第 4 章 stat functions and positions
4.1 直方圖
4.1.1 間斷變數
geom_bar():用來呈現不同x類別的樣本個數。- 樣本個數會自動計算,呈現在y軸。
geom_col():用來呈現不同x類別下y值高度。- data frame要提供y值。
圖 4.1: Britain may soon have one of the highest minimum wages in the world
4.1.2 geom_col
aes_y是由資料給定
初任人員平均經常性薪資
範例:geom_col
初任人員平均經常性薪資:工業
startSalaryTopCat<- read_csv("https://raw.githubusercontent.com/tpemartin/github-data/master/startSalaryTopCat.csv")
startSalaryTopCat$大職業別[2:7] %>% str_c(.,collapse="','")[1] “工業部門’,‘礦業及土石採取業’,‘製造業’,‘電力及燃氣供應業’,‘用水供應及污染整治業’,’營造業”
startSalaryTopCat %>% filter(
大職業別 %in% c('工業部門','礦業及土石採取業','製造業','電力及燃氣供應業','用水供應及污染整治業','營造業')
) -> startingSalary_industrial
graphList <- list()startingSalary_industrial %>%
filter(大職業別 !='工業部門') -> startingSalary_industrial_sub
startingSalary_industrial_sub %>%
ggplot(aes(x=大職業別))+
geom_col(aes(y=`經常性薪資-薪資`))-> graphList$經常薪資_col0
graphList$經常薪資_col0
4.1.2.1 改變排序
作法1
- 作法1: 將大職業別改成facotr, 其levels以經常性薪資-薪資排序。
startingSalary_industrial_sub %>%
mutate(
大職業別ordered=reorder(大職業別,
`經常性薪資-薪資`,order=T) # order=T才會輸出成ordered factor
) -> startingSalary_industrial_sub
startingSalary_industrial_sub %>%
ggplot()+
geom_col(
aes(x=大職業別ordered,y=`經常性薪資-薪資`)
) -> graphList$經常薪資_x有排序ed_col0
graphList$經常薪資_x有排序ed_col0
另一個更簡潔的寫法:
startingSalary_industrial_sub %>%
ggplot()+
geom_col(
aes(x=reorder(大職業別,`經常性薪資-薪資`,order = T),y=`經常性薪資-薪資`)
) -> graphList$經常薪資_x有排序ed_col1
graphList$經常薪資_x有排序ed_col1
作法2
- 作法2: 使用
scale_x_...中的limits設定調整。
breaks_order <- levels(startingSalary_industrial_sub$大職業別ordered)
startingSalary_industrial_sub %>%
ggplot()+
geom_col(
aes(x=大職業別,y=`經常性薪資-薪資`)
)+
scale_x_discrete(
limits=breaks_order
) -> graphList$經常薪資_x有排序ed_scaleLimits_col0
graphList$經常薪資_x有排序ed_scaleLimits_col0
改變width
startingSalary_industrial_sub %>%
ggplot(aes(x=大職業別ordered,y=`經常性薪資-薪資`))+
geom_col(width=0.7)+
scale_x_discrete(
limits=breaks_order
) -> graphList$經常薪資_x有排序ed_scaleLimits_geomWidth_col0
graphList$經常薪資_x有排序ed_scaleLimits_geomWidth_col0
上面我們將aes(x=大職業別ordered,y=由經常性薪資-薪資)geom_col()移到ggplot(),這樣在後面進行layer疊加時,若使用相同aes可以省略不寫。
也可以先建立一個基本ggplot方便後面疊加
改變高寬比例aspect.ratio
graphList$經常薪資_x有排序ed_scaleLimits_geomWidth_col0+
theme(aspect.ratio = 1/1.3) ->
graphList$經常薪資_x有排序_scalLimits_gmWidth_asp0_col0
graphList$經常薪資_x有排序_scalLimits_gmWidth_asp0_col0
X軸字體重疊在一起可以透過theme() layer去調整axis.text.x值:
theme(axis.text.x= <參數值> )其中
<參數值>設定為一個list元素,其內容設定複雜,一般透過element_text()函數來生成。element_text(angle=... , hjust=... , vjust=...)
graphList$經常薪資_x有排序ed_ggplotOnly +
geom_col(width=0.5) +
scale_x_discrete(limits=breaks_order)+
theme(aspect.ratio = 1)->
graphList$經常薪資_x有排序_scalLimits_gmWidth_asp1_col0
graphList$經常薪資_x有排序_scalLimits_gmWidth_asp1_col0
字轉45度

字轉45度,水平調整為1
graphList$經常薪資_x有排序_scalLimits_gmWidth_asp1_col0 +
theme(
axis.text.x=element_text(angle=45, hjust=1)
) -> graphList$經常薪資_x有排序_scalLimits_Width_asp_textAdj_col0
graphList$經常薪資_x有排序_scalLimits_Width_asp_textAdj_col0
座標旋轉coord_flip
graphList$經常薪資_x有排序_scalLimits_gmWidth_asp1_col0 +
coord_flip() -> graphList$經常薪資_x有排序_sclLimits_width_asp_flip_col0
graphList$經常薪資_x有排序_sclLimits_width_asp_flip_col0
請試著產生如下圖形:

長條圖顏色: #5A99B3
文字使用
geom_text(aes(x=..,y=..,label=...))並更改color及nudge_y(可以有正負值,表示文字所放位置所對應y值要+或-多少)
4.1.3 geom_bar
aes y mapping是由geom_bar去呼叫stat_count函數計算count(數個數)。
4.1.3.1 圖書借閱資料
library(readr)
library2014 <- read_csv("https://www.dropbox.com/s/999hy0u1y98y6ep/library2014.csv?dl=1")資料整理:2014-09-01到2015-06-30間資料
library(readr)
library100_102 <- read_csv("https://www.dropbox.com/s/wuo5o6l55lk68l6/library100_102.csv?dl=1")
library100_102 %>%
mutate(
借閱日期=date(ymd_hms(借閱時間)),
借閱年=year(借閱日期)
) -> library100_102
library100_102 %>%
filter(
借閱日期 %>% between(ymd("2014-09-01"),ymd("2015-06-30"))
) -> library2014
library2014 %>%
group_by(學號) %>%
summarise(
學院=last(學院),
讀者年級=max(讀者年級)
) %>%
ungroup() %>%
mutate(
讀者年級=讀者年級
)-> library2014 library2014 %>%
mutate(
學院=reorder(學院,學號,length,order=T),
讀者年級=reorder(讀者年級,讀者年級, order=T)
) -> library2014
library2014 %>%
ggplot()-> graphList$圖書_ggplotOnly
graphList$圖書_ggplotOnly+
geom_bar(
aes(x=學院), fill="#5A99B3", width=0.7
)

試著做出類似下圖:

4.1.4 連續變數
直方圖的另一個常見用法是將連續變數:
(一)先切成一段段不重疊的數值區間: 稱為binning,每個區間稱為bin。
(二)以每個bin為長條圖x軸的類別變數進行作圖
[1] 0.7385 -0.5148 -1.6402 0.9160 -1.2675 0.7382
[1] “[-2.26,-1.65]” “(-1.65,-1.04]” “(-1.04,-0.426]”
[4] “(-0.426,0.186]” “(0.186,0.799]” “(0.799,1.41]”
[7] “(1.41,2.02]” “(2.02,2.64]”
[1] (0.186,0.799] (-1.04,-0.426] (-1.65,-1.04] [4] (0.799,1.41] (-1.65,-1.04] (0.186,0.799] 8 Levels: [-2.26,-1.65] … (2.02,2.64]
ggplot2::cut_interval(x,n=8): 將連續資料x分成n個區間,並將x值各別對應該所屬區間(形成x_interval)
df_x <- data.frame(
x=x,
x_interval=x_interval
)
df_x %>%
group_by(x_interval) %>%
summarise(
interval_count=n()
) %>%
ungroup() %>% #View
ggplot(aes(x=x_interval))+
geom_col(
aes(y=interval_count)
)
4.1.5 geom_histogram

「geom_bar, geom_col」和geom_historgram最大的不同是長條間有沒有留空隙。連續型x變數應使用geom_histogram以正確保留其連續意涵。
4.1.6 optimal bins
原則上「樣本越大」、「資料越集中」則bin數目越多。有不少決定bins或binwidth的公式,大致上大同小異。這裡我們使用grDevices::nclass.FD(), 依Freedman-Diaconis法則選bins數。
[1] 10

4.2 stat function
以
stat_<計算方式>命名的函數。會從required aesthetics計算結果,產生computed variables.
本身會自成一個layer,用
geom=...來設定此layer的幾何圖像。用
aes(....)來設定此layer的mapping及required aesthetics。
4.2.1 一體兩面stat/geom

stat_count與geom_bar
geom_bar(…, stat=“count”)
- stat_count(…, geom=“bar”)
stat_count(): it counts the number of cases at each x position.- required aesthetics: x; computed variables: count, prop.
使用geom_bar

使用stat_count

要取出compute variable可以用stat(<compute variable>)或..<compute variable>..

4.2.2 override geom
stat_count與geom_bar只是在預設值下為一體兩面,實際上可以更改預設值做更有彈性使用,例如:
stat_count(
aes(x=學院,y=stat(count),label=stat(count)), geom="text"
)
- 將stat_count的結果結合出
aes(x=學院,y=stat(count),label=stat(count))mapping用來進行geom_text繪製。
graphList$圖書_ggplotOnly +
geom_bar(
aes(x=學院)
)+
stat_count(
aes(x=學院,y=stat(count),label=stat(count)), geom="text"
)
改成比例使用prop這個computed value.
graphList$圖書_ggplotOnly +
geom_bar(
aes(x=學院,y=stat(prop))
)+
stat_count(
aes(x=學院,y=stat(prop),label=stat(prop)), geom="text"
)
stat_count的prop定義為groupwise proportion:
內定group=x,此時會去算不同x值在不同x群的比例,最後只有1或0(0圖面看不出來)
要算在全體資料下的prop可以設定group=某固定值(值的type不重要,重點是固定)。
graphList$圖書_ggplotOnly +
geom_bar(
aes(x=學院, y=stat(prop), group="全校")
)+
stat_count(
aes(
x=學院,
y=stat(prop), group="全校",
label=round(stat(prop),digits=2)),
geom="text",
color="white", nudge_y=-0.01
)+
labs(
title="各院借閱人次佔總人次比",x="",y=""
)
4.2.3 override stat
雖然任何layer都可以由geom或stat產生,但兩者是不同的object,geom是geometric object而stat是statistical transformation object。有些設定只對某一個object type有效,如geom_text底下的nudge。
前面的圖在stat_count下無法進行nudge_y設定,而只有geom_text才可以。我們可以改使用geom_text,但override它的stat(內定為“identity”)。
graphList$圖書_ggplotOnly +
geom_bar(
aes(x=學院, y=stat(prop), group="全校")
)+
geom_text(
aes(
x=學院,
y=stat(prop), group="全校",
label=round(stat(prop),digits=2)),
stat="count",
color="white",nudge_y=-0.01
)+
labs(
title="各院借閱人次佔總人次比",x="",y=""
)
請以df_x完成下圖(bins=8):

請以df_x完成下圖(bins=8):

4.2.4 自創stat函數
This stat makes it easy to superimpose a function on top of an existing plot. The function is called with a grid of evenly spaced values along the x axis, and the results are drawn (by default) with a line.
stat_function(mapping = NULL, data = NULL, geom = "path",
position = "identity", ..., fun, xlim = NULL, n = 101,
args = list(), na.rm = FALSE, show.legend = NA,
inherit.aes = TRUE)
會從x軸等距切出許多x值,代到
fun設定去計算結果,computed variables: x及y.說明:https://ggplot2.tidyverse.org/reference/stat_function.html
fun: 函數名稱
n: x軸切多少點
args: List of additional arguments to pass to fun
4.2.4.1 常態分配
df_x <- data.frame(
x=rnorm(500,mean=2,sd=1)
)
df_x %>%
ggplot(aes(x=x))+
geom_histogram(
aes(y=stat(density))
)+
stat_function(
fun=dnorm, args = list(mean=2, sd=1) # dnorm 為常態分配density函數
)
4.2.4.2 市場供需
market_demand <- function(x, a=1, b=-1){
return(a+b*x)
}
market_supply <- function(x, a=0, b=1){
return(a+b*x)
}
df_grids <-
data.frame(
x=seq(0,1,by=0.2))
df_grids %>%
ggplot(aes(x=x))+
stat_function(
fun="market_demand"
)+
stat_function(
fun="market_supply"
)+
scale_y_continuous(
limits = c(0,1)
)+
labs(
x="Quantity", y="Price"
) -> graphList$demand_supply
graphList$demand_supply

4.2.5 stat_summary
stat_summary/stat_summary_bin:
將每個 x 或 binned x下的所有「y值丟到指定函數」去計算圖面所要的y, ymin, ymax三個aes mapping.
無computed variables to call, 會直接設定y, ymin, ymax三個mapping。
stat_summary_2d/stat_summary_hex:
將每個 x,y下的所有「z值丟到指定函數」去計算圖面所要的summary statistics.
computed variables: value (即summary statistics值)
在graphList$demand_supply加上如下的total welfare陰影。(使用geom_ribbon及stat_summary)
graphList$demand_supply+
geom_ribbon(
data=data.frame(
x=seq(0.25,0.5,by=0.01)
),
aes(y=x),
stat="summary",
fun.ymin= function(y) market_demand(y),
fun.ymax= function(y) market_supply(y),
alpha=0.3
)


4.3 Positions
所有的geom都有position設定,如:geom_bar(position="stack")。
4.3.1 stack
- stack:疊上
使用position="stack"或position=position_stack(...)設定——後者有更多調整彈性。
df_position <- data.frame(
x=rep(c("a","b"), each=3),
y=c(3,1,3,8,6,10)
)
df_position %>%
ggplot(aes(x=x,y=y))+
geom_point(
color="#5A99B3"
) +
scale_y_continuous(
breaks=c(1,3,6,8,10)
)+
annotate(
geom="text",
x=1.1, y=3, label="x 2" # 利用factor的type為integer的特質設x位置
)+
labs(
title="Position identity",
subtitle="Position沒有調整"
) -> graphList$position_none
df_position %>%
ggplot(aes(x=x,y=y,color=y))+
geom_point(
position="stack", color="#5A99B3"
)+
labs(
title= "Position stack",
subtitle = "各x類y值疊加上去"
)-> graphList$position_stack
ggpubr::ggarrange(
graphList$position_none,
graphList$position_stack
)
4.3.2 fill
- fill:填滿
相同x值下有多個y值時(標準化成同高度,呈現比重變化用)
使用position="fill"或position=position_fill(...)設定,後者有更多調整彈性。
df_position %>%
ggplot(aes(x=x,y=y,color=y))+
geom_point(
position="fill", color="#5A99B3"
)+
labs(
title= "Position fill",
subtitle = "各x類y值縮放同比例使加總為1"
)-> graphList$position_fill
ggpubr::ggarrange(
graphList$position_none,
graphList$position_fill
)
4.3.3 dodge
- dodge:躲避
在不改變vertical position下,調整horizontal position使geom不重疊。
使用position="dodge"或position=position_dodge(...)設定,後者有更多調整彈性。
df_position %>%
ggplot(aes(x=x,y=y))+
geom_point(
color="#5A99B3", alpha=0.3, size=4
)+
geom_point(
position=position_dodge2(width=0.3), color="#5A99B3"
)+
labs(
title= "Position dodge",
subtitle = "淺色大圈為原始資料,\n深色小圈為position調整後" # \n 為換行符號
)-> graphList$position_dodge
ggpubr::ggarrange(
graphList$position_none,
graphList$position_dodge
)
4.3.4 geom_bar應用
position_dodge
比較各大項內的小項差異
也比較各小項在各大項內的差異

library2014 %>%
ggplot(aes(x=學院,fill=讀者年級)) -> graphList$圖書_ggplotOnly_with_aes
graphList$圖書_ggplotOnly_with_aes +
geom_bar() # 內定position="stack"
graphList$圖書_ggplotOnly_with_aes +
geom_bar(
width=0.7, position = "dodge"
) -> # fill類別較少的,width會放大
graphList$圖書_positionDodge
graphList$圖書_positionDodge
使用position_dodge()微調
graphList$圖書_ggplotOnly_with_aes +
geom_bar(
width=0.7,
position=position_dodge(width=0.8,preserve = "single") # 0.7寬,0.8dodge創造0.1間隔
) ->
graphList$圖書_positionDodge_preserve
graphList$圖書_positionDodge_preserve
電機、法律學院沒有1年級資料,count時會少一類並不會計0,造成圖面的不一致。此時建議自行count並以stat=“identity”方式作圖:
library2014 %>%
select(學院,讀者年級) %>%
arrange(學院,讀者年級) %>%
group_by(學院,讀者年級) %>%
summarise(
count=n()
) %>% ungroup() %>%
add_row(
學院=c("電機資訊學院","法律學院"),
讀者年級=c(1,1),
count=c(0,0)
) -> library2014count
library2014count %>%
ggplot(aes(x=學院,fill=讀者年級)) -> graphList$圖書_ggplotOnly_with_aes2
graphList$圖書_ggplotOnly_with_aes2 +
geom_bar(
aes(y=count), ##### 指定高度y
stat="identity", ##### 自行設定y時使用
width=0.7,
position=position_dodge(width=0.8) # 0.7寬,0.8dodge創造0.1間隔, preserve = "single"在類別齊全時可不用
) ->
graphList$圖書_positionDodge2
graphList$圖書_positionDodge2
請使用position_dodge適當修改下圖數字位置:
graphList$圖書_positionDodge2+
geom_text(
aes(y=count, label=count)
) -> graphList$圖書_positionDodge2_textExample
graphList$圖書_positionDodge2_textExample
當geom有使用stat函數時,其計算後用來作圖的資料可用ggplot_build()產生:
- 存在產生list物件的
data元素裡,data是個list,其數字代表圖面對應layer層次。
graphList$圖書_positionDodge_preserve %>%
ggplot_build() -> graphList$圖書_positionDodge_build
graphList$圖書_positionDodge2_textExample %>%
layer_data(i=2) %>%
head() fill y x label PANEL group colour size angle
1 #31688EFF 52 1 52 1 2 black 3.88 0 2 #35B779FF 53 1 53 1 3 black 3.88 0 3 #FDE725FF 22 1 22 1 4 black 3.88 0 4 #440154FF 1 2 1 1 5 black 3.88 0 5 #31688EFF 100 2 100 1 6 black 3.88 0 6 #35B779FF 124 2 124 1 7 black 3.88 0 hjust vjust alpha family fontface lineheight 1 0.5 0.5 NA 1 1.2 2 0.5 0.5 NA 1 1.2 3 0.5 0.5 NA 1 1.2 4 0.5 0.5 NA 1 1.2 5 0.5 0.5 NA 1 1.2 6 0.5 0.5 NA 1 1.2
position_stack
強調各大類總額差別
及各大類總額的次類組成份子大小


graphList$圖書_ggplotOnly_with_aes2 +
geom_bar(
stat="identity",
aes(y=count), width=0.7, position="stack"
)
graphList$圖書_ggplotOnly_with_aes2 +
geom_bar(
stat="identity",
aes(y=count), width=0.7, position="stack"
)+
geom_text(
aes(x=學院,label=count,y=count),
position=position_stack(vjust=0.5),
color="white"
)
使用geom_label可以較清楚標示:
graphList$圖書_ggplotOnly_with_aes2 +
geom_bar(
stat="identity",
aes(y=count), width=0.7, position="stack"
)+
geom_label(
aes(x=學院,label=count,y=count),
position=position_stack(vjust=0.5),
color="white"
)
#### position_fill{-}
- 強調組成份子比例的變化。

graphList$圖書_ggplotOnly_with_aes2 +
geom_bar(
stat="identity",
aes(y=count), width=0.7, position="fill"
) +
geom_text(
aes(x=學院,label=count,y=count),
position=position_fill(vjust=0.5),
color="white"
)
4.3.5 其他position
df <- data.frame(
x = c(1,3,2,5),
y = c("a","c","d","c")
)
ggplot(df, aes(x, y)) +
geom_point() +
geom_text(aes(label = y), position = position_nudge(y = -0.1))
ggplot(mpg, aes(class, hwy)) +
geom_boxplot(colour = "grey50") +
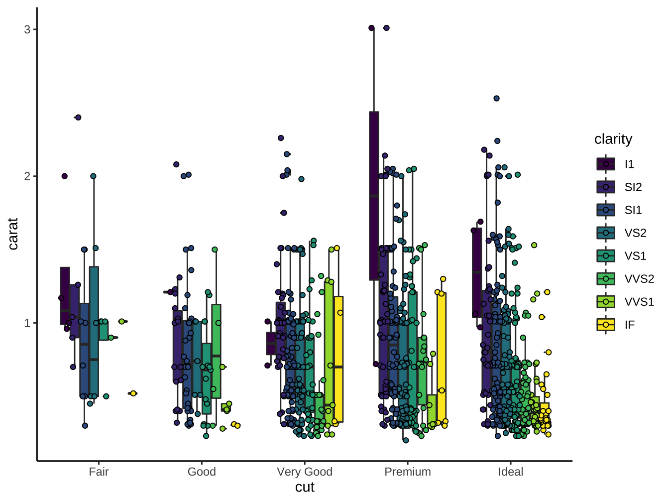
geom_point(position=position_jitter())
dsub <- diamonds[ sample(nrow(diamonds), 1000), ]
ggplot(dsub, aes(x = cut, y = carat, fill = clarity)) +
geom_boxplot(outlier.size = 0) +
geom_point(pch = 21, position = position_jitterdodge())