Chapter 4 AMCE’s
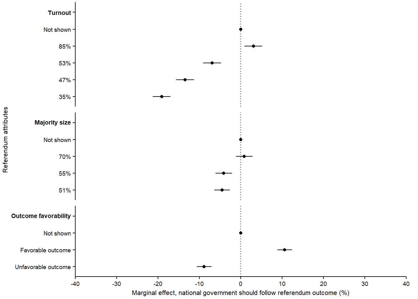
Average Marginal Component Effects of turnout level, majority size, and outcome favorability.
if(!require("broom")){install.packages("broom"); library(broom)}
if(!require(descr2)) {devtools::install_github("mikajoh/descr2"); library(descr2)}
if(!require("forcats")){install.packages("forcats"); library(forcats)}
if(!require("ggplot2")){install.packages("ggplot2"); library(ggplot2)}
if(!require("haven")){install.packages("haven"); library(haven)}
if(!require("here")){install.packages("here"); library(here)}
if(!require("kableExtra")){install.packages("kableExtra"); library(kableExtra)}
if(!require("knitr")){install.packages("knitr"); library(knitr)}
if(!require("lmtest")){install.packages("lmtest"); library(lmtest)}
if(!require("sandwich")){install.packages("sandwich"); library(sandwich)}
if(!require("tidyverse")){install.packages("tidyverse"); library(tidyverse)}
knitr::opts_chunk$set(echo = FALSE, knitr.kable.NA = "", cache = FALSE, warning = FALSE, message = FALSE, error = TRUE, echo = FALSE)
#load data
d <- read_sav("Data/EIPS2017-data/eips-wiggle-pooled.sav")
#Function for saving output
ggsave2 <- function(filename, ...) {
for (format in c(".pdf", ".png")) ggsave(filename = paste0("output/", filename, format), ...)
}
## Functions for calculating AMCE's.
source("wiggle-utils.R")
## Theme for ggplot2.
theme_m <- function(...) {
theme(text = element_text(size = 9,
colour = "black"),
axis.text = element_text(size = 7,
colour = "black"),
axis.title = element_text(size = 8,
colour = "black"),
axis.line = element_line(),
axis.ticks = element_line(colour = "black"),
axis.ticks.length = unit(1, "mm"),
plot.margin = unit(c(1, 5, 1, 1), "mm"),
panel.spacing.x = unit(7.5, "mm"),
panel.spacing.y = unit(2.5, "mm"),
panel.background = element_blank(),
panel.grid.major = element_blank(),
strip.background = element_blank(),
strip.text = element_text(size = 7,
face = "bold"),
strip.text.y = element_text(angle = 0, face = "bold.italic"),
legend.background = element_blank(),
legend.key = element_blank(),
legend.position = "bottom",
...)
}
add_labels <- function(amce) {
labels <- data.frame(
treatment = c(
"ref_turnout",
"ref_majoritysize",
"ref_winningside",
"ref_outcome"
),
treatment_label = c(
"Turnout",
"Majority size",
"Winning side",
"Outcome favorability"
),
stringsAsFactors = FALSE
)
amce <- amce[rev(order(amce$value)), ]
amce$value <- paste0("plain('", as.character(amce$value), "')")
amce$value <- factor(amce$value, levels = unique(amce$value))
add_data <- labels[labels$treatment %in% amce$treatment, ]
names(add_data)[2] <- "value"
add_data$value <- gsub("\n", " ", as.character(add_data$value))
add_data$value <- paste0("bold('", add_data$value, "')")
for (var in c("value_order", "estimate", "std_error", "statistic", "p_value")) {
add_data[[var]] <- NA
}
add_data$value_order <- -Inf
if (any(!(names(amce) %in% names(add_data)))) {
for (.c in names(amce)[!(names(amce) %in% names(add_data))]) {
add_data[[.c]] <- amce[[.c]][1]
}
}
if (any(!(names(add_data) %in% names(amce)))) {
for (.c in names(add_data)[!(names(add_data) %in% names(amce))]) {
add_data <- add_data[, -c(which(names(add_data) == .c))]
}
}
amce <- rbind(amce, add_data)
amce <- amce[order(amce$treatment, amce$value_order), ]
return(amce)
}
eips <- eips_raw
eips <- eips %>%
mutate(
ref_turnout = lvls_reorder(factor(ref_turnout),
c(5, 4:1)),
ref_majoritysize = lvls_reorder(factor(ref_majoritysize),
c(4, 3:1)),
ref_winner = lvls_reorder(factor(ref_winner),
c(2, 1, 3)),
ref_outcome = lvls_reorder(factor(ref_outcome),
c(2, 1, 3))
)
## Write prepared data to file.
save(eips, file = "output/eips-wiggle-prepared-data.RData")
## Load the prepared data.
load("output/eips-wiggle-prepared-data.RData")
## Error in grDevices::pdf(file = filename, ..., version = version): cannot open file 'output/Wiggle-eips-main.pdf'
| Treatment | Value | Estimate | Std.error | t.statistic |
|---|---|---|---|---|
| Turnout | Not shown | 0.0000000 | 0.0000000 | NA |
| Turnout | 85% | 0.0306519 | 0.0108327 | 2.8295801 |
| Turnout | 53% | -0.0688915 | 0.0108193 | -6.3674695 |
| Turnout | 47% | -0.1346479 | 0.0108526 | -12.4070260 |
| Turnout | 35% | -0.1910309 | 0.0107699 | -17.7374077 |
| Majority size | Not shown | 0.0000000 | 0.0000000 | NA |
| Majority size | 70% | 0.0088295 | 0.0099387 | 0.8883981 |
| Majority size | 55% | -0.0410149 | 0.0099020 | -4.1420701 |
| Majority size | 51% | -0.0447053 | 0.0093469 | -4.7828866 |
| Outcome favorability | Not shown | 0.0000000 | 0.0000000 | NA |
| Outcome favorability | Favorable outcome | 0.1065260 | 0.0087365 | 12.1932532 |
| Outcome favorability | Unfavorable outcome | -0.0884784 | 0.0088335 | -10.0162493 |