2 Regresión Lineal
2.1 Una idea general
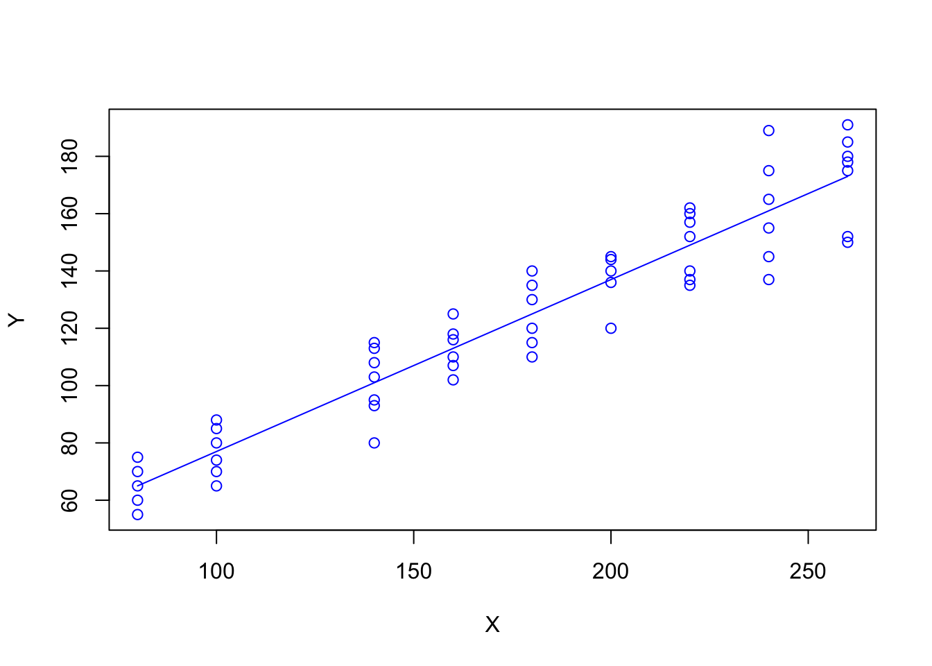
Abordemos las primeras ideas de regresión lineal a través de un ejemplo práctico:
- Abrir la
tabla 2.1 - Creamos dos variables, Ingreso y Consumo Esperado
Ahora:
- Generar un gráfico tipo línea entre ingresos y consumo esperado
- Superponer un gráfico tipo puntos de \(X\) e \(Y\) (
tabla 2.1) sobre el gráfico anterior - Generar un gráfico tipo puntos \(X\) e \(Y\) en azul
- Superponer un gráfico tipo lineas de Ingresos y consumo esperado sobre el gráfico anterior en azul
uu <- "https://raw.githubusercontent.com/vmoprojs/DataLectures/master/GA/Tabla2_1.csv"
familia <- read.csv(file=url(uu),sep=";",dec=".",header=T)
names(familia)## [1] "X" "Y"
## ingresos consumoEsperado
## [1,] 80 65
## [2,] 100 77
## [3,] 120 89
## [4,] 140 101
## [5,] 160 113
## [6,] 180 125
## [7,] 200 137
## [8,] 220 149
## [9,] 240 161
## [10,] 260 173

- ¿Qué hemos hecho?
\[ E(Y|X_i) = f(X_i) \]
\[ E(Y|X_i) = \beta_1+\beta_2X_i \]
\[ u_i = Y_i - E(Y|X_i) \]
\[ Y_i = E(Y|X_i) + u_i \]
- ¿Qué significa que sea lineal?
El término regresión lineal siempre significará una regresión lineal en los parámetros; los \(\beta\) (es decir, los parámetros) se elevan sólo a la primera potencia. Puede o no ser lineal en las variables explicativas \(X\)
Para evidenciar la factibilidad del uso de RL en este caso, vamos a obtener una muestra de la población:
- Creamos una variable indicadora para obtener una muestra
indice=seq(1,55,1) - Usamos
samplepara obtener una muestra sin reemplazo del tamaño indicado:muestra <- sample(indice,size=20) - Obtenemos el valor de la variable \(X\) en la posición de muestra
+
ingreso.muestra <- X[muestra]+consumo.muestra <- Y[muestra]
indice <- seq(1,55,1)
muestra <- sample( familia$X ,size=20)
muestra <- sample(indice,size=20)
ingreso.muestra <- familia$X[muestra]
consumo.muestra <- familia$Y[muestra]- Graficamos ingreso.muestra vs consumo.muestra
- Realizar una regresión lineal de las variables muestra:
+
plot(ingreso.muestra,consumo.muestra)+ajuste.1=(lm(consumo.muestra\sim ingreso.muestra))+abline(coef(ajuste.1)) - Generar una segunda muestra (muestra.2 por ejemplo) y comparar los coeficientes
- ¿Qué conclusiones puede sacar?
##
## Call:
## lm(formula = consumo.muestra ~ ingreso.muestra)
##
## Coefficients:
## (Intercept) ingreso.muestra
## 13.4825 0.6019
## (Intercept) ingreso.muestra
## 13.4824798 0.6018568

2.1.1 Regresión: Paso a paso
La función poblacional sería:
\[ Y_i = \beta_1 + \beta_2X_i+u_i \]
Como no es observable, se usa la muestral
\[ Y_i=\hat{\beta}_1+\hat{\beta}_2X_i+\hat{u}_i \]
\[ Y_i=\hat{Y}_i+\hat{u}_i \]
\[ \hat{u}_i = Y_i-\hat{Y}_i \]
\[ \hat{u}_i = Y_i- \hat{\beta}_1-\hat{\beta}_2X_i \]
Es por esto que los residuos se obtienen a través de los betas:
\[ \label{eq1} \sum\hat{u}_i^2 =\sum (Y_i- \hat{\beta}_1-\hat{\beta}_2X_i)^2 \]
\[ \sum\hat{u}_i^2 =f(\hat{\beta}_1,\hat{\beta}_2) \]
Diferenciando ([\(\eqref{eq1}\)]) se obtiene:
\[ \hat{\beta}_2 = \frac{S_{xy}}{S_{xx}} \]
\[ \hat\beta_1 = \bar{Y} - \hat\beta_2\bar{X} \] donde
\[ S_{xx} = \sum_{i=1}^{n}x_i^2-n\bar{x}^2 \]
\[ S_{xy} = \sum_{i=1}^{n}x_i y_i-n\bar{x}\bar{y} \]
Abrimos la tabla3.2, vamos a obtener:
- salario promedio por hora (Y) y
- los años de escolaridad (X).
uu <- "https://raw.githubusercontent.com/vmoprojs/DataLectures/master/GA/Tabla3_2.csv"
consumo <- read.csv(url(uu),sep=";",dec=".",header=TRUE)
media_x <- mean(consumo$X, na.rm=T)
media_y <- mean(consumo$Y, na.rm=T)
n <- length(consumo$X)*1
sumcuad_x <- sum(consumo$X*consumo$X)
sum_xy <- sum(consumo$X*consumo$Y)
beta_som <- (sum_xy-n*media_x*media_y)/
(sumcuad_x-n*(media_x^2))
alpha_som <- media_y-beta_som*media_x- Verificamos lo anterior mediante:
## (Intercept) consumo$X
## 24.4545455 0.5090909
- Veamos cómo queda nuestra estimación:
## y.ajustado
## [1,] 80 65.18182
## [2,] 100 75.36364
## [3,] 120 85.54545
## [4,] 140 95.72727
## [5,] 160 105.90909
## [6,] 180 116.09091
- Gráficamente:

- Encontremos los residuos:
- Comparemos los resultados
## y.ajustado e
## [1,] 80 70 65.18182 4.8181818
## [2,] 100 65 75.36364 -10.3636364
## [3,] 120 90 85.54545 4.4545455
## [4,] 140 95 95.72727 -0.7272727
## [5,] 160 110 105.90909 4.0909091
## [6,] 180 115 116.09091 -1.0909091
- Veamos la media y la correlación
## [1] -1.24345e-15
## [1] 1.148505e-15
Hallemos el coeficiente de determinación o bondad de ajuste.
Para ello necesitamos la suma de cuadrados total y la suma de cuadramos explicada
SCT <- sum((consumo$Y-media_y)^2)
SCE <- sum((y.ajustado-media_y)^2)
SCR <- sum(e^2)
R_2 <- SCE/SCT
summary(reg.1)##
## Call:
## lm(formula = consumo$Y ~ consumo$X)
##
## Residuals:
## Min 1Q Median 3Q Max
## -10.364 -4.977 1.409 4.364 8.364
##
## Coefficients:
## Estimate Std. Error t value Pr(>|t|)
## (Intercept) 24.45455 6.41382 3.813 0.00514 **
## consumo$X 0.50909 0.03574 14.243 5.75e-07 ***
## ---
## Signif. codes: 0 '***' 0.001 '**' 0.01 '*' 0.05 '.' 0.1 ' ' 1
##
## Residual standard error: 6.493 on 8 degrees of freedom
## Multiple R-squared: 0.9621, Adjusted R-squared: 0.9573
## F-statistic: 202.9 on 1 and 8 DF, p-value: 5.753e-07
Pruebas de hipótesis:
\[ H_0:\beta_2=0 \] \[ H_1:\beta_2\neq 0 \]

- Abrir la tabla 2.8
uu <- "https://raw.githubusercontent.com/vmoprojs/DataLectures/master/GA/table2_8.csv"
datos <- read.csv(url(uu),sep=";",dec=".",header=TRUE)- Regresar el gasto total en el gasto en alimentos
- ¿Son los coeficientes diferentes de cero?
## [1] 8.445209e-07
- ¿Son los coeficientes diferentes de \(0.5\)?
## [1] 0.4233771
Interpretación de los coeficientes
- El coeficiente de la variable dependiente mide la tasa de cambio (derivada=pendiente) del modelo
- La interpretación suele ser En promedio, el aumento de una unidad en la variable independiente produce un aumento/disminución de \(\beta_{i}\) cantidad en la variable dependiente
- Interprete la regresión anterior.
2.1.1.1 Práctica: Paridad del poder de compra
Abrir la tabla 5.9, las variables son:
uu <- "https://raw.githubusercontent.com/vmoprojs/DataLectures/master/GA/Tabla5_9.csv"
datos <- read.csv(url(uu),sep=";",dec=".",header=TRUE)
names(datos) ## [1] "COUNTRY" "BMACLC" "BMAC." "EXCH" "PPP" "LOCALC"
- BMACLC: Big Mac Prices in Local Currency
- BMAC$: Big Mac Prices in $
- EXCH: Actual $ Exchange Rate 4/17/2001
- PPP: Implied Purchasing-Power Parity of the Dollar: Local Price Divided by Price in United States
- LOCALC: Local Currency Under (-)/Over (+) Valuation Against $, Percent
Empezamos con el buen summary. ¿Notan algo raro?
- Debemos limpiar los datos
datos$EXCH[which( datos$EXCH == -99999)] <- NA
datos$PPP[which( datos$PPP == -99999)] <- NA
datos$LOCALC[which( datos$LOCALC ==-99999)] <- NARegresamos la paridad del poder de compra en la tasa de cambio
##
## Call:
## lm(formula = datos$EXCH ~ datos$PPP)
##
## Residuals:
## Min 1Q Median 3Q Max
## -816.86 54.64 60.72 61.85 411.42
##
## Coefficients:
## Estimate Std. Error t value Pr(>|t|)
## (Intercept) -61.38890 44.98703 -1.365 0.183
## datos$PPP 1.81527 0.03994 45.450 <2e-16 ***
## ---
## Signif. codes: 0 '***' 0.001 '**' 0.01 '*' 0.05 '.' 0.1 ' ' 1
##
## Residual standard error: 235.9 on 28 degrees of freedom
## (1 observation deleted due to missingness)
## Multiple R-squared: 0.9866, Adjusted R-squared: 0.9861
## F-statistic: 2066 on 1 and 28 DF, p-value: < 2.2e-16
La PPA sostiene que con una unidad de moneda debe ser posible comprar la misma canasta de bienes en todos los países.
2.1.1.2 Práctica: Sueño
De la carpeta DataLectures, abrir sleep.csv
uu <- "https://raw.githubusercontent.com/vmoprojs/DataLectures/master/WO/sleep75.csv"
datos <- read.csv(url(uu), header = FALSE) agregamos los nombres:
names (datos) <- c("age","black","case","clerical","construc","educ","earns74","gdhlth","inlf", "leis1", "leis2", "leis3", "smsa", "lhrwage", "lothinc", "male", "marr", "prot", "rlxall", "selfe", "sleep", "slpnaps", "south", "spsepay", "spwrk75", "totwrk" , "union" , "worknrm" , "workscnd", "exper" , "yngkid","yrsmarr", "hrwage", "agesq") Veamos los datos gráficamente y corramos la regresión:
#totwrk minutos trabajados por semana
#sleep minutos dormidos por semana
plot(datos$totwrk,datos$sleep)
##
## Call:
## lm(formula = sleep ~ totwrk, data = datos)
##
## Residuals:
## Min 1Q Median 3Q Max
## -2429.94 -240.25 4.91 250.53 1339.72
##
## Coefficients:
## Estimate Std. Error t value Pr(>|t|)
## (Intercept) 3586.37695 38.91243 92.165 <2e-16 ***
## totwrk -0.15075 0.01674 -9.005 <2e-16 ***
## ---
## Signif. codes: 0 '***' 0.001 '**' 0.01 '*' 0.05 '.' 0.1 ' ' 1
##
## Residual standard error: 421.1 on 704 degrees of freedom
## Multiple R-squared: 0.1033, Adjusted R-squared: 0.102
## F-statistic: 81.09 on 1 and 704 DF, p-value: < 2.2e-16
- ¿Existe una relación entre estas variables?
- Interprete el modelo
Intervalo de confianza para \(\beta_2\) y veamos los residuos
## [1] -0.11730 -0.18438

Derivaciones del modelo

2.2 Transformaciones Lineales
Abrir la tabla 31.3, regresar el ingreso per cápita en el número de celulares por cada 100 personas:
uu <- "https://raw.githubusercontent.com/vmoprojs/DataLectures/master/GA/Table%2031_3.csv"
datos <- read.csv(url(uu),sep=";",dec=".",header=TRUE)##
## Call:
## lm(formula = Cellphone ~ Pcapincome, data = datos)
##
## Residuals:
## Min 1Q Median 3Q Max
## -45.226 -10.829 -2.674 8.950 47.893
##
## Coefficients:
## Estimate Std. Error t value Pr(>|t|)
## (Intercept) 1.248e+01 6.109e+00 2.043 0.0494 *
## Pcapincome 2.313e-03 3.158e-04 7.326 2.5e-08 ***
## ---
## Signif. codes: 0 '***' 0.001 '**' 0.01 '*' 0.05 '.' 0.1 ' ' 1
##
## Residual standard error: 19.92 on 32 degrees of freedom
## Multiple R-squared: 0.6265, Adjusted R-squared: 0.6148
## F-statistic: 53.67 on 1 and 32 DF, p-value: 2.498e-08

2.2.1 Modelo recíproco
Abrir la tabla 6.4, regresar el Producto Nacional Bruto (PGNP) en la tasa de mortalidad (CM).
uu <- "https://raw.githubusercontent.com/vmoprojs/DataLectures/master/GA/tabla_6_4.csv"
datos <- read.csv(url(uu),sep=";",dec=".",header=TRUE)
names(datos)## [1] "CM" "FLR" "PGNP" "TFR"

##
## Call:
## lm(formula = CM ~ PGNP, data = datos)
##
## Residuals:
## Min 1Q Median 3Q Max
## -113.764 -53.111 -6.685 48.064 157.758
##
## Coefficients:
## Estimate Std. Error t value Pr(>|t|)
## (Intercept) 157.424441 9.845583 15.989 < 2e-16 ***
## PGNP -0.011364 0.003233 -3.516 0.000826 ***
## ---
## Signif. codes: 0 '***' 0.001 '**' 0.01 '*' 0.05 '.' 0.1 ' ' 1
##
## Residual standard error: 69.93 on 62 degrees of freedom
## Multiple R-squared: 0.1662, Adjusted R-squared: 0.1528
## F-statistic: 12.36 on 1 and 62 DF, p-value: 0.0008262
##
## Call:
## lm(formula = CM ~ I(1/PGNP), data = datos)
##
## Residuals:
## Min 1Q Median 3Q Max
## -130.806 -36.410 2.871 31.686 132.801
##
## Coefficients:
## Estimate Std. Error t value Pr(>|t|)
## (Intercept) 81.79 10.83 7.551 2.38e-10 ***
## I(1/PGNP) 27273.17 3760.00 7.254 7.82e-10 ***
## ---
## Signif. codes: 0 '***' 0.001 '**' 0.01 '*' 0.05 '.' 0.1 ' ' 1
##
## Residual standard error: 56.33 on 62 degrees of freedom
## Multiple R-squared: 0.4591, Adjusted R-squared: 0.4503
## F-statistic: 52.61 on 1 and 62 DF, p-value: 7.821e-10
2.2.2 Modelo log-lineal
Abrir los datos ceosal2.xls,
uu <- "https://raw.githubusercontent.com/vmoprojs/DataLectures/master/WO/ceosal2.csv"
datos <- read.csv(url(uu), header = FALSE)
names(datos) = c("salary", "age", "college", "grad", "comten", "ceoten", "sales", "profits","mktval", "lsalary", "lsales", "lmktval", "comtensq", "ceotensq", "profmarg")Regresar la antigüedad del CEO en el logaritmo del salario.
##
## Call:
## lm(formula = lsalary ~ ceoten, data = datos)
##
## Residuals:
## Min 1Q Median 3Q Max
## -2.15314 -0.38319 -0.02251 0.44439 1.94337
##
## Coefficients:
## Estimate Std. Error t value Pr(>|t|)
## (Intercept) 6.505498 0.067991 95.682 <2e-16 ***
## ceoten 0.009724 0.006364 1.528 0.128
## ---
## Signif. codes: 0 '***' 0.001 '**' 0.01 '*' 0.05 '.' 0.1 ' ' 1
##
## Residual standard error: 0.6038 on 175 degrees of freedom
## Multiple R-squared: 0.01316, Adjusted R-squared: 0.007523
## F-statistic: 2.334 on 1 and 175 DF, p-value: 0.1284
- Hay una probabilidad de equivocarnos del 12.84% si rechazamos la hipótesis nula
- No hay evidencia de la antiguedad tenga relación con el salario
- Los CEO con 0 años de antiguedad entran ganando
exp(6.505)=668.4757miles de USDexp(6.505) - En promedio, por cada unidad que aumenta la antigüedad del CEO, su salario aumenta \(0.9\%\)
2.3 Regresión Lineal Múltiple
Abrir los datos hprice1.xls. Correr los siguientes modelos e interpretarlos:
uu <- "https://raw.githubusercontent.com/vmoprojs/DataLectures/master/WO/hprice1.csv"
precios <- read.csv(url(uu), header = FALSE)
names(precios)=c("price" , "assess" ,
"bdrms" , "lotsize" ,
"sqrft" , "colonial",
"lprice" , "lassess" ,
"llotsize" , "lsqrft")##
## Call:
## lm(formula = lprice ~ lassess + llotsize + lsqrft + bdrms, data = precios)
##
## Residuals:
## Min 1Q Median 3Q Max
## -0.53337 -0.06333 0.00686 0.07836 0.60825
##
## Coefficients:
## Estimate Std. Error t value Pr(>|t|)
## (Intercept) 0.263745 0.569665 0.463 0.645
## lassess 1.043065 0.151446 6.887 1.01e-09 ***
## llotsize 0.007438 0.038561 0.193 0.848
## lsqrft -0.103239 0.138431 -0.746 0.458
## bdrms 0.033839 0.022098 1.531 0.129
## ---
## Signif. codes: 0 '***' 0.001 '**' 0.01 '*' 0.05 '.' 0.1 ' ' 1
##
## Residual standard error: 0.1481 on 83 degrees of freedom
## Multiple R-squared: 0.7728, Adjusted R-squared: 0.7619
## F-statistic: 70.58 on 4 and 83 DF, p-value: < 2.2e-16
##
## Call:
## lm(formula = lprice ~ llotsize + lsqrft + bdrms, data = precios)
##
## Residuals:
## Min 1Q Median 3Q Max
## -0.68422 -0.09178 -0.01584 0.11213 0.66899
##
## Coefficients:
## Estimate Std. Error t value Pr(>|t|)
## (Intercept) -1.29704 0.65128 -1.992 0.0497 *
## llotsize 0.16797 0.03828 4.388 3.31e-05 ***
## lsqrft 0.70023 0.09287 7.540 5.01e-11 ***
## bdrms 0.03696 0.02753 1.342 0.1831
## ---
## Signif. codes: 0 '***' 0.001 '**' 0.01 '*' 0.05 '.' 0.1 ' ' 1
##
## Residual standard error: 0.1846 on 84 degrees of freedom
## Multiple R-squared: 0.643, Adjusted R-squared: 0.6302
## F-statistic: 50.42 on 3 and 84 DF, p-value: < 2.2e-16
##
## Call:
## lm(formula = lprice ~ bdrms, data = precios)
##
## Residuals:
## Min 1Q Median 3Q Max
## -0.99586 -0.17202 -0.00319 0.14974 0.71355
##
## Coefficients:
## Estimate Std. Error t value Pr(>|t|)
## (Intercept) 5.03649 0.12635 39.862 < 2e-16 ***
## bdrms 0.16723 0.03447 4.851 5.43e-06 ***
## ---
## Signif. codes: 0 '***' 0.001 '**' 0.01 '*' 0.05 '.' 0.1 ' ' 1
##
## Residual standard error: 0.2706 on 86 degrees of freedom
## Multiple R-squared: 0.2148, Adjusted R-squared: 0.2057
## F-statistic: 23.53 on 1 and 86 DF, p-value: 5.426e-06
2.3.0.1 Predicción

- Forma 1 de predicción:
## (Intercept) llotsize lsqrft bdrms
## -1.29704057 0.16796682 0.70023213 0.03695833
## [1] 1.000000 7.649693 8.987197 4.000000
## [1] 6.428811
## [1] 619.4372
- Forma 2 de predicción:
datos.nuevos <- data.frame(llotsize=log(2100),lsqrft=log(8000),bdrms=4)
predict.lm(modelo2,newdata=datos.nuevos,se.fit=T)## $fit
## 1
## 6.428811
##
## $se.fit
## [1] 0.1479752
##
## $df
## [1] 84
##
## $residual.scale
## [1] 0.1846026
2.3.1 RLM: Cobb-Douglas
El modelo:
\[ Y_i = \beta_1X_{2i}^{\beta_2}X_{3i}^{\beta_3}e^{u_i} \]
donde
- \(Y\): producción
- \(X_2\): insumo trabajo
- \(X_3\): insumo capital
- \(u\): término de perturbación
- \(e\): base del logaritmo
Notemos que el modelo es multiplicativo, si tomamos la derivada obetenemos un modelo más famliar respecto a la regresión lineal múltiple:
\[ lnY_i = ln\beta_1 + \beta_2ln(X_{2i})+ \beta_3ln(X_{3i}) + u_i \]
La interpretación de los coeficientes es (Gujarati and Porter 2010):
\(\beta_2\) es la elasticidad (parcial) de la producción respecto del insumo trabajo, es decir, mide el cambio porcentual en la producción debido a una variación de 1% en el insumo trabajo, con el insumo capital constante.
De igual forma, \(\beta_3\) es la elasticidad (parcial) de la producción respecto del insumo capital, con el insumo trabajo constante.
La suma (\(\beta_2+\beta_3\)) da información sobre los rendimientos a escala, es decir, la respuesta de la producción a un cambio proporcional en los insumos. Si esta suma es 1, existen rendimientos constantes a escala, es decir, la duplicación de los insumos duplica la producción, la triplicación de los insumos la triplica, y así sucesivamente. Si la suma es menor que 1, existen rendimientos decrecientes a escala: al duplicar los insumos, la producción crece en menos del doble. Por último, si la suma es mayor que 1, hay rendimientos crecientes a escala; la duplicación de los insumos aumenta la producción en más del doble.
Abrir la tabla 7.3. Regresar las horas de trabajo (\(X_2\)) e Inversión de Capital (\(X_3\)) en el Valor Agregado (\(Y\))
uu <- "https://raw.githubusercontent.com/vmoprojs/DataLectures/master/GA/tabla7_3.csv"
# datos <- read.csv(file="tabla7_3.csv",sep=";",dec=".",header=TRUE)
datos <- read.csv(url(uu),sep=";",dec=".",header=TRUE)W <- log(datos$X2)
K <- log(datos$X3)
LY <- log(datos$Y)
reg.1 <- lm(LY~W+K,data = datos)
summary(reg.1)##
## Call:
## lm(formula = LY ~ W + K, data = datos)
##
## Residuals:
## Min 1Q Median 3Q Max
## -0.15919 -0.02917 0.01179 0.04087 0.09640
##
## Coefficients:
## Estimate Std. Error t value Pr(>|t|)
## (Intercept) -3.3387 2.4491 -1.363 0.197845
## W 1.4987 0.5397 2.777 0.016750 *
## K 0.4899 0.1020 4.801 0.000432 ***
## ---
## Signif. codes: 0 '***' 0.001 '**' 0.01 '*' 0.05 '.' 0.1 ' ' 1
##
## Residual standard error: 0.0748 on 12 degrees of freedom
## Multiple R-squared: 0.8891, Adjusted R-squared: 0.8706
## F-statistic: 48.08 on 2 and 12 DF, p-value: 1.864e-06
## Call:
## aov(formula = reg.1)
##
## Terms:
## W K Residuals
## Sum of Squares 0.4090674 0.1289876 0.0671410
## Deg. of Freedom 1 1 12
##
## Residual standard error: 0.07480028
## Estimated effects may be unbalanced
- Las elasticidades de la producción respecto del trabajo y el capital fueron 1.49 y 0.48.
Ahora, si existen rendimientos constantes a escala (un cambio equi proporcional en la producción ante un cambio equiproporcional en los insumos), la teoría económica sugeriría que:
\[ \beta_2 +\beta_3 = 1 \]
##
## Call:
## lm(formula = LY_K ~ W_K)
##
## Residuals:
## Min 1Q Median 3Q Max
## -0.164785 -0.041608 -0.008268 0.076112 0.098587
##
## Coefficients:
## Estimate Std. Error t value Pr(>|t|)
## (Intercept) 1.7083 0.4159 4.108 0.00124 **
## W_K 0.3870 0.0933 4.147 0.00115 **
## ---
## Signif. codes: 0 '***' 0.001 '**' 0.01 '*' 0.05 '.' 0.1 ' ' 1
##
## Residual standard error: 0.08388 on 13 degrees of freedom
## Multiple R-squared: 0.5695, Adjusted R-squared: 0.5364
## F-statistic: 17.2 on 1 and 13 DF, p-value: 0.001147
## Call:
## aov(formula = reg.2)
##
## Terms:
## W_K Residuals
## Sum of Squares 0.12100534 0.09145854
## Deg. of Freedom 1 13
##
## Residual standard error: 0.08387653
## Estimated effects may be unbalanced
¿Se cumple la hipótesis nula? ¿Existen rendimientos constantes de escala?
Una forma de responder a la pregunta es mediante la prueba \(t\), para \(Ho: \beta_2 +\beta_3 = 1\), tenemos
\[
t = \frac{(\hat{\beta}_2+\hat{\beta}_3)-(\beta_2+\beta_3)}{ee(\hat{\beta}_2+\hat{\beta}_3)}
\]
\[
t = \frac{(\hat{\beta}_2+\hat{\beta}_3)-1}{\sqrt{var(\hat{\beta}_2)+var(\hat{\beta}_3)+2cov(\hat{\beta}_2,\hat{\beta}_3})}
\]
donde la información nececesaria para obtener \(cov(\hat{\beta}_2,\hat{\beta}_3)\) en R es vcov(fit.model) y fit.model es el ajuste del modelo.
Otra forma de hacer la prueba es mediante el estadístico \(F\):
\[ F = \frac{(SCE_{R}-SCE_{NR})/m}{SCR_{NR}/(n-k)} \]
donde \(m\) es el número de restricciones lineales y \(k\) es el número de parámetros de la regresión no restringida.
SCRNR <- 0.0671410
SCRRes <- 0.09145854
numero_rest <- 1
grad <- 12
est_F <- ((SCRRes-SCRNR)/numero_rest)/(SCRNR/grad)
est_F## [1] 4.346234
## [1] 0.05912184
No se tiene suficiente evidencia para rechazar la hipótesis nula de que sea una economía de escala.
Notemos que existe una relación directa entre el coeficiente de determinación o bondad de ajuste \(R^2\) y \(F\). En primero lugar, recordemos la descomposición de los errores:
\[ SCT = SCE + SCR \]
\[ \sum_{i=1}^{n}(Y-\bar{Y})^2 = \sum_{i=1}^{n}(\hat{Y}-\bar{Y})^2 + \sum_{i=1}^{n}(\hat{u})^2 \]
De cuyos elementos podemos obtener tanto \(R^2\) como \(F\):
\[ R^2 = \frac{SCE}{SCT} \]
\[ F = \frac{SCE/(k-1)}{SCT/(n-k)} \]
donde \(k\) es el número de variables (incluido el intercepto) y sigue una distribución \(F\) con \(k-1\) y \(n-k\) grados de libertad.
2.3.2 RLM: Dicotómicas
Abrir los datos wage1.xls. Correr los modelos. Se desea saber si el género tiene relación con el salario y en qué medida.
uu <- "https://raw.githubusercontent.com/vmoprojs/DataLectures/master/WO/wage1.csv"
salarios <- read.csv(url(uu), header = FALSE)
names(salarios) <- c("wage", "educ", "exper", "tenure", "nonwhite", "female", "married",
"numdep", "smsa", "northcen", "south", "west", "construc", "ndurman",
"trcommpu", "trade", "services", "profserv", "profocc", "clerocc",
"servocc", "lwage", "expersq", "tenursq")##
## Call:
## lm(formula = wage ~ female, data = salarios)
##
## Residuals:
## Min 1Q Median 3Q Max
## -5.5995 -1.8495 -0.9877 1.4260 17.8805
##
## Coefficients:
## Estimate Std. Error t value Pr(>|t|)
## (Intercept) 7.0995 0.2100 33.806 < 2e-16 ***
## female -2.5118 0.3034 -8.279 1.04e-15 ***
## ---
## Signif. codes: 0 '***' 0.001 '**' 0.01 '*' 0.05 '.' 0.1 ' ' 1
##
## Residual standard error: 3.476 on 524 degrees of freedom
## Multiple R-squared: 0.1157, Adjusted R-squared: 0.114
## F-statistic: 68.54 on 1 and 524 DF, p-value: 1.042e-15
##
## Call:
## lm(formula = wage ~ female + educ + exper + tenure, data = salarios)
##
## Residuals:
## Min 1Q Median 3Q Max
## -7.7675 -1.8080 -0.4229 1.0467 14.0075
##
## Coefficients:
## Estimate Std. Error t value Pr(>|t|)
## (Intercept) -1.56794 0.72455 -2.164 0.0309 *
## female -1.81085 0.26483 -6.838 2.26e-11 ***
## educ 0.57150 0.04934 11.584 < 2e-16 ***
## exper 0.02540 0.01157 2.195 0.0286 *
## tenure 0.14101 0.02116 6.663 6.83e-11 ***
## ---
## Signif. codes: 0 '***' 0.001 '**' 0.01 '*' 0.05 '.' 0.1 ' ' 1
##
## Residual standard error: 2.958 on 521 degrees of freedom
## Multiple R-squared: 0.3635, Adjusted R-squared: 0.3587
## F-statistic: 74.4 on 4 and 521 DF, p-value: < 2.2e-16
- La hipotesis es que saber si el coeficiente de female es menor a cero
- Se nota que es menor,
- Tomando en cuenta, educacion experiencia y edad, en promedio a la mujer le pagan 1.81 menos
2.3.3 RLM: Educación con insumos
Abrir los datos gpa1.xls. Correr los modelos.
- ¿Afecta el promedio el tener o no una computadora?
uu <- "https://raw.githubusercontent.com/vmoprojs/DataLectures/master/WO/gpa1.csv"
datosgpa <- read.csv(url(uu), header = FALSE)
names(datosgpa) <- c("age", "soph", "junior", "senior", "senior5", "male", "campus", "business", "engineer", "colGPA", "hsGPA", "ACT", "job19", "job20", "drive", "bike", "walk", "voluntr", "PC", "greek", "car", "siblings", "bgfriend", "clubs", "skipped", "alcohol", "gradMI", "fathcoll", "mothcoll")Realizamos la regresión lineal:
##
## Call:
## lm(formula = colGPA ~ PC, data = datosgpa)
##
## Residuals:
## Min 1Q Median 3Q Max
## -0.95893 -0.25893 0.01059 0.31059 0.84107
##
## Coefficients:
## Estimate Std. Error t value Pr(>|t|)
## (Intercept) 2.98941 0.03950 75.678 <2e-16 ***
## PC 0.16952 0.06268 2.704 0.0077 **
## ---
## Signif. codes: 0 '***' 0.001 '**' 0.01 '*' 0.05 '.' 0.1 ' ' 1
##
## Residual standard error: 0.3642 on 139 degrees of freedom
## Multiple R-squared: 0.04999, Adjusted R-squared: 0.04315
## F-statistic: 7.314 on 1 and 139 DF, p-value: 0.007697
##
## Call:
## lm(formula = colGPA ~ PC + hsGPA + ACT, data = datosgpa)
##
## Residuals:
## Min 1Q Median 3Q Max
## -0.7901 -0.2622 -0.0107 0.2334 0.7570
##
## Coefficients:
## Estimate Std. Error t value Pr(>|t|)
## (Intercept) 1.263520 0.333126 3.793 0.000223 ***
## PC 0.157309 0.057287 2.746 0.006844 **
## hsGPA 0.447242 0.093647 4.776 4.54e-06 ***
## ACT 0.008659 0.010534 0.822 0.412513
## ---
## Signif. codes: 0 '***' 0.001 '**' 0.01 '*' 0.05 '.' 0.1 ' ' 1
##
## Residual standard error: 0.3325 on 137 degrees of freedom
## Multiple R-squared: 0.2194, Adjusted R-squared: 0.2023
## F-statistic: 12.83 on 3 and 137 DF, p-value: 1.932e-07