Chapter 2 Analyzing Instruction with Code
The technical and analyzing part of the project is accomplished through R. Analytical data sets have been pushed into a GitHub repository.
2.1 Library Packages
library(spatstat)
library(here)
library(sp)
library(rgeos)
library(maptools)
library(GISTools)
library(tmap)
library(sf)
library(geojson)
library(geojsonio)
library(tmaptools)
library(tidyverse)
library(stringr)
library(ggplot2)
library(spdep)2.2 Data Reading
First, get the London Borough Boundaries
LondonBoroughs <- st_read("https://github.com/LingruFeng/GIS_assessment/blob/main/London_Boroughs.gpkg?raw=true")## Reading layer `london_boroughs' from data source `https://github.com/LingruFeng/GIS_assessment/blob/main/London_Boroughs.gpkg?raw=true' using driver `GPKG'
## Simple feature collection with 33 features and 7 fields
## geometry type: POLYGON
## dimension: XY
## bbox: xmin: 503568.2 ymin: 155850.8 xmax: 561957.5 ymax: 200933.9
## projected CRS: OSGB 1936 / British National Grid
LondonBoroughs <- LondonBoroughs %>% st_transform(., 27700)Now get the location of all rapid charging points in the City
charging_points <- st_read("https://github.com/LingruFeng/GIS_assessment/blob/main/Rapid_charging_points.gpkg?raw=true")## Reading layer `Rapid_charging_points' from data source `https://github.com/LingruFeng/GIS_assessment/blob/main/Rapid_charging_points.gpkg?raw=true' using driver `GPKG'
## Simple feature collection with 156 features and 12 fields
## geometry type: POINT
## dimension: XY
## bbox: xmin: 505012.1 ymin: 157855.5 xmax: 555472.3 ymax: 199091.7
## projected CRS: unnamed
charging_points <- charging_points %>% st_set_crs(., 27700) %>% st_transform(.,27700)Get public use points and taxi charging points
taxi <- charging_points %>% filter(taxipublicuses == 'Taxi')
public <- charging_points %>% filter(taxipublicuses == 'Public use' | taxipublicuses == 'Public Use')2.3 Data Cleaning
select the points inside London
charging_points <- charging_points[LondonBoroughs,]
taxi <- taxi[LondonBoroughs,]
public <- public[LondonBoroughs,]Correct the borough name to make different data set match each other
LondonBoroughs[22,2]='Hammersmith & Fulham'
LondonBoroughs[19,2]='Richmond'
names(LondonBoroughs)[names(LondonBoroughs) == 'name'] <- 'borough'
public[77,1]='Hillingdon'
taxi[6,1]='City of London'2.4 Data Summarizing
Summarize the total number of rapid charging points for public use and taxi in each borough
- Count the number of rapid charging points for public use in each borough
public_point <- public %>%
sf::st_as_sf() %>%
st_drop_geometry() %>%
full_join(LondonBoroughs, by = "borough") %>%
select('borough','numberrcpoints')
public_point[is.na(public_point)] <- 0
public_point$numberrcpoints <- as.numeric(public_point$numberrcpoints)
public_point <- public_point %>% group_by(borough)
public_point <- summarise(public_point,public_point_number=sum(numberrcpoints))- Count the number of rapid charging points for taxi in each borough
taxi_point <- taxi %>%
sf::st_as_sf() %>%
st_drop_geometry() %>%
full_join(LondonBoroughs, by = "borough") %>%
select('borough','numberrcpoints')
taxi_point[is.na(taxi_point)] <- 0
taxi_point$numberrcpoints <- as.numeric(taxi_point$numberrcpoints)
taxi_point <- taxi_point %>% group_by(borough)
taxi_point <- summarise(taxi_point,taxi_point_number=sum(numberrcpoints))Join the summarized data into LondonBoroughs
LondonBoroughs <- LondonBoroughs %>%
left_join(.,
public_point,
by = "borough") %>%
left_join(.,
taxi_point,
by = "borough")Calculate the density of the charging points in each borough
LondonBoroughs <- LondonBoroughs %>%
mutate(taxi_density = taxi_point_number/hectares*10000) %>%
mutate(public_density = public_point_number/hectares*10000)2.5 Data Mapping
Charging site data mapping
tmap_mode("plot")## tmap mode set to plotting
tm1 <- tm_shape(LondonBoroughs)+
tm_polygons(col="gray",alpha = 0.2)+
tm_layout(frame=FALSE)+
tm_shape(public)+
tm_symbols(col = "red", scale = .4)+
tm_credits("(a) Public Use", position=c(0.25,0.8), size=2)
tm2 <- tm_shape(LondonBoroughs)+
tm_polygons(col="gray",alpha = 0.2)+
tm_layout(frame=FALSE)+
tm_shape(taxi)+
tm_symbols(col = "blue", scale = .4)+
tm_credits("(b) Taxi", position=c(0.35,0.8), size=2)+
tm_scale_bar(text.size=0.85,position=c(0.57,0.14))+
tm_compass(north=0,position=c(0.8,0.25),size=3)+
tm_credits("(c) Greater London Authority",position=c(0.53,0.12),size = 1)
t=tmap_arrange(tm1,tm2)
t
Charging point density mapping
- Public use charging point density in boroughs of London
tm3 <- tm_shape(LondonBoroughs) +
tm_polygons("public_density",
style="jenks",
palette=brewer.pal(5, "Reds"),
midpoint=NA,
title="Density \n(per 10,000 ha)")+
tm_layout(frame=FALSE,
legend.position = c("right","bottom"),
legend.text.size=1,
legend.title.size = 1.5)+
tm_scale_bar(text.size=0.85,position=c(0,0.03))+
tm_compass(north=0,position=c(0.03,0.12),size=3.5,text.size = 1)+
tm_credits("(c) Greater London Authority",position=c(0,0),size = 1)+
tm_text("borough", size=1.1,remove.overlap=TRUE,col="black")
tm3
- Taxi charging point density in boroughs of London
tm4 <- tm_shape(LondonBoroughs) +
tm_polygons("taxi_density",
style="jenks",
palette=brewer.pal(5, "Blues"),
midpoint=NA,
title="Density \n(per 10,000 ha)")+
tm_layout(frame=FALSE,
legend.position = c("right","bottom"),
legend.text.size=1,
legend.title.size = 1.5)+
tm_scale_bar(text.size=0.85,position=c(0,0.03))+
tm_compass(north=0,position=c(0.03,0.12),size=3.5,text.size = 1)+
tm_credits("(c) Greater London Authority",position=c(0,0),size = 1)+
tm_text("borough", size=1.1,remove.overlap=TRUE,col="black")
tm4
Plot the frequency histogram of Charging point density
taxi_sub <- LondonBoroughs%>%
st_drop_geometry()%>%
select(taxi_density) %>%
mutate(type="taxi")
names(taxi_sub)[names(taxi_sub) == 'taxi_density'] <- 'density'
public_sub <- LondonBoroughs%>%
st_drop_geometry()%>%
select(public_density) %>%
mutate(type="public use")
names(public_sub)[names(public_sub) == 'public_density'] <- 'density'
sub <-rbind(taxi_sub, public_sub)
gghist <- ggplot(sub, aes(x=density, color=type, fill=type)) +
geom_histogram(position="identity", alpha=0.4,binwidth =4)+
labs(x="Papid Charging Point Density (per 10,000 ha)",
y="Frequency")+
theme_classic()+
theme(plot.title = element_text(hjust =0.5),
legend.title = element_text(size =20),
legend.text = element_text(size = 15),
axis.title.x =element_text(size=15),
axis.title.y=element_text(size=15),)
gghist
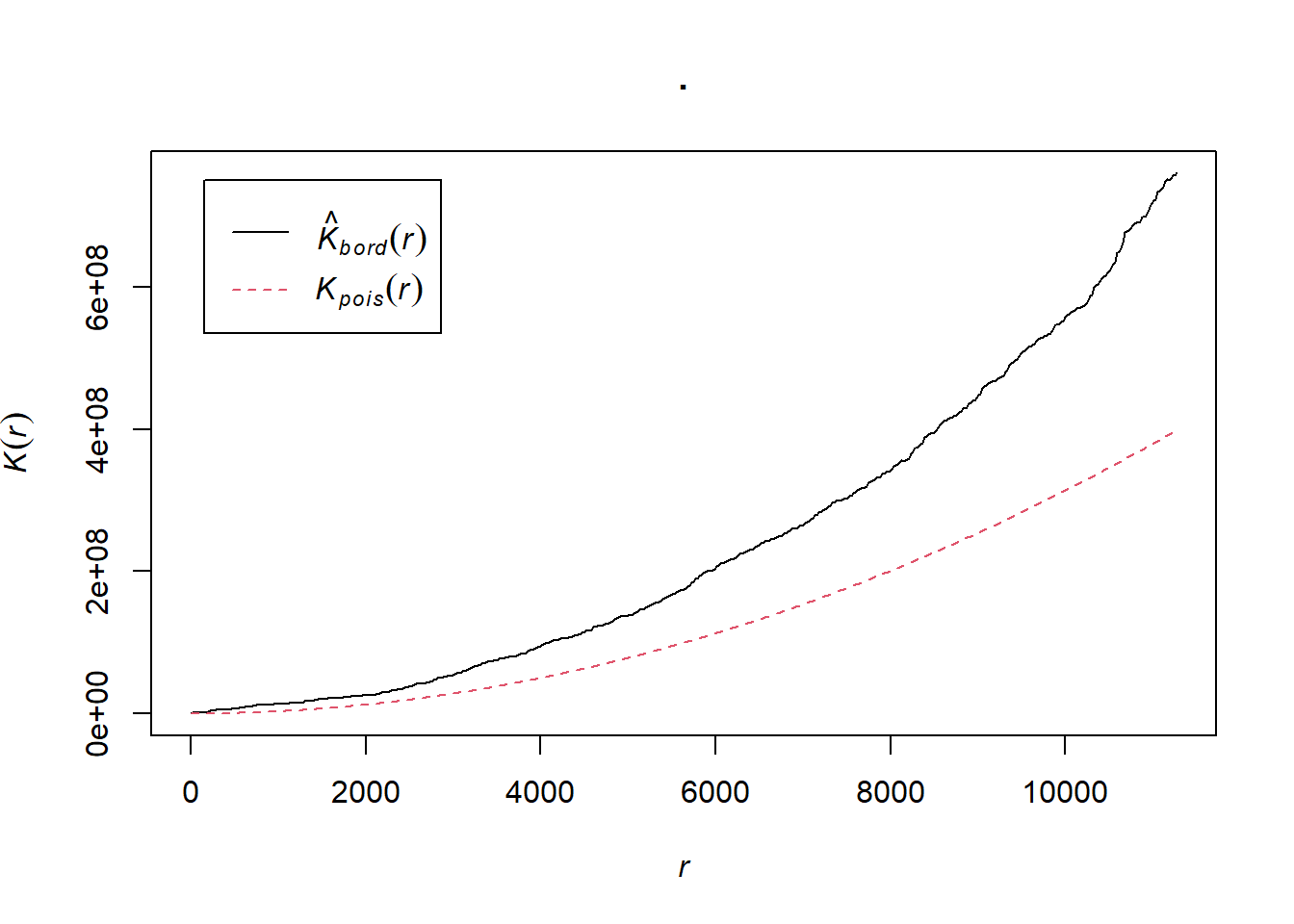
2.6 Charging Site’s Point Pattern Analysis
Do Ripley’s K Tests for both data sets to see if there is any cluster in charging sites
# Set a window as the borough boundary
window <- as.owin(LondonBoroughs)- Ripley’s K Test on Charging Sites for Public Use in London
public<- public %>%
as(., 'Spatial')## Warning in showSRID(uprojargs, format = "PROJ", multiline = "NO", prefer_proj
## = prefer_proj): Discarded datum Unknown based on Airy 1830 ellipsoid in CRS
## definition
## Warning in showSRID(SRS_string, format = "PROJ", multiline = "NO", prefer_proj =
## prefer_proj): Discarded datum OSGB 1936 in CRS definition
public.ppp <- ppp(x=public@coords[,1],
y=public@coords[,2],
window=window)
K <- public.ppp %>%
Kest(., correction="border") %>%
plot()
- Ripley’s K Test on Charging Sites for Taxi in London
taxi<- taxi %>%
as(., 'Spatial')## Warning in showSRID(uprojargs, format = "PROJ", multiline = "NO", prefer_proj
## = prefer_proj): Discarded datum Unknown based on Airy 1830 ellipsoid in CRS
## definition
## Warning in showSRID(SRS_string, format = "PROJ", multiline = "NO", prefer_proj =
## prefer_proj): Discarded datum OSGB 1936 in CRS definition
taxi.ppp <- ppp(x=taxi@coords[,1],
y=taxi@coords[,2],
window=window)
K <- taxi.ppp %>%
Kest(., correction="border") %>%
plot()
2.7 Global Spatial Autocorrelation Analysis
First calculate the centroids of all Wards in London
coordsW <- LondonBoroughs %>%
st_centroid()%>%
st_geometry()Generate a spatial weights matrix using nearest k-nearest neighbours case
knn_boros <-coordsW %>%
knearneigh(., k=4) #create a neighbours list of nearest k-nearest neighbours (k=4)
boro_knn <- knn_boros %>%
knn2nb() %>%
nb2listw(., style="C")Analysing Spatial Autocorrelation for both charging point density data set
Moran’s I test (tells us whether we have clustered values (close to 1) or dispersed values (close to -1))
- For taxi points’ density
I_global_taxi <- LondonBoroughs %>%
pull(taxi_density) %>%
as.vector()%>%
moran.test(., boro_knn)
I_global_taxi##
## Moran I test under randomisation
##
## data: .
## weights: boro_knn
##
## Moran I statistic standard deviate = 3.1165, p-value = 0.0009151
## alternative hypothesis: greater
## sample estimates:
## Moran I statistic Expectation Variance
## 0.28744651 -0.03125000 0.01045746
- For public use points’ density
I_global_public <- LondonBoroughs %>%
pull(public_density) %>%
as.vector()%>%
moran.test(., boro_knn)
I_global_public##
## Moran I test under randomisation
##
## data: .
## weights: boro_knn
##
## Moran I statistic standard deviate = -0.77738, p-value = 0.7815
## alternative hypothesis: greater
## sample estimates:
## Moran I statistic Expectation Variance
## -0.10223076 -0.03125000 0.00833709
Geary’s C test (This tells us whether similar values or dissimilar values are cluserting)
- For taxi points’ density
C_global_taxi <-
LondonBoroughs %>%
pull(taxi_density) %>%
as.vector()%>%
geary.test(., boro_knn)
C_global_taxi##
## Geary C test under randomisation
##
## data: .
## weights: boro_knn
##
## Geary C statistic standard deviate = 1.8406, p-value = 0.03284
## alternative hypothesis: Expectation greater than statistic
## sample estimates:
## Geary C statistic Expectation Variance
## 0.77622531 1.00000000 0.01478025
- For public use points’ density
C_global_public <-
LondonBoroughs %>%
pull(public_density) %>%
as.vector()%>%
geary.test(., boro_knn)
C_global_public##
## Geary C test under randomisation
##
## data: .
## weights: boro_knn
##
## Geary C statistic standard deviate = -0.08548, p-value = 0.5341
## alternative hypothesis: Expectation greater than statistic
## sample estimates:
## Geary C statistic Expectation Variance
## 1.01194613 1.00000000 0.01953095
Getis Ord G test(This tells us whether high or low values are clustering.)
- For taxi points’ density
G_global_taxi <-
LondonBoroughs %>%
pull(taxi_density) %>%
as.vector()%>%
globalG.test(., boro_knn)
G_global_taxi##
## Getis-Ord global G statistic
##
## data: .
## weights: boro_knn
##
## standard deviate = 3.6095, p-value = 0.0001534
## alternative hypothesis: greater
## sample estimates:
## Global G statistic Expectation Variance
## 5.339037e-02 3.125000e-02 3.762439e-05
- For public use points’ density
G_global_public <-
LondonBoroughs %>%
pull(public_density) %>%
as.vector()%>%
globalG.test(., boro_knn)
G_global_public##
## Getis-Ord global G statistic
##
## data: .
## weights: boro_knn
##
## standard deviate = -0.37697, p-value = 0.6469
## alternative hypothesis: greater
## sample estimates:
## Global G statistic Expectation Variance
## 2.934219e-02 3.125000e-02 2.561304e-05
2.8 Local Getis-Ord’s G Test
Calculate the Local Getis-Ord’s G z-score for taxi charging point density data
G_local_taxi <- LondonBoroughs %>%
pull(taxi_density) %>%
as.vector()%>%
localG(., boro_knn)Covert into a dataframe and append into borough data frame
G_local_taxi_df <- data.frame(matrix(unlist(G_local_taxi), nrow=33, byrow=T))
LondonBoroughs_test <- LondonBoroughs %>%
mutate(z_score = as.numeric(G_local_taxi_df$matrix.unlist.G_local_taxi...nrow...33..byrow...T.))Plot a map of the local Getis-Ord’s G z-score
# Set the breaks and color bar manually
breaks1<-c(-3.00,-2.58,-1.96,-1.65,1.65,1.96,2.58,3.00)
MoranColours<- rev(brewer.pal(8, "RdBu"))
# Plot the local Getis-Ord’s G test z-score map
tmap_mode("plot")## tmap mode set to plotting
zscore_taxi <- tm_shape(LondonBoroughs_test) +
tm_polygons("z_score",
style="fixed",
breaks=breaks1,
palette=MoranColours,
midpoint=NA,
title="Z-score (Gi*)")+
tm_layout(frame=FALSE,
legend.position = c("right","bottom"),
legend.text.size=1,
legend.title.size = 1.5)+
tm_scale_bar(text.size=0.85,position=c(0,0.03))+
tm_compass(north=0,position=c(0.03,0.12),size=3.5,text.size = 1)+
tm_credits("(c) Greater London Authority",position=c(0,0),size = 1)+
tm_text("borough", size=1.1,remove.overlap=TRUE,col="black")
zscore_taxi