[10711,] 0.728457212 0.263519347 0.008023420
[10712,] 0.666858137 0.322425187 0.010716629
[10713,] 0.178007141 0.775209665 0.046783190
[10714,] 0.921352208 0.072346427 0.006301324
[10715,] 0.307714462 0.644310653 0.047974914
[10716,] 0.684434950 0.300483137 0.015081918
[10717,] 0.614685655 0.375475705 0.009838647
[10718,] 0.442535639 0.525451541 0.032012839
[10719,] 0.809375823 0.172554880 0.018069288
[10720,] 0.132918745 0.340083987 0.526997268
[10721,] 0.318296134 0.624386191 0.057317693
[10722,] 0.830569744 0.155401900 0.014028328
[10723,] 0.441760212 0.513795972 0.044443756
[10724,] 0.225082800 0.459850430 0.315066844
[10725,] 0.171618536 0.710287929 0.118093506
[10726,] 0.212431550 0.703277171 0.084291264
[10727,] 0.700176477 0.289592773 0.010230760
[10728,] 0.457984626 0.532083571 0.009931766
[10729,] 0.349729896 0.582435310 0.067834780
[10730,] 0.478181779 0.497320533 0.024497667
[10731,] 0.401623100 0.559827805 0.038549121
[10732,] 0.203130007 0.723273814 0.073596172
[10733,] 0.278741479 0.651649773 0.069608770
[10734,] 0.020073058 0.165843099 0.814083815
[10735,] 0.032285478 0.304750144 0.662964404
[10736,] 0.006207037 0.080449112 0.913343906
[10737,] 0.011141063 0.142933637 0.845925272
[10738,] 0.011072496 0.159311533 0.829615951
[10739,] 0.007080310 0.100897752 0.892021894
[10740,] 0.010388415 0.124756902 0.864854693
[10741,] 0.004973816 0.085049622 0.909976542
[10742,] 0.010356414 0.147565380 0.842078209
[10743,] 0.637448609 0.314774483 0.047776945
[10744,] 0.451706946 0.439700782 0.108592264
[10745,] 0.529840231 0.345313132 0.124846630
[10746,] 0.586080074 0.396758199 0.017161733
[10747,] 0.540741563 0.448939025 0.010319448
[10748,] 0.478727669 0.439237773 0.082034603
[10749,] 0.118166767 0.459593445 0.422239780
[10750,] 0.004822557 0.021704599 0.973472834
[10751,] 0.007517343 0.346723586 0.645759106
[10752,] 0.531361938 0.415990084 0.052647959
[10753,] 0.289017946 0.467318267 0.243663803
[10754,] 0.536083817 0.415388286 0.048527878
[10755,] 0.005300093 0.238027140 0.756672740
[10756,] 0.273848474 0.634861469 0.091290034
[10757,] 0.582268715 0.404708594 0.013022709
[10758,] 0.900416434 0.093141519 0.006442084
[10759,] 0.021937212 0.155236796 0.822825968
[10760,] 0.633802652 0.347177446 0.019019932
[10761,] 0.498926342 0.470133543 0.030940199
[10762,] 0.568143785 0.422695518 0.009160675
[10763,] 0.475840867 0.468385279 0.055773892
[10764,] 0.571422637 0.405402690 0.023174673
[10765,] 0.404974639 0.562026620 0.032998744
[10766,] 0.228030682 0.507657409 0.264311939
[10767,] 0.291919857 0.643359542 0.064720616
[10768,] 0.276375979 0.651057124 0.072566897
[10769,] 0.015436577 0.187864542 0.796698868
[10770,] 0.011092160 0.116465598 0.872442245
[10771,] 0.031071818 0.250612259 0.718315959
[10772,] 0.004722775 0.237082526 0.758194745
[10773,] 0.304461807 0.612435877 0.083102316
[10774,] 0.648981214 0.337902337 0.013116446
[10775,] 0.611876786 0.371086866 0.017036304
[10776,] 0.232240200 0.365848273 0.401911527
[10777,] 0.169639692 0.365779430 0.464580864
[10778,] 0.004477101 0.214872360 0.780650556
[10779,] 0.004475260 0.203544140 0.791980624
[10780,] 0.437810451 0.446935803 0.115253784
[10781,] 0.563432336 0.361519635 0.075047992
[10782,] 0.581675828 0.403267801 0.015056360
[10783,] 0.556700468 0.350359172 0.092940353
[10784,] 0.224356800 0.469104797 0.306538373
[10785,] 0.441902608 0.500585139 0.057512250
[10786,] 0.088073239 0.782243729 0.129683033
[10787,] 0.315895855 0.622204363 0.061899800
[10788,] 0.029936930 0.246523693 0.723539412
[10789,] 0.621706188 0.355921268 0.022372512
[10790,] 0.005621627 0.140455961 0.853922367
[10791,] 0.247594476 0.696200907 0.056204651
[10792,] 0.496140003 0.437047631 0.066812359
[10793,] 0.917645454 0.075404629 0.006949903
[10794,] 0.369488955 0.509903431 0.120607629
[10795,] 0.209623158 0.746247470 0.044129394
[10796,] 0.294732869 0.574983180 0.130283952
[10797,] 0.041911516 0.393520653 0.564567804
[10798,] 0.019768367 0.140786037 0.839445531
[10799,] 0.506522000 0.388793498 0.104684502
[10800,] 0.237306401 0.721854210 0.040839370
[10801,] 0.472494662 0.404183239 0.123322129
[10802,] 0.010226524 0.133744419 0.856029034
[10803,] 0.430425286 0.559246659 0.010328099
[10804,] 0.312398076 0.478788316 0.208813578
[10805,] 0.009454630 0.136346653 0.854198694
[10806,] 0.399310023 0.535098016 0.065591969
[10807,] 0.156493470 0.786542416 0.056964066
[10808,] 0.184818164 0.797980189 0.017201656
[10809,] 0.378664404 0.487835586 0.133499965
[10810,] 0.423049718 0.461277097 0.115673222
[10811,] 0.803586781 0.182295099 0.014118062
[10812,] 0.331757158 0.631540835 0.036701988
[10813,] 0.391937792 0.569840491 0.038221739
[10814,] 0.515973032 0.470829457 0.013197510
[10815,] 0.344252259 0.614374518 0.041373260
[10816,] 0.002629377 0.157561108 0.839809537
[10817,] 0.401053518 0.426184386 0.172762051
[10818,] 0.409959108 0.570999444 0.019041475
[10819,] 0.035824891 0.365315586 0.598859549
[10820,] 0.015043198 0.163301304 0.821655512
[10821,] 0.328031361 0.451691180 0.220277503
[10822,] 0.268868655 0.716449201 0.014682109
[10823,] 0.474290699 0.500877917 0.024831399
[10824,] 0.781464338 0.202555537 0.015980076
[10825,] 0.450921625 0.467084676 0.081993677
[10826,] 0.520643353 0.405304492 0.074052170
[10827,] 0.241420329 0.427092522 0.331487119
[10828,] 0.534392238 0.427006781 0.038600963
[10829,] 0.667487144 0.311207741 0.021305107
[10830,] 0.358905286 0.550539613 0.090555131
[10831,] 0.340823025 0.590679944 0.068497024
[10832,] 0.004963008 0.119638272 0.875398695
[10833,] 0.723133981 0.240259826 0.036606215
[10834,] 0.381525159 0.550398052 0.068076856
[10835,] 0.383818835 0.474627435 0.141553730
[10836,] 0.266383171 0.678522885 0.055094000
[10837,] 0.664571226 0.325954586 0.009474172
[10838,] 0.265462905 0.628373682 0.106163450
[10839,] 0.562953651 0.417031646 0.020014696
[10840,] 0.558038652 0.430495143 0.011466261
[10841,] 0.010072718 0.129182354 0.860744894
[10842,] 0.552179694 0.419052154 0.028768148
[10843,] 0.020842453 0.180608183 0.798549414
[10844,] 0.490375370 0.435238957 0.074385732
[10845,] 0.257657528 0.565436959 0.176905483
[10846,] 0.865841985 0.126441970 0.007716006
[10847,] 0.004139071 0.237610653 0.758250296
[10848,] 0.013722471 0.237264618 0.749012947
[10849,] 0.448500276 0.487158358 0.064341374
[10850,] 0.002279586 0.104828902 0.892891526
[10851,] 0.454928368 0.509157836 0.035913777
[10852,] 0.008063241 0.125329465 0.866607308
[10853,] 0.005168933 0.052787978 0.942043066
[10854,] 0.012891802 0.162295237 0.824813008
[10855,] 0.005143894 0.050877400 0.943978667
[10856,] 0.006370939 0.102848649 0.890780389
[10857,] 0.575053155 0.337039560 0.087907255
[10858,] 0.007825319 0.153919384 0.838255346
[10859,] 0.025757605 0.088666521 0.885575891
[10860,] 0.016475251 0.139730856 0.843793869
[10861,] 0.038129907 0.146572784 0.815297306
[10862,] 0.019294987 0.184616879 0.796088159
[10863,] 0.004907270 0.070800148 0.924292624
[10864,] 0.006318982 0.067628942 0.926052153
[10865,] 0.015620151 0.172812358 0.811567545
[10866,] 0.661763906 0.317244053 0.020991998
[10867,] 0.013237244 0.203256145 0.783506632
[10868,] 0.828325152 0.166118339 0.005556526
[10869,] 0.693405271 0.296609074 0.009985654
[10870,] 0.645085514 0.346175998 0.008738546
[10871,] 0.695236146 0.297382087 0.007381771
[10872,] 0.559075534 0.432410300 0.008514130
[10873,] 0.480443329 0.500677884 0.018878795
[10874,] 0.037802681 0.215689883 0.746507466
[10875,] 0.790428638 0.195043415 0.014527957
[10876,] 0.054204077 0.357723683 0.588072240
[10877,] 0.060076542 0.237268448 0.702655077
[10878,] 0.515974641 0.471900702 0.012124704
[10879,] 0.049992703 0.482280463 0.467726797
[10880,] 0.813926458 0.174445018 0.011628455
[10881,] 0.672076941 0.317042977 0.010880074
[10882,] 0.771243930 0.215822577 0.012933555
[10883,] 0.625359416 0.352044374 0.022596244
[10884,] 0.793493807 0.198725745 0.007780442
[10885,] 0.730135024 0.261483878 0.008381115
[10886,] 0.038148619 0.294700682 0.667150736
[10887,] 0.629245877 0.362468809 0.008285352
[10888,] 0.448475212 0.543447733 0.008077078
[10889,] 0.786557913 0.205980241 0.007461817
[10890,] 0.720933974 0.269691855 0.009374189
[10891,] 0.656562328 0.285636067 0.057801612
[10892,] 0.046166047 0.232984707 0.720849276
[10893,] 0.474479377 0.512902081 0.012618545
[10894,] 0.789332867 0.193499833 0.017167322
[10895,] 0.743764102 0.247855693 0.008380227
[10896,] 0.020043571 0.271684140 0.708272338
[10897,] 0.003289021 0.293078840 0.703632116
[10898,] 0.808140993 0.180976838 0.010882137
[10899,] 0.891527414 0.096921630 0.011550901
[10900,] 0.778444350 0.210932240 0.010623413
[10901,] 0.039260186 0.337694138 0.623045623
[10902,] 0.756228685 0.234876722 0.008894598
[10903,] 0.371972591 0.622870207 0.005157223
[10904,] 0.427165627 0.551726341 0.021108050
[10905,] 0.041847873 0.500887394 0.457264692
[10906,] 0.015430445 0.260145605 0.724424005
[10907,] 0.763223708 0.230819002 0.005957263
[10908,] 0.893245161 0.098084211 0.008670642
[10909,] 0.859907627 0.125722721 0.014369668
[10910,] 0.624463558 0.311282098 0.064254351
[10911,] 0.916476071 0.075336054 0.008187890
[10912,] 0.010957395 0.221984193 0.767058432
[10913,] 0.043876618 0.230212271 0.725911140
[10914,] 0.692056656 0.296657830 0.011285539
[10915,] 0.761198938 0.229540661 0.009260433
[10916,] 0.753150344 0.235173449 0.011676228
[10917,] 0.270424694 0.481758028 0.247817308
[10918,] 0.660490334 0.303371310 0.036138397
[10919,] 0.021249134 0.173704669 0.805046201
[10920,] 0.852543294 0.138180643 0.009276037
[10921,] 0.680621088 0.309382856 0.009996080
[10922,] 0.544074953 0.442379057 0.013546002
[10923,] 0.089761540 0.867250323 0.042988144
[10924,] 0.609151065 0.373018712 0.017830256
[10925,] 0.560366988 0.364824146 0.074808873
[10926,] 0.392980665 0.596526563 0.010492756
[10927,] 0.683737099 0.301654786 0.014608087
[10928,] 0.420441419 0.553882957 0.025675606
[10929,] 0.692440510 0.284994245 0.022565223
[10930,] 0.003625101 0.313080430 0.683294475
[10931,] 0.628350616 0.195706233 0.175943106
[10932,] 0.615787745 0.376994610 0.007217674
[10933,] 0.474023581 0.519652605 0.006323819
[10934,] 0.921355963 0.071281947 0.007362044
[10935,] 0.019145107 0.173675314 0.807179570
[10936,] 0.767561197 0.223529115 0.008909658
[10937,] 0.806186378 0.182330608 0.011483017
[10938,] 0.014594787 0.195561320 0.789843857
[10939,] 0.475157112 0.452080756 0.072762080
[10940,] 0.598007619 0.368931204 0.033061165
[10941,] 0.793254614 0.192053795 0.014691640
[10942,] 0.004842081 0.232600093 0.762557805
[10943,] 0.659760118 0.324288875 0.015950998
[10944,] 0.771823823 0.216753617 0.011422523
[10945,] 0.670038164 0.306366563 0.023595231
[10946,] 0.608081579 0.377454877 0.014463542
[10947,] 0.613247097 0.377972752 0.008780150
[10948,] 0.706675529 0.280011564 0.013312889
[10949,] 0.741526723 0.237560883 0.020912355
[10950,] 0.712444365 0.246206433 0.041349184
[10951,] 0.020272695 0.146861583 0.832865775
[10952,] 0.018486146 0.185119867 0.796393991
[10953,] 0.676199317 0.283316404 0.040484298
[10954,] 0.684325218 0.302913755 0.012760999
[10955,] 0.493728429 0.487415224 0.018856356
[10956,] 0.502829492 0.487049162 0.010121354
[10957,] 0.339570999 0.354852796 0.305576175
[10958,] 0.044381969 0.392624229 0.562993765
[10959,] 0.698710918 0.291707486 0.009581568
[10960,] 0.040426105 0.504165649 0.455408186
[10961,] 0.052882910 0.326607257 0.620509863
[10962,] 0.014101041 0.121023968 0.864875019
[10963,] 0.850397110 0.137424812 0.012178076
[10964,] 0.038928900 0.310717583 0.650353551
[10965,] 0.019596191 0.154702350 0.825701535
[10966,] 0.374166757 0.587579072 0.038254157
[10967,] 0.348195106 0.566581309 0.085223608
[10968,] 0.692894757 0.298402101 0.008703171
[10969,] 0.486621141 0.484430701 0.028948097
[10970,] 0.423571140 0.481791794 0.094637044
[10971,] 0.679898024 0.286538839 0.033563171
[10972,] 0.749696195 0.233340934 0.016962886
[10973,] 0.511155546 0.482293040 0.006551379
[10974,] 0.041960731 0.244480267 0.713558972
[10975,] 0.031345464 0.245769814 0.722884715
[10976,] 0.689837337 0.233579889 0.076582812
[10977,] 0.437915862 0.523864985 0.038219176
[10978,] 0.431725651 0.528287888 0.039986487
[10979,] 0.760441780 0.224989593 0.014568643
[10980,] 0.882576883 0.106467716 0.010955454
[10981,] 0.033868533 0.200388849 0.765742660
[10982,] 0.898416758 0.094449095 0.007134108
[10983,] 0.467057675 0.514993608 0.017948696
[10984,] 0.596790791 0.390817106 0.012392100
[10985,] 0.008037761 0.128941938 0.863020301
[10986,] 0.025607113 0.184643954 0.789748907
[10987,] 0.875540435 0.117397673 0.007061938
[10988,] 0.005421523 0.502660930 0.491917521
[10989,] 0.456083745 0.283918917 0.259997278
[10990,] 0.525523305 0.279865056 0.194611654
[10991,] 0.645414293 0.341077447 0.013508280
[10992,] 0.409895122 0.582074523 0.008030383
[10993,] 0.672498345 0.301490724 0.026010903
[10994,] 0.644669771 0.323457897 0.031872362
[10995,] 0.628096998 0.352338314 0.019564671
[10996,] 0.846811414 0.145797908 0.007390681
[10997,] 0.244028538 0.709052503 0.046918992
[10998,] 0.447632730 0.488989383 0.063377887
[10999,] 0.563062310 0.370980203 0.065957457
[11000,] 0.610986531 0.378588825 0.010424678
[11001,] 0.863604069 0.128763601 0.007632335
[11002,] 0.571210206 0.419612050 0.009177780
[11003,] 0.005700439 0.175909773 0.818389773
[11004,] 0.697572291 0.291273743 0.011153973
[11005,] 0.032202274 0.297645360 0.670152366
[11006,] 0.799498975 0.187675759 0.012825257
[11007,] 0.644467175 0.348002970 0.007529815
[11008,] 0.553767622 0.422657311 0.023575030
[11009,] 0.432084680 0.551254570 0.016660770
[11010,] 0.039421998 0.220045596 0.740532398
[11011,] 0.882542610 0.107982516 0.009474893
[11012,] 0.700272322 0.288429826 0.011297841
[11013,] 0.879695654 0.111578941 0.008725431
[11014,] 0.057178598 0.312228680 0.630592704
[11015,] 0.295922697 0.691085756 0.012991566
[11016,] 0.753150046 0.237615854 0.009234121
[11017,] 0.004798111 0.197412685 0.797789156
[11018,] 0.004543660 0.200111568 0.795344770
[11019,] 0.028415242 0.210860357 0.760724366
[11020,] 0.004203480 0.147777304 0.848019242
[11021,] 0.384961337 0.603532672 0.011506027
[11022,] 0.029853504 0.189687967 0.780458570
[11023,] 0.781092465 0.211350247 0.007557345
[11024,] 0.021156242 0.216511965 0.762331843
[11025,] 0.036409784 0.179293945 0.784296274
[11026,] 0.511199296 0.473748147 0.015052591
[11027,] 0.765509307 0.216665134 0.017825585
[11028,] 0.054863174 0.254036427 0.691100419
[11029,] 0.015437515 0.177418247 0.807144225
[11030,] 0.034247056 0.373512179 0.592240810
[11031,] 0.005861106 0.183222443 0.810916483
[11032,] 0.681537271 0.285131097 0.033331644
[11033,] 0.508133948 0.465420991 0.026445063
[11034,] 0.003886096 0.483427495 0.512686431
[11035,] 0.030171648 0.158700883 0.811127484
[11036,] 0.021809066 0.095986873 0.882203996
[11037,] 0.052114956 0.182995319 0.764889777
[11038,] 0.054857895 0.124972858 0.820169210
[11039,] 0.170006752 0.703305662 0.126687616
[11040,] 0.057178598 0.312228680 0.630592704
[11041,] 0.044022296 0.122441135 0.833536565
[11042,] 0.017723972 0.148440272 0.833835781
[11043,] 0.010320403 0.258166075 0.731513560
[11044,] 0.311939716 0.640714228 0.047346026
[11045,] 0.142867774 0.709282577 0.147849634
[11046,] 0.036434110 0.172893107 0.790672779
[11047,] 0.691867054 0.298725277 0.009407628
[11048,] 0.037702866 0.500803411 0.461493731
[11049,] 0.060716417 0.242852613 0.696430922
[11050,] 0.800095201 0.192371100 0.007533680
[11051,] 0.007873503 0.155745104 0.836381435
[11052,] 0.031837959 0.252140015 0.716022015
[11053,] 0.714331448 0.209181949 0.076486565
[11054,] 0.072511330 0.304725021 0.622763634
[11055,] 0.031877376 0.202537507 0.765585124
[11056,] 0.015307521 0.159871981 0.824820459
[11057,] 0.661894739 0.325715244 0.012390037
[11058,] 0.652781129 0.330543667 0.016675184
[11059,] 0.885746479 0.108541563 0.005712001
[11060,] 0.004686689 0.189030737 0.806282580
[11061,] 0.789558828 0.196150914 0.014290213
[11062,] 0.031354189 0.236229718 0.732416153
[11063,] 0.009513279 0.579306066 0.411180675
[11064,] 0.664490342 0.262624294 0.072885357
[11065,] 0.006482726 0.374468148 0.619049072
[11066,] 0.808297217 0.186147094 0.005555668
[11067,] 0.767647088 0.222932905 0.009420032
[11068,] 0.005338517 0.229620427 0.765041053
[11069,] 0.005490947 0.016468553 0.978040457
[11070,] 0.022558656 0.168481544 0.808959782
[11071,] 0.011042026 0.242001951 0.746955991
[11072,] 0.624909878 0.302780658 0.072309434
[11073,] 0.062287893 0.327746034 0.609966099
[11074,] 0.813355029 0.176036105 0.010608827
[11075,] 0.006628074 0.083319634 0.910052299
[11076,] 0.726426005 0.246902213 0.026671765
[11077,] 0.588865578 0.359474242 0.051660199
[11078,] 0.904533088 0.084194697 0.011272285
[11079,] 0.016965155 0.485264003 0.497770816
[11080,] 0.579793572 0.285960108 0.134246320
[11081,] 0.029890118 0.444800705 0.525309205
[11082,] 0.025328390 0.170189783 0.804481804
[11083,] 0.675741434 0.289876372 0.034382191
[11084,] 0.045110643 0.282629848 0.672259510
[11085,] 0.030853070 0.220849797 0.748297095
[11086,] 0.020152986 0.084871657 0.894975305
[11087,] 0.075806320 0.296271145 0.627922535
[11088,] 0.048755728 0.267526329 0.683717966
[11089,] 0.009261206 0.322837561 0.667901218
[11090,] 0.903750837 0.089391604 0.006857594
[11091,] 0.710294247 0.261820227 0.027885497
[11092,] 0.754606128 0.197708696 0.047685135
[11093,] 0.737227261 0.240400091 0.022372715
[11094,] 0.547587335 0.416158617 0.036254019
[11095,] 0.663997293 0.300095320 0.035907354
[11096,] 0.863102436 0.127627328 0.009270268
[11097,] 0.737900019 0.146954700 0.115145326
[11098,] 0.756156445 0.219398871 0.024444675
[11099,] 0.771194100 0.199712381 0.029093567
[11100,] 0.031591248 0.201359451 0.767049313
[11101,] 0.489460111 0.385232717 0.125307187
[11102,] 0.428972214 0.280367911 0.290659875
[11103,] 0.569317520 0.368877620 0.061804853
[11104,] 0.018828711 0.181165159 0.800006151
[11105,] 0.449479252 0.454356819 0.096163921
[11106,] 0.751740396 0.231161326 0.017098287
[11107,] 0.654065132 0.310196012 0.035738871
[11108,] 0.660954356 0.308820933 0.030224686
[11109,] 0.465566754 0.323856711 0.210576564
[11110,] 0.058080122 0.828367352 0.113552473
[11111,] 0.753656268 0.211795747 0.034547966
[11112,] 0.859001994 0.128498703 0.012499292
[11113,] 0.718883872 0.208717719 0.072398424
[11114,] 0.814473331 0.169249013 0.016277669
[11115,] 0.656507611 0.326811790 0.016680567
[11116,] 0.703465998 0.278690547 0.017843524
[11117,] 0.547750413 0.214450285 0.237799287
[11118,] 0.735451818 0.218945026 0.045603223
[11119,] 0.732168734 0.202031985 0.065799326
[11120,] 0.707840383 0.277800411 0.014359174
[11121,] 0.732211888 0.229666680 0.038121436
[11122,] 0.651422024 0.299876988 0.048700977
[11123,] 0.026752649 0.201209292 0.772038043
[11124,] 0.027743675 0.241837084 0.730419278
[11125,] 0.832407176 0.158136070 0.009456790
[11126,] 0.783352137 0.194207475 0.022440359
[11127,] 0.240214765 0.394259781 0.365525454
[11128,] 0.465390921 0.343536466 0.191072613
[11129,] 0.842234313 0.144270539 0.013495141
[11130,] 0.044809740 0.230523750 0.724666536
[11131,] 0.594883800 0.325615019 0.079501197
[11132,] 0.829776347 0.140124053 0.030099638
[11133,] 0.736615360 0.224784568 0.038600061
[11134,] 0.675513089 0.290203333 0.034283601
[11135,] 0.650378704 0.209250391 0.140370950
[11136,] 0.772180200 0.099054627 0.128765166
[11137,] 0.015760496 0.164307430 0.819932103
[11138,] 0.772702098 0.208624333 0.018673586
[11139,] 0.716790915 0.240322188 0.042886876
[11140,] 0.811138749 0.176121652 0.012739632
[11141,] 0.737714708 0.238802001 0.023483291
[11142,] 0.626403511 0.326216847 0.047379673
[11143,] 0.094599508 0.311219662 0.594180822
[11144,] 0.768457353 0.202621579 0.028921118
[11145,] 0.588175952 0.221974477 0.189849585
[11146,] 0.749537110 0.211112559 0.039350349
[11147,] 0.749409914 0.227222517 0.023367584
[11148,] 0.751834035 0.223456442 0.024709508
[11149,] 0.691760719 0.272737324 0.035501972
[11150,] 0.678785801 0.284276843 0.036937363
[11151,] 0.014833339 0.189921796 0.795244873
[11152,] 0.720697641 0.233777076 0.045525260
[11153,] 0.729369521 0.243453994 0.027176473
[11154,] 0.616092026 0.341901809 0.042006169
[11155,] 0.460531712 0.287991554 0.251476705
[11156,] 0.463426501 0.337953955 0.198619515
[11157,] 0.806211472 0.175944716 0.017843826
[11158,] 0.687813282 0.289699703 0.022487005
[11159,] 0.782526612 0.197874516 0.019598845
[11160,] 0.039467521 0.241419554 0.719112873
[11161,] 0.833395064 0.151100203 0.015504763
[11162,] 0.714484096 0.264662772 0.020853141
[11163,] 0.676961422 0.285095751 0.037942853
[11164,] 0.102437221 0.773227096 0.124335676
[11165,] 0.696772873 0.280633509 0.022593608
[11166,] 0.808226109 0.180155843 0.011618072
[11167,] 0.798601151 0.188584372 0.012814490
[11168,] 0.016617583 0.247881815 0.735500634
[11169,] 0.779128551 0.191888213 0.028983273
[11170,] 0.585283339 0.377528191 0.037188504
[11171,] 0.752860963 0.216999009 0.030140007
[11172,] 0.246759236 0.452683926 0.300556809
[11173,] 0.669421017 0.267313987 0.063264981
[11174,] 0.035553440 0.272022605 0.692423940
[11175,] 0.081226096 0.198114917 0.720659018
[11176,] 0.779711068 0.205336452 0.014952461
[11177,] 0.697809815 0.265010566 0.037179638
[11178,] 0.049906965 0.194035053 0.756057978
[11179,] 0.736602068 0.213747278 0.049650609
[11180,] 0.692085683 0.292458922 0.015455366
[11181,] 0.525952399 0.231106937 0.242940664
[11182,] 0.255087048 0.305155158 0.439757764
[11183,] 0.664583564 0.277778924 0.057637446
[11184,] 0.230123669 0.515044570 0.254831761
[11185,] 0.414711326 0.355428100 0.229860649
[11186,] 0.558984816 0.341883153 0.099132039
[11187,] 0.353381485 0.481316417 0.165302068
[11188,] 0.519228876 0.291991889 0.188779250
[11189,] 0.664338470 0.265723586 0.069937892
[11190,] 0.691420019 0.246480092 0.062099896
[11191,] 0.728326201 0.193395704 0.078278065
[11192,] 0.770226717 0.203579739 0.026193513
[11193,] 0.561211646 0.309221923 0.129566371
[11194,] 0.660074115 0.283521384 0.056404505
[11195,] 0.759008765 0.222887784 0.018103475
[11196,] 0.812115550 0.180802271 0.007082202
[11197,] 0.546898186 0.333958715 0.119143113
[11198,] 0.856341481 0.131988898 0.011669679
[11199,] 0.766096354 0.218190014 0.015713664
[11200,] 0.025397683 0.280915618 0.693686724
[11201,] 0.007927050 0.439230829 0.552842140
[11202,] 0.049496695 0.263587832 0.686915457
[11203,] 0.026627697 0.228055984 0.745316327
[11204,] 0.722736061 0.264105916 0.013158029
[11205,] 0.076340564 0.309038043 0.614621401
[11206,] 0.051950835 0.255484730 0.692564368
[11207,] 0.005148159 0.288921088 0.705930710
[11208,] 0.761414111 0.218825743 0.019760184
[11209,] 0.806766272 0.180023238 0.013210514
[11210,] 0.798845053 0.162119240 0.039035674
[11211,] 0.059531517 0.260211974 0.680256546
[11212,] 0.025189543 0.217276692 0.757533729
[11213,] 0.015130272 0.190909117 0.793960631
[11214,] 0.040797710 0.199946567 0.759255707
[11215,] 0.009869003 0.105589777 0.884541273
[11216,] 0.702490330 0.276829064 0.020680569
[11217,] 0.530921280 0.418122083 0.050956592
[11218,] 0.237156853 0.348316938 0.414526194
[11219,] 0.614706516 0.329619616 0.055673864
[11220,] 0.778856874 0.207936764 0.013206327
[11221,] 0.436041951 0.320174694 0.243783370
[11222,] 0.088882484 0.410096258 0.501021206
[11223,] 0.296950191 0.284177572 0.418872297
[11224,] 0.867638648 0.124651454 0.007709898
[11225,] 0.627005517 0.289737642 0.083256863
[11226,] 0.830938160 0.158749893 0.010311982
[11227,] 0.274732202 0.322617143 0.402650625
[11228,] 0.617134571 0.283142626 0.099722862
[11229,] 0.377763718 0.394298732 0.227937505
[11230,] 0.496064484 0.363262355 0.140673146
[11231,] 0.857479692 0.130946785 0.011573508
[11232,] 0.484098494 0.287399441 0.228502005
[11233,] 0.710446060 0.269428730 0.020125233
[11234,] 0.040515747 0.332229227 0.627255023
[11235,] 0.024877848 0.209820762 0.765301406
[11236,] 0.015871461 0.145797178 0.838331401
[11237,] 0.761795521 0.224905223 0.013299291
[11238,] 0.018545311 0.165915266 0.815539420
[11239,] 0.155636251 0.281787962 0.562575758
[11240,] 0.844742417 0.146459773 0.008797843
[11241,] 0.044152681 0.255587220 0.700260162
[11242,] 0.036040846 0.213212997 0.750746191
[11243,] 0.026262837 0.242690042 0.731047153
[11244,] 0.029324455 0.281021804 0.689653754
[11245,] 0.015477019 0.135726854 0.848796129
[11246,] 0.045264430 0.321196824 0.633538723
[11247,] 0.770780742 0.211595744 0.017623469
[11248,] 0.543890476 0.342951387 0.113158077
[11249,] 0.402309597 0.402942240 0.194748148
[11250,] 0.693571806 0.275691003 0.030737212
[11251,] 0.722801983 0.245770216 0.031427749
[11252,] 0.776105523 0.205353811 0.018540705
[11253,] 0.675811887 0.304674238 0.019513933
[11254,] 0.802805543 0.183701545 0.013492937
[11255,] 0.617029786 0.251428545 0.131541684
[11256,] 0.787794709 0.192916870 0.019288408
[11257,] 0.028800489 0.249663964 0.721535504
[11258,] 0.030782251 0.252119005 0.717098773
[11259,] 0.277887106 0.352983624 0.369129241
[11260,] 0.735910535 0.242761523 0.021327917
[11261,] 0.425943553 0.343912631 0.230143800
[11262,] 0.640568793 0.323915988 0.035515226
[11263,] 0.191763029 0.236204520 0.572032452
[11264,] 0.607879817 0.219712973 0.172407210
[11265,] 0.656994164 0.300900459 0.042105317
[11266,] 0.728128850 0.255862921 0.016008202
[11267,] 0.646352053 0.247976348 0.105671592
[11268,] 0.673531651 0.298256904 0.028211406
[11269,] 0.834774733 0.153828993 0.011396271
[11270,] 0.792632341 0.182472423 0.024895245
[11271,] 0.789410233 0.171010226 0.039579485
[11272,] 0.879015267 0.109761231 0.011223482
[11273,] 0.762960494 0.216931999 0.020107515
[11274,] 0.781533837 0.146220163 0.072246067
[11275,] 0.813288748 0.170198500 0.016512778
[11276,] 0.102926835 0.177832156 0.719240963
[11277,] 0.014491325 0.204285488 0.781223178
[11278,] 0.696741343 0.251209706 0.052048992
[11279,] 0.867052674 0.119552284 0.013395061
[11280,] 0.015044753 0.237122327 0.747832954
[11281,] 0.661086142 0.238061607 0.100852229
[11282,] 0.825457275 0.157397076 0.017145697
[11283,] 0.054091830 0.355829835 0.590078354
[11284,] 0.026870415 0.307331264 0.665798306
[11285,] 0.846455395 0.138360813 0.015183788
[11286,] 0.676324487 0.215435833 0.108239710
[11287,] 0.061394587 0.397749305 0.540856063
[11288,] 0.724816680 0.164326519 0.110856749
[11289,] 0.019259132 0.292482108 0.688258767
[11290,] 0.613148689 0.285753995 0.101097323
[11291,] 0.698017299 0.274631381 0.027351335
[11292,] 0.021167047 0.259186268 0.719646633
[11293,] 0.774988770 0.203006148 0.022005050
[11294,] 0.663092852 0.281192213 0.055714928
[11295,] 0.016141405 0.177338049 0.806520522
[11296,] 0.047730349 0.188277751 0.763991892
[11297,] 0.755838871 0.203422979 0.040738154
[11298,] 0.629431963 0.331843436 0.038724571
[11299,] 0.623258948 0.271766692 0.104974329
[11300,] 0.748239875 0.230822906 0.020937234
[11301,] 0.751078367 0.220887437 0.028034180
[11302,] 0.235601917 0.311468244 0.452929854
[11303,] 0.042382102 0.307881206 0.649736702
[11304,] 0.079706594 0.332611918 0.587681472
[11305,] 0.654865861 0.308662087 0.036472034
[11306,] 0.536863565 0.356926739 0.106209740
[11307,] 0.674311161 0.288704246 0.036984611
[11308,] 0.110397398 0.174408317 0.715194285
[11309,] 0.573595464 0.386834055 0.039570499
[11310,] 0.499068618 0.366288245 0.134643123
[11311,] 0.826139927 0.160784990 0.013075066
[11312,] 0.863561213 0.129312843 0.007125920
[11313,] 0.831830919 0.148726106 0.019442962
[11314,] 0.678356230 0.287347555 0.034296241
[11315,] 0.786961496 0.183458313 0.029580230
[11316,] 0.839899421 0.145180374 0.014920227
[11317,] 0.609802663 0.196126863 0.194070488
[11318,] 0.783881962 0.206250235 0.009867816
[11319,] 0.701618493 0.289962143 0.008419417
[11320,] 0.312442422 0.336452782 0.351104766
[11321,] 0.474614799 0.408808380 0.116576821
[11322,] 0.856503308 0.134747371 0.008749360
[11323,] 0.273510456 0.255932868 0.470556676
[11324,] 0.779743016 0.211484000 0.008773012
[11325,] 0.039651722 0.234042391 0.726305902
[11326,] 0.789535046 0.195161790 0.015303098
[11327,] 0.018789308 0.185065717 0.796145022
[11328,] 0.650006890 0.312974781 0.037018336
[11329,] 0.402515322 0.426203936 0.171280757
[11330,] 0.891933799 0.093733892 0.014332322
[11331,] 0.671401083 0.253662050 0.074936889
[11332,] 0.696231961 0.278954148 0.024813861
[11333,] 0.766863465 0.215325624 0.017810946
[11334,] 0.792468309 0.173586175 0.033945560
[11335,] 0.011097915 0.164763510 0.824138582
[11336,] 0.024442337 0.194419637 0.781138062
[11337,] 0.781786859 0.204126447 0.014086730
[11338,] 0.682308376 0.293543428 0.024148177
[11339,] 0.849187672 0.141804248 0.009008057
[11340,] 0.832288384 0.154690415 0.013021216
[11341,] 0.081501111 0.355451226 0.563047647
[11342,] 0.666966259 0.299874425 0.033159293
[11343,] 0.681547523 0.273577422 0.044875037
[11344,] 0.050655559 0.282090902 0.667253554
[11345,] 0.745431125 0.188619554 0.065949336
[11346,] 0.448693067 0.462051809 0.089255102
[11347,] 0.779805005 0.178749681 0.041445307
[11348,] 0.736483991 0.213513359 0.050002638
[11349,] 0.047796108 0.684974492 0.267229408
[11350,] 0.692395806 0.267440528 0.040163688
[11351,] 0.192575812 0.210647330 0.596776903
[11352,] 0.738188267 0.245655119 0.016156675
[11353,] 0.713486135 0.257083565 0.029430237
[11354,] 0.013291482 0.201140866 0.785567641
[11355,] 0.660217583 0.312306792 0.027475592
[11356,] 0.690928221 0.249578848 0.059492905
[11357,] 0.039422218 0.219728038 0.740849793
[11358,] 0.370240927 0.311295420 0.318463624
[11359,] 0.787124574 0.194669053 0.018206345
[11360,] 0.847253978 0.142709658 0.010036410
[11361,] 0.547928452 0.313995868 0.138075709
[11362,] 0.718373954 0.259493828 0.022132223
[11363,] 0.658186436 0.307467133 0.034346443
[11364,] 0.531605482 0.300005674 0.168388814
[11365,] 0.756998777 0.226164982 0.016836269
[11366,] 0.570821822 0.351349145 0.077828996
[11367,] 0.679474950 0.254416972 0.066108115
[11368,] 0.589679122 0.341153294 0.069167607
[11369,] 0.789050102 0.196694985 0.014254901
[11370,] 0.057520945 0.250201851 0.692277193
[11371,] 0.685000956 0.281282455 0.033716604
[11372,] 0.830430925 0.152261227 0.017307794
[11373,] 0.017349394 0.124593325 0.858057261
[11374,] 0.329870880 0.273281753 0.396847397
[11375,] 0.733993232 0.218497083 0.047509715
[11376,] 0.630647779 0.293872327 0.075479880
[11377,] 0.797650754 0.185932562 0.016416663
[11378,] 0.835122705 0.153924450 0.010952880
[11379,] 0.736090243 0.247189596 0.016720200
[11380,] 0.019929633 0.200898752 0.779171646
[11381,] 0.742531538 0.239961699 0.017506814
[11382,] 0.582130849 0.310899615 0.106969565
[11383,] 0.088189811 0.294726759 0.617083430
[11384,] 0.040040269 0.179642171 0.780317545
[11385,] 0.043002367 0.142546475 0.814451218
[11386,] 0.370871514 0.364783913 0.264344573
[11387,] 0.730928540 0.247943461 0.021128001
[11388,] 0.041306525 0.235922411 0.722771049
[11389,] 0.598540664 0.352459073 0.049000226
[11390,] 0.532227516 0.415224612 0.052547906
[11391,] 0.361669719 0.381162345 0.257167935
[11392,] 0.027645281 0.158827350 0.813527405
[11393,] 0.813774168 0.178644702 0.007581163
[11394,] 0.572140574 0.343320698 0.084538750
[11395,] 0.759781957 0.228210449 0.012007574
[11396,] 0.573326588 0.268831432 0.157842010
[11397,] 0.608116210 0.289542377 0.102341391
[11398,] 0.665527940 0.286489993 0.047982108
[11399,] 0.784761369 0.188660026 0.026578547
[11400,] 0.830782950 0.161567882 0.007649222
[11401,] 0.391484946 0.351139903 0.257375091
[11402,] 0.832363844 0.153130442 0.014505700
[11403,] 0.791068077 0.192801371 0.016130559
[11404,] 0.564719141 0.308710486 0.126570374
[11405,] 0.728171766 0.231027722 0.040800519
[11406,] 0.757603049 0.235702246 0.006694710
[11407,] 0.727096558 0.257220566 0.015682872
[11408,] 0.853043437 0.132925063 0.014031545
[11409,] 0.885227859 0.102884427 0.011887688
[11410,] 0.043383889 0.192265615 0.764350474
[11411,] 0.461044520 0.420300364 0.118655160
[11412,] 0.027156942 0.263104051 0.709739029
[11413,] 0.384982824 0.286180943 0.328836262
[11414,] 0.025992241 0.053212985 0.920794785
[11415,] 0.025833543 0.179949537 0.794216931
[11416,] 0.280881584 0.312354386 0.406764060
[11417,] 0.672970235 0.245093167 0.081936650
[11418,] 0.780464470 0.208151281 0.011384208
[11419,] 0.030209815 0.088057846 0.881732285
[11420,] 0.565663993 0.316122741 0.118213266
[11421,] 0.020483119 0.252023846 0.727493048
[11422,] 0.093086250 0.266118497 0.640795290
[11423,] 0.705346465 0.272092372 0.022561127
[11424,] 0.018707389 0.172308668 0.808983922
[11425,] 0.769524395 0.198888198 0.031587355
[11426,] 0.059505872 0.290298849 0.650195241
[11427,] 0.745860159 0.226859048 0.027280744
[11428,] 0.647037625 0.312129468 0.040832929
[11429,] 0.877057195 0.059061494 0.063881367
[11430,] 0.810276985 0.172907144 0.016815852
[11431,] 0.004055759 0.141208887 0.854735374
[11432,] 0.119942814 0.457789510 0.422267705
[11433,] 0.579807341 0.343104452 0.077088214
[11434,] 0.013335110 0.192120925 0.794543982
[11435,] 0.006822235 0.075624444 0.917553306
[11436,] 0.009998632 0.087907210 0.902094185
[11437,] 0.028102797 0.221176192 0.750721037
[11438,] 0.679800749 0.282835603 0.037363652
[11439,] 0.613667548 0.307388276 0.078944199
[11440,] 0.853637159 0.137860641 0.008502231
[11441,] 0.088532105 0.731962681 0.179505229
[11442,] 0.169583008 0.241271049 0.589145958
[11443,] 0.042720083 0.241438523 0.715841353
[11444,] 0.603620768 0.299014837 0.097364388
[11445,] 0.016980240 0.121406794 0.861612976
[11446,] 0.047880467 0.324432671 0.627686858
[11447,] 0.057970513 0.359561116 0.582468390
[11448,] 0.032705933 0.208302468 0.758991599
[11449,] 0.070172437 0.282684922 0.647142589
[11450,] 0.754991472 0.231195271 0.013813269
[11451,] 0.687774897 0.209143251 0.103081897
[11452,] 0.089302734 0.416672200 0.494025081
[11453,] 0.814647853 0.171629757 0.013722387
[11454,] 0.742573321 0.230724633 0.026702043
[11455,] 0.066170812 0.345072567 0.588756561
[11456,] 0.013429628 0.206658974 0.779911339
[11457,] 0.043969586 0.273539305 0.682491124
[11458,] 0.016991448 0.170410082 0.812598526
[11459,] 0.031632084 0.241031155 0.727336824
[11460,] 0.009631940 0.040589087 0.949778914
[11461,] 0.025227327 0.485374302 0.489398420
[11462,] 0.021818083 0.267361850 0.710820079
[11463,] 0.026140615 0.195324704 0.778534710
[11464,] 0.721779585 0.262135446 0.016084986
[11465,] 0.677114844 0.262235403 0.060649764
[11466,] 0.017979531 0.232326537 0.749693930
[11467,] 0.005118046 0.207261667 0.787620246
[11468,] 0.009120123 0.162865371 0.828014493
[11469,] 0.024783636 0.212246910 0.762969434
[11470,] 0.004698243 0.271909416 0.723392308
[11471,] 0.178613007 0.108031124 0.713355899
[11472,] 0.347990841 0.408736080 0.243273154
[11473,] 0.785349131 0.119986519 0.094664335
[11474,] 0.657963336 0.292667389 0.049369276
[11475,] 0.627728105 0.349013299 0.023258580
[11476,] 0.009617885 0.076559857 0.913822293
[11477,] 0.047740880 0.211071357 0.741187811
[11478,] 0.010812950 0.126279220 0.862907767
[11479,] 0.028477952 0.104471564 0.867050529
[11480,] 0.045690097 0.259006351 0.695303559
[11481,] 0.014602176 0.179864928 0.805532932
[11482,] 0.012203562 0.129418239 0.858378172
[11483,] 0.115155488 0.411972255 0.472872257
[11484,] 0.019426614 0.218891621 0.761681736
[11485,] 0.579616547 0.348965704 0.071417749
[11486,] 0.023535302 0.648221135 0.328243554
[11487,] 0.579953909 0.303558439 0.116487637
[11488,] 0.657314241 0.149543181 0.193142608
[11489,] 0.645041049 0.200096503 0.154862449
[11490,] 0.008691063 0.077154756 0.914154172
[11491,] 0.029170688 0.224888921 0.745940328
[11492,] 0.056310568 0.142987460 0.800701976
[11493,] 0.051790636 0.279462099 0.668747246
[11494,] 0.093176663 0.296104729 0.610718668
[11495,] 0.048845179 0.385807574 0.565347254
[11496,] 0.021563547 0.211969420 0.766466975
[11497,] 0.028450176 0.193949759 0.777600050
[11498,] 0.014110285 0.121727780 0.864161909
[11499,] 0.005139519 0.116232462 0.878628016
[11500,] 0.015151395 0.179073960 0.805774629
[11501,] 0.035877172 0.192804918 0.771317899
[11502,] 0.033625785 0.224232659 0.742141545
[11503,] 0.040612821 0.227544442 0.731842697
[11504,] 0.038128864 0.124241531 0.837629557
[11505,] 0.055155493 0.377725780 0.567118764
[11506,] 0.051551633 0.148036420 0.800411999
[11507,] 0.078828998 0.790138125 0.131032884
[11508,] 0.044483699 0.118836604 0.836679757
[11509,] 0.036770962 0.180938810 0.782290161
[11510,] 0.005015988 0.206031755 0.788952231
[11511,] 0.064431049 0.185095251 0.750473738
[11512,] 0.040967204 0.144514531 0.814518273
[11513,] 0.016662512 0.082172476 0.901165009
[11514,] 0.557411015 0.333116293 0.109472685
[11515,] 0.023413671 0.275051266 0.701535046
[11516,] 0.020715401 0.347301990 0.631982625
[11517,] 0.023361569 0.239655852 0.736982524
[11518,] 0.023570003 0.191011176 0.785418808
[11519,] 0.032309573 0.564226210 0.403464168
[11520,] 0.027646324 0.116243236 0.856110513
[11521,] 0.056701925 0.195253462 0.748044610
[11522,] 0.699322879 0.143539324 0.157137766
[11523,] 0.020559127 0.114830874 0.864610016
[11524,] 0.013035185 0.174786523 0.812178314
[11525,] 0.023787415 0.098843224 0.877369344
[11526,] 0.113101833 0.415578574 0.471319616
[11527,] 0.012483888 0.114837922 0.872678220
[11528,] 0.786682308 0.191584781 0.021732964
[11529,] 0.230809361 0.216300398 0.552890241
[11530,] 0.003513623 0.013397053 0.983089328
[11531,] 0.004936408 0.116313376 0.878750265
[11532,] 0.035229187 0.182422295 0.782348573
[11533,] 0.030339805 0.204763219 0.764896929
[11534,] 0.533470809 0.228791758 0.237737432
[11535,] 0.036506146 0.396262556 0.567231297
[11536,] 0.012577833 0.162456408 0.824965715
[11537,] 0.017271139 0.122390650 0.860338211
[11538,] 0.719238281 0.247287229 0.033474475
[11539,] 0.029319873 0.172244370 0.798435748
[11540,] 0.005499311 0.263290584 0.731210053
[11541,] 0.026428841 0.174864873 0.798706234
[11542,] 0.036976870 0.200964004 0.762059093
[11543,] 0.030498598 0.209294096 0.760207295
[11544,] 0.018143984 0.145304531 0.836551487
[11545,] 0.059391476 0.282743186 0.657865345
[11546,] 0.018289581 0.183021531 0.798688889
[11547,] 0.046731692 0.247167304 0.706101000
[11548,] 0.019026799 0.234324127 0.746649086
[11549,] 0.070846818 0.312930644 0.616222560
[11550,] 0.026076775 0.162478104 0.811445177
[11551,] 0.008245492 0.120484747 0.871269763
[11552,] 0.005672005 0.066662244 0.927665770
[11553,] 0.092812411 0.615636945 0.291550636
[11554,] 0.095824160 0.850031912 0.054143973
[11555,] 0.156300232 0.588850379 0.254849434
[11556,] 0.210948899 0.723787665 0.065263391
[11557,] 0.009449154 0.141696006 0.848854899
[11558,] 0.005229359 0.084681809 0.910088837
[11559,] 0.003734499 0.084740661 0.911524832
[11560,] 0.011286798 0.399223447 0.589489758
[11561,] 0.067491718 0.397165745 0.535342515
[11562,] 0.071353763 0.471834511 0.456811726
[11563,] 0.036737226 0.058941487 0.904321253
[11564,] 0.008181420 0.367785454 0.624033153
[11565,] 0.003602521 0.061107278 0.935290277
[11566,] 0.005277473 0.171573117 0.823149443
[11567,] 0.025844317 0.198609233 0.775546432
[11568,] 0.007853419 0.245798156 0.746348381
[11569,] 0.010039429 0.362852097 0.627108455
[11570,] 0.013761263 0.359638125 0.626600623
[11571,] 0.018492330 0.230956212 0.750551462
[11572,] 0.095963463 0.426253617 0.477782875
[11573,] 0.066283911 0.863279283 0.070436843
[11574,] 0.064778879 0.279647380 0.655573726
[11575,] 0.116371177 0.595801413 0.287827432
[11576,] 0.021238070 0.182847947 0.795913994
[11577,] 0.012580259 0.379419208 0.608000576
[11578,] 0.011905305 0.294728458 0.693366230
[11579,] 0.008301860 0.174883932 0.816814184
[11580,] 0.015801996 0.173747376 0.810450613
[11581,] 0.104008079 0.774980426 0.121011488
[11582,] 0.132294804 0.434408098 0.433297127
[11583,] 0.072824761 0.534018815 0.393156409
[11584,] 0.061173543 0.774484932 0.164341524
[11585,] 0.006506269 0.067760430 0.925733268
[11586,] 0.005014389 0.052598082 0.942387521
[11587,] 0.019876353 0.242208689 0.737914979
[11588,] 0.072712444 0.494367570 0.432919979
[11589,] 0.071123399 0.630852580 0.298024058
[11590,] 0.006869464 0.083687797 0.909442723
[11591,] 0.006543685 0.112126283 0.881330073
[11592,] 0.009967533 0.191485256 0.798547208
[11593,] 0.018305149 0.479592234 0.502102613
[11594,] 0.016113235 0.328066051 0.655820668
[11595,] 0.016338767 0.300147086 0.683514178
[11596,] 0.108018249 0.826075613 0.065906070
[11597,] 0.171291694 0.789665282 0.039043017
[11598,] 0.206422687 0.706573129 0.087004185
[11599,] 0.010520880 0.397034705 0.592444420
[11600,] 0.094166920 0.349334687 0.556498408
[11601,] 0.198907718 0.589697361 0.211394936
[11602,] 0.008099897 0.294399351 0.697500765
[11603,] 0.040896498 0.348904371 0.610199094
[11604,] 0.467034429 0.404367566 0.128598005
[11605,] 0.007008610 0.103572793 0.889418662
[11606,] 0.121905521 0.785724699 0.092369772
[11607,] 0.108660534 0.751904905 0.139434561
[11608,] 0.070933633 0.839826584 0.089239784
[11609,] 0.232288405 0.565435469 0.202276170
[11610,] 0.028045790 0.224443242 0.747510910
[11611,] 0.131644621 0.800027668 0.068327658
[11612,] 0.119138129 0.610679865 0.270182014
[11613,] 0.077467263 0.693654537 0.228878170
[11614,] 0.038319230 0.856126010 0.105554730
[11615,] 0.030147659 0.322281182 0.647571206
[11616,] 0.011650371 0.211281791 0.777067840
[11617,] 0.009091681 0.248882160 0.742026150
[11618,] 0.109721355 0.839606345 0.050672289
[11619,] 0.415284902 0.568359911 0.016355203
[11620,] 0.072588012 0.643248260 0.284163684
[11621,] 0.027078606 0.240846634 0.732074738
[11622,] 0.083222017 0.582661808 0.334116191
[11623,] 0.071714349 0.530532420 0.397753239
[11624,] 0.155678049 0.782661915 0.061660010
[11625,] 0.072283998 0.766613066 0.161102936
[11626,] 0.188347325 0.721633852 0.090018839
[11627,] 0.012248094 0.379503876 0.608248055
[11628,] 0.024724429 0.753777921 0.221497700
[11629,] 0.007921981 0.105741583 0.886336446
[11630,] 0.016340161 0.211796716 0.771863103
[11631,] 0.155676514 0.675993800 0.168329641
[11632,] 0.173709109 0.361916006 0.464374810
[11633,] 0.166031286 0.731902719 0.102066025
[11634,] 0.077404439 0.877858698 0.044736858
[11635,] 0.036939748 0.143277287 0.819782972
[11636,] 0.007303442 0.079431824 0.913264751
[11637,] 0.119608209 0.566436708 0.313955098
[11638,] 0.159486368 0.758353651 0.082159966
[11639,] 0.221437246 0.727998912 0.050563790
[11640,] 0.011192221 0.226309881 0.762497842
[11641,] 0.011329181 0.303879529 0.684791267
[11642,] 0.079737134 0.767612934 0.152649924
[11643,] 0.003917926 0.030134309 0.965947747
[11644,] 0.068035021 0.304953605 0.627011359
[11645,] 0.009615440 0.359761775 0.630622745
[11646,] 0.013623673 0.317822039 0.668554306
[11647,] 0.207487211 0.753584564 0.038928233
[11648,] 0.096115753 0.834983408 0.068900816
[11649,] 0.004395740 0.112196892 0.883407414
[11650,] 0.131096154 0.837572336 0.031331439
[11651,] 0.020964833 0.383912086 0.595123112
[11652,] 0.019377446 0.264710516 0.715911984
[11653,] 0.007068511 0.407091975 0.585839510
[11654,] 0.003382662 0.032702602 0.963914752
[11655,] 0.170276105 0.786122024 0.043601904
[11656,] 0.154393673 0.795747995 0.049858313
[11657,] 0.244891033 0.535478830 0.219630167
[11658,] 0.013657610 0.383943200 0.602399170
[11659,] 0.176342353 0.780523479 0.043134205
[11660,] 0.097601824 0.833960950 0.068437181
[11661,] 0.093396887 0.807189643 0.099413410
[11662,] 0.162428945 0.717847526 0.119723514
[11663,] 0.138522089 0.829799056 0.031678863
[11664,] 0.004660039 0.076341391 0.918998599
[11665,] 0.014451837 0.126159176 0.859389007
[11666,] 0.013700685 0.132975802 0.853323519
[11667,] 0.013963958 0.349996835 0.636039197
[11668,] 0.043127075 0.614654601 0.342218339
[11669,] 0.037359547 0.289685607 0.672954798
[11670,] 0.034857597 0.267766118 0.697376251
[11671,] 0.029335758 0.303565919 0.667098343
[11672,] 0.012151336 0.149648622 0.838200033
[11673,] 0.013413370 0.290472478 0.696114182
[11674,] 0.024497192 0.145745203 0.829757631
[11675,] 0.032090597 0.292041928 0.675867438
[11676,] 0.323228747 0.618298650 0.058472607
[11677,] 0.182795897 0.692659616 0.124544457
[11678,] 0.003699969 0.267006457 0.729293585
[11679,] 0.034393858 0.619048417 0.346557736
[11680,] 0.014123810 0.179435462 0.806440771
[11681,] 0.022521326 0.198798284 0.778680384
[11682,] 0.033318479 0.122409031 0.844272494
[11683,] 0.009226067 0.307252347 0.683521569
[11684,] 0.012884397 0.086901248 0.900214374
[11685,] 0.004790154 0.266992897 0.728216946
[11686,] 0.026904751 0.339964271 0.633131027
[11687,] 0.027755937 0.317329168 0.654914916
[11688,] 0.005957897 0.097283147 0.896758974
[11689,] 0.089317568 0.795823038 0.114859410
[11690,] 0.099487618 0.855493367 0.045019016
[11691,] 0.048288871 0.551927388 0.399783760
[11692,] 0.028107990 0.201401398 0.770490646
[11693,] 0.024531119 0.272557408 0.702911496
[11694,] 0.009035284 0.177284569 0.813680172
[11695,] 0.371228516 0.517717838 0.111053683
[11696,] 0.185646266 0.691325426 0.123028249
[11697,] 0.011266774 0.345267534 0.643465638
[11698,] 0.023120549 0.170996547 0.805882871
[11699,] 0.144254699 0.777051747 0.078693546
[11700,] 0.223427609 0.755736947 0.020835454
A classe prevista será aquela com maior probabilidade de ocorrer.
y_classe = ifelse(y_[,"alta"]>y_[,"baixa"] & y_[,"alta"]>y_[,"media"],"alta", ifelse(y_[,"baixa"]>y_[,"media"],"baixa","media"))
y_classe = factor(y_classe)
levels(y_classe)[1] "alta" "baixa" "media"
confusionMatrix(data = y_classe, reference = base_treino$TAXA_PART_CAT)Confusion Matrix and Statistics
Reference
Prediction alta baixa media
alta 3470 145 861
baixa 155 3488 1030
media 356 330 1865
Overall Statistics
Accuracy : 0.7541
95% CI : (0.7462, 0.7619)
No Information Rate : 0.3403
P-Value [Acc > NIR] : < 2.2e-16
Kappa : 0.63
Mcnemar's Test P-Value : < 2.2e-16
Statistics by Class:
Class: alta Class: baixa Class: media
Sensitivity 0.8716 0.8801 0.4965
Specificity 0.8697 0.8468 0.9136
Pos Pred Value 0.7752 0.7464 0.7311
Neg Pred Value 0.9293 0.9324 0.7933
Prevalence 0.3403 0.3387 0.3210
Detection Rate 0.2966 0.2981 0.1594
Detection Prevalence 0.3826 0.3994 0.2180
Balanced Accuracy 0.8707 0.8635 0.7051
saveRDS(XGB_REG,file="salvos//XGB_REG.rds")
saveRDS(XGB_CLASS_2,file="salvos//XGB_CLASS_2.rds")
saveRDS(XGB_CLASS_3,file="salvos//XGB_CLASS_3.rds")