Chapter 6 MCMC方法
6.1 介绍
前面介绍蒙特卡洛方法估计积分\[\int_Ag(t)\text{d}t,\] 是把此积分表示成一个对某个概率密度 \(f(t)\) 下的期望,从而积分估计问题转化成从目标概率密度 \(f(t)\) 中产生随机样本。
在MCMC方法中,首先建立一个Markov链,使得 \(f(t)\) 为其平稳分布,则可以运行此Markov链充分长时间直至收敛到平稳分布,那么从目标分布 \(f(t)\) 中产生随机样本,就是从达到平稳状态的Markov链中产生其样本路径。
一个好的链应该具有快速混合性质——从任意位置出发很快达到平稳分布。
6.1.1 贝叶斯推断中的积分问题
从贝叶斯的观点来看,模型中的观测变量和参数都是随机变量。因此,样本 \(\pmb x=(x_1,\dots,x_n)\) 和参数 \(\theta\) 的联合分布可以表示为\[f_{\pmb x,\theta}(\pmb x,\theta)=f_{\pmb x|\theta}(x_1,\dots,x_n)\pi(\theta).\] 从而根据Bayes定理,可以通过样本 \(\pmb x\) 的信息对 \(\theta\) 的分布进行更新:\[f_{\theta|\pmb x}(\theta\mid\pmb x)=\dfrac{f_{\pmb x|\theta}(\pmb x)\pi(\theta)}{\int_\Theta f_{\pmb x|\theta}(\pmb x)\pi(\theta)\text{d}\theta}.\] 则在后验分布下,\(g(\theta)\) 的期望为\[\mathbb E[g(\theta\mid\pmb x)]=\int_\Theta g(\theta)f_{\theta|\pmb x}(\theta\mid\pmb x)\text{d}\theta=\dfrac{\int_\Theta g(\theta)f_{\pmb x|\theta}(\pmb x)\pi(\theta)\text{d}\theta}{\int_\Theta f_{\pmb x|\theta}(\pmb x)\pi(\theta)\text{d}\theta}.\] 在许多情况下,得到直接积分的结果是十分困难的,需要通过数值计算。
6.1.2 MCMC积分
积分 \(\displaystyle\mathbb E[g(\theta\mid\pmb x)]=\int_\Theta g(\theta)f_{\theta|\pmb x}(\theta\mid\pmb x)\text{d}\theta\) 的蒙特卡洛估计为样本均值\[\overline{g}=\dfrac{1}{m}\sum_{i=1}^m g(\theta_i),\] 其中 \(\theta_i\) 是从分布 \(f_{\theta|\pmb x}(\theta\mid\pmb x)\) 中抽取的样本。当 \(\theta_1,\dots,\theta_m\) 独立时,则可以根据大数律知当样本量 \(m\) 趋于无穷时,\(\overline{g}\) 收敛到 \(\mathbb E[g(\theta\mid\pmb x)]\)。
MCMC方法的理论依据在于下述的极限定理:
定理1. 设 \(\{X_t,t\geq0\}\) 为一不可约、非周期的状态空间为 \(\Omega\) 的Markov链,\(\pi\) 为平稳分布,\(\pi_0\) 为初始分布,则\[\pi_t\rightarrow\pi,\quad t\rightarrow\infty.\]
这一定理揭示了当Markov链运行充分长时间后,链的状态分布即平稳分布,且与初始分布无关。
定理2. 若 \(X_1,X_2,\dots\) 为一遍历的平稳分布为 \(\pi\) 的Markov链值,则 \(X_n\) 依分布收敛到分布为 \(\pi\) 的随机变量 \(X\),且对任意函数 \(f\),当 \(\mathbb E_\pi|f(X)|\) 存在时,且 \(n\rightarrow\infty\) 时,则\[\overline{f}_n=\dfrac{1}{n}\sum_{t=1}^nf(X_t)\rightarrow\mathbb E_\pi f(X),\quad\text{a.s.}\]
下面计算遍历均值 \(\overline{f}_n\) 的方差。记 \(f^t=f(X_t)\),\(\gamma_k=\text{Cov}(f^t,f^{t+k})\),则 \(f^t\) 的方差为 \(\sigma^2=\gamma_0\),\(k\) 步相关系数 \(\rho_k=\gamma_k/\sigma^2\)。从而 \[\begin{align*} \tau_n^2&=n\text{Var}_\pi(\overline{f}_n)=n\text{Var}_\pi\left(\dfrac{1}{n}\sum_{t=1}^nf^t\right)\\ &=\dfrac{1}{n}\sum_{t=1}^n\text{Var}_\pi(f^t)+\dfrac{2}{n}\sum_{k=1}^{n-t}\text{Cov}(f^t,f^{t+k})=\sigma^2\left[1+2\sum_{k=1}^{n-1}\dfrac{n-k}{n}\rho_k\right]. \end{align*}\]
可以证明\[\tau_n^2\rightarrow\tau^2=\sigma^2\left[1+2\sum_{k=1}^{\infty}\rho_k\right].\] 因此遍历均值 \(\overline{f}_n\) 的方差为\[\text{Var}_\pi(\overline{f}_n)=\dfrac{\sigma^2}{n}\left[1+2\sum_{k=1}^{n-1}\dfrac{n-k}{n}\rho_k\right].\]
定理3. 若一个链是一致的几何遍历(转移概率以速度 \(\lambda^t,0<\lambda<1\) 收敛)的,以及 \(f\) 相对于平稳分布 \(\pi\) 是平方可积的,则有\[\sqrt{n}\cdot\dfrac{\overline{f}_n-\mathbb E_\pi f(X)}{\tau}\rightarrow N(0,1),\quad n\rightarrow\infty.\]
这个定理对构造平稳分布 \(\pi\) 的参数的置信区间提供了理论依据。
综合上述定理:
- 不可约+非周期+正常返 \(\Rightarrow\) 唯一的平稳分布;
- LLN:Markov链的实值函数的遍历均值以概率1收敛到极限分布下的均值;
- CLT:遍历均值作合适的变化依分布收敛到标准正态分布。
因此,我们可以建立一个以 \(\pi\) 为平稳分布的Markov链,则在运行此链足够长时间后,该Markov链就会达到平稳状态,此时Markov链的值相当于从分布 \(\pi\) 中抽取样本。
MCMC算法的优点在于适用于广泛且困难的问题,此外问题维数的增加通常不会降低其收敛速度或使其更复杂。下面介绍两种重要的MCMC算法。
6.2 Metropolis-Hastings算法
M-H算法是一类常用的构造Markov链的方法。MCMC抽样方法的核心问题是确定满足要求(不可约、非周期、正常返且平稳分布为目标抽样分布)的一个马尔可夫链,因此确定从当前值转移到下一个值的规则十分重要。M-H抽样方法通过如下方式产生Markov链 \(\{X_0,X_1,X_2,\dots\}\):
- 构造合适的提议分布 \(g(\cdot\mid X_t)\).
- 从某个分布 \(g\) 中产生 \(X_0\).
- 重复(直到Markov链达到平稳状态)
- 从 \(g(\cdot\mid X_t)\) 中产生 \(Y\).
- 从 \(U(0,1)\) 中产生 \(U\).
- 计算接受概率\[\alpha(X_t,Y)=\min\left\{1,\dfrac{f(Y)g(X_t\mid Y)}{f(X_t)g(Y\mid X_t)}\right\}.\]
- 如果 \(U\leq\alpha(X_t,Y)\) 则接受 \(Y\) 并令 \(X_{t+1}=Y\),否则 \(X_{t+1}=X_t\).
- 增加 \(t\),返回到循环内的第一步。
上述过程是有理论保证的。事实上,记 \(q_{ij}=g(x_{t+1}=j\mid x_t=i)\),首先由M-H抽样方法产生的序列 \(\{x_0,x_1,\dots\}\) 为一马尔可夫链,其转移概率为\[p_{ij}=q_{ij}\alpha(i,j)+\delta_i(j)(1-r(i)),\] 其中 \(r(i)=\sum_jq_{ij}\alpha(i,j)\),\(\alpha_{i,j}=\min\{1,f_jq_{ji}/f_iq_{ij}\}\),\(\delta_i(j)=1\) 当且仅当 \(i=j\)。所以\[f_ip_{ij}=f_iq_{ij}\min\left\{1,\dfrac{f_jq_{ji}}{f_iq_{ij}}\right\}=f_jq_{ji}\min\left\{1,\dfrac{f_iq_{ij}}{f_jq_{ji}}\right\}=f_jp_{ji},\quad i\neq j.\] 而 \(i=j\) 时,\(f_i\delta_i(j)(1-r(i))=f_j\delta_j(i)(1-r(j))\),因此细致平稳方程满足,\(f\) 即该链的平稳分布。进一步可以验证该链是不可约、正常返、非周期的。此外,如果状态空间是连续的,证明类似,只需将转移概率修改为转移核即可。
注意,提议分布 \(g\) 的选择要使得产生的马尔可夫链满足不可约、正常返、非周期且具有平稳分布 \(f\) 等正则化条件外,还应满足:
- 提议分布的支撑集包含目标分布的支撑集;
- 容易从提议分布中抽样,常取为已知的分布,如正态分布或 \(t\) 分布等;
- 提议分布应使接受概率容易计算;
- 提议分布的尾部要比目标分布的尾部厚。
此外,Robert和Casella(1999)指出,接受概率并非越大越好,因为这可能导致较慢的收敛性;Gelman等(1996)建议当参数维数为1时,接受概率应略小于0.5,当参数维数大于5时,接受概率应降至0.25左右。
例如,使用M-H抽样方法从瑞利(Rayleigh)分布中抽样,其密度函数为\[f(x)=\dfrac{x}{\sigma^2}\text{e}^{-\frac{x^2}{2\sigma^2}},\quad x\geq0,\sigma>0.\] 瑞利分布通常被用来建模具有快速衰减的生存时间,因为风险率 \(f(x)/S(x)=x/\sigma^2\) 是线性增长的。
使用M-H抽样方法如下:
- 令 \(g(\cdot\mid X)\) 为 \(\chi^2(X)\);
- 从 \(\chi^2(1)\) 中产生 \(X_1\);
- 对 \(i=2,\dots,N\),重复:
- 从 \(\chi^2(X_{i-1})\) 中产生 \(Y\);
- 产生 \(U\sim U(0,1)\);
- 计算\[r(X_{i-1},Y)=\dfrac{f(Y)g(X_{i-1}\mid Y)}{f(X_{i-1})g(Y\mid X_{i-1})},\]
- 若 \(U\leq r(X_{i-1},Y)\),则接受 \(Y\),令 \(X_i=Y\);否则令 \(X_i=X_{i-1}\)。
- 增加 \(i\),返回到循环内的第一步。
f <- function(x, sigma) {
if (any(x < 0)) return(0)
return(x / sigma^2 * exp(-x^2 / (2 * sigma^2)))
}
m <- 10000
sigma <- 4
x <- numeric(m)
x[1] <- rchisq(1, 1)
k <- 0
u <- runif(m)
for (i in 2:m) {
y <- rchisq(1, x[i-1])
r <- f(y, sigma) * dchisq(x[i-1], y) / f(x[i-1], sigma) / dchisq(y, x[i-1])
if (u[i] <= r) { x[i] <- y }
else { x[i] <- x[i-1]; k <- k + 1 }
}
print(k / m)## [1] 0.4016
可以看到约有40.16%的候选点被拒绝了,可见算法效率不是特别高。
index <- 5000:5500
plot(index, x[index], type = "l", main = "", ylab = "x")
b <- 2000 # burnin period
y <- x[(b+1):m]
a <- ppoints(100)
QR <- sigma * sqrt(-2 * log(1 - a))
Q <- quantile(x, a)
par(mfrow = c(1,2))
hist(y, breaks = "scott", xlab = "sample", freq = FALSE)
lines(QR, f(QR, sigma))
qqplot(QR, Q, xlab = "Rayleigh Quantiles", ylab = "Sample Quantiles")
abline(0, 1, col = 2, lwd = 2)
从分布拟合的角度看,预烧期2000之后的样本基本已经达到平稳分布,拟合效果较好。
根据提议分布 \(g\) 的不同选择,M-H抽样方法衍生出了几个不同的变种。
6.2.1 Metropolis抽样方法
在Metropolis抽样方法中,提议分布是对称的,即 \(g(\cdot\mid X_n)\) 满足 \(g(X\mid Y)=g(Y\mid X)\),因此接受概率为\[\alpha(X_t,Y)=\min\left\{1,\dfrac{f(Y)}{f(X_t)}\right\}.\]
6.2.2 随机游动Metropolis抽样方法
随机游动Metropolis抽样方法是Metropolis方法的一个应用例子。假设候选点 \(Y\) 从一个对称的提议分布 \(g(Y\mid X_t)=g(\vert X_t-Y\vert)\) 中产生,则在每一次迭代中,从 \(g(\cdot)\) 中产生一个随机增量 \(Z\),然后 \(Y=X_t+Z\)。比如增量 \(Z\) 可以从正态分布中产生,此时 \(Y\mid X_t\sim N(X_t,\sigma^2)\),\(\sigma^2>0\)。
例如,使用提议分布 \(N(X_t,\sigma^2)\) 和随机游动Metropolis算法产生自由度为 \(\nu\) 的 \(t\) 分布随机数,并对不同方差 \(\sigma^2\) 重复此过程。记 \(f(x)\) 为 \(t_\nu\) 的密度函数,则接受概率为\[\alpha(X_t,Y)=\min\left\{1,\dfrac{f(Y)}{f(X_t)}\right\}.\]
rw.Metropolis <- function(n, sigma, x0, N) {
x <- numeric(N)
x[1] <- x0
u <- runif(N)
k <- 0
for (i in 2:N) {
y <- rnorm(1, x[i-1], sigma)
if (u[i] <= dt(y, n) / dt(x[i-1], n)) { x[i] <- y }
else { x[i] <- x[i-1]; k <- k + 1 }
}
return(list(x = x, k = k))
}
n <- 4
N <- 2000
sigma <- c(0.05, 0.5, 2, 16)
x0 <- 25
rw1 <- rw.Metropolis(n, sigma[1], x0, N)
rw2 <- rw.Metropolis(n, sigma[2], x0, N)
rw3 <- rw.Metropolis(n, sigma[3], x0, N)
rw4 <- rw.Metropolis(n, sigma[4], x0, N)
print(c(rw1$k, rw2$k, rw3$k, rw4$k) / N)## [1] 0.0035 0.0945 0.4605 0.8985
可以看到只有第三个链的拒绝率在区间 \([0.15,0.5]\) 内。
par(mfrow = c(2, 2))
refline <- qt(c(0.025, 0.975), n)
rw <- cbind(rw1$x, rw2$x, rw3$x, rw4$x)
for (j in 1:4) {
plot(rw[,j], type = "l", xlab = bquote(sigma == .(round(sigma[j],3))),
ylab = "X", ylim=range(rw[,j]))
abline(h = refline)
}
par(mfrow = c(1,1))可以看到,当 \(\sigma=0.05\) 时增量太小,几乎每个候选点都被接受了,链在迭代2000次后还没有收敛;当 \(\sigma=0.5\) 时,链的收敛较慢;当 \(\sigma=2\) 时,链的收敛很快;当 \(\sigma=16\) 时,接受的概率太小,链虽然收敛了,但是效率很低。
a <- c(0.05, seq(0.1, 0.9, 0.1), 0.95)
Q <- qt(a, n)
mc <- rw[501:N,]
Qrw <- apply(mc, 2, function(x) quantile(x, a))
QQ <- data.frame(round(cbind(Q, Qrw), 3))
names(QQ) <- c('True', 'sigma=0.05', 'sigma=0.5', 'sigma=2', 'sigma=16')
knitr::kable(QQ)| True | sigma=0.05 | sigma=0.5 | sigma=2 | sigma=16 | |
|---|---|---|---|---|---|
| 5% | -2.132 | 21.639 | -1.404 | -2.144 | -2.376 |
| 10% | -1.533 | 21.848 | -0.945 | -1.521 | -1.370 |
| 20% | -0.941 | 22.132 | -0.399 | -0.860 | -0.694 |
| 30% | -0.569 | 22.420 | 0.128 | -0.535 | -0.482 |
| 40% | -0.271 | 22.587 | 0.596 | -0.267 | -0.065 |
| 50% | 0.000 | 22.790 | 1.160 | 0.005 | 0.272 |
| 60% | 0.271 | 23.207 | 2.157 | 0.232 | 0.494 |
| 70% | 0.569 | 23.510 | 8.362 | 0.535 | 0.923 |
| 80% | 0.941 | 23.766 | 16.147 | 0.959 | 1.378 |
| 90% | 1.533 | 24.073 | 20.063 | 1.650 | 2.168 |
| 95% | 2.132 | 24.718 | 26.414 | 2.377 | 2.936 |
可以看到第三个链的分位数和真实分布的分位数也是十分接近的。
6.2.3 独立抽样方法
独立抽样是M-H抽样方法的另一个特殊情形,其中的提议分布不依赖于链的前一步状态值,因此 \(g(Y\mid X_t)=g(Y)\),此时接受概率为\[\alpha(X_t,Y)=\min\left\{1,\dfrac{f(Y)g(X_t)}{f(X_t)g(Y)}\right\}.\]
例如,假设从一个正态混合分布 \(pN(\mu_1,\sigma_1^2)+(1-p)N(\mu_2,\sigma_2^2)\) 中观测到一个样本 \(\pmb z=(z_1,\dots,z_n)\),利用独立抽样方法求 \(p\) 的估计。在 \(p\) 无先验信息可以利用时,考虑先验分布 \(\pi(p)\) 为 \(U(0,1)\),则 \(p\) 的后验分布为\[\pi(p\mid\pmb z)\propto\prod_{j=1}^n[pf_1(z_j\mid p)+(1-p)f_2(z_j\mid p)].\]
其中 \(f_1,f_2\) 分别为两个正态的密度。考虑提议分布为贝塔分布 \(Be(a,b)\),其密度函数为 \(g(y)\propto y^{a-1}(1-y)^{b-1}\),接受概率为\[\alpha(X_t,Y)=\min\left\{1,\dfrac{\pi(Y\mid\pmb z)g(X_t)}{\pi(X_t\mid\pmb z)g(Y)}\right\}.\]
set.seed(12345)
m <- 10000
xt <- numeric(m)
a <- 1
b <- 1
p <- 0.2
n <- 100
mu <- c(0, 5)
sigma <- c(1, 1)
i <- sample(1:2, size = n, replace = TRUE, prob = c(p, 1-p))
x <- rnorm(n, mu[i], sigma[i])
u <- runif(m)
y <- rbeta(m, a, b)
xt[1] <- 0.5
for (i in 2:m) {
fy <- y[i] * dnorm(x, mu[1], sigma[1]) + (1 - y[i]) * dnorm(x, mu[2], sigma[2])
fx <- xt[i-1] * dnorm(x, mu[1], sigma[1]) + (1 - xt[i-1]) * dnorm(x, mu[2], sigma[2])
r <- prod(fy / fx) * dbeta(xt[i-1], a, b) / dbeta(y[i], a, b)
if (u[i] <= r) { xt[i] <- y[i] }
else { xt[i] <- xt[i-1] }
}
par(mfrow = c(1, 2))
plot(xt, type = "l", ylab = "p")
abline(h = p, v = 101, lty = 3)
hist(xt[-(1:1000)], main = "", xlab = "p", prob = TRUE)
z <- seq(min(xt), max(xt), length = 100)
lines(z, dnorm(z, mean(xt), sd(xt)))
abline(v = mean(xt), col = 2, lwd = 2)
可以看到 \(p\) 的后验期望接近0.2(真值)。
6.3 Gibbs算法
Gibbs抽样方法特别适合于目标分布是多元的场合,其最令人感兴趣的方面是为了产生不可约、非周期、并以高维空间的目标分布作为其平稳分布的马尔可夫链,只需要从一些一元分布(全条件分布)中进行抽样就可以了。即将从多元目标分布中抽样转化为从一元目标分布抽样,这是Gibbs抽样的重要性所在。
令 \(\pmb X=(X_1,\dots,X_p)\in\mathbb R^p\) 为随机变量,其联合分布 \(f(\pmb x)\) 为目标分布。记 \[\pmb X_{-i}=(X_1,\dots,X_{i-1},X_{i+1},\dots,X_p)\in\mathbb R^{p-1},\] 并记 \(X_i\mid\pmb X_{-i}\) 的满(全)条件密度为 \(f(x_i\mid\pmb x_{-i})\) \((i=1,\dots,p)\)。Gibbs抽样方法是从这 \(p\) 个条件分布中产生候选点,以解决直接从 \(f\) 中进行抽样的困难。Gibbs抽样从一个初始值 \(\pmb x^{(0)}=(x_1^{(0)},\dots,x_p^{(0)})\) 出发,按下述过程迭代更新分量: \[\begin{align*} x_1^{(t)}&\sim f(x_1\mid x_2^{(t-1)},x_3^{(t-1)},\dots,x_p^{(t-1)}),\\ x_2^{(t)}&\sim f(x_2\mid x_1^{(t)},x_3^{(t-1)},\dots,x_p^{(t-1)}),\\ &\vdots\\ x_i^{(t)}&\sim f(x_i\mid x_1^{(t)},\dots,x_{i-1}^{(t)},x_{i+1}^{(t-1)},\dots,x_p^{(t-1)}),\\ &\vdots\\ x_p^{(t)}&\sim f(x_p\mid x_1^{(t)},\dots,x_{p-1}^{(t)}). \end{align*}\]
有时候对所有分量完成一次更新比较复杂,可以采用随机化的方式,每次仅更新一个分量(随机选择),而其它分量保持不变。注意,这里无需计算每一个候选点的接受概率 \(\alpha\),全部接受。
例如,使用Gibbs抽样方法产生二元正态分布 \(N(\mu_1,\mu_2,\sigma_1^2,\sigma_2^2,\rho)\) 的随机数。注意到 \[\begin{align*} X_1\mid X_2=x_2&\sim N\left(\mu_1+\rho\dfrac{\sigma_1}{\sigma_2}(x_2-\mu_2),(1-\rho^2)\sigma_1^2\right),\\ X_2\mid X_1=x_1&\sim N\left(\mu_2+\rho\dfrac{\sigma_2}{\sigma_1}(x_1-\mu_1),(1-\rho^2)\sigma_2^2\right). \end{align*}\]
于是通过如下代码就可以实现目的。
m <- 10000
burnin <- 1000
X <- matrix(0, m, 2)
rho <- 0.8
mu <- c(0, 2)
sigma <- c(1, 0.5)
s <- sqrt(1 - rho^2) * sigma
X[1,] <- mu
for (i in 2:m) {
x2 <- X[i-1, 2]
m1 <- mu[1] + rho * (x2 - mu[2]) * sigma[1] / sigma[2]
X[i,1] <- rnorm(1, m1, s[1])
x1 <- X[i, 1]
m2 <- mu[2] + rho * (x1 - mu[1]) * sigma[2] / sigma[1]
X[i,2] <- rnorm(1, m2, s[2])
}
x <- X[-(1:burnin),]
plot(x[,1], x[,2], xlab = bquote(X[1]), ylab = bquote(X[2]),
main = "", cex = 0.5, ylim = range(x[,2]))
colMeans(x)## [1] 0.004515394 2.005059651
cov(x)## [,1] [,2]
## [1,] 0.9821537 0.396883
## [2,] 0.3968830 0.248386
cor(x)## [,1] [,2]
## [1,] 1.0000000 0.8035431
## [2,] 0.8035431 1.0000000
可以看到,模拟的数值与真值十分接近。
6.4 收敛监视
较主观的监视收敛的方法有
- 监视蒙特卡洛误差:较小的MC误差表明在计算感兴趣的量时精度较高,即MC误差越小表明马尔可夫链的收敛性越好。
- 样本路径图:将马尔可夫链生成的值对迭代次数作图,如果所有的值都在一个区域里没有明显的周期性或趋势性,则认为收敛性已经达到。
- 累积均值图:将马尔可夫链的累积均值对迭代次数作图,如果累积均值在经过一些迭代后基本稳定,则认为收敛性已经达到。
- 自相关函数(ACF)图:将马尔可夫链生成样本的自相关函数对迭代次数作图,较低或较高的自相关性分别表明了收敛性的好与坏。
除此之外,下面介绍一种基于统计量的方法。
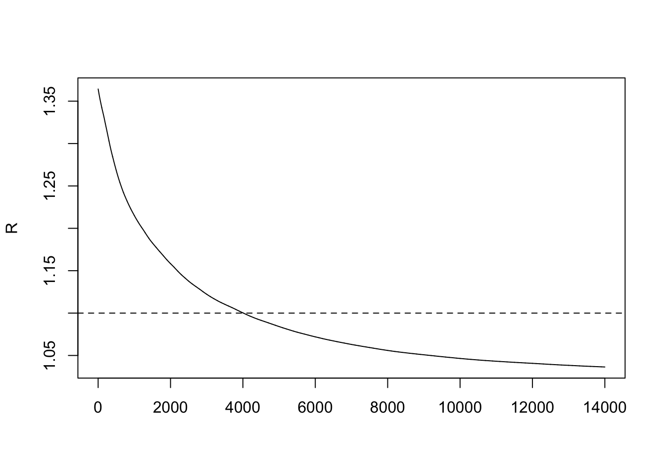
6.4.1 Gelman-Rubin方法
假设有 \(k\) 个链,每个链有 \(n\) 个样本,感兴趣的量记为 \(\phi\),其在目标分布下有期望 \(\mu\) 和方差 \(\sigma^2\)。记 \(\phi_{jt}\) 表示到链 \(j\) 的第 \(t\) 个样本时 \(\phi\) 的值,那么在混合样本中,\(\mu\) 的一个无偏估计为 \(\hat{\mu}=\overline{\phi}_{\cdot\cdot}\),而链之间的方差 \(B_n\) 和链内的方差 \(W_n\) 分别为\[B_n=\dfrac{n}{k-1}\sum_{j=1}^k(\overline{\phi}_{j\cdot}-\overline{\phi}_{\cdot\cdot})^2,\quad W_n=\dfrac{1}{k(n-1)}\sum_{j=1}^k\sum_{t=1}^n(\phi_{jt}-\overline{\phi}_{j\cdot})^2.\]
从而可以使用 \(B_n\) 和 \(W_n\) 的加权估计 \(\sigma^2\):\[\hat{\sigma}^2=\dfrac{n-1}{n}W_n+\dfrac{1}{n}B_n.\]
如果初始值是从目标分布中抽取的,那么 \(\hat{\sigma}^2\) 是 \(\sigma^2\) 的无偏估计,但如果初始值过度分散,则会高估 \(\sigma^2\)。
一个自然的想法就是令 \(R=\hat{\sigma}^2/\sigma^2\),则称 \(\sqrt{R}\) 为尺度缩减因子,它的估计为\[\hat{R}=\dfrac{\hat{\sigma}^2}{W_n},\] 称 \(\sqrt{\hat{R}}\) 为潜在尺度缩减因子。当链达到收敛并且产生的数据很大时,\(\hat{R}\) 应该趋于1,一般而言,当 \(\hat{R}<1.1\) 或 \(1.2\) 时就认为已达到收敛。
例如,目标分布为 \(N(0,1)\),提议分布为 \(N(X_t,\sigma^2)\),\(\phi_{jt}\) 表示第 \(j\) 个链前 \(t\) 个样本的平均。
# 计算潜在尺度缩减因子
Gelman.Rubin <- function(phi) {
phi <- as.matrix(phi)
k <- nrow(phi); n <- ncol(phi)
phi.means <- rowMeans(phi)
B <- n * var(phi.means)
phi.w <- apply(phi, 1, var)
W <- mean(phi.w)
v.hat <- W * (n - 1) / n + B / n
r.hat <- v.hat / W
return(r.hat)
}
# 采用M-H算法生成链
normal.chain <- function(sigma, N, X1) {
x <- rep(0, N)
x[1] <- X1
u <- runif(N)
for (i in 2:N) {
xt <- x[i - 1]
y <- rnorm(1, xt, sigma)
r1 <- dnorm(y, 0, 1) * dnorm(xt, y, sigma)
r2 <- dnorm(xt, 0, 1) * dnorm(y, xt, sigma)
if (u[i] <= r1 / r2) { x[i] <- y} else { x[i] <- xt }
}
return(x)
}
set.seed(12345)
sigma <- 1
k <- 4 # numebr of chains
n <- 15000 # length of chains
b <- 1000 # burnin period
x0 <- c(-10, -5, 5, 10) # initial value
X <- matrix(nrow = k, ncol = n)
for (i in 1:k) {
X[i, ] <- normal.chain(sigma, n, x0[i])
}# 绘制累积均值(phi)图
phi <- t(apply(X, 1, cumsum))
for (i in 1:nrow(phi)) {
phi[i,] <- phi[i,] / (1:ncol(phi))
}
for (i in 1:k) {
if (i == 1) {
plot((b+1):n, phi[i, (b+1):n], ylim = c(-0.2, 0.2),
type = "l", xlab = 'Index', ylab = bquote(phi))
} else { lines(phi[i, (b+1):n], col = i) }
}
# 绘制潜在尺度缩减因子图
rhat <- rep(0, n)
for (j in (b+1):n) {
rhat[j] <- Gelman.Rubin(phi[, 1:j])
}
plot(rhat[(b+1):n], type = "l", xlab = "", ylab = "R")
abline(h = 1.1, lty = 2)