Chapter 4 统计推断中的蒙特卡洛方法
4.1 点估计问题
设 \(\hat{\theta}(X_1,\dots,X_n)\) 是未知参数 \(\theta\) 的估计量,关心以下问题:
- 这个估计的偏差(Bias)\(\hat{\theta}-\theta\) 是多少?
- 这个估计的标准误差(SE)\(\text{se}(\hat{\theta})\) 是多少?(对它而言,这个值越小越好)
- 这个估计的标准误差的估计(SEE)\(\hat{\text{se}}(\hat{\theta})\) 是多少?(为进一步构建置信区间、做假设检验提供帮助)
一般地,我们考虑做 \(m\) 次估计,来得到 \(\hat{\theta}_1,\dots,\hat{\theta}_m\),基于此构建上述估计。具体算法如下:
- 设定随机种子、重复次数 \(m\)、样本量 \(n\) 和参数真值 \(\theta_0\);
- 对第 \(j~(j=1,\dots,m)\) 次计算
- 生成样本 \(X_{j1},\dots,X_{jn}\);
- 估计 \(\theta\):\(\hat{\theta}_j=\hat{\theta}(X_{j1},\dots,X_{jn})\) 及其标准误差 \(\hat{\text{se}}_j=\hat{\text{se}}(\hat{\theta}_j)\);
- 计算相应的估计量:
- 偏差 Bias \(=\overline{\theta}-\theta_0\),其中 \(\overline{\theta}=\dfrac{1}{m}\sum\limits_{j=1}^m\hat{\theta}_j\);
- 标准误差 SE \(=\sqrt{\dfrac{1}{m-1}\sum\limits_{j=1}^m(\hat{\theta}_j-\overline{\theta})^2}\);
- 标准误差的估计 SEE \(=\dfrac{1}{m}\sum\limits_{j=1}^m\hat{\text{se}}_j.\)
一般情况下,即使方差估计是无偏的,但标准误差的估计不是标准误差的无偏估计,这是因为随机误差、试验设计、样本量等的影响。参考下面几个例子。
例1. (正态误差、随机预测) 对模型\[Y_i=\alpha+\beta X_i+e,\quad e\sim N(0,1),~X_i\sim Exp(1).\]
考虑参数 \(\beta\) 的最小二乘估计。
alpha <- 2; beta <- 1
m <- 1000; n <- 10; set.seed(1)
beta.hat <- beta.se <- numeric(m)
for (i in 1:m) {
x <- rexp(n)
y <- alpha + beta*x + rnorm(n)
coef <- summary(lm(y~x))$coef
beta.hat[i] <- coef[2,1]
beta.se[i] <- coef[2,2]
}
c(mean(beta.hat), sd(beta.hat), mean(beta.se))## [1] 1.0006017 0.4940051 0.4201906
c(var(beta.hat), mean(beta.se^2))## [1] 0.2440410 0.2281339
例2. (非正态误差、随机预测) 对模型\[Y_i=\alpha+\beta X_i+e,\quad e\sim ST(\alpha=8,\nu=2),~X_i\sim Exp(1).\]
考虑参数 \(\beta\) 的最小二乘估计。
alpha <- 2; beta <- 1
m <- 1000; n <- 10; set.seed(1)
beta.hat <- beta.se <- numeric(m)
for (i in 1:m) {
x <- rexp(n)
y <- alpha + beta*x + sn::rst(n, alpha=8, nu=2)
coef <- summary(lm(y~x))$coef
beta.hat[i] <- coef[2,1]
beta.se[i] <- coef[2,2]
}
c(mean(beta.hat), sd(beta.hat), mean(beta.se))## [1] 1.0329123 1.1641705 0.7988274
c(var(beta.hat), mean(beta.se^2))## [1] 1.355293 5.512689
例3. (正态误差、固定预测) 对模型\(Y_i=\alpha+\beta X+e,\quad e\sim N(0,1),~X\sim Exp(1).\)$
考虑参数 \(\beta\) 的最小二乘估计。
alpha <- 2; beta <- 1
m <- 1000; n <- 10; set.seed(1)
beta.hat <- beta.se <- numeric(m)
x <- rexp(n)
for (i in 1:m) {
y <- alpha + beta*x + rnorm(n)
coef <- summary(lm(y~x))$coef
beta.hat[i] <- coef[2,1]
beta.se[i] <- coef[2,2]
}
c(mean(beta.hat), sd(beta.hat), mean(beta.se))## [1] 0.9882903 0.4014756 0.3853365
c(var(beta.hat), mean(beta.se^2))## [1] 0.1611826 0.1583228
例4. (非正态误差、固定预测) 对模型\[Y_i=\alpha+\beta X+e,\quad e\sim ST(\alpha=8,\nu=2),~X\sim Exp(1).\]
考虑参数 \(\beta\) 的最小二乘估计。
alpha <- 2; beta <- 1
m <- 1000; n <- 10; set.seed(1)
beta.hat <- beta.se <- numeric(m)
x <- rexp(n)
for (i in 1:m) {
y <- alpha + beta*x + sn::rst(n, alpha=8, nu=2)
coef <- summary(lm(y~x))$coef
beta.hat[i] <- coef[2,1]
beta.se[i] <- coef[2,2]
}
c(mean(beta.hat), sd(beta.hat), mean(beta.se))## [1] 1.0056361 1.8029219 0.7475751
c(var(beta.hat), mean(beta.se^2))## [1] 3.250527 5.934975
在估计量的评价准则中,还有一个十分常用的标准,那就是均方误差MSE:\[\text{MSE}=\mathbb E(\hat{\theta}-\theta)^2=\text{Var}(\hat{\theta})+(\mathbb E(\hat{\theta})-\theta)^2=\text{Variance}+\text{Bias}^2.\]
对它的估计可以采用 \(\dfrac{1}{m}\sum\limits_{j=1}^m(\hat{\theta}_j-\theta)^2\)。例如,在例4中,可以进一步计算MSE的估计如下:
mean((beta.hat-beta)^2)## [1] 3.247309
这个值和它的方差3.2505273十分接近,因为在最小二乘估计中 \(\hat{\beta}\) 是 \(\beta\) 的无偏估计,那么MSE就是方差。
4.2 区间估计问题
在经典统计推断区间估计问题中,我们感兴趣的是重复试验下区间估计的覆盖概率(Coverage Probability):如果 \(\theta\) 的 \((1-\alpha)\%\) 置信区间为 \((\hat{\theta}_L,\hat{\theta}_U)\),那么覆盖概率定义为 \(\mathbb P(\hat{\theta}_L<\theta<\hat{\theta}_U)\)。(注意,在经典统计推断中,这里随机变量是 \(\hat{\theta}_L\) 和 \(\hat{\theta}_U\))
我们希望一个好的区间估计有接近于 \((1-\alpha)\%\) 的覆盖概率水平:
- 如果覆盖概率明显大于 \((1-\alpha)\%\),称这样的区间估计是保守的(conservative);
- 如果覆盖概率明显小于 \((1-\alpha)\%\),称这样的区间估计是宽容的(liberal)。
对它的估计可以采用 \(\dfrac{1}{m}\sum\limits_{j=1}^mI(\hat{\theta}_L^{(j)}\leq\theta\leq\hat{\theta}_U^{(j)})\),称之为经验覆盖概率。例如,在例4中,\(\beta\) 的95%置信区间为\[\left(\hat{\beta}-t_{0.975}(n-2)\hat{\sigma}_\beta,\hat{\beta}+t_{0.975}(n-2)\hat{\sigma}_\beta\right).\]
由下述代码可以计算它的经验覆盖概率。
mean((beta >= beta.hat - qt(0.975, n-2) * beta.se) *
(beta <= beta.hat + qt(0.975, n-2) * beta.se))## [1] 0.94
这个值比0.95小,可见这样的区间估计是宽容的,因为在模型设定有误时标准误差是会被低估的。
4.3 假设检验问题
考虑假设检验问题:\[H_0:\theta=\theta_0\longleftrightarrow H_a:\theta\neq\theta_0.\]
在水平 \(\alpha\) 下拒绝假设 \(H_0\) 如果:
- \(T>\tau\) 对某个阈值 \(\tau\) 成立;
- p值 \(=\mathbb P_{H_0}(T>T^{(\text{o})}\mid\text{observed data})=\bar{F}(T^{(\text{o})})\leq\alpha\),这里 \(\bar{F}\) 是 \(T\) 在 \(H_0\) 下的生存函数。
4.3.1 第一类错误率(Type I Error Rate)
假设检验中的第一类错误率定义为在 \(H_0\) 下拒绝原假设(p值 \(\leq\alpha\))的概率。由于p值的计算是在一个人为给定的原假设分布下进行,所以如果零假设分布正确并且分布连续,则第一类错误率可以在任何预先给定的水平下被控制:\[\mathbb P_{H_0}(\text{p值}\leq\alpha)=\alpha.\]
一个好的检验应到至少有一个接近于水平 \(\alpha\) 的第一类错误率:
- 如果第一类错误率明显低于 \(\alpha\),称这个检验是保守的(conservative),它扩大了假负率;
- 如果第一类错误率明显高于 \(\alpha\),称这个检验是宽容的(liberal),它扩大了假正率。
在实际问题中,对它的估计可以采用 \(\dfrac{1}{m}\sum\limits_{j=1}^mI(p_j\leq\alpha)\)。
例如,在例4中,重新设定模型参数真值 \(\beta=0\),考虑假设检验问题\[H_0:\beta=0\longleftrightarrow H_a:\beta\neq0.\]
利用如下代码可以计算其第一类错误率。
alpha <- 2; beta <- 0
m <- 1000; n <- 10; set.seed(1)
beta.hat <- beta.se <- p.val1 <- numeric(m)
x <- rexp(n)
for (i in 1:m) {
y <- alpha + beta*x + rt(n, 2)
coef <- summary(lm(y~x))$coef
beta.hat[i] <- coef[2,1]
beta.se[i] <- coef[2,2]
p.val1[i] <- coef[2,4]
}
p.val2 <- 2 * (1 - pt(abs(beta.hat/beta.se), n-2))
c(mean(p.val1 <= 0.05), mean(p.val2 <= 0.05))## [1] 0.071 0.071
再例如,在例1中,重新设定模型参数真值 \(\beta=0\),考虑假设检验问题\[H_0:\beta=0\longleftrightarrow H_a:\beta\neq0.\]
利用如下代码可以计算其第一类错误率。
alpha <- 2; beta <- 0
m <- 1000; n <- 10; set.seed(5)
beta.hat <- beta.se <- p.val1 <- numeric(m)
for (i in 1:m) {
x <- rexp(n)
y <- alpha + beta*x + rnorm(n)
coef <- summary(lm(y~x))$coef
beta.hat[i] <- coef[2,1]
beta.se[i] <- coef[2,2]
p.val1[i] <- coef[2,4]
}
p.val2 <- 2 * (1 - pt(abs(beta.hat/beta.se), n-2))
c(mean(p.val1 <= 0.05), mean(p.val2 <= 0.05))## [1] 0.053 0.053
思考: 如果在10000次蒙特卡洛试验中得到第一类错误率为0.053,可不可以说第一类错误率已经被控制在0.05?
- 建立第一类错误率的95%置信区间或检验假设 \(H_0:\) 第一类错误率 \(= 0.05\);
- 结果与二项分布有关。
binom.test(530, 10000, p = 0.05)##
## Exact binomial test
##
## data: 530 and 10000
## number of successes = 530, number of trials = 10000, p-value = 0.1686
## alternative hypothesis: true probability of success is not equal to 0.05
## 95 percent confidence interval:
## 0.04868974 0.05757286
## sample estimates:
## probability of success
## 0.053
可以看到p值为 \(0.1686>0.05\),95%置信区间为 \([0.049,0.058]\),因此可以认为已被控制在0.05。
4.3.2 功效(Power)
假设检验中的功效定义为在 \(H_a\) 下拒绝原假设(p值 \(\leq\alpha\))的概率。
注意在讨论功效的问题时,首先要保证第一类错误率受水平 \(\alpha\) 控制。一个好的检验应当在第一类错误率受水平 \(\alpha\) 控制的情况下有尽可能高的功效。
至于实际问题中对它的估计与估计第一类错误率类似,只是生成数据的方式有所不同。例如,在例4中,考虑假设检验问题\[H_0:\beta=0\longleftrightarrow H_a:\beta\neq0.\]
利用如下代码可以计算其 \(\beta=1\) 时的功效。
alpha <- 2; beta <- 1
m <- 1000; n <- 10; set.seed(1)
beta.hat <- beta.se <- p.val1 <- numeric(m)
x <- rexp(n)
for (i in 1:m) {
y <- alpha + beta*x + rt(n, 2)
coef <- summary(lm(y~x))$coef
beta.hat[i] <- coef[2,1]
beta.se[i] <- coef[2,2]
p.val1[i] <- coef[2,4]
}
p.val2 <- 2 * (1 - pt(abs(beta.hat/beta.se), n-2))
c(mean(p.val1 <= 0.05), mean(p.val2 <= 0.05))## [1] 0.284 0.284
4.3.3 多重检验问题
考虑如下的混淆矩阵:
| \(H_0\) 为真 | \(H_a\) 为真 | 总数 | |
|---|---|---|---|
| Positive (拒绝 \(H_0\)) | \(V\) (FP) | \(S\) (TP) | \(R\) |
| Negative (接受 \(H_0\)) | \(U\) (TN) | \(T\) (FN) | \(m-R\) |
| 总数 | \(m_0\) | \(m-m_0\) | \(m\) |
考虑以下几个指标:
- 给定真假设条件
- 假正率(FPR):\(V/m_0\),即第一类错误率;
- 真正率(TPR):\(S/(m-m_0)\),即功效;
- 假负率(FNR):\(T/(m-m_0)\);
- 真负率(TNR):\(U/m_0\)。
- 给定预测条件
- 假查率(FDR):\(V/R\);
- 真查率(TDR):\(S/R\)。
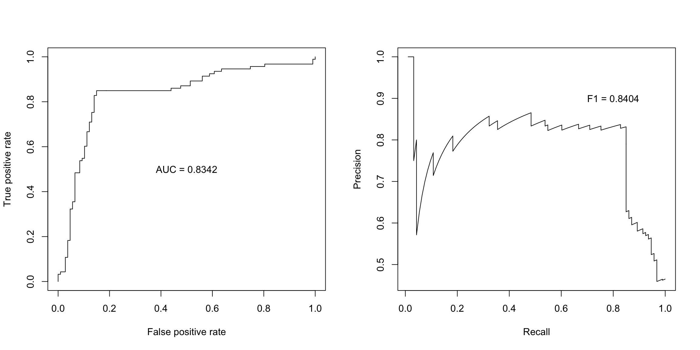
检验的结果取决于检验统计量的阈值比如p值:
- 接受者操作特征(ROC)曲线:FPR vs TPR 曲线,通常用AUC(Area under the curve)指标;
- PR曲线:TDR(Precision) vs TPR(Recall) 曲线,通常用F1(P和R的调和平均)指标。
par(mfrow = c(1, 2))
library(ROCR)
data(ROCR.simple)
pred <- prediction(ROCR.simple$pred, ROCR.simple$labels)
# ROC curve
perf <- performance(pred, "tpr", "fpr")
plot(perf)
perf <- performance(pred, "auc")
auc <- perf@y.values[[1]]
text(0.5, 0.5, paste0("AUC = ", round(auc, 4)))
# PR curve
perf <- performance(pred, "prec", "rec")
plot(perf)
id <- which.max(abs(perf@x.values[[1]] + perf@y.values[[1]]))
P <- perf@x.values[[1]][id]
R <- perf@y.values[[1]][id]
F1 <- 2 / (1/P + 1/R)
text(0.8, 0.9, paste0("F1 = ", round(F1, 4)))
在多重检验下的p值调整:
- Family-wise error rate (FWER):针对多个零假设 \(H_{01},\dots,H_{0N}\), 有多个p值\(p_1,\dots,p_N\),FWER定义为\[\mathbb P(\text{拒绝任一原假设}\mid\text{所有}~N~\text{个原假设都成立}).\] 如果\(p_i<\alpha/N (i=1,\dots,N)\),则FWER可以在水平\(\alpha\)下被控制——称这种方法为Bonferroni修正.
- False discovery rate(FDR):在被拒绝的假设下的期望错误发现的比例。通常做法是对p值进行排序而拒绝那些满足\(p_{(k)}\leq k\alpha/N\)的假设。这样FDR就被控制在水平\(\alpha\)下——称这种方法为FDR修正。
p <- sort(c(0.01, 0.01, 0.02, 0.05, 0.05, 0.5))
n <- length(p)
p.adj1 <- p/(1:n)*n
p.adj2 <- p.adjust(p, method = "fdr")
p.adj3 <- p.adjust(p, method = "bonferroni")
rbind(p.adj1, p.adj2, p.adj3) [,1] [,2] [,3] [,4] [,5] [,6]
p.adj1 0.06 0.03 0.04 0.075 0.06 0.5
p.adj2 0.03 0.03 0.04 0.060 0.06 0.5
p.adj3 0.06 0.06 0.12 0.300 0.30 1.0
通常,FDR修正用于探索性研究(Exploring Research),而Bonferroni修正用于确认性研究(Confirmation Research)。