Unit 15 Some examples of MA(1)
15.0.1 Positive theta1
xs <- gen.arma.wge(n = 200, theta = 0.99)

Lets check this out now
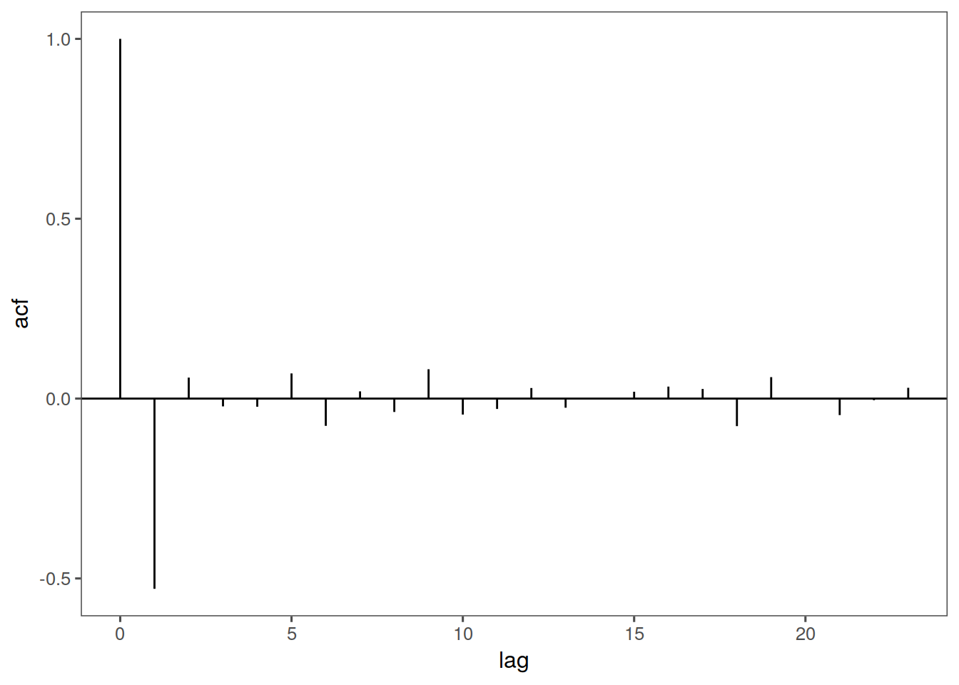
ggacf(xs) + th
parzen.wge(xs)


Lets get some math done too and check out the ACF at lag 1
macf1 <- function(theta) {
num <- -theta
denom <- 1 + theta^2
num/denom
}
macf1(0.99)
# [1] -0.4999747
From this we can also see that the maximum possiblevalue of autocorrelation at lag 1 is 0.5.
15.0.2 Negative theta
Now lets try it out with a negative theta:
xs <- gen.arma.wge(n = 200, theta = -0.99)
ggacf(xs) + th
parzen.wge(xs)
macf1(-0.99)
# [1] 0.4999747



Note: the negative autocorrelation of a positive theta, as well as the dip at 0 in the spectral density tell us it is going to oscillate a bit more than the negative theta. Lets check out the true autocorrelations and spectral densities of these models:
plotts.true.wge(theta = 0.99)
plotts.true.wge(theta = -0.99)

